Sign in to use this feature.

Years

Between: -

Subjects

remove_circle_outline
remove_circle_outline
remove_circle_outline
remove_circle_outline
remove_circle_outline

Journals

Article Types

Countries / Regions

Search Results (24)

Search Parameters:
Keywords = jack mackerel

Order results
Result details
Results per page
Select all
Export citation of selected articles as:
20 pages, 760 KB  
Article
Manipulation of Graded Levels of Jack Mackerel Meal in Diets Replacing Fish Meal with Corn Protein Concentrate in the Diets of Rockfish (Sebastes schlegeli): Effects on Growth Performance, Feed Utilization, and Economic Analysis
by Md. Farid Uz Zaman and Sung Hwoan Cho
Fishes 2026, 11(2), 99; https://doi.org/10.3390/fishes11020099 - 6 Feb 2026
Viewed by 898
Abstract
Incorporating protein feed ingredients that exhibit strong attractiveness to the target fish species is an effective and sustainable feeding strategy to improve feed intake and enhance growth performance. An 8-week feeding experiment was performed to elucidate the manipulation impact of graded levels of [...] Read more.
Incorporating protein feed ingredients that exhibit strong attractiveness to the target fish species is an effective and sustainable feeding strategy to improve feed intake and enhance growth performance. An 8-week feeding experiment was performed to elucidate the manipulation impact of graded levels of jack mackerel meal (JMM) in diets replacing 10% fish meal (FM) with corn protein concentrate (CPC) on the growth, feed utilization, and blood chemistry of rockfish (Sebastes schlegeli), as well as to perform an economic analysis. A total of 450 fish were randomly assigned to 15 plastic tanks (30 juveniles/tank). Five experimental diets were formulated to be isoproteic (50.0% crude protein) and isolipidic (15.5% crude lipid). The control (Con) diet contained 55% FM. In the Con diet, 10% of the FM was substituted with CPC, and graded levels of JMM at 0%, 20%, 40%, and 60% were subsequently incorporated instead of the FM, referred to as CPCJ0, CPCJ20, CPCJ40, and CPCJ60, respectively. Triplicate groups of rockfish were carefully hand-fed the diets to satiation throughout the feeding experiment. The rockfish fed the CPCJ60 diet produced significantly higher weight gain (WG) (p < 0.002) and specific growth rate (SGR) (p < 0.003) than those fed the Con, CPCJ0, and CPCJ20 diets but showed no significant (p > 0.05) differences compared to those fed the CPCJ40 diet. Both the WG (Y = 0.9367X + 17.0500, p < 0.0001, Adjusted R2 = 0.8468) and SGR (Y = 0.0005X + 0.0165, p < 0.0001, Adjusted R2 = 0.8580) of the rockfish increased linearly with increased dietary JMM inclusion levels when 10% of the FM was replaced by CPC. The rockfish fed the CPCJ60 diet showed a significantly higher feed consumption (FC) (p < 0.03) compared to those fed the CPCJ0 diet. Among the dietary treatments, however, no significant (p > 0.05) differences were found in the feed utilization, proximate composition, amino and fatty acid profiles, and blood chemistry of the rockfish. The CPCJ60 diet resulted in the highest economic profit index (EPI) among the dietary treatments. Conclusively, JMM was found to be effective in improving the FC of rockfish fed the diets replacing 10% of the FM with CPC. Furthermore, the WG and SGR of the rockfish fed the diets replacing 10% of the FM with CPC improved linearly with elevated JMM inclusion. Thus, incorporating 60% of JMM into the diets substituting 10% of the FM with CPC was the most recommended strategy according to the growth performance and FC of the rockfish, providing the highest EPI for fish farmers. Full article
(This article belongs to the Section Nutrition and Feeding)
Show Figures

Figure 1

13 pages, 1538 KB  
Article
The Differences in the Responses of Pelagic Fish Distribution in the Northern South China Sea to Environmental Factors: A Case Study of Round Scad and Jack Mackerel in the Hainan Island Offshore Area
by Liangming Wang, Binbin Shan, Changping Yang, Yan Liu and Dianrong Sun
Fishes 2025, 10(11), 574; https://doi.org/10.3390/fishes10110574 - 7 Nov 2025
Cited by 1 | Viewed by 878
Abstract
Round scad (Decapterus maruadsi) and jack mackerel (Trachurus japonicus) are economically significant pelagic species widely distributed in the northern South China Sea (SCS), with overlapping habitats and life history stages. To examine the distribution patterns of round scad and [...] Read more.
Round scad (Decapterus maruadsi) and jack mackerel (Trachurus japonicus) are economically significant pelagic species widely distributed in the northern South China Sea (SCS), with overlapping habitats and life history stages. To examine the distribution patterns of round scad and jack mackerel and their responses to environmental variables, we conducted a preliminary analysis using catch and environmental data from four seasonal surveys around Hainan Island. Three species distribution models—generalized linear models (GLM), generalized additive models (GAM), and random forests (RF)—were applied to quantify species–environment relationships. Explanatory variables included both biotic and abiotic factors: temperature, salinity, water depth, sea surface chlorophyll a concentration (SSC), phytoplankton abundance, and zooplankton abundance. The results revealed pronounced spatial heterogeneity in the high-density areas of both species. Among the models, GAM consistently explained a higher proportion of deviance in the observed distributions. Further analysis showed that round scad and jack mackerel responded differently to environmental gradients such as water depth and temperature, although their responses to varying plankton concentrations were largely consistent. Specifically, round scad are typically found in waters at depths ranging from 0 to 50 m, whereas jack mackerel tend to inhabit depths exceeding 100 m. In response to high plankton abundance, both species exhibit a notable increase in resource availability when plankton levels surpass 3. These findings indicate distinct spatial niches and suggest potential competition in feeding ecology between the two species. Overall, the study enhances understanding of the spatial dynamics of key commercial species in the northern SCS and provides valuable insights for sustainable fisheries management and conservation planning. Full article
(This article belongs to the Special Issue Sustainable Fisheries Dynamics)
Show Figures

Figure 1

14 pages, 4099 KB  
Article
Occurrence and Community Structure of Wild Fish Within Adriatic Sea Fish Farms
by Slavica Čolak, Ivana Zubak Čižmek, Rina Milošević, Bruna Babin, Filip Tafra, Tomislav Grgić, Tomislav Šarić, Renata Barić, Bosiljka Mustać, Ivan Župan and Lav Bavčević
Fishes 2025, 10(10), 504; https://doi.org/10.3390/fishes10100504 - 8 Oct 2025
Viewed by 794
Abstract
This study presents, for the first time, the occurrence and community structure of wild fish inside marine aquaculture cages of gilthead seabream (Sparus aurata), European sea bass (Dicentrarchus labrax), greater amberjack (Seriola dumerili), meagre (Argyrosomus regius [...] Read more.
This study presents, for the first time, the occurrence and community structure of wild fish inside marine aquaculture cages of gilthead seabream (Sparus aurata), European sea bass (Dicentrarchus labrax), greater amberjack (Seriola dumerili), meagre (Argyrosomus regius), and common dentex (Dentex dentex). Coexistence of farmed and wild fish was observed only in cages of gilthead seabream and European sea bass, with wild fish constituting 0.08% of the total sampled fish biomass. Twelve wild fish species from five families were recorded: Carangidae, Clupeidae, Mugilidae, Moronidae, and Sparidae. Bogue (Boops boops) and jack mackerel (Trachurus sp.) were the most abundant. Multivariate analysis indicated that location significantly influenced the wild fish community composition, while reared species and farming duration, along with their interaction, had no significant effect. Descriptive comparisons suggested potential differences in biometric traits of bogue and jack mackerel between reared species and farming duration. The findings highlight the need for further research on wild fish in cages to better understand the potential health and biosecurity risks they may pose. Full article
Show Figures

Figure 1

14 pages, 1484 KB  
Article
Dietary Soy Isoflavones Promote Feminization and Enhance Growth of Juvenile Japanese Eel (Anguilla japonica)
by Hae Seung Jeong, Seong Don Hwang, Kyoung Mi Won and Ju-ae Hwang
Animals 2025, 15(17), 2513; https://doi.org/10.3390/ani15172513 - 26 Aug 2025
Cited by 4 | Viewed by 1851
Abstract
The Japanese eel (Anguilla japonica) is a valuable aquaculture species in East Asia. However, sex differentiation under culture conditions is often male-biased, complicating the production of female broodstock. This study evaluated the effects of dietary soy isoflavone (SI) supplementation on growth [...] Read more.
The Japanese eel (Anguilla japonica) is a valuable aquaculture species in East Asia. However, sex differentiation under culture conditions is often male-biased, complicating the production of female broodstock. This study evaluated the effects of dietary soy isoflavone (SI) supplementation on growth performance, sex differentiation, and sex-specific gene expression in juvenile eels. Juvenile eels (initial mean weight: 1.25 ± 0.02 g) were randomly assigned to 15 tanks, each containing 100 g eels, in a 30-week feeding trial. The control diet (SI0) contained 75% jack mackerel meal. The graded levels (2.5, 5, 7.5, and 10%) of α-Starch were included at the expense of SI, referred to as SI0, SI2.5, SI5, SI7.5, and SI10 diets, respectively. Fish were hand-fed to satiation in triplicate groups of each diet, twice daily for 30 weeks. The SI2.5 and SI5 groups exhibited significantly enhanced final weights and specific growth rates compared to those in the control group (SI0). Histological analysis revealed the presence of differentiating gonads with oogonial proliferation and previtellogenesis in the SI-treated groups, particularly at the 2.5% and 5% inclusion levels. Additionally, the expression of key female-related genes (vasa, cyp19a1a, foxl2a, zp3, and zar1) was significantly upregulated in these groups. In contrast, relatively high SI levels (7.5% and 10%) did not provide any further benefits. These results suggest that low-dose supplementation of dietary SI can enhance feminization and promote growth in juvenile eels, thus offering a potential natural alternative to synthetic hormone treatment for broodstock development. Full article
(This article belongs to the Special Issue Sex Determination and Differentiation in Aquatic Animals)
Show Figures

Figure 1

18 pages, 2242 KB  
Article
Catch Losses and Reduction of Bycatch for Jellyfish Using Marine Mammal Bycatch Reduction Devices in Midwater Trawl Gear
by Jung-Mo Jung, Hyun-Young Kim, Bong-Jin Cha, Sung-Jae Kim, Tae-Suk Kim, Gyeong-Cheol Hyun and Kyu-Suk Choi
Fishes 2025, 10(6), 276; https://doi.org/10.3390/fishes10060276 - 6 Jun 2025
Viewed by 1468
Abstract
The National Institute of Fisheries Science in Korea is developing marine mammal bycatch reduction devices (BRDs) for midwater trawl gear. In this study, we tested two BRD-type guide nets (inclined net panel) with 30° and 45° tilt angles to prevent marine mammals from [...] Read more.
The National Institute of Fisheries Science in Korea is developing marine mammal bycatch reduction devices (BRDs) for midwater trawl gear. In this study, we tested two BRD-type guide nets (inclined net panel) with 30° and 45° tilt angles to prevent marine mammals from reaching the codend and facilitating their escape from the net. Fishing operations were conducted along the east and south coasts of South Korea, and cameras were installed in front of the BRDs to monitor their performance. The catch loss of herring with the 30° guide net was 13% and 11% in number and weight. The catch loss of hairtail was 53% and 51% in number and weight with the 30° guide net. Mackerel showed a 97% catch loss in number and weight with the 45° guide net. The 30° guide net resulted in lower catch loss for rudderfish and jack mackerel compared to the 45° guide net. The jellyfish discard rate of the BRD was 5% and 7% in number and weight with the 30° guide net and 12% and 11% with the 45° guide net, indicating that the 30° guide net was more effective at discarding jellyfish. Mesh selectivity was not strongly related to target species body length. Full article
(This article belongs to the Special Issue Sustainable Fisheries Dynamics)
Show Figures

Figure 1

11 pages, 1547 KB  
Article
Temporal and Spatial Population Genetic Variation in Chilean Jack Mackerel (Trachurus murphyi)
by Cristian B. Canales-Aguirre, Sandra Ferrada Fuentes and Ricardo Galleguillos
Biology 2025, 14(5), 510; https://doi.org/10.3390/biology14050510 - 7 May 2025
Cited by 1 | Viewed by 1224
Abstract
Trachurus murphyi have been studied for population genetic structures for decades, identifying only one large population across the South Pacific Ocean. Although all of these studies have extensively examined the spatial genetic pattern, there remains a gap in understanding the potential role of [...] Read more.
Trachurus murphyi have been studied for population genetic structures for decades, identifying only one large population across the South Pacific Ocean. Although all of these studies have extensively examined the spatial genetic pattern, there remains a gap in understanding the potential role of temporality. Our study aims to elucidate spatial and temporal genetic patterns in T. murphyi populations in the South Pacific Ocean, examining genetic composition across seasons, including feeding and spawning seasons, where the latter was not previously investigated. Using 10 microsatellite loci, our study confirms an overall consistent and stable population genetic pattern in T. murphyi across its geographic distribution observed over multiple years and seasons. The only exception was found for New Zealand in the spring–summer season. Furthermore, we identify potential genetic markers for monitoring variability in the species. Full article
(This article belongs to the Special Issue Genetic Variability within and between Populations)
Show Figures

Figure 1

19 pages, 1516 KB  
Article
Analysis of Fatty Acid Profile, α-Tocopherol, Squalene and Cholesterol Content in Edible Parts and By-Products of South Pacific Wild Fishes
by Sussi López-Puebla, María Fernanda Arias-Santé, Jaime Romero, Adriano Costa de Camargo and Miguel Ángel Rincón-Cervera
Mar. Drugs 2025, 23(3), 104; https://doi.org/10.3390/md23030104 - 27 Feb 2025
Cited by 7 | Viewed by 3325
Abstract
Fish are generally rich sources of n-3 polyunsaturated fatty acids such as EPA and DHA, and although the edible part (fillet) has been analyzed in many species, less is known about the composition of fish by-products. The analysis of these materials allows them [...] Read more.
Fish are generally rich sources of n-3 polyunsaturated fatty acids such as EPA and DHA, and although the edible part (fillet) has been analyzed in many species, less is known about the composition of fish by-products. The analysis of these materials allows them to be evaluated as raw sources of EPA and DHA, thus contributing to sustainable practices to produce healthy oils for human consumption. This work provides information on the fatty acid profiles, lipid quality indices and α-tocopherol, squalene and cholesterol contents in fillets, heads, bones and viscera of three fish species (anchovy, chub mackerel and Chilean jack mackerel). Samples were lyophilized and lipids were extracted using either the Folch or Hara and Radin methods. FA profiles were obtained by gas chromatography coupled with flame ionization detection, and tocopherol, squalene and cholesterol analyses were performed by high performance liquid chromatography with UV-visible detection. The highest levels of EPA were found in anchovy fillet (18.9–20.6%) and bone (14.7%), while DHA was more abundant in anchovy fillet (16.9–22.0%) and Chilean jack mackerel fillet (15.4–16.6%) and bone (13.1–13.8%). α-Tocopherol, squalene and cholesterol contents ranged from 0.18 to 1.35 mg/100 g, 0.07 to 0.80 mg/100 g and 30.46 to 246.17 mg/100 g, respectively, in the different tissues analyzed from the three fish species. Full article
Show Figures

Figure 1

20 pages, 302 KB  
Article
Effects of Chicken By-Product Meal as a Fish Meal Replacer in Diets With or Without Jack Mackerel Meal Inclusion: Growth and Feed Availability for Rockfish (Sebastes schlegeli)
by June Kim, Yu Jin Sim and Sung Hwoan Cho
Fishes 2025, 10(2), 76; https://doi.org/10.3390/fishes10020076 - 14 Feb 2025
Cited by 1 | Viewed by 1724
Abstract
The current experiment is conducted to determine the effects of chicken by-product meal (CBM) as a fish meal (FM) replacer in diets, with or without the inclusion of jack mackerel (Trachurus japonicus) meal (JMM), on the growth and feed availability of [...] Read more.
The current experiment is conducted to determine the effects of chicken by-product meal (CBM) as a fish meal (FM) replacer in diets, with or without the inclusion of jack mackerel (Trachurus japonicus) meal (JMM), on the growth and feed availability of rockfish (Sebastes schlegeli). A two-way ANOVA experimental design [FM replacement level (FMRL, 25% and 50%) × JMM inclusion (without and with)] was adopted. The control (Con) diet contained 55% FM. In the Con diet, 25% and 50% of FM were substituted with CBM, either without or with the inclusion of 22% JMM, referred to as the CBM25, CBM50, CBM25J, and CBM50J diets, respectively. A total of 375 juvenile fish were distributed into 15 tanks with triplicates. The 25% FM replacement diets led to significantly (p < 0.003 and p < 0.004, respectively) greater weight gain and specific growth rate (SGR) of rockfish than the 50% FM replacement diets. Furthermore, the CBM-replaced diets with JMM inclusion led to significantly (p < 0.003 and p < 0.002, respectively) greater weight gain and SGR of fish compared with those without JMM inclusion. Weight gain and SGR of rockfish fed the Con and CBM25J diets were significantly (p < 0.001 for both) greater than those of fish fed the CBM25, CBM50, and CBM50J diets. However, neither dietary FMRL nor JMM inclusion had significant (p > 0.05) effects on feed consumption, blood chemistry, or the biochemical composition of rockfish. In conclusion, 25% of FM could be replaced with CBM in the 55% FM-based diet, including JMM, without adverse effects on the growth, feed availability, blood chemistry, or biochemical composition (proximate composition and amino and fatty acid profiles) of rockfish. Full article
(This article belongs to the Section Nutrition and Feeding)
28 pages, 1747 KB  
Article
The Impacts and Economic Analysis of Jack Mackerel Meal Inclusion in Low Fish Meal Diets on the Growth and Feed Availability of Juvenile Rockfish (Sebastes schlegeli)
by Yu Jin Sim, June Kim and Sung Hwoan Cho
Animals 2025, 15(1), 62; https://doi.org/10.3390/ani15010062 - 30 Dec 2024
Cited by 3 | Viewed by 2017
Abstract
A two-way {dietary substitution source [chicken by-product meal (CBM), meat meal (MM), and tuna by-product meal (TBM)] × substitution level (25% and 50%)} ANOVA experimental design was adopted. The control (Con) diet included 55% FM. In the Con diet, 25% and 50% of [...] Read more.
A two-way {dietary substitution source [chicken by-product meal (CBM), meat meal (MM), and tuna by-product meal (TBM)] × substitution level (25% and 50%)} ANOVA experimental design was adopted. The control (Con) diet included 55% FM. In the Con diet, 25% and 50% of FM were substituted with CBM, MM, and TBM, with the inclusion of 22% JMM exhibiting strong attractiveness for rockfish, named CBM25J, CBM50J, MM25J, MM50J, TBM25J, and TBM50J diets, respectively. All experimental diets were assigned to triplicate groups of fish. A total of 525 juvenile fish were distributed into 21 flow-through tanks. The CBM- and TBM-substituted diets achieved greater weight gain and specific growth rates (SGRs) of rockfish than the MM-substituted diets. Moreover, dietary 25% FM substitutions achieved greater weight gain and SGRs of rockfish than dietary 50% FM substitutions. Weight gain and SGRs of rockfish fed the Con, CBM25J, and TBM25J diets were superior to those of rockfish fed the CBM50J, MM50J, and TBM50J diets. Dietary 25% FM substitutions exhibited higher rockfish feed consumption than dietary 50% FM substitutions. None of the proximate compositions, amino and fatty acid profiles, or blood chemistry of the fish were significantly different among dietary treatments. The highest EPI was observed in the CBM25J diet. Conclusively, a 25% FM substitution with CBM, MM, and TBM with the inclusion of 22% JMM in the 55% FM-based diet could be made without reducing the growth and feed consumption of rockfish. Finally, the CBM25J diet produced the highest weight gain and SGRs of rockfish, as well as the highest economic return to farmers. Full article
(This article belongs to the Section Aquatic Animals)
Show Figures

Figure 1

14 pages, 3908 KB  
Article
Numerical Study on Evaluation of Environmental DNA Approach for Estimating Fish Abundance and Distribution in Semi-Enclosed Bay
by Seongsik Park, Seokjin Yoon and Kyunghoi Kim
J. Mar. Sci. Eng. 2024, 12(10), 1891; https://doi.org/10.3390/jmse12101891 - 21 Oct 2024
Viewed by 2564
Abstract
Despite efforts to use environmental DNA (eDNA), accurately quantifying fish populations remains a challenge. A recent eDNA approach provided reliable estimates of coastal fish population abundance, but it was not as effective for assessing spatial distribution due to a lack of eDNA samples [...] Read more.
Despite efforts to use environmental DNA (eDNA), accurately quantifying fish populations remains a challenge. A recent eDNA approach provided reliable estimates of coastal fish population abundance, but it was not as effective for assessing spatial distribution due to a lack of eDNA samples relative to the study area. Therefore, we conducted a numerical case study to evaluate the ability of the eDNA approach to estimate fish (Jack mackerel) abundance and distribution based on the number of eDNA samples in a semi-enclosed bay (Jinhae Bay). Our study revealed that the eDNA approach can provide reliable estimates of fish abundance, even with knowledge of the eDNA concentration in just 1% of the study area. However, for estimating spatial distribution and fish school, significant estimates were obtained only when the eDNA concentration was identified in more than 70% of the study area. Our results confirm that the eDNA approach can reflect fish abundance but has limitations in estimating fish distribution. Full article
Show Figures

Figure 1

18 pages, 859 KB  
Article
Inclusion Effect of Various Levels of Jack Mackerel Meal in Olive Flounder (Paralichthys olivaceus) Diets Substituting 50% Fish Meal with Duck By-Product Meal on Growth and Feed Utilization
by Md Rabiul Islam, Sung Hwoan Cho and Taeho Kim
Animals 2024, 14(15), 2184; https://doi.org/10.3390/ani14152184 - 26 Jul 2024
Cited by 2 | Viewed by 2295
Abstract
This experiment was performed to evaluate the inclusion impact of various levels of jack mackerel meal (JMM) in olive flounder (P. olivaceus) feeds substituting 50% FM by duck by-product meal (DBM) on growth, feed availability, and economic efficiency. Seven experimental diets [...] Read more.
This experiment was performed to evaluate the inclusion impact of various levels of jack mackerel meal (JMM) in olive flounder (P. olivaceus) feeds substituting 50% FM by duck by-product meal (DBM) on growth, feed availability, and economic efficiency. Seven experimental diets were prepared. The control (Con) diet contained 60% FM. Fifty percent FM in the Con diet was substituted with DBM, and then the graded levels (0%, 10%, 20%, 30%, 40%, and 50%) of JMM were added instead of FM, named the DJ0, DJ10, DJ20, DJ30, DJ40, and DJ50 diets, respectively. All feeds were assigned to triplicate fish groups. At the end of 56 days’ feeding, fish fed the DJ40 and DJ50 diets exhibited comparable weight gain and specific growth rate to fish fed the Con diet. Higher feed consumption was observed in fish fed the Con, DJ40, and DJ50 diets compared to fish fed the DJ0 and DJ10 diets. Lower feed conversion ratio was observed in fish fed the Con diet compared to fish fed the DJ0, DJ10, DJ20, and DJ30 diets. Furthermore, the DJ50 diet led to the highest economic profit index (EPI). In conclusion, inclusion of 50% JMM in the olive flounder diet replacing 50% FM with DBM seems to be the most recommendable dietary treatment based on growth and feed consumption of olive flounder and EPI. Full article
(This article belongs to the Section Animal Nutrition)
Show Figures

Figure 1

18 pages, 1119 KB  
Article
Impact on Growth and Feed Availability from Including Jack Mackerel (Trachurus japonicas) Meal in Rockfish (Sebastes schlegeli) Feeds Which Otherwise Replace Fish Meal with Chicken By-Product Meal
by Ran Li and Sung Hwoan Cho
Animals 2024, 14(8), 1203; https://doi.org/10.3390/ani14081203 - 17 Apr 2024
Cited by 3 | Viewed by 1645
Abstract
This study was conducted to elucidate the impact on the growth and feed availability of rockfish (Sebastes schlegeli) from including jack mackerel meal (JMM) in feeds which otherwise substitute 20% fish meal (FM) with chicken by-product meal (CBM). Six formulated feeds [...] Read more.
This study was conducted to elucidate the impact on the growth and feed availability of rockfish (Sebastes schlegeli) from including jack mackerel meal (JMM) in feeds which otherwise substitute 20% fish meal (FM) with chicken by-product meal (CBM). Six formulated feeds were designed to be isonitrogenous and isolipidic. Specifically, 55% FM was included in the control (Con) diet. In the Con diet, 20% FM was substituted by CBM, and then the graded levels (0, 20, 40, 60, and 80%) of JMM were included instead of FM, named as the C20J0, C20J20, C20J40, C20J60, and C20J80 diets, respectively. Five hundred and forty juvenile rockfish (initial weight of 11.2 g) were assigned to 18 tanks. All experimental feeds were fed to triplicate groups of rockfish twice daily for 8 weeks. Superior weight gain, specific growth rate (SGR), and feed intake of rockfish fed the C20J60 and C20J80 diets compared to rockfish fed the Con and C20J0 diets were observed. However, the feed utilization, biological indices, proximate composition, amino acid profiles, and blood chemistry of the rockfish were not affected by the dietary treatments. The slightly but not significantly higher economic profit index and growth performance were obtained in the C20J60 diet compared to the C20J80 diet. In conclusion, the C20J60 diet was the most recommendable treatment based on the improvement in growth performance (weight gain and SGR) and feed intake of rockfish, and the highest economic return to farmers. Full article
(This article belongs to the Section Aquatic Animals)
Show Figures

Figure 1

20 pages, 1860 KB  
Article
Effects of Dietary Inclusion of a Crude Protein Source Exhibiting the Strongest Attractiveness to Red Sea Bream (Pagrus major) on Growth, Feed Availability, and Economic Efficiency
by Seong Il Baek and Sung Hwoan Cho
Animals 2024, 14(5), 771; https://doi.org/10.3390/ani14050771 - 29 Feb 2024
Cited by 8 | Viewed by 2827
Abstract
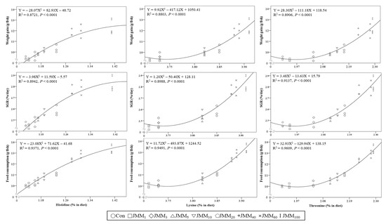
Dietary incorporation of an attractive feed protein source is a practical method of enhancing feed intake and consequently improving the growth of fish. The attractiveness of 18 crude protein sources to juvenile red sea bream (Pagrus major) and the effects of [...] Read more.
Dietary incorporation of an attractive feed protein source is a practical method of enhancing feed intake and consequently improving the growth of fish. The attractiveness of 18 crude protein sources to juvenile red sea bream (Pagrus major) and the effects of the dietary inclusion of the crude protein source that exhibited the strongest attractiveness on growth, feed availability, and economic efficiency were determined. Jack mackerel meal (JMM) showed the strongest attractiveness to red sea bream among 18 crude protein ingredients. In an 8-week feeding trial, 810 juveniles were randomly distributed into 27 tanks (30 fish/tank). Nine experimental diets were prepared. The control (Con) diet included 60% fish meal (FM). Various levels (1, 3, 5, 10, 20, 40, 60, and 100%) of JMM were included at the expense of FM in the Con diet, and the resulting diets were named the JMM1, JMM3, JMM5, JMM10, JMM20, JMM40, JMM60, and JMM100 diets, respectively. Fish were hand-fed to apparent satiation twice daily for 8 weeks. The weight gain, specific growth rate, and feed consumption of red sea bream that were fed the JMM40, JMM60, and JMM100 diets were significantly (p < 0.0001 for all) higher than those of the fish fed all other diets. However, dietary JMM inclusion had no remarkable impacts on the feed utilization, biological indices, and chemical composition of the whole body of red sea bream. In terms of the economic view of the study, the economic profit index of red sea bream fed the JMM40, JMM60, and JMM100 diets was significantly (p < 0.0001) greater than that of the fish fed all other diets. In conclusion, the strongest attractiveness to red sea bream among 18 crude protein sources was observed in JMM. The inclusion of more than 40% JMM at the expense of FM in the diet of red sea bream is highly recommended for practical feed formulations to induce remarkable improvement in the growth performance of fish and the economic returns for farmers. Full article
(This article belongs to the Section Aquatic Animals)
Show Figures

Figure 1

15 pages, 9627 KB  
Article
Digital Classification of Chilean Pelagic Species in Fishing Landing Lines
by Vincenzo Caro Fuentes, Ariel Torres, Danny Luarte, Jorge E. Pezoa, Sebastián E. Godoy, Sergio N. Torres and Mauricio A. Urbina
Sensors 2023, 23(19), 8163; https://doi.org/10.3390/s23198163 - 29 Sep 2023
Cited by 2 | Viewed by 2047
Abstract
Fishing landings in Chile are inspected to control fisheries that are subject to catch quotas. The control process is not easy since the volumes extracted are large and the numbers of landings and artisan shipowners are high. Moreover, the number of inspectors is [...] Read more.
Fishing landings in Chile are inspected to control fisheries that are subject to catch quotas. The control process is not easy since the volumes extracted are large and the numbers of landings and artisan shipowners are high. Moreover, the number of inspectors is limited, and a non-automated method is utilized that normally requires months of training. In this work, we propose, design, and implement an automated fish landing control system. The system consists of a custom gate with a camera array and controlled illumination that performs automatic video acquisition once the fish landing starts. The imagery is sent to the cloud in real time and processed by a custom-designed detection algorithm based on deep convolutional networks. The detection algorithm identifies and classifies different pelagic species in real time, and it has been tuned to identify the specific species found in landings of two fishing industries in the Biobío region in Chile. A web-based industrial software was also developed to display a list of fish detections, record relevant statistical summaries, and create landing reports in a user interface. All the records are stored in the cloud for future analyses and possible Chilean government audits. The system can automatically, remotely, and continuously identify and classify the following species: anchovy, jack mackerel, jumbo squid, mackerel, sardine, and snoek, considerably outperforming the current manual procedure. Full article
(This article belongs to the Section Sensing and Imaging)
Show Figures

Figure 1

19 pages, 7592 KB  
Article
Impacts of Strong ENSO Events on Fish Communities in an Overexploited Ecosystem in the South China Sea
by Miao Li, Youwei Xu, Mingshuai Sun, Jiajun Li, Xingxing Zhou, Zuozhi Chen and Kui Zhang
Biology 2023, 12(7), 946; https://doi.org/10.3390/biology12070946 - 1 Jul 2023
Cited by 17 | Viewed by 3805
Abstract
To better understand how fish communities respond to environmental changes under extreme climate events, we examine changes in fish communities in Beibu Gulf during strong El Niño and La Niña events. Strong La Niña and El Niño events affect the composition, abundance, and [...] Read more.
To better understand how fish communities respond to environmental changes under extreme climate events, we examine changes in fish communities in Beibu Gulf during strong El Niño and La Niña events. Strong La Niña and El Niño events affect the composition, abundance, and distribution of fish communities in Beibu Gulf. Fish community distribution and composition change before and after La Niña and El Niño events, and dominant species within them change with stable fishing intensity. The abundance and distribution of small pelagic fish such as Japanese jack mackerel (Trachurus japonicus) and Japanese scad (Decapterus maruadsi) are the most affected. Using a generalized additive model (GAM), we explore relationships between the abundance of T. japonicus and D. maruadsi and a suite of environmental variables. The GAM results revealed that sea surface salinity and sea surface temperature best explain changes in catch per unit effort of these two species during a La Niña event; depth, sea surface temperature, and mixed layer depth during an El Niño event. The results obtained in this study will offer support for implementing more-accurate, scientific fisheries management measures. Full article
(This article belongs to the Section Ecology)
Show Figures

Figure 1

Back to TopTop