The Differences in the Responses of Pelagic Fish Distribution in the Northern South China Sea to Environmental Factors: A Case Study of Round Scad and Jack Mackerel in the Hainan Island Offshore Area
Abstract
1. Introduction
2. Materials and Methods
2.1. Data Collection
2.1.1. Fishery Data
2.1.2. Environmental Factors
2.2. Data Analyses
2.2.1. Fish Stock Density
2.2.2. Species Distribution Models
3. Results
3.1. Model Selection
3.2. Characteristics of Stock Density Distribution of Round Scad and Jack Mackerel
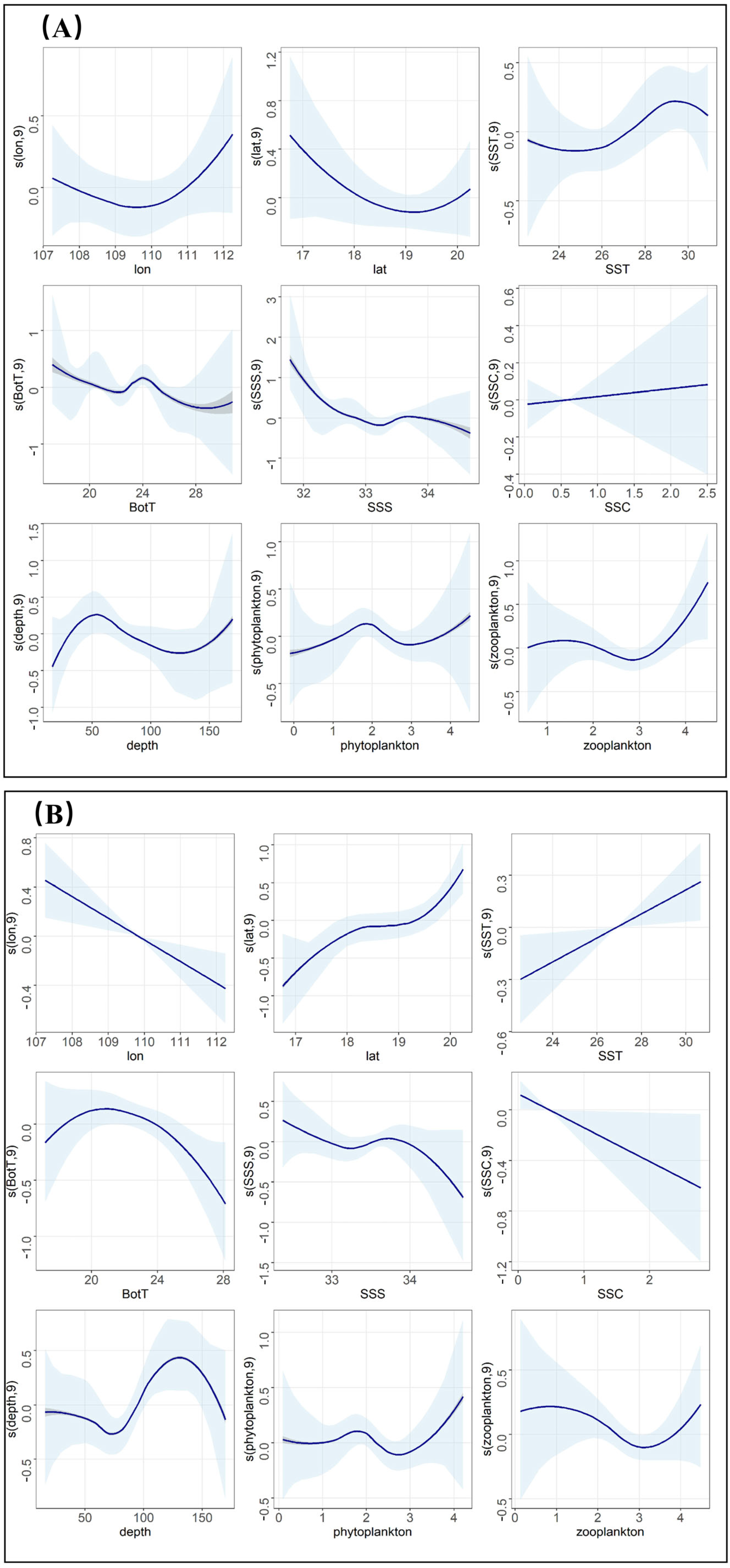
3.3. The Effect of Main Factors on the Stock Density Distribution of Round Scad and Jack Mackerel
4. Discussion
4.1. Comparison of Distribution Patterns Between Round Scad and Jack Mackerel
4.2. Similarities and Differences in Response to Environmental Changes Between Round Scad and Jack Mackerel
4.3. Future Work
5. Conclusions
Author Contributions
Funding
Institutional Review Board Statement
Data Availability Statement
Acknowledgments
Conflicts of Interest
References
- Yang, J.Q.; Ouyang, L.L.; Tang, F.H.; Shi, Y.R.; Chao, M.; Wang, Y.L. Relationship between the zooplankton community structure and environmental factors offshore of northwest Hainan Island, China. J. Fish. Sci. China 2020, 27, 236–249. [Google Scholar]
- Qiu, Y.S.; Zeng, X.G.; Chen, T.; Yuan, W.W. Fishery Resources and Fisheries Management in the South China Sea; China Ocean Press: Beijing, China, 2008. [Google Scholar]
- Gao, J.S. The Research on the Eddy in the Northern South China Sea and Circulation in the Beibu Gulf; Ocean University of China: Qingdao, China, 2013. [Google Scholar]
- Zhu, J.Y.; Zhou, Q.Y.; Zhou, Q.Q.; Geng, X.X.; Shi, J.; Guo, X.Y.; Yu, Y.; Yang, Z.W.; Fan, R.F. Interannual variation of coastal upwelling around Hainan Island. Front. Mar. Sci. 2023, 10, 1054669. [Google Scholar] [CrossRef]
- Sun, D.R.; Li, Y.; Wang, X.H. Seasonal changes of species composition and diversity of fishes in coastal waters of Hainan Island, China. South China Fish. Sci. 2012, 8, 1–7. [Google Scholar]
- Zhang, Y.X.; Liu, W.; Zhao, H.L.; Wu, C.H.; Chen, M. Diversity analysis of nekton in the offshore waters of Hainan Island in spring and autumn. J. Fish. Res. 2021, 43, 133–142. [Google Scholar]
- Yu, J.; Lin, Z.N.; Chen, P.M.; Yao, L.J. Environmental factors affecting the spatiotemporal distribution of Decapterus maruadsi in the western Guangdong waters, China. Appl. Ecol. Environ. Res. 2019, 17, 8485–8499. [Google Scholar] [CrossRef]
- Zhang, K.; Li, M.; Li, J.J.; Sun, M.S.; Xu, Y.W.; Cai, Y.C.; Chen, Z.Z.; Qiu, Y.S. Climate-induced small pelagic fish blooms in an overexploited marine ecosystem of the South China Sea. Ecol. Indic. 2022, 145, 109598. [Google Scholar] [CrossRef]
- Li, Z.L.; Zhang, W.X.; He, X.B.; Yan, Y.R. Feeding ecology and feeding competition between Decapterus maruadsi and Trachurus japonicus in autumn in the Beibu Gulf, South China Sea. J. Guangdong Ocean Univ. 2019, 39, 79–86. [Google Scholar]
- Wang, K.L.; Gong, Y.Y.; Chen, Z.Z.; Xu, Y.W.; Sun, M.S.; Cai, Y.C.; Li, J.J.; Xu, S.N. Trophic niche of Decapterus maruadsi in the northern South China Sea as revealed by stable isotope techniques. Chin. J. Ecol. 2022, 41, 724–731. [Google Scholar]
- Zhai, Y. Study on the Population Genetics of Decapterus maruadsi from the Northern South China Sea; Guangdong Ocean University: Zhanjiang, China, 2020. [Google Scholar]
- Wang, L.M.; Yang, C.P.; Liu, Y.; Shan, B.B.; Ma, S.W.; Sun, D.R. Effects of biotic and abiotic factors on the spatiotemporal distribution of round scad (Decapterus maruadsi) in the Hainan Island offshore area. Diversity 2023, 15, 659. [Google Scholar] [CrossRef]
- Yan, R.; Fan, J.T.; Xu, S.N.; Xu, Y.W.; Sun, M.S.; Chen, Z.Z. Spatial distribution of jack mackerel (Trachurus japonicus) in the northern South China Sea based on geostatistics. J. Trop. Oceanogr. 2018, 37, 133–139. [Google Scholar]
- Xiong, P.L.; Cai, Y.C.; Jiang, P.W.; Xu, Y.W.; Sun, M.S.; Fan, J.T.; Chen, Z.Z. Impact of climate change on the distribution of Trachurus japonicus in the Northern South China Sea. Ecol. Indic. 2024, 60, 111758. [Google Scholar] [CrossRef]
- Chavez, F.P.; Ryan, J.; Lluch-Cota, S.E.; Miguel, N.C. From anchovies to sardines and back: Multidecadal change in the Pacific Ocean. Science 2003, 299, 217–221. [Google Scholar] [CrossRef] [PubMed]
- Ma, S.Y.; Cheng, J.J.; Li, J.C.; Liu, Y.; Wan, R.; Tian, Y.J. Interannual to decadal variability in the catches of small pelagic fishes from China seas and its responses to climatic regime shifts. Deep Sea Res. Part II Top. Stud. Oceanogr. 2019, 159, 112–129. [Google Scholar] [CrossRef]
- Yan, R.; Fan, J.T.; Xu, S.N.; Xu, Y.W.; Sun, M.S.; Chen, Z.Z. Distribution characteristics of jack mackerel (Trachurus japonicus) habitat in the offshore waters of northern South China Sea. Chin. J. Ecol. 2018, 37, 2430–2435. [Google Scholar]
- Fan, J.T.; Huang, Z.R.; Xu, Y.W.; Sun, M.S.; Chen, G.B.; Chen, Z.Z. Habitat model analysis for Decapterus Maruadsi in Northern South China Sea based on remote sensing data. Trans. Oceanol. Limnol. 2018, 3, 142–147. [Google Scholar]
- He, L.X.; Fu, D.Y.; Li, Z.L.; Wang, H.; Sun, Y.; Liu, B.; Yu, G. Spatio-temporal distribution of Decapterus maruadsi and its relationship with environmental factors in the northwestern South China Sea. Prog. Fish. Sci. 2022, 43, 1–12. [Google Scholar]
- Takasuka, A.; Oozeki, Y.; Aoki, I. Optimal growth temperature hypothesis: Why do anchovy flourish and sardine collapse or vice versa under the same ocean regime. Can. J. Fish. Aquat. Sci. 2007, 64, 768–776. [Google Scholar] [CrossRef]
- Takasuka, A.; Oozeki, Y.; Kubota, H.; Lluch-Cota, S.E. Contrasting spawning temperature optima: Why are anchovy and sardine regime shifts synchronous across the North Pacific? Prog. Oceanogr. 2008, 77, 2253232. [Google Scholar] [CrossRef]
- Oozeki, Y.; Carranza, M.N.; Takasuka, A.; Dejo, P.A.; Kuroda, H.; Malagas, J.T.; Okunishi, T.; Espinoza, L.V.; Aguilar, D.G.; Okamura, H.; et al. Synchronous multi-species alternations between the northern Humboldt and Kuroshio Current systems. Deep Sea Res. Part II Top. Stud. Oceanogr. 2019, 159, 11–21. [Google Scholar] [CrossRef]
- Yentsch, C.S.; Menzel, D.W. A method for the determination of phytoplankton chlorophyll and phaeophytin by fluorescence. Deep. Sea Res. Oceanogr. Abstr. 1963, 10, 221–231. [Google Scholar] [CrossRef]
- Sparre, P.; Venema, S.C. Introduction to Tropical Fish Stock Assessment Part I. Manual; FAO Fisheries Technical Paper 2ed; FAO: Rome, Italy, 1998. [Google Scholar]
- Wang, X.; Qiu, Y.; Du, F.; Liu, W.; Sun, D.; Chen, X.; Yuan, W.; Chen, Y. Roles of fishing and climate change in long-term fish species succession and population dynamics in the outer Beibu Gulf, South China Sea. Acta Oceanol. Sin. 2019, 38, 1–8. [Google Scholar] [CrossRef]
- Sagarese, S.R.; Frisk, M.G.; Cerrat, R.M.; Sosebee, K.A.; Musick, J.A.; Rago, P.J. Application of generalized additive models to examine ontogenetic and seasonal distributions of spiny dogfish (Squalus acanthias) in the northeast (US) shelf large marine ecosystem. Can. J. Fish. Aquat. Sci. 2014, 71, 847–877. [Google Scholar] [CrossRef]
- Wood, S.N. Generalized Additive Models: An Introduction with R; Chapman and Hall/CRC Press: Boca Raton, FL, USA, 2006. [Google Scholar]
- Breiman, L. Random forests. Mach. Learn. 2001, 45, 5–32. [Google Scholar] [CrossRef]
- Liaw, A.; Wiener, M. Classification and regression by randomForest. R News 2002, 2, 18–22. [Google Scholar]
- Johnson, J.B.; Omland, K.S. Model selection in ecology and evolution. Trends Ecol. Evol. 2004, 19, 101–108. [Google Scholar] [CrossRef]
- Deng, J.Y.; Zhao, C.Y. Marine Fisheries Biology; China Agriculture Press: Beijing, China, 1991. [Google Scholar]
- Chen, Z.C.; Liu, J.X. Economic Fish in South China Sea; Guangdong Science and Technology Press: Guangzhou, China, 1982. [Google Scholar]
- Li, J.S.; Zhang, Q.Y.; Zheng, Y.J. Review and prospect of biological study on common marine pelagic commercial fishes in China. Mar. Fish. 2014, 36, 565–575. [Google Scholar]
- Zhao, C.Y.; Lin, J.Q. Marine Fishery Resource of China; Zhejiang Science & Technology Press: Hangzhou, China, 1990. [Google Scholar]
- Dong, Y.W.; Bao, M.H.; Cheng, J.; Chen, Y.Y.; Du, J.G.; Gao, Y.C.; Hu, L.S.; Li, X.C.; Liu, C.L.; Qin, G.; et al. Advances of marine biogeography in China: Species distribution model and its applications. Biodivers. Sci. 2004, 32, 1–31. [Google Scholar] [CrossRef]
- Yan, R.; Fan, J.T.; Chen, Z.Z.; Cai, Y.C.; Zhang, K.; Xu, Y.W.; Xu, S.N. The probability distribution of the jack mackerel (Trachurus japonicus) density in the offshore of the northern South China Sea. J. Fish. Sci. China 2019, 26, 91–98. [Google Scholar] [CrossRef]
- Odum, E.P. Fundamentals of Ecology; Saunders: Philadelphia, PA, USA, 1971. [Google Scholar]
- Sassa, C.; Konishi, Y. Vertical distribution of jack mackerel Trachurus japonicas in the southern part of the East China Sea. Fish. Sci. 2010, 72, 612–619. [Google Scholar]
- Feng, Y.T.; Shi, H.Y.; Hou, G.; Zhao, H.; Dong, C.M. Relationships between environmental variables and spatial and temporal distribution of jack mackerel (Trachurus japonicus) in the Beibu Gulf, South China Sea. PeerJ 2021, 9, e12337. [Google Scholar] [CrossRef] [PubMed]
- Zheng, Y.J.; Li, J.S.; Zhang, Q.Y.; Hong, W.S. Research progresses of resource biology of important marine pelagic food fishes in China. J. Fish. China 2014, 38, 149–160. [Google Scholar]




| Explanatory Variables | Round Scad | Jack Mackerel | ||
|---|---|---|---|---|
| F | p-Value | F | p-Value | |
| s(lon) | 0.992 | 0.4609 | 9.671 | 0.00242 ** |
| s(lat) | 1.827 | 0.1472 | 3.318 | 0.00301 ** |
| s(SST) | 1.249 | 0.3379 | 6.033 | 0.01572 * |
| s(BotT) | 1.478 | 0.1365 | 2.594 | 0.05018 |
| s(SSS) | 2.285 | 0.0202 * | 1.257 | 0.33499 |
| s(SSC) | 0.002 | 0.9645 | 4.282 | 0.04104 * |
| s(depth) | 1.615 | 0.1366 | 3.001 | 0.00947 ** |
| s(phytoplankton) | 0.809 | 0.4985 | 1.045 | 0.40522 |
| s(zooplankton) | 1.824 | 0.1555 | 1.312 | 0.27416 |
Disclaimer/Publisher’s Note: The statements, opinions and data contained in all publications are solely those of the individual author(s) and contributor(s) and not of MDPI and/or the editor(s). MDPI and/or the editor(s) disclaim responsibility for any injury to people or property resulting from any ideas, methods, instructions or products referred to in the content. |
© 2025 by the authors. Licensee MDPI, Basel, Switzerland. This article is an open access article distributed under the terms and conditions of the Creative Commons Attribution (CC BY) license (https://creativecommons.org/licenses/by/4.0/).
Share and Cite
Wang, L.; Shan, B.; Yang, C.; Liu, Y.; Sun, D. The Differences in the Responses of Pelagic Fish Distribution in the Northern South China Sea to Environmental Factors: A Case Study of Round Scad and Jack Mackerel in the Hainan Island Offshore Area. Fishes 2025, 10, 574. https://doi.org/10.3390/fishes10110574
Wang L, Shan B, Yang C, Liu Y, Sun D. The Differences in the Responses of Pelagic Fish Distribution in the Northern South China Sea to Environmental Factors: A Case Study of Round Scad and Jack Mackerel in the Hainan Island Offshore Area. Fishes. 2025; 10(11):574. https://doi.org/10.3390/fishes10110574
Chicago/Turabian StyleWang, Liangming, Binbin Shan, Changping Yang, Yan Liu, and Dianrong Sun. 2025. "The Differences in the Responses of Pelagic Fish Distribution in the Northern South China Sea to Environmental Factors: A Case Study of Round Scad and Jack Mackerel in the Hainan Island Offshore Area" Fishes 10, no. 11: 574. https://doi.org/10.3390/fishes10110574
APA StyleWang, L., Shan, B., Yang, C., Liu, Y., & Sun, D. (2025). The Differences in the Responses of Pelagic Fish Distribution in the Northern South China Sea to Environmental Factors: A Case Study of Round Scad and Jack Mackerel in the Hainan Island Offshore Area. Fishes, 10(11), 574. https://doi.org/10.3390/fishes10110574

