error_outline You can access the new MDPI.com website here. Explore and share your feedback with us.
 
 
Sign in to use this feature.

Years

Between: -

Subjects

remove_circle_outline
remove_circle_outline
remove_circle_outline
remove_circle_outline

Journals

Article Types

Countries / Regions

Search Results (36)

Search Parameters:
Keywords = inverse electron demand Diels-Alder reaction

Order results
Result details
Results per page
Select all
Export citation of selected articles as:
20 pages, 4017 KB  
Article
Design, Synthesis, In Vitro and In Silico Biological Evaluation of New Pyridine-2,5-Dicarboxylates Esters Bearing Natural Source Fragments as Anti-Trypanosomatid Agents
by Luis M. Sánchez-Palestino, Adriana Moreno-Rodríguez, Diana V. Navarrete-Carriola, Marlet Martínez-Archundia, Marhian López-Vargas, Liliana Argueta-Figueroa, Lenci K. Vázquez-Jiménez, Alma D. Paz-González, Eyra Ortiz-Pérez, Michael P. Doyle and Gildardo Rivera
Pharmaceutics 2025, 17(10), 1271; https://doi.org/10.3390/pharmaceutics17101271 - 28 Sep 2025
Viewed by 1171
Abstract
Background: Chagas disease and leishmaniasis remain public health concerns. Despite the existence of approved medications for the treatment of these diseases, most patients discontinue treatment due to long drug regimens and/or the severe side effects of these drugs. This leads to treatment [...] Read more.
Background: Chagas disease and leishmaniasis remain public health concerns. Despite the existence of approved medications for the treatment of these diseases, most patients discontinue treatment due to long drug regimens and/or the severe side effects of these drugs. This leads to treatment failure and potential future drug resistance. Therefore, the search for new molecules with trypanocidal activity, low cytotoxicity, and high selectivity is essential to address this challenge. Methods: In this work, three series (a, b, and c) of pyridine-2,5-dicarboxylate esters were synthesized using different β-keto-esters bearing naturally occurring fragments and 1,2,3-triazine-1-oxides via the inverse electron demand Diels–Alder (IEDDA) reaction. The structural elucidation of the compounds was performed using NMR (1H and 13C) and HRMS, and the crystal structure of compound 6a was also obtained. Furthermore, a biological assay was performed for all synthesized and characterized compounds to determine their cytotoxicity against Trypanosoma cruzi, Leishmania mexicana, and the J774.2 macrophage cell line. Finally, the in silico determination of their pharmacokinetic and toxicological properties was performed using the SwissADME and ProTox 3.0 platforms. Results: Compounds 3a, 4a, 5a, 4b, and 8c had the highest anti-Trypanosoma cruzi activity against both strains (IC50 ≤ 56.68 µM). Compounds 8b, 10a, 9b, and 12b had considerable leishmanicidal activity against Leishmania mexicana against both strains (IC50 ≤ 161.53 µM). Furthermore, in silico prediction of ADMET properties suggest that these pyridine compounds possess good pharmacokinetic profile. The results are also consistent with low in vitro cytotoxicity and high selectivity. Conclusions: The synthesized pyridine-2,5-dicarboxylate esters have promising activity against Trypanosoma cruzi and Leishmania mexicana, with low cytotoxicity and good drug-like properties, suggesting that these compounds are potential candidates for further evaluation as new treatments for Chagas disease and leishmaniasis. Full article
(This article belongs to the Special Issue Advances in Antiparasitic Agents)
Show Figures

Graphical abstract

11 pages, 1440 KB  
Article
Reactivity and Stereoselectivity in the Inverse-Electron-Demand Diels–Alder Reaction of 1-Aza-1,3-Butadiene
by Ken Sakata, Yui Go and Takeshi Yoshikawa
Molecules 2025, 30(19), 3861; https://doi.org/10.3390/molecules30193861 - 24 Sep 2025
Viewed by 978
Abstract
The reactivity and stereoselectivity in the inverse-electron-demand Diels–Alder reaction between 4-methoxycarbonyl-N-(phenylsulfonyl)-1-aza-1,3-butadiene and methoxyethene was examined using density functional theory (DFT) calculations at the M06-2X level. The formation of the two bonds in this reaction was calculated to be asynchronous. The formation [...] Read more.
The reactivity and stereoselectivity in the inverse-electron-demand Diels–Alder reaction between 4-methoxycarbonyl-N-(phenylsulfonyl)-1-aza-1,3-butadiene and methoxyethene was examined using density functional theory (DFT) calculations at the M06-2X level. The formation of the two bonds in this reaction was calculated to be asynchronous. The formation of the C−C bond occurs first and is driven by electron delocalization from the dienophile to the diene, a process which simultaneously governs the regioselectivity. Moreover, the endo selectivity of the reaction was found to arise from non-bonding-orbital interactions, electrostatic attractions, and dispersion interactions. The sulfonyl group attached to the diene influences the selectivity and the reactivity. In contrast, when a methoxycarbonyl group is attached to the diene, it affects the selectivity in a different way depending on the position where it is attached. Full article
(This article belongs to the Special Issue Fundamental Concepts and Recent Developments in Chemical Bonding)
Show Figures

Graphical abstract

15 pages, 2136 KB  
Article
Click-to-Release for Controlled Immune Cell Activation: Tumor-Targeted Unmasking of an IL12 Prodrug
by Martijn H. den Brok, Kim E. de Roode, Luc H. M. Zijlmans, Laurens H. J. Kleijn, Marleen H. M. E. van Stevendaal, Ron M. Versteegen, Lieke W. M. Wouters, Raffaella Rossin and Marc S. Robillard
Pharmaceuticals 2025, 18(9), 1380; https://doi.org/10.3390/ph18091380 - 16 Sep 2025
Viewed by 2015
Abstract
Objectives: Immunotherapy utilizing immune-stimulating cytokines such as IL12 holds great promise for the treatment of cancer. However, clinical use of IL12 is hampered due to severe toxicity following systemic administration. We here present a novel treatment strategy in which IL12 is chemically silenced [...] Read more.
Objectives: Immunotherapy utilizing immune-stimulating cytokines such as IL12 holds great promise for the treatment of cancer. However, clinical use of IL12 is hampered due to severe toxicity following systemic administration. We here present a novel treatment strategy in which IL12 is chemically silenced by conjugation to PEG masks that sterically hinder the receptor binding. Subsequently, the masks can be released on demand using a bioorthogonal click reaction, cleaving the linker connecting the masks, thereby restoring the native cytokine. This “click-to-release” approach is based on the highly selective Inverse electron-demand Diels–Alder (IEDDA) pyridazine elimination reaction between a tetrazine (Tz) and a trans-cyclooctene (TCO), optimized for fast reaction kinetics and in vivo compatibility. Selective activation in the tumor microenvironment is achieved by pretargeting one component of this reaction to the tumor, triggering local activation of the masked IL12 once it is given in a secondary i.v. injection. Methods: IL12 masking and unmasking were evaluated in vitro with PAGE and HEK-Blue reporter cells and ex vivo with ELISA. Biodistribution in mice was evaluated with I-125 radiolabeling and biotin-click histochemistry. Results: Several designs were evaluated and optimized in vitro, resulting in an IL12-TCO-PEG construct that exhibited superior masking and subsequent reactivation upon reaction with a tetrazine bound to a TAG-72-targeted diabody. In tumor-bearing mice, we demonstrated that this diabody-tetrazine could efficiently pre-localize tetrazine in the tumor. Administration of IL12-TCO-PEG 24 h later afforded efficient and selective unmasking in tumors, but not in the blood. Conclusions: These results demonstrate proof of principle of the click-cleavable IL12 prodrug approach and showcase the versatility of the click-to-release reaction. Full article
(This article belongs to the Special Issue Tumor Therapy and Drug Delivery)
Show Figures

Graphical abstract

13 pages, 1424 KB  
Article
Synthesis and Trapping of the Elusive Ortho-Iminoquinone Methide Derived from α-Tocopheramine and Comparison to the Case of α-Tocopherol
by Anjan Patel and Thomas Rosenau
Molecules 2025, 30(15), 3257; https://doi.org/10.3390/molecules30153257 - 4 Aug 2025
Viewed by 694
Abstract
Tocopheramines are a class of antioxidants which are distinguished from tocopherols (vitamin E) by the presence of an amino group instead of the phenolic hydroxyl group. α-Tocopheramine is intensively studied for biomedical applications but also as a stabilizer for synthetic and natural polymers, [...] Read more.
Tocopheramines are a class of antioxidants which are distinguished from tocopherols (vitamin E) by the presence of an amino group instead of the phenolic hydroxyl group. α-Tocopheramine is intensively studied for biomedical applications but also as a stabilizer for synthetic and natural polymers, in particular for cellulose solutions and spinning dopes for cellulosic fibers. This study addresses a fundamental difference in the oxidation chemistry of α-tocopheramine and its tocopherol counterpart: while the formation of the ortho-quinone methide (o-QM) involving C-5a is one of the most fundamental reactions of α-tocopherol, the corresponding ortho-iminoquinone methide (o-IQM) derived from α-tocopheramine has been elusive so far. Synthesis of the transient intermediate succeeded initially via 5a-hydroxy-α-tocopheramine, and its occurrence was confirmed by dimerization to the corresponding spiro-dimer and by trapping with ethyl vinyl ether. Eventually, suitable oxidation conditions were found which allowed for the generation of the o-IQM directly from α-tocopheramine. The underlying oxidation chemistry of α-tocopherol and α-tocopheramine is concisely discussed. Full article
(This article belongs to the Special Issue 10th Anniversary of Green Chemistry Section)
Show Figures

Scheme 1

39 pages, 10969 KB  
Review
Click Chemistry as an Efficient Toolbox for Coupling Sterically Hindered Molecular Systems to Obtain Advanced Materials for Nanomedicine
by Neyra Citlali Cabrera-Quiñones, Luis José López-Méndez, Carlos Cruz-Hernández and Patricia Guadarrama
Int. J. Mol. Sci. 2025, 26(1), 36; https://doi.org/10.3390/ijms26010036 - 24 Dec 2024
Cited by 6 | Viewed by 5849
Abstract
Since its conceptualization, click chemistry in all its variants has proven to be a superior synthesis protocol, compared to conventional methods, for forming new covalent bonds under mild conditions, orthogonally, and with high yields. If a term like reactive resilience could be established, [...] Read more.
Since its conceptualization, click chemistry in all its variants has proven to be a superior synthesis protocol, compared to conventional methods, for forming new covalent bonds under mild conditions, orthogonally, and with high yields. If a term like reactive resilience could be established, click reactions would be good examples, as they perform better under increasingly challenging conditions. Particularly, highly hindered couplings that perform poorly with conventional chemistry protocols—such as those used to conjugate biomacromolecules (e.g., proteins and aptamers) or multiple drugs onto macromolecular platforms—can be more easily achieved using click chemistry principles, while also promoting high stereoselectivity in the products. In this review, three molecular platforms relevant in the field of nanomedicine are considered: polymers/copolymers, cyclodextrins, and fullerenes, whose functionalization poses a challenge due to steric hindrance, either from the intrinsic bulk behavior (as in polymers) or from the proximity of confined reactive sites, as seen in cyclodextrins and fullerenes. Their functionalization with biologically active groups (drugs or biomolecules), primarily through copper-catalyzed azide–alkyne cycloaddition (CuAAC), strain-promoted azide–alkyne cycloaddition (SPAAC), inverse electron-demand Diels–Alder (IEDDA) and thiol–ene click reactions, has led to the development of increasingly sophisticated systems with enhanced specificity, multifunctionality, bioavailability, delayed clearance, multi-targeting, selective cytotoxicity, and tracking capabilities—all essential in the field of nanomedicine. Full article
Show Figures

Graphical abstract

17 pages, 3510 KB  
Review
Innovative Peptide Bioconjugation Chemistry with Radionuclides: Beyond Classical Click Chemistry
by Samantha Leier and Frank Wuest
Pharmaceuticals 2024, 17(10), 1270; https://doi.org/10.3390/ph17101270 - 26 Sep 2024
Cited by 3 | Viewed by 3220
Abstract
Background: The incorporation of radionuclides into peptides and larger biomolecules requires efficient and sometimes biorthogonal reaction conditions, to which click chemistry provides a convenient approach. Methods: Traditionally, click-based radiolabeling techniques have focused on classical click chemistry, such as copper(I)-catalyzed alkyne-azide [3+2] [...] Read more.
Background: The incorporation of radionuclides into peptides and larger biomolecules requires efficient and sometimes biorthogonal reaction conditions, to which click chemistry provides a convenient approach. Methods: Traditionally, click-based radiolabeling techniques have focused on classical click chemistry, such as copper(I)-catalyzed alkyne-azide [3+2] cycloaddition (CuAAC), strain-promoted azide-alkyne [3+2] cycloaddition (SPAAC), traceless Staudinger ligation, and inverse electron demand Diels–Alder (IEDDA). Results: However, newly emerging click-based radiolabeling techniques, including tyrosine-click, sulfo-click, sulfur(VI) fluoride exchange (SuFEx), thiol-ene click, azo coupling, hydrazone formations, oxime formations, and RIKEN click offer valuable alternatives to classical click chemistry. Conclusions: This review will discuss the applications of these techniques in peptide radiochemistry. Full article
(This article belongs to the Special Issue Development of Radiolabeled Peptides)
Show Figures

Graphical abstract

19 pages, 7234 KB  
Article
Facile Fabrication of NIR-Responsive Alginate/CMC Hydrogels Derived through IEDDA Click Chemistry for Photothermal–Photodynamic Anti-Tumor Therapy
by Ali Rizwan, Israr Ali, Sung-Han Jo, Trung Thang Vu, Yeong-Soon Gal, Yong Hyun Kim, Sang-Hyug Park and Kwon Taek Lim
Gels 2023, 9(12), 961; https://doi.org/10.3390/gels9120961 - 7 Dec 2023
Cited by 17 | Viewed by 3362
Abstract
Novel chemically cross-linked hydrogels derived from carboxymethyl cellulose (CMC) and alginate (Alg) were prepared through the utilization of the norbornene (Nb)–methyl tetrazine (mTz) click reaction. The hydrogels were designed to generate reactive oxygen species (ROS) from an NIR dye, indocyanine green (ICG), for [...] Read more.
Novel chemically cross-linked hydrogels derived from carboxymethyl cellulose (CMC) and alginate (Alg) were prepared through the utilization of the norbornene (Nb)–methyl tetrazine (mTz) click reaction. The hydrogels were designed to generate reactive oxygen species (ROS) from an NIR dye, indocyanine green (ICG), for combined photothermal and photodynamic therapy (PTT/PDT). The cross-linking reaction between Nb and mTz moieties occurred via an inverse electron-demand Diels–Alder chemistry under physiological conditions avoiding the need for a catalyst. The resulting hydrogels exhibited viscoelastic properties (G′ ~ 492–270 Pa) and high porosity. The hydrogels were found to be injectable with tunable mechanical characteristics. The ROS production from the ICG-encapsulated hydrogels was confirmed by DPBF assays, indicating a photodynamic effect (with NIR irradiation at 1–2 W for 5–15 min). The temperature of the ICG-loaded hydrogels also increased upon the NIR irradiation to eradicate tumor cells photothermally. In vitro cytocompatibility assessments revealed the non-toxic nature of CMC–Nb and Alg–mTz towards HEK-293 cells. Furthermore, the ICG-loaded hydrogels effectively inhibited the metabolic activity of Hela cells after NIR exposure. Full article
(This article belongs to the Special Issue Advances in Cellulose-Based Hydrogels (2nd Edition))
Show Figures

Figure 1

14 pages, 5777 KB  
Article
Reduction-Responsive Chitosan-Based Injectable Hydrogels for Enhanced Anticancer Therapy
by Trung Thang Vu, Sonyabapu Yadav, Obireddy Sreekanth Reddy, Sung-Han Jo, Soo-Bin Joo, Byeong Kook Kim, Eun Ju Park, Sang-Hyug Park and Kwon Taek Lim
Pharmaceuticals 2023, 16(6), 841; https://doi.org/10.3390/ph16060841 - 5 Jun 2023
Cited by 9 | Viewed by 3187
Abstract
Selective delivery of anticancer drug molecules to the tumor site enhances local drug dosages, which leads to the death of cancer cells while simultaneously minimizing the negative effects of chemotherapy on other tissues, thereby improving the patient’s quality of life. To address this [...] Read more.
Selective delivery of anticancer drug molecules to the tumor site enhances local drug dosages, which leads to the death of cancer cells while simultaneously minimizing the negative effects of chemotherapy on other tissues, thereby improving the patient’s quality of life. To address this need, we developed reduction-responsive chitosan-based injectable hydrogels via the inverse electron demand Diels–Alder reaction between tetrazine groups of disulfide-based cross-linkers and norbornene groups of chitosan derivatives, which were applied to the controlled delivery of doxorubicin (DOX). The swelling ratio, gelation time (90–500 s), mechanical strength (G’~350–850 Pa), network morphology, and drug-loading efficiency (≥92%) of developed hydrogels were investigated. The in vitro release studies of the DOX-loaded hydrogels were performed at pH 7.4 and 5.0 with and without DTT (10 mM). The biocompatibility of pure hydrogel and the in vitro anticancer activity of DOX-loaded hydrogels were demonstrated via MTT assay on HEK-293 and HT-29 cancer cell lines, respectively. Full article
(This article belongs to the Special Issue Hydrogels for Pharmaceutical and Biomedical Applications)
Show Figures

Figure 1

13 pages, 7104 KB  
Article
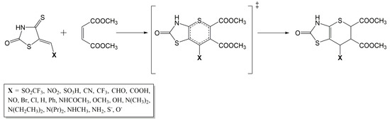
Exploring the Relationship between Reactivity and Electronic Structure in Isorhodanine Derivatives Using Computer Simulations
by Michal Michalski and Slawomir Berski
Molecules 2023, 28(5), 2360; https://doi.org/10.3390/molecules28052360 - 3 Mar 2023
Cited by 1 | Viewed by 2635
Abstract
The electronic structure and reactivity of 22 isorhodanine (IsRd) derivatives in the Diels–Alder reaction with dimethyl maleate (DMm) were investigated under two different environments (gas phase and continuous solvent CH3COOH), using free Gibbs activation energy, free Gibbs reaction energy, and [...] Read more.
The electronic structure and reactivity of 22 isorhodanine (IsRd) derivatives in the Diels–Alder reaction with dimethyl maleate (DMm) were investigated under two different environments (gas phase and continuous solvent CH3COOH), using free Gibbs activation energy, free Gibbs reaction energy, and frontier molecular orbitals to analyze their reactivity. The results revealed both inverse electronic demand (IED) and normal electronic demand (NED) characteristics in the Diels–Alder reaction and also provided insights into the aromaticity of the IsRd ring by employing HOMA values. Additionally, the electronic structure of the IsRd core was analyzed through topological examination of the electron density and electron localization function (ELF). Specifically, the study demonstrated that ELF was able to successfully capture chemical reactivity, highlighting the potential of this method to provide valuable insights into the electronic structure and reactivity of molecules. Full article
(This article belongs to the Section Computational and Theoretical Chemistry)
Show Figures

Figure 1

12 pages, 1377 KB  
Review
Recent Advances in Hydrogels via Diels–Alder Crosslinking: Design and Applications
by Sofia M. Morozova
Gels 2023, 9(2), 102; https://doi.org/10.3390/gels9020102 - 24 Jan 2023
Cited by 56 | Viewed by 6316
Abstract
The Diels–Alder (DA) reaction is a promising tool for obtaining covalently crosslinked hydrogels due to its reaction bioorthogonality, the absence of by-products, and the application of mild conditions without a catalyst. The resulting hydrogels are in demand for use in various fields of [...] Read more.
The Diels–Alder (DA) reaction is a promising tool for obtaining covalently crosslinked hydrogels due to its reaction bioorthogonality, the absence of by-products, and the application of mild conditions without a catalyst. The resulting hydrogels are in demand for use in various fields of materials science and biomedicine. While the dynamic nature of the cycloaddition of diene and dienophile has previously been used extensively for the fabrication of self-healing materials, it has only recently spread to the expansion of the functional properties of polymer gels for bioapplications. This review describes strategies and recent examples of obtaining hydrogels based on the DA reaction, demonstrating that the emerging functional properties go beyond self-healing. The types of classifications of hydrogels are listed, depending on the type of reaction and the nature of the components. Examples of obtaining hydrogels based on the normal and inverse electron-demand DA reaction, as well as the application of hydrogels for cell culture, drug delivery, injectable gels, and wound dressings, are considered. In conclusion, possible developmental directions are discussed, including the use of diene–dienophile pairs with a low temperature for the reversal of DA reaction, the modification of nanoparticles by diene and/or dienophile fragments, and new applications such as ink for 3D printing, sensing hydrogels, etc. Full article
(This article belongs to the Special Issue Women’s Special Issue Series: Gels)
Show Figures

Figure 1

19 pages, 4773 KB  
Article
Antibody-Based In Vivo Imaging of Central Nervous System Targets—Evaluation of a Pretargeting Approach Utilizing a TCO-Conjugated Brain Shuttle Antibody and Radiolabeled Tetrazines
by Christoph Bredack, Martin R. Edelmann, Edilio Borroni, Luca C. Gobbi and Michael Honer
Pharmaceuticals 2022, 15(12), 1445; https://doi.org/10.3390/ph15121445 - 22 Nov 2022
Cited by 13 | Viewed by 4006
Abstract
Bioorthogonal pretargeted imaging using the inverse-electron-demand Diels–Alder (IEDDA) reaction between a tetrazine (Tz) and a trans-cyclooctene (TCO) represents an attractive strategy for molecular imaging via antibodies. The advantages of using a pretargeted imaging approach are on the one hand the possibility to [...] Read more.
Bioorthogonal pretargeted imaging using the inverse-electron-demand Diels–Alder (IEDDA) reaction between a tetrazine (Tz) and a trans-cyclooctene (TCO) represents an attractive strategy for molecular imaging via antibodies. The advantages of using a pretargeted imaging approach are on the one hand the possibility to achieve a high signal-to-noise ratio and imaging contrast; on the other hand, the method allows the uncoupling of the biological half-life of antibodies from the physical half-life of short-lived radionuclides. A brain-penetrating antibody (mAb) specific for β-amyloid (Aβ) plaques was functionalized with TCO moieties for pretargeted labeling of Aβ plaques in vitro, ex vivo, and in vivo by a tritium-labeled Tz. The overall aim was to explore the applicability of mAbs for brain imaging, using a preclinical model system. In vitro clicked mAb–TCO–Tz was able to pass the blood–brain barrier of transgenic PS2APP mice and specifically visualize Aβ plaques ex vivo. Further experiments showed that click reactivity of the mAb–TCO construct in vivo persisted up to 3 days after injection by labeling Aβ plaques ex vivo after incubation of brain sections with the Tz in vitro. An attempted in vivo click reaction between injected mAb–TCO and Tz did not lead to significant labeling of Aβ plaques, most probably due to unfavorable in vivo properties of the used Tz and a long half-life of the mAb–TCO in the blood stream. This study clearly demonstrates that pretargeted imaging of CNS targets via antibody-based click chemistry is a viable approach. Further experiments are warranted to optimize the balance between stability and reactivity of all reactants, particularly the Tz. Full article
Show Figures

Graphical abstract

16 pages, 4389 KB  
Article
First Synthesis of 3-Glycopyranosyl-1,2,4-Triazines and Some Cycloadditions Thereof
by Éva Bokor, Attila Ferenczi, Mahir Hashimov, Éva Juhász-Tóth, Zsófia Götz, Alshimaa Ibrahim Zaki and László Somsák
Molecules 2022, 27(22), 7801; https://doi.org/10.3390/molecules27227801 - 12 Nov 2022
Cited by 1 | Viewed by 2808
Abstract
C-glycopyranosyl derivatives of six-membered heterocycles are scarcely represented in the chemical literature and the title 3-glycopyranosyl-1,2,4-triazines are completely unknown. In this paper, the first synthesis of this compound class is accomplished by the cyclocondensation of C-glycosyl formamidrazones and 1,2-dicarbonyl derivatives. In [...] Read more.
C-glycopyranosyl derivatives of six-membered heterocycles are scarcely represented in the chemical literature and the title 3-glycopyranosyl-1,2,4-triazines are completely unknown. In this paper, the first synthesis of this compound class is accomplished by the cyclocondensation of C-glycosyl formamidrazones and 1,2-dicarbonyl derivatives. In addition, the synthesis of C-glycopyranosyl 1,2,4-triazin-5(4H)-ones was also carried out by the transformation of the above formamidrazones with α-keto-carboxylic esters. Inverse electron demand Diels–Alder reactions of 3-glycopyranosyl-1,2,4-triazines with a bicyclononyne derivative yielded the corresponding annulated 2-glycopyranosyl pyridines. Full article
Show Figures

Graphical abstract

16 pages, 4985 KB  
Article
Fast Absorbent and Highly Bioorthogonal Hydrogels Developed by IEDDA Click Reaction for Drug Delivery Application
by Soo-Bin Joo, Muhammad Gulfam, Sung-Han Jo, Yi-Jun Jo, Trung Thang Vu, Sang-Hyug Park, Yeong-Soon Gal and Kwon Taek Lim
Materials 2022, 15(20), 7128; https://doi.org/10.3390/ma15207128 - 13 Oct 2022
Cited by 10 | Viewed by 4011
Abstract
In this work, we engineered highly biocompatible and fast absorbent injectable hydrogels derived from norbornene (Nb)-functionalized hyaluronic acid (HA-Nb) and a water-soluble cross-linker possessing tetrazine (Tz) functional groups on both ends of polyethylene glycol (PEG-DTz). The by-product (nitrogen gas) of the inverse electron [...] Read more.
In this work, we engineered highly biocompatible and fast absorbent injectable hydrogels derived from norbornene (Nb)-functionalized hyaluronic acid (HA-Nb) and a water-soluble cross-linker possessing tetrazine (Tz) functional groups on both ends of polyethylene glycol (PEG-DTz). The by-product (nitrogen gas) of the inverse electron demand Diels–Alder (IEDDA) cross-linking reaction carved porosity in the resulting hydrogels. By varying the molar ratio of HA-Nb and PEG-DTz (Nb:Tz = 10:10, 10:5, 10:2.5), we were able to formulate hydrogels with tunable porosity, gelation time, mechanical strength, and swelling ratios. The hydrogels formed quickly (gelation time < 100 s), offering a possibility to use them as an injectable drug delivery system. The experimental data showed rapid swelling and a high swelling ratio thanks to the existence of PEG chains and highly porous architectures of the hydrogels. The hydrogels were able to encapsulate a high amount of curcumin (~99%) and released the encapsulated curcumin in a temporal pattern. The PEG-DTz cross-linker, HA-Nb, and the resulting hydrogels showed no cytotoxicity in HEK-293 cells. These fast absorbent hydrogels with excellent biocompatibility fabricated from HA-Nb and the IEDDA click-able cross-linker could be promising drug carriers for injectable drug delivery applications. Full article
(This article belongs to the Special Issue Preparation, Properties and Applications of Functional Polymers)
Show Figures

Figure 1

51 pages, 15589 KB  
Review
Diaza-1,3-butadienes as Useful Intermediate in Heterocycles Synthesis
by Jorge Heredia-Moya, Daniel A. Zurita, José Eduardo Cadena-Cruz and Christian D. Alcívar-León
Molecules 2022, 27(19), 6708; https://doi.org/10.3390/molecules27196708 - 9 Oct 2022
Cited by 12 | Viewed by 6456
Abstract
Many heterocyclic compounds can be synthetized using diaza-1,3-butadienes (DADs) as key structural precursors. Isolated and in situ diaza-1,3-butadienes, produced from their respective precursors (typically imines and hydrazones) under a variety of conditions, can both react with a wide range of substrates in many [...] Read more.
Many heterocyclic compounds can be synthetized using diaza-1,3-butadienes (DADs) as key structural precursors. Isolated and in situ diaza-1,3-butadienes, produced from their respective precursors (typically imines and hydrazones) under a variety of conditions, can both react with a wide range of substrates in many kinds of reactions. Most of these reactions discussed here include nucleophilic additions, Michael-type reactions, cycloadditions, Diels–Alder, inverse electron demand Diels–Alder, and aza-Diels–Alder reactions. This review focuses on the reports during the last 10 years employing 1,2-diaza-, 1,3-diaza-, 2,3-diaza-, and 1,4-diaza-1,3-butadienes as intermediates to synthesize heterocycles such as indole, pyrazole, 1,2,3-triazole, imidazoline, pyrimidinone, pyrazoline, -lactam, and imidazolidine, among others. Fused heterocycles, such as quinazoline, isoquinoline, and dihydroquinoxaline derivatives, are also included in the review. Full article
(This article belongs to the Special Issue The Chemistry of Imines)
Show Figures

Scheme 1

15 pages, 2273 KB  
Article
Preclinical Evaluation of hnRNPA2B1 Antibody in Human Triple-Negative Breast Cancer MDA-MB-231 Cells via PET Imaging
by Abhinav Bhise, Hyun Park, Woonghee Lee, Swarbhanu Sarkar, Yeong Su Ha, Subramani Rajkumar, Bora Nam, Jeong Eun Lim, Phuong Tu Huynh, Kiwoong Lee, Ji-Yoon Son, Jung Young Kim, Kyo Chul Lee and Jeongsoo Yoo
Pharmaceutics 2022, 14(8), 1677; https://doi.org/10.3390/pharmaceutics14081677 - 12 Aug 2022
Cited by 3 | Viewed by 3496
Abstract
Triple-negative breast cancer (TNBC) does not express estrogen receptor, progesterone receptor, and human epidermal growth factor receptor 2. Because TNBC lacks the expression of commonly targeted receptors, it is challenging to develop a new imaging agent for this cancer subtype. Heterogeneous nuclear ribonucleoproteins [...] Read more.
Triple-negative breast cancer (TNBC) does not express estrogen receptor, progesterone receptor, and human epidermal growth factor receptor 2. Because TNBC lacks the expression of commonly targeted receptors, it is challenging to develop a new imaging agent for this cancer subtype. Heterogeneous nuclear ribonucleoproteins (hnRNPs) are RNA–protein complexes that have been linked to tumor development and progression. Considering the high expression of hnRNPA2B1, an hnRNP subtype, in TNBC MDA-MB-231 cells, this study aimed to develop a novel hnRNPA2B1 antibody-based nuclear imaging agent. The hnRNPA2B1-specific antibody was radiolabeled with 64Cu and evaluated in vitro and in vivo. The trans-cyclooctene (TCO) was functionalized on the antibody to obtain hnRNP-PEG4-TCO and reactive tetrazine (Tz) on the ultrastable bifunctional chelator PCB-TE2A-alkyne to yield PCB-TE2A-Tz for the inverse electron demand Diels–Alder reaction. The 64Cu-radiolabeled antibody was administered and imaged at 1–18 h time points for conventional imaging. Alternatively, the unlabeled antibody conjugate was administered, and 48 h later radiolabeled 64Cu-PCB-TE2A-Tz was administered to the same mice for the pretargeting strategy and imaged at the same time intervals for direct comparison. The tumor was successfully visualized in both strategies, and comparatively, pretargeting showed superior results. The 64Cu-PCB-TE2A-Tz was successfully clicked at the tumor site with hnRNP-PEG4-TCO and the non-clicked were concurrently eliminated. This led to increase the tumor uptake with extremely high tumor-to-background ratio manifested by positron emission tomography (PET) imaging and biodistribution studies. Full article
Show Figures

Graphical abstract

Back to TopTop