Sign in to use this feature.

Years

Between: -

Subjects

remove_circle_outline
remove_circle_outline
remove_circle_outline
remove_circle_outline
remove_circle_outline
remove_circle_outline
remove_circle_outline
remove_circle_outline
remove_circle_outline

Journals

Article Types

Countries / Regions

Search Results (37)

Search Parameters:
Keywords = isotopic half-life

Order results
Result details
Results per page
Select all
Export citation of selected articles as:
19 pages, 26918 KB  
Article
Technetium Immobilization on Carbon Steel Corrosion Products Under Simulated Geological Radioactive Waste Repository Conditions
by Elena Abramova, Grigoriy Artemiev, Konstantin German and Alexey Safonov
Materials 2025, 18(22), 5220; https://doi.org/10.3390/ma18225220 - 18 Nov 2025
Viewed by 465
Abstract
The migration of the long-lived isotope technetium-99 (half-life 2.1 × 105 years) presents a significant challenge for the deep geological disposal of radioactive waste. This study investigates the immobilization of technetium by carbon steel corrosion products under aerobic and anaerobic conditions simulating [...] Read more.
The migration of the long-lived isotope technetium-99 (half-life 2.1 × 105 years) presents a significant challenge for the deep geological disposal of radioactive waste. This study investigates the immobilization of technetium by carbon steel corrosion products under aerobic and anaerobic conditions simulating the Yeniseysky site (Krasnoyarsk Region, Russia), a proposed location for a Deep Geological Repository (DGR). Over time, the degradation of barrier materials is expected to allow low-salinity solutions to be brought into contact St3 steel, the intended container material for vitrified radioactive waste in the Russian context, leading to crevice corrosion. The findings demonstrate that carbon steel containers act not merely as a physical barrier but also as a chemical barrier by facilitating the reductive immobilization of technetium. The most effective reduction of technetium was observed in the presence of ferrihydrite as a corrosion product under both aerobic and anaerobic conditions, as indicated by distribution coefficient (Kd) values ranging from 1.4 × 103 to 1.6 × 103 cm3/g. However, the presence of bentonite clay can diminish the efficiency of this process by adsorbing corrosion products, resulting in a 50% reduction in the distribution coefficients. In contrast, leaching products from aluminophosphate glass and cement had a less pronounced effect on technetium immobilization, causing a decrease in distribution coefficients of no more than 30%. The results of this research can be applied to model the long-term behavior of technetium in the evolving environment of a geological radioactive waste repository. Full article
(This article belongs to the Section Corrosion)
Show Figures

Graphical abstract

14 pages, 1409 KB  
Article
Production, Validation, and Exposure Dose Measurement of [13N]Ammonia Under Academic Good Manufacturing Practice Environments
by Katsumi Tomiyoshi, Yuta Namiki, David J. Yang and Tomio Inoue
Pharmaceutics 2025, 17(5), 667; https://doi.org/10.3390/pharmaceutics17050667 - 19 May 2025
Cited by 1 | Viewed by 1183
Abstract
Objective: Current good manufacturing practice (cGMP) guidance for positron emission tomography (PET) drugs has been established in Europe and the United States. In Japan, the Pharmaceuticals and Medical Devices Agency (PMDA) approved the use of radiosynthesizers as medical devices for the in-house manufacturing [...] Read more.
Objective: Current good manufacturing practice (cGMP) guidance for positron emission tomography (PET) drugs has been established in Europe and the United States. In Japan, the Pharmaceuticals and Medical Devices Agency (PMDA) approved the use of radiosynthesizers as medical devices for the in-house manufacturing of PET drugs in hospitals and clinics, regardless of the cGMP environment. Without adequate facilities, equipment, and personnel required by cGMP regulations, the quality assurance (QA) and clinical effectiveness of PET drugs largely depend on the radiosynthesizers themselves. To bridge the gap between radiochemistry standardization and site qualification, the Japanese Society of Nuclear Medicine (JSNM) has issued guidance for the in-house manufacturing of small-scale PET drugs under academic GMP (a-GMP) environments. The goals of cGMP and a-GMP are different: cGMP focuses on process optimization, certification, and commercialization, while a-GMP facilitates the small-scale, in-house production of PET drugs for clinical trials and patient-specific standard of care. Among PET isotopes, N-13 has a short half-life (10 min) and must be synthesized on site. [13N]Ammonia ([13N]NH3) is used for myocardial perfusion imaging under the Japan Health Insurance System (JHIS) and was thus selected as a working example for the manufacturing of PET drugs in an a-GMP environment. Methods: A [13N]NH3-radiosynthesizer was installed in a hot cell within an a-GMP-compliant radiopharmacy unit. To comply with a-GMP regulations, the air flow was adjusted through HEPA filters. All cabinets and cells were disinfected to ensure sterility once a month. Standard operating procedures (SOPs) were applied, including analytical methods. Batch records, QA data, and radiation exposure to staff in the synthesis of [13N]NH3 were measured and documented. Results: 2.52 GBq of [13N]NH3 end-of-synthesis (EOS) was obtained in an average of 13.5 min in 15 production runs. The radiochemical purity was more than 99%. Exposure doses were 11 µSv for one production run and 22 µSv for two production runs. The pre-irradiation background dose rate was 0.12 µSv/h. After irradiation, the exposed dosage in the front of the hot cell was 0.15 µSv/h. The leakage dosage measured at the bench was 0.16 µSv/h. The exposure and leakage dosages in the manufacturing of [13N]NH3 were similar to the background level as measured by radiation monitoring systems in an a-GMP environments. All QAs, environmental data, bacteria assays, and particulates met a-GMP compliance standards. Conclusions: In-house a-GMP environments require dedicated radiosynthesizers, documentation for batch records, validation schedules, radiation protection monitoring, air and particulate systems, and accountable personnel. In this study, the in-house manufacturing of [13N]NH3 under a-GMP conditions was successfully demonstrated. These findings support the international harmonization of small-scale PET drug manufacturing in hospitals and clinics for future multi-center clinical trials and the development of a standard of care. Full article
Show Figures

Figure 1

23 pages, 9832 KB  
Article
Ion Manipulation from Liquid Xe to Vacuum: Ba-Tagging for a nEXO Upgrade and Future 0νββ Experiments
by Dwaipayan Ray, Robert Collister, Hussain Rasiwala, Lucas Backes, Ali V. Balbuena, Thomas Brunner, Iroise Casandjian, Chris Chambers, Megan Cvitan, Tim Daniels, Jens Dilling, Ryan Elmansali, William Fairbank, Daniel Fudenberg, Razvan Gornea, Giorgio Gratta, Alec Iverson, Anna A. Kwiatkowski, Kyle G. Leach, Annika Lennarz, Zepeng Li, Melissa Medina-Peregrina, Kevin Murray, Kevin O’Sullivan, Regan Ross, Raad Shaikh, Xiao Shang, Joseph Soderstrom, Victor Varentsov and Liang Yangadd Show full author list remove Hide full author list
Atoms 2024, 12(12), 71; https://doi.org/10.3390/atoms12120071 - 19 Dec 2024
Cited by 3 | Viewed by 1643
Abstract
Neutrinoless double beta decay (0νββ) provides a way to probe physics beyond the Standard Model of particle physics. The upcoming nEXO experiment will search for 0νββ decay in 136Xe with a projected half-life sensitivity [...] Read more.
Neutrinoless double beta decay (0νββ) provides a way to probe physics beyond the Standard Model of particle physics. The upcoming nEXO experiment will search for 0νββ decay in 136Xe with a projected half-life sensitivity exceeding 1028 years at the 90% confidence level using a liquid xenon (LXe) Time Projection Chamber (TPC) filled with 5 tonnes of Xe enriched to ∼90% in the ββ-decaying isotope 136Xe. In parallel, a potential future upgrade to nEXO is being investigated with the aim to further suppress radioactive backgrounds and to confirm ββ-decay events. This technique, known as Ba-tagging, comprises extracting and identifying the ββ-decay daughter 136Ba ion. One tagging approach being pursued involves extracting a small volume of LXe in the vicinity of a potential ββ-decay using a capillary tube and facilitating a liquid-to-gas phase transition by heating the capillary exit. The Ba ion is then separated from the accompanying Xe gas using a radio-frequency (RF) carpet and RF funnel, conclusively identifying the ion as 136Ba via laser-fluorescence spectroscopy and mass spectrometry. Simultaneously, an accelerator-driven Ba ion source is being developed to validate and optimize this technique. The motivation for the project, the development of the different aspects, along with the current status and results, are discussed here. Full article
(This article belongs to the Special Issue Advances in Ion Trapping of Radioactive Ions)
Show Figures

Figure 1

24 pages, 3790 KB  
Article
Radiation Techniques for Tracking the Progress of the Hydrometallurgical Leaching Process: A Case Study of Mn and Zn
by Nelson Rotich Kiprono, Anna Kawalec, Bartlomiej Klis, Tomasz Smolinski, Marcin Rogowski, Paweł Kalbarczyk, Zbigniew Samczynski, Maciej Norenberg, Beata Ostachowicz, Monika Adamowska, Wojciech Hyk and Andrzej G. Chmielewski
Metals 2024, 14(7), 744; https://doi.org/10.3390/met14070744 - 24 Jun 2024
Cited by 3 | Viewed by 2035
Abstract
With advancements in hardware and software, non-destructive radiometric analytical methods have become popular in a wide range of applications. A typical case is the study of the leaching process of metals from mineral ores and mine tailings. The objective of the current study [...] Read more.
With advancements in hardware and software, non-destructive radiometric analytical methods have become popular in a wide range of applications. A typical case is the study of the leaching process of metals from mineral ores and mine tailings. The objective of the current study was to develop a radiometric method based on neutron activation analysis (NAA), in particular, delayed gamma neutron activation analysis (DGNAA), to monitor the process of Mn and Zn leaching from Ti ore, Cu mine tailings, and Zn-Pb mine tailings. The DGNAA method was performed using a neutron source: a deuterium-tritium (D-T) neutron generator for Mn and a MARIA research nuclear reactor for Zn. Laboratory-scale Mn leaching from Ti ores, Cu tailings, and Zn-Pb tailings was investigated using delayed gamma-rays of 56Mn (half-life of 2.6 h). The dissolution efficiencies of Mn were found to increase with interaction time and HCl concentration (1 to 5 M) and to vary with the leaching temperature (22.5 to 110 °C). Such results were found to agree with those obtained by total reflection X-ray fluorescence (TXRF) spectrometry for the same samples. 65Zn (half-life of 244 days) was chosen to investigate real-time/online leaching of Zn in Ti ore, Cu tailings, and Zn-Pb tailings. During online monitoring, Zn recovery was also reported to increase with increased leaching time. After approximately 300 min of leaching, 80%, 79%, and 53% recovery of Zn in Zn-Pb tailings, Ti ore, and Cu tailings, respectively, were reported. Theoretically, developed mathematical prediction models for 65Zn radiotracer analysis showed that the spherical diffusion model requires much less time to attain saturation compared to the linear diffusion model. The results of NAA for Zn were compared with those obtained by handheld X-ray fluorescence (handheld-XRF) and TXRF analysis. The analyzed samples encompassed leached Ti ore, Cu tailings, and Zn-Pb tailings which were subjected to different conditions of leaching time, temperature, and HCl concentrations. The XRF analysis confirmed that the leaching efficiencies of Zn rise with the increase in leaching time and HCl concentration and fluctuate with leaching temperature. The developed approach is important and can be applied in laboratories and industrial setups for online monitoring of the recovery of any element whose isotopes can be activated using neutrons. The efficiency of the metal-recovery process has a direct impact on the normal operation and economic advantages of hydrometallurgy. Full article
Show Figures

Graphical abstract

32 pages, 8487 KB  
Review
Towards Clinical Development of Scandium Radioisotope Complexes for Use in Nuclear Medicine: Encouraging Prospects with the Chelator 1,4,7,10-Tetraazacyclododecane-1,4,7,10-tetraacetic Acid (DOTA) and Its Analogues
by Ioannis Ioannidis, George Lefkaritis, Savvas N. Georgiades, Ioannis Pashalidis and George J. Kontoghiorghes
Int. J. Mol. Sci. 2024, 25(11), 5954; https://doi.org/10.3390/ijms25115954 - 29 May 2024
Cited by 7 | Viewed by 4430
Abstract
Scandium (Sc) isotopes have recently attracted significant attention in the search for new radionuclides with potential uses in personalized medicine, especially in the treatment of specific cancer patient categories. In particular, Sc-43 and Sc-44, as positron emitters with a satisfactory half-life (3.9 and [...] Read more.
Scandium (Sc) isotopes have recently attracted significant attention in the search for new radionuclides with potential uses in personalized medicine, especially in the treatment of specific cancer patient categories. In particular, Sc-43 and Sc-44, as positron emitters with a satisfactory half-life (3.9 and 4.0 h, respectively), are ideal for cancer diagnosis via Positron Emission Tomography (PET). On the other hand, Sc-47, as an emitter of beta particles and low gamma radiation, may be used as a therapeutic radionuclide, which also allows Single-Photon Emission Computed Tomography (SPECT) imaging. As these scandium isotopes follow the same biological pathway and chemical reactivity, they appear to fit perfectly into the “theranostic pair” concept. A step-by-step description, initiating from the moment of scandium isotope production and leading up to their preclinical and clinical trial applications, is presented. Recent developments related to the nuclear reactions selected and employed to produce the radionuclides Sc-43, Sc-44, and Sc-47, the chemical processing of these isotopes and the main target recovery methods are also included. Furthermore, the radiolabeling of the leading chelator, 1,4,7,10-tetraazacyclododecane-1,4,7,10-tetraacetic acid (DOTA), and its structural analogues with scandium is also discussed and the advantages and disadvantages of scandium complexation are evaluated. Finally, a review of the preclinical studies and clinical trials involving scandium, as well as future challenges for its clinical uses and applications, are presented. Full article
Show Figures

Figure 1

8 pages, 1740 KB  
Article
The Thermophysical Properties of TcO2
by Hong Zhong, Jason Lonergan, John S. McCloy and Scott P. Beckman
Crystals 2024, 14(3), 228; https://doi.org/10.3390/cryst14030228 - 28 Feb 2024
Cited by 1 | Viewed by 1810
Abstract
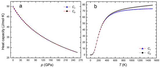
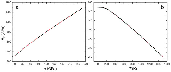
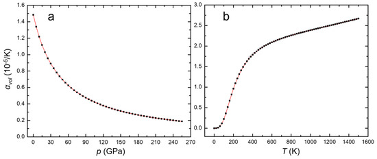
Technetium-99 is a highly radioactive isotope with a long half-life that is common in nuclear waste. It volatizes at a low temperature, which poses a significant challenge to the clean-up and containment processes. Due to difficulties in purifying technetium compounds, their thermophysical properties [...] Read more.
Technetium-99 is a highly radioactive isotope with a long half-life that is common in nuclear waste. It volatizes at a low temperature, which poses a significant challenge to the clean-up and containment processes. Due to difficulties in purifying technetium compounds, their thermophysical properties have not been measured or calculated. Here, first principle methods are used along with the quasi quasi-harmonic harmonic approximation to compute the Debye temperature, volumetric thermal expansion coefficient, bulk modulus, and heat capacity of rutile TcO2 for temperatures ranging from 0 to 1500 K and applied pressures ranging from 0 to 255 GPa. The computed atomic structures agree well with the results from diffraction measurements. The computed thermophysical properties are in the neighborhood of other rutile metal oxides and, in particular, are within approximately 10–13% of rutile ReO2, which is frequently used as a substitute for TcO2 in experimental studies. Full article
Show Figures

Figure 1

15 pages, 5446 KB  
Article
Using 7Be and 137Cs for Assessing the Land Stability of Alexandria Region, Egypt
by Ibrahim H. Saleh, Nessma M. Ibrahim, Mahmoud Adel Hassaan, Zekry F. Ghatass, Jack Arayro, Rabih Mezher, Mohmad Ibosayyed and Mohamed Elsafi
Sustainability 2024, 16(4), 1692; https://doi.org/10.3390/su16041692 - 19 Feb 2024
Cited by 4 | Viewed by 2392
Abstract
This paper presents an assessment of land stability using fallout environmental radioisotopes 7Be and 137Cs. The measurement of both isotopes was carried out in samples of soil collected from twenty-five sites covering the studied region. At each site, the samples were [...] Read more.
This paper presents an assessment of land stability using fallout environmental radioisotopes 7Be and 137Cs. The measurement of both isotopes was carried out in samples of soil collected from twenty-five sites covering the studied region. At each site, the samples were taken from five consecutive vertical depth levels to show the vertical displacement or compactness of the soil column. The collected samples were carefully transferred for radioactivity measurement at Alexandria University’s Institute of Graduate Studies and Research. A high-resolution gamma-ray spectrometer utilizing high-purity germanium was employed for the measurements. Surface distribution of the radionuclides levels was used to show the studied lands’ stability over the short- and long-term based on the used radionuclides’ nuclear half-life. For short-term (months) stability, 7Be (half-life: 35.5 days) levels showed that about 73% of the area is very low in stability, while the areas that recorded low, moderate, and high stability are at 18%, 4%, and 5%, respectively. For long-term (years) stability, 137Cs (half-life: 30 years) levels showed that about 80% of the areas are very low in stability, while the remaining areas, predicted as 12.8%, 5.6%, and 1.6%, are low, moderate, and high stability, respectively. It is clear that the eastern side of Alexandria is suffering from soil erosion and subsidence; on the other hand, the western side is more stable. Consequently, due to the origin of the soil, the nature of soil geological formations, and the environmental prevailing conditions, Alexandria is found to be more vulnerable to the consequences of sea-level rise and climate change. Therefore, adequate strategic management, including mitigation measures and adaptation, should be planned and implemented. Full article
Show Figures

Figure 1

17 pages, 9142 KB  
Article
Investigation of the Effect on the Albumin Binding Moiety for the Pharmacokinetic Properties of 68Ga-, 205/206Bi-, and 177Lu-Labeled NAPamide-Based Radiopharmaceuticals
by Dániel Szücs, Judit P. Szabó, Viktória Arató, Barbara Gyuricza, Dezső Szikra, Imre Tóth, Zita Képes, György Trencsényi and Anikó Fekete
Pharmaceuticals 2023, 16(9), 1280; https://doi.org/10.3390/ph16091280 - 11 Sep 2023
Cited by 5 | Viewed by 2499
Abstract
Although radiolabeled alpha-melanocyte stimulating hormone-analogue NAPamide derivatives are valuable melanoma-specific diagnostic probes, their rapid elimination kinetics and high renal uptake may preclude them from being used in clinical settings. We aimed at improving the pharmacokinetics of radiolabeled DOTA-NAPamide compounds by incorporating a 4-(p-iodo-phenyl)-butanoic [...] Read more.
Although radiolabeled alpha-melanocyte stimulating hormone-analogue NAPamide derivatives are valuable melanoma-specific diagnostic probes, their rapid elimination kinetics and high renal uptake may preclude them from being used in clinical settings. We aimed at improving the pharmacokinetics of radiolabeled DOTA-NAPamide compounds by incorporating a 4-(p-iodo-phenyl)-butanoic acid (IPB) into the molecules. Followed by 68Ga-, 205/206Bi-, and 177Lu-labelling, the radiopharmaceuticals ([68Ga]Ga-DOTA-IPB-NAPamide, [205/206Bi]Bi-DOTA-IPB-NAPamide, [177Lu]Lu-DOTA-IPB-NAPamide) were characterized in vitro. To test the imaging behavior of the IPB-containing probes, B16F10 tumor-bearing C57BL/6 mice were subjected to in vivo microPET/microSPECT/CT imaging and ex vivo biodistribution studies. All tracers were stable in vitro, with radiochemical purity exceeding 98%. The use of albumin-binding moiety lengthened the in vivo biological half-life of the IPB-carrying radiopharmaceuticals, resulting in elevated tumor accumulation. Both [68Ga]Ga-DOTA-IPB-NAPamide (5.06 ± 1.08 %ID/g) and [205/206Bi]Bi-DOTA-IPB-NAPamide (4.50 ± 0.98 %ID/g) exhibited higher B16F10 tumor concentrations than their matches without the albumin-binding residue ([68Ga]Ga-DOTA-NAPamide and [205/206Bi]Bi-DOTA-NAPamide: 1.18 ± 0.27 %ID/g and 3.14 ± 0.32; respectively), however; the large amounts of off-target radioactivity do not confirm the benefits of half-life extension for short-lived isotopes. Enhanced [177Lu]Lu-DOTA-IPB-NAPamide tumor uptake even 24 h post-injection proved the advantage of IPB-based prolonged circulation time regarding long-lived radionuclides, although the significant background noise must be addressed in this case as well. Full article
(This article belongs to the Special Issue Development of Radiolabeled Peptides)
Show Figures

Graphical abstract

16 pages, 4040 KB  
Article
Inter-Comparison of Radon Measurements from a Commercial Beta-Attenuation Monitor and ANSTO Dual Flow Loop Monitor
by Matthew L. Riley, Scott D. Chambers and Alastair G. Williams
Atmosphere 2023, 14(9), 1333; https://doi.org/10.3390/atmos14091333 - 24 Aug 2023
Cited by 1 | Viewed by 1815
Abstract
Radon (Rn) is a radioactive, colourless, odourless, noble gas that decays rapidly. It’s most stable isotope, 222Rn, has a half-life of around 3.8 days. Atmospheric radon measurements play an important role in understanding our atmospheric environments. Naturally occurring radon can be used [...] Read more.
Radon (Rn) is a radioactive, colourless, odourless, noble gas that decays rapidly. It’s most stable isotope, 222Rn, has a half-life of around 3.8 days. Atmospheric radon measurements play an important role in understanding our atmospheric environments. Naturally occurring radon can be used as an atmospheric tracer for airmass tracking, to assist in modelling boundary layer development, and is important for understanding background radiation levels and personal exposure to natural radiation. The daughter products from radon decay also play an important role when measuring fine particle pollution using beta-attenuation monitors (BAM). Beta radiation from the 222Rn decay chain interferes with BAM measurements of fine particles; thus, some BAMs incorporate radon measurements into their sampling systems. BAMs are ubiquitous in air quality monitoring networks globally and present a hitherto unexplored source of dense, continuous radon measurements. In this paper, we compare in situ real world 222Rn measurements from a high quality ANSTO dual flow loop, dual filter radon detector, and the radon measurements made by a commercial BAM instrument (Thermo 5014i). We find strong correlations between systems for hourly measurements (R2 = 0.91), daily means (R2 = 0.95), hour of day (R2 = 0.72–0.94), and by month (R2 = 0.83–0.94). The BAM underestimates radon by 22–39%; however, the linear response of the BAM measurements implies that they could be corrected to reflect the ANSTO standard measurements. Regardless, the radon measurements from BAMs could be used with correction to estimate local mixed layer development. Though only a 12-month study at a single location, our results suggest that radon measurements from BAMs can complement more robust measurements from standard monitors, augment radon measurements across broad regions of the world, and provide useful information for studies using radon as a tracer, particularly for boundary layer development and airmass identification. Full article
Show Figures

Figure 1

22 pages, 6831 KB  
Article
Optimization of Deuteron Irradiation of 176Yb for Producing 177Lu of High Specific Activity Exceeding 3000 GBq/mg
by Lin Shao
Molecules 2023, 28(16), 6053; https://doi.org/10.3390/molecules28166053 - 14 Aug 2023
Cited by 6 | Viewed by 2512
Abstract
The irradiation of 176Yb with deuterons offers a promising pathway for the production of the theranostic radionuclide 177Lu. To optimize this process, calculations integrating deuteron transport, isotope production, and decay have been performed. In pure 176Yb, the undesired production of [...] Read more.
The irradiation of 176Yb with deuterons offers a promising pathway for the production of the theranostic radionuclide 177Lu. To optimize this process, calculations integrating deuteron transport, isotope production, and decay have been performed. In pure 176Yb, the undesired production of 174g+mLu occurs at higher deuteron energies, corresponding to a distribution slightly shallower than that of 177Lu. Hence, 174g+mLu can be effectively filtered out by employing either a low-energy deuteron beam or stacked foils. The utilization of stacked foils enables the production of 177Lu using a high-energy linear accelerator. Another unwanted isotope, 176mLu, is produced roughly at the same depth as 177Lu, but its concentration can be significantly reduced by selecting an appropriate post-irradiation processing time, owing to its relatively short half-life. The modeling approach extended to the mapping of yields as a function of irradiation time and post-irradiation processing time. An optimized processing time window was identified. The study demonstrates that a high-energy deuteron beam can be employed to produce 177Lu with high specific activity exceeding 3000 GBq/mg. The effect of different purity levels (ranging from 98% to 100%) was also discussed. The impurity levels have a slight impact. The modeling demonstrates the feasibility of obtaining 177Lu with a specific activity > 3000 GBq/mg and radionuclidic purity > 99.5% when using a commercially available 176Yb target of 99.6% purity. Full article
(This article belongs to the Special Issue Radiopharmaceuticals)
Show Figures

Figure 1

18 pages, 3252 KB  
Article
Trophic Position of the Species and Site Trophic State Affect Diet Niche and Individual Specialization: From Apex Predator to Herbivore
by Lukáš Vejřík, Ivana Vejříková, Petr Blabolil, Zuzana Sajdlová, Luboš Kočvara, Tomáš Kolařík, Daniel Bartoň, Tomáš Jůza, Marek Šmejkal, Jiří Peterka and Martin Čech
Biology 2023, 12(8), 1113; https://doi.org/10.3390/biology12081113 - 10 Aug 2023
Cited by 13 | Viewed by 2570
Abstract
Intra-species variability in isotopic niches, specifically isotopic total niche width (ITNW), isotopic individual niche width (IINW), and isotopic individual specialization (IIS), was studied using an innovative approach without sacrificing the vertebrates. Stable isotopes (δ13C, δ15N) in four body [...] Read more.
Intra-species variability in isotopic niches, specifically isotopic total niche width (ITNW), isotopic individual niche width (IINW), and isotopic individual specialization (IIS), was studied using an innovative approach without sacrificing the vertebrates. Stable isotopes (δ13C, δ15N) in four body tissues differing in isotopic half-life were analyzed from four freshwater fish species representing different trophic positions. ITNW was widest for the apex predator (European catfish) and narrowest for the obligate predator (Northern pike). IINW exhibited a polynomial trend for the European catfish, Northern pike, and Eurasian perch (mesopredator), decreasing with body mass and increasing again after exceeding a certain species-dependent body mass threshold. Thus, for ectotherms, apex predator status is linked rather to its size than to the species. In herbivores (rudd), IINW increased with body mass. The IIS of predators negatively correlated with site trophic state. Therefore, eutrophication can significantly change the foraging behavior of certain species. We assume that the observed trends will occur in other species at similar trophic positions in either aquatic or terrestrial systems. For confirmation, we recommend conducting a similar study on other species in different habitats. Full article
(This article belongs to the Section Ecology)
Show Figures

Figure 1

29 pages, 8346 KB  
Review
Recent Advances in 64Cu/67Cu-Based Radiopharmaceuticals
by Olga O. Krasnovskaya, Daniil Abramchuck, Alexander Erofeev, Peter Gorelkin, Alexander Kuznetsov, Andrey Shemukhin and Elena K. Beloglazkina
Int. J. Mol. Sci. 2023, 24(11), 9154; https://doi.org/10.3390/ijms24119154 - 23 May 2023
Cited by 48 | Viewed by 11241
Abstract
Copper-64 (T1/2 = 12.7 h) is a positron and beta-emitting isotope, with decay characteristics suitable for both positron emission tomography (PET) imaging and radiotherapy of cancer. Copper-67 (T1/2 = 61.8 h) is a beta and gamma emitter, appropriate for radiotherapy β-energy [...] Read more.
Copper-64 (T1/2 = 12.7 h) is a positron and beta-emitting isotope, with decay characteristics suitable for both positron emission tomography (PET) imaging and radiotherapy of cancer. Copper-67 (T1/2 = 61.8 h) is a beta and gamma emitter, appropriate for radiotherapy β-energy and with a half-life suitable for single-photon emission computed tomography (SPECT) imaging. The chemical identities of 64Cu and 67Cu isotopes allow for convenient use of the same chelating molecules for sequential PET imaging and radiotherapy. A recent breakthrough in 67Cu production opened previously unavailable opportunities for a reliable source of 67Cu with high specific activity and purity. These new opportunities have reignited interest in the use of copper-containing radiopharmaceuticals for the therapy, diagnosis, and theranostics of various diseases. Herein, we summarize recent (2018–2023) advances in the use of copper-based radiopharmaceuticals for PET, SPECT imaging, radiotherapy, and radioimmunotherapy. Full article
(This article belongs to the Section Molecular Oncology)
Show Figures

Figure 1

9 pages, 1304 KB  
Communication
Comparison of Radionuclide Impurities Activated during Irradiation of 18O-Enriched Water in Tantalum and Silver Targets during the Production of 18F in a Cyclotron
by Teresa Jakubowska, Magdalena Długosz-Lisiecka and Michał Biegała
Molecules 2023, 28(8), 3485; https://doi.org/10.3390/molecules28083485 - 14 Apr 2023
Cited by 4 | Viewed by 2993
Abstract
During the production of 18F, as a result of the interaction of the beam of protons and secondary neutrons with the structural elements of the target body, many radionuclide impurities are created in the cyclotron. As part of this work, we theoretically [...] Read more.
During the production of 18F, as a result of the interaction of the beam of protons and secondary neutrons with the structural elements of the target body, many radionuclide impurities are created in the cyclotron. As part of this work, we theoretically predicted which isotopes would be activated in the target tantalum or silver bodies. Subsequently, we used gamma spectrometry analysis to verify these predictions. The results were compared with the work of other authors who studied titanium and niobium as materials for making the target body. Tantalum has been evaluated as the most favorable in terms of generating radionuclide impurities during the production of 18F by irradiation of 18O-enriched water in accelerated proton cyclotrons. Only three radionuclides were identified in the tested samples: 181W, 181Hf, and 182Ta with a half-life of fewer than 120 days. The remaining reactions led to the formation of stable isotopes. Full article
(This article belongs to the Section Physical Chemistry)
Show Figures

Figure 1

14 pages, 2979 KB  
Systematic Review
A Systematic Review on Dementia and Translocator Protein (TSPO): When Nuclear Medicine Highlights an Underlying Expression
by Miriam Conte, Maria Silvia De Feo, Ferdinando Corica, Joana Gorica, Marko Magdi Abdou Sidrak, Flaminia De Cristofaro, Luca Filippi, Maria Ricci, Giuseppe De Vincentis and Viviana Frantellizzi
Biomolecules 2023, 13(4), 598; https://doi.org/10.3390/biom13040598 - 26 Mar 2023
Cited by 1 | Viewed by 2814
Abstract
Background: Translocator protein (TSPO) is a neuroinflammation hallmark. Different TSPO affinity compounds have been produced and over time, the techniques of radiolabeling have been refined. The aim of this systematic review is to summarize the development of new radiotracers for dementia and neuroinflammation [...] Read more.
Background: Translocator protein (TSPO) is a neuroinflammation hallmark. Different TSPO affinity compounds have been produced and over time, the techniques of radiolabeling have been refined. The aim of this systematic review is to summarize the development of new radiotracers for dementia and neuroinflammation imaging. Methods: An online search of the literature was conducted in the PubMed, Scopus, Medline, Cochrane Library, and Web of Science databases, selecting published studies from January 2004 to December 2022. The accepted studies considered the synthesis of TSPO tracers for nuclear medicine imaging in dementia and neuroinflammation. Results: A total of 50 articles was identified. Twelve papers were selected from the included studies’ bibliographies and 34 were excluded. Thus, 28 articles were ultimately selected for quality assessment. Conclusion: Huge efforts in developing specific and stable tracers for PET/SPECT imaging have been made. The long half-life of 18F makes this isotope a preferable choice to 11C. An emerging limitation to this however is that neuroinflammation involves all of the brain which inhibits the possibility of detecting a slight inflammation status change in patients. A partial solution to this is using the cerebellum as a reference region and developing higher TSPO affinity tracers. Moreover, it is necessary to consider the presence of distomers and racemic compounds interfering with pharmacological tracers’ effects and increasing the noise ratio in images. Full article
(This article belongs to the Special Issue Biomolecular Approaches and Drugs for Neurodegeneration)
Show Figures

Figure 1

10 pages, 1025 KB  
Article
Study on Separation of Rhenium, a Surrogate Element of Fissiogenic Technetium, from Aqueous Matrices Using Ion-Selective Extraction Chromatographic Resins
by M. Ferdous Alam, Zinnat A. Begum, Yoshiaki Furusho, Hyoe Takata and Ismail M. M. Rahman
Separations 2023, 10(3), 216; https://doi.org/10.3390/separations10030216 - 20 Mar 2023
Cited by 2 | Viewed by 2626
Abstract
Long-lived fissiogenic technetium, 99Tc (half-life, 2.11 × 105 yrs), is a byproduct of the 235U and 239Pu fission in nuclear reactors and is a major component in nuclear waste. Hence, the monitoring of 99Tc activity in the environmental [...] Read more.
Long-lived fissiogenic technetium, 99Tc (half-life, 2.11 × 105 yrs), is a byproduct of the 235U and 239Pu fission in nuclear reactors and is a major component in nuclear waste. Hence, the monitoring of 99Tc activity in the environmental samples is essential. Techniques used to measure 99Tc in environmental samples include radiometric and non-radiometric approaches. Inductively coupled plasma mass spectrometry (ICP-MS) has some advantages among the methods due to its high sample throughput, better selectivity, and commercial availability. Rhenium (Re) is often used as the non-isotopic tracer during 99Tc measurement by ICP-MS. From this perspective, studying the separation behavior of Re from the aqueous matrix can provide helpful insight regarding the ecological monitoring of 99Tc. In the current work, three extraction chromatographic resins (ECRs), MetaSEP AnaLig Tc-01, MetaSEP AnaLig Tc-02, and Eichrom TRU, have been used to separate Re from the aqueous matrix. Operating variables, such as solution pH, choice of eluent and eluent concentration, matrix cation effect, and retention capacity, have been studied to optimize the separation protocol. The extraction and recovery behavior of Re was used to interpret the selectivity behavior of the ECRs. The Re separation factor at optimized operating conditions comparing with Mo and Ru (interfering elements during the measurement by ICP-MS) for Meta SEP AnaLig Tc-01, Meta SEP AnaLig Tc-02, and Eichrom TRU resin, respectively, are SFRe/Mo~32, 16.51, and ∞ (metal not retained at all), while SFRe/Ru~∞, 3.25, 5437. In terms of selectivity and retention capacity, MetaSEP AnaLig Tc-01 is the better choice for selective separation of Re, and, assumably so, also Tc, from the aqueous matrices. Full article
(This article belongs to the Section Environmental Separations)
Show Figures

Figure 1

Back to TopTop