Abstract
Many heterocyclic compounds can be synthetized using diaza-1,3-butadienes (DADs) as key structural precursors. Isolated and in situ diaza-1,3-butadienes, produced from their respective precursors (typically imines and hydrazones) under a variety of conditions, can both react with a wide range of substrates in many kinds of reactions. Most of these reactions discussed here include nucleophilic additions, Michael-type reactions, cycloadditions, Diels–Alder, inverse electron demand Diels–Alder, and aza-Diels–Alder reactions. This review focuses on the reports during the last 10 years employing 1,2-diaza-, 1,3-diaza-, 2,3-diaza-, and 1,4-diaza-1,3-butadienes as intermediates to synthesize heterocycles such as indole, pyrazole, 1,2,3-triazole, imidazoline, pyrimidinone, pyrazoline, -lactam, and imidazolidine, among others. Fused heterocycles, such as quinazoline, isoquinoline, and dihydroquinoxaline derivatives, are also included in the review.
1. Introduction
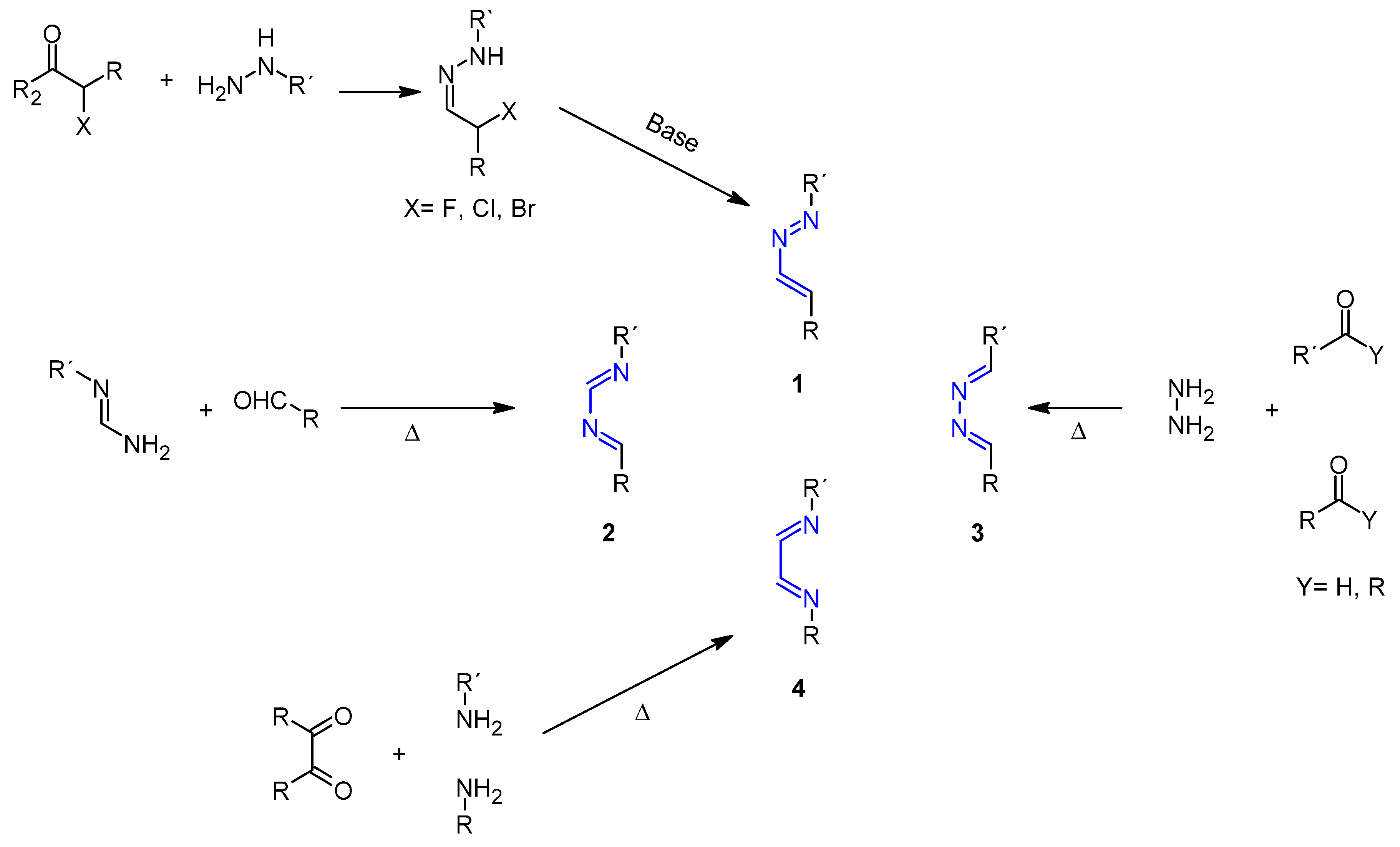
Diaza-1,3-butadienes have recently emerged as useful organic synthesis intermediates for the construction of heterocyclic compounds. Diaza-1,3-butadienes are 1,3-butadienes having two nitrogen atoms in their structure, and they comprise 1,2-diazadienes 1, 1,3-diazadienes 2, 2,3-diazadienes 3, and 1,4-diazadienes 4 (Scheme 1). All diazadienes, with the exception of 1, include imino moieties; nevertheless, because 1,2-diaza-1,3-butadienes 1 are synthesized from hydrazones or α-halogenated-hydrazones, they will also be analyzed in this review.
Scheme 1.
Structure and synthesis of diaza-1,3-butadienes.
The potential of some diazadienes to participate in cycloaddition reactions is particularly remarkable. In this context, 1,2-diaza- and 1,4-diaza-1,3-butadienes have received more attention than 1,3-diaza- and 2,3-diaza-1,3-butadiene. According to reports, the four diazadienes may participate in a variety of cycloadditions, including [4+2] [1,2], [3+2] [3], [4+1] [4] and 1,3-cycloaddition [5]. There are also reports on [4+2] and [2+2] cycloadditions in the reaction of ketenes with 1,3-diaza-1,3-butadienes 2 [6]. Because of the reactivity of these diazadienes, numerous varieties of heterocycles can be obtained [7,8].
However, the majority of recent reviews in the literature focus on the use of related compounds, azadienes, as starting materials for the synthesis of heterocycles, whereas diazadienes have gotten very little attention [9,10,11,12].
1,2-Diaza-1,3-butadienes 1, also known as azoalkenes, can participate in conjugate additions as well as hetero-Diels–Alder reactions [1]. The dehydrohalogenation of α-halohydrazones is the most common method for synthesizing these diazadienes, although they can also be prepared by oxidizing hydrazones with TEMPO, I2, or HgO, or by pyrolysis of 1,2,3-thiadiazole dioxides, oxadiazinones, or 3-hydroxy-2-arylhydrazonoalkanoic acid derivatives. Due to the high instability of 4-unsubstituted electron-deficient azoalkenes, they are often prepared in situ, nevertheless, 1,3,4-substituted azoalkenes are sometimes stable enough to be isolated [13].
One of the conventional ways of synthesizing 1,3-diaza-1,3-butadienes 2 is to use N-substituted benzamidines; nevertheless, these compounds have received little attention, mainly because of the intrinsic instability of the simplest members of this class of compounds. However, evidence of its use, particularly in cycloaddition reactions, demonstrates that this assumption is erroneous [14]. Recent advances in the use of these dienes show their great utility as intermediates in the synthesis of diverse heterocycles; nonetheless, one of the issues with using 1,3-diaza dienes is that if they have a substitution in position 1, they cannot produce aromatic heterocycles [15]. However, 1H-1,3-diaza-1,3-butadienes may be synthesized using different methods, allowing this issue to be solved [14].
The 2,3-diaza-1,3-butadienes 3, also known as azines, on the other hand, have gained attention because of their interesting molecular characteristics. These compounds can be used not only to synthesize heterocycles but also as liquid crystals [16]. Due to the presence of an N-N bond, the two imine bonds that form the azine moiety can be seen as polar acceptor groups that are oriented in opposing directions [17]. The traditional method for preparing azines involves the condensation of hydrazine with two moles of aldehydes or ketones in a refluxing environment. As a result, depending on the type of carbonyls employed, it is possible to produce both symmetrical and unsymmetrical azines [18].
The 1,4-diaza-1,3-butadienes 4 or α-diimines, which have two imine groups, are synthesized primarily through the condensation reaction of 1,2-diketones, ketoaldehydes, or glyoxal with primary amines [19]. This technique yields symmetric diimines, and despite its simplicity, preparing unsymmetrical α-diimines is difficult; however, many methods for doing so have been reported [20]. On the other hand, because of the presence of nitrogen atoms in the structure of 1,4-diazadienes, they are known as ligands in coordination chemistry since the pioneering work of Dieck et al. [21]. The 1,4-diazabutadienes are widely used as ligands in coordination chemistry and catalysis, and there are many up-to-date references on the subject [19,22,23]. The versatile ligands have been used to form coordination complexes with most of the metals in the periodic table, including heavy alkaline earth metals [24], lanthanides, and actinides [25,26,27]. However, this point will not be addressed in this review.
The current review (see Abbreviations) will present recent advances in the heterocyclic synthesis that use diaza-1,3-dienes as key intermediates. Synthetic methodologies are divided in order according to the type of heterocycle obtained.
2. Synthesis of Heterocycles from 1,2-Diaza-1,3-dienes
2.1. Five-Member Heterocycles
2.1.1. Synthesis of 2-Pyrroline
Tetrahydroberberine alkaloids derivatives 5 were synthesized using a formal [3+2] cycloaddition that involved a Michael-type addition of an enamine to a 1,2-diaza-1,3-dienes followed by nitrogen cyclization as a possible mechanism. The enamine moiety of 7,8-dihydroberberine 6 attacks a 1,2-diaza-1,3-diene 7 intermediate, resulting in non-isolable zwitterionic hydrazones 8. The formation of the 2-pyrroline ring of the 5 is favored by intramolecular nitrogen nucleophilic attack on the iminium function due to the loss of hydrogen at the α-position of the hydrazine moiety of 8 (Scheme 2) [28,29]. The reaction proceeds under mild conditions to afford the product good to excellent yields after only 15 min of reaction.
Scheme 2.
Synthesis of tetrahydroberberine derivatives 5.
2.1.2. Synthesis of 2-Arylamino 5-Hydrazono Thiophene-3-carboxylates
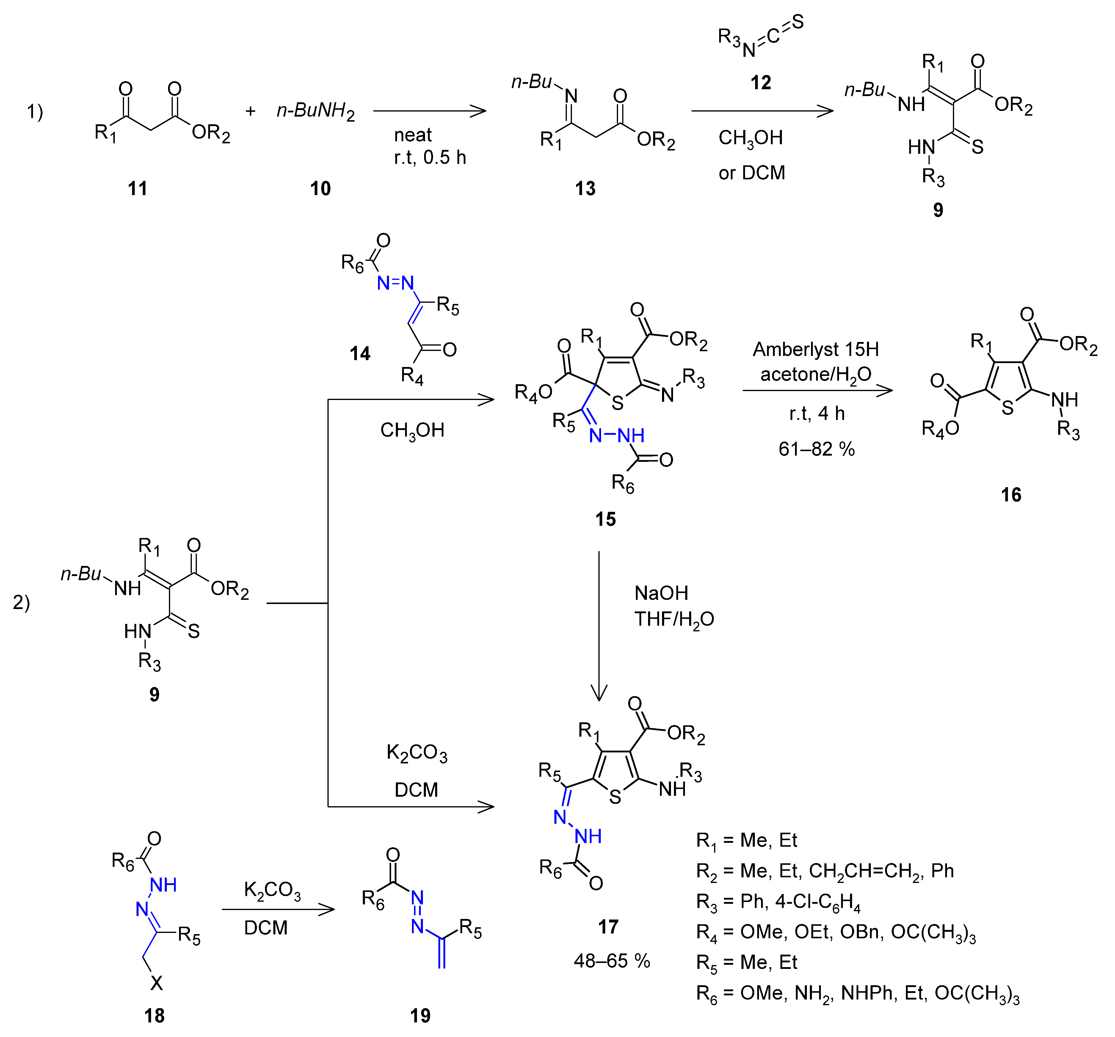
5-Arylamino thiophenes derivatives can be prepared by a multicomponent reaction that begins with the synthesis of 3-alkylamino-2-(carbamothioyl)but-2-enoates 9, from n-butyl amine 10, β-ketoesters 11 and arylisothiocyanates 12. In the first step, the amine and the β-ketoesters react in methanol at room temperature to afford the amino ester intermediate 13 which in the second step react with arylisothiocyanates bearing an electron-donator group or a weakly electron-withdrawing group, to afford 9 in appreciable yields. The reaction of 9 with 1,2-diaza-1,3-butadienes 14 produces 2,5-dihydrothiophenes 15 with good yields (Scheme 3). This synthesis can be carried out separately or in one pot, even on a gram scale [30]. Finally, after acid treatment of product 15 with Amberlyst 15H in a mixture of acetone/water, 5-amino thiophene-2,4-dicarboxylates 16 was obtained in good yields.
Scheme 3.
Multicomponent sequential cyclization for the synthesis of 5-arylamino thiophenes derivatives.
Under the acid conditions, the ketone is released by the hydrolysis of the hydrazone moiety followed by a retro-Claisen reaction to form the thiophene ring. However, basic treatment using NaOH in THF/H2O affords the unexpected 2-arylamino-5-hydrazono thiophene-3 carboxylates 17 in good yields [31]. In this case, the basic medium favors the hydrolysis of the ester in position 2 of 15 followed by a decarboxylation that promotes the aromatization of the ring.
The formation of 17 under basic conditions opens the possibility of using α-halohydrazones 18 to generate in situ the diazadiene 19. Thus, amine 10 and a slight excess of β-ketoesters 11 react in solvent-free conditions at room temperature. Then, arylisothiocyanates 12 in CH2Cl2 were added, generating 9, which finally, reacts with 1,2-diaza-1,3-butadienes 19 generated from α-halohydrazones and potassium carbonate (Scheme 3) [31]. DCM was used instead of MeOH to avoid their reaction with α-halohydrazones. It is clear that the presence of two hydrogens at C-4 of 1,2-diaza-1,3-butadienes allows the aromatization process to easily obtain 2-arylamino-5-hydrazono thiophene-3 carboxylates 17, however, if the diene has any substituent on C-4, the final aromatization will not be feasible, and the reaction will end with the formation of 2,5-dihydrothiophene derivatives 15.
2.1.3. Synthesis of Indole Derivatives
A series of substituted indoles or polycyclic derivatives with indole moiety can be synthesized in three steps from anilines and 1,2-diaza-1,3-dienes [32]. In the first step, the aza Michael addition of anilines 20 to 1,2-diaza-1,3-dienes 21, gives α-(N-arylamino)hydrazones 22 with excellent yields at room temperature without the addition of any catalyst (Scheme 4). In the next step, the hydrolysis of 22 yields the respective α-(N-arylamino)ketones 23. Several Lewis- and Brønsted- acids were evaluated for this reaction, and the best results were obtained using Amberlyst 15H as catalyst in a mixture of methanol-acetone as solvent at 45 °C. Under these conditions, α-(N-arylamino)ketone derivatives 23 are obtained with excellent yield after 12 h of reaction. Finally, the cyclization reaction of 23, using the same catalyst, produces indole 24 with good to excellent yields. Although the same catalyst is used for the last two reactions, these cannot be performed in a single step since the catalyst concentration is a crucial parameter in the synthesis of 23. Additionally, the first reaction requires the use of relatively low temperatures and polar solvents, while the second reaction requires high temperatures and a nonpolar solvent. These conditions allow for excellent yields of α-(N-arylamino)hydrazones 22 and α-(N-arylamino)ketones 23.
Scheme 4.
Synthesis of indole derivatives 24 using 1,2-diaza-1,3-dienes and anilines.
The reaction proceeds with better yields when using secondary amines and even better if they have electron-donating groups. In addition, non-symmetric amines can be used, which allows indoles to be obtained regioselectively, mainly due to steric effects. Lastly, using cyclic amines allows the last reaction to be carried out without the need to change solvent, so the respective indoles are obtained with good yields directly from the second step.
The 1,2-diaza-1,3-dienes used for this reaction, which mainly contains electron-withdrawing substituents, allow the synthesis of indoles bearing ester, amide, and phosphonate groups [32]. However, 1,2-diaza-1,3-dienes without electron-withdrawing substituents, such as 4-unsubstituted or 3,4-dialkyl substituted diazadienos 25, tend to degrade and therefore cannot be prepared in advance, instead, they can be generated in situ by basic treatment of α-halo hydrazones 26, resulting in 3-alkyl- and 3-aryl 2-unsubstituted indoles 27 in good to excellent yields (Scheme 5).
Scheme 5.
Synthesis of 3-alkyl- and 3-aryl 2-unsubstituted indoles 27 using 1,2-diaza-1,3-dienes.
2.1.4. Synthesis of 1,2,3-Triazole Derivatives
The reaction between excess sodium azide and dichlorodiazadienes 28 in DMSO at room temperature affords 4-azido-1,2,3-triazoles 29 with good to excellent yields. From o-propargyloxy-substituted dichlorodiazadienes, subsequent thermal intramolecular cyclization gives an additional triazole cycle yield oxazocine derivatives 30 in up to 86% yield [33]. However, in the thermal cyclization of 2-pyridine derived 4-azido-1,2,3-triazoles, the elimination of molecular nitrogen promotes the cyclization of nitrene at the azine nitrogen, yielding 2H-[1,2,3]triazolo [4′,5′:3,4]pyrazolo[1,5-a]pyridin-5-ium-4-ides derivatives 31 in good yields [34] (Scheme 6).
Scheme 6.
Synthesis of 1,2,3-triazole derivatives from 1,2-diaza-1,3-dienes and sodium azide.
1,2,3-triazoles can also be synthesized at room temperature without using organic or inorganic azides by [4+1] annulation of bifunctional amino reagents 32 with 1,2-diaza-1,3-dienes 33 generated from α-halo N-acetyl hydrazones 34 [35]. K2CO3 was used as a base in THF for both deprotonating the amino reagents and for the generation of the 1,2-diazadiene system. The 1,4-conjugated addition of the deprotonated amino to 33 produce intermediate 35 which undergoes intermolecular cyclization, losing the -OTs group, to yield the 1,2,3-triazole derivatives 36 (Scheme 7). α-Halo N-acetyl hydrazones with Cl or Br as leaving groups can be used, yielding the expected 1,2-diaza-1,3-diene with the same yields, however, this reaction does not proceed when protic solvents are used. On the other hand, electron-donating or electron-withdrawing substituents on the aromatic ring were tolerated, as well as groups with considerable steric hindrance. Bifunctional amino reagents with different carbamates could be used to afford their triazole derivatives with good yields.
Scheme 7.
Triazole synthesis from bifunctional amino reagents and 1,2-diaza-1,3-dienes generates in situ.
Using the same approach, unsubstituted 1,2,3-triazoles also can be synthesized. The [4+1] annulation of primary amines with 1,2-diaza-1,3-dienes, generated in situ under basic conditions from difluoroacetaldehyde N-tosylhydrazones 37, afford the desired triazole derivatives 38 [36]. Deprotonation of N-tosylhydrazones was successfully carried out at 40°C using NaH in EtOAc, generating the 1,2-diaza-1,3-dienes 39 with excellent yields. A series of alkyl and aryl amines react with 39, following an 1,4-aza conjugate addition, to give the fluorated N-tosylhydrazone intermediate 40. Elimination of a second molecule of HF generates intermediate 41, which is deprotonated to produce intermediate 42. Finally, intramolecular cyclization and release of p-toluenesulfonic acid provide the triazole derivatives 38 (Scheme 8).
Scheme 8.
Triazole synthesis from amines and 1,2-diaza-1,3-dienes generates in situ.
This reaction tolerates a diversity of substituents on the primary amine and can be used with both aliphatic and aromatic amines, including optically active chiral amines, and has a high tolerance to the presence of many functional groups. This strategy provides easy access to diverse 1-substituted 1,2,3-triazoles under metal-, azide- and acetylene-free conditions. This reaction also works at 25 °C in methanol using DIPEA as a base, and this condition is used when amine substituents include alcohol or carboxylic acid moieties. One remarkable application of this methodology is the gram-scale synthesis of an antibiotic drug, PH-027. Synthesis of triazoles by this mechanism is not limited to the use of difluoro compounds since dichlorohydrazones 43 also produce 1,2-diaza-1,3-dienes 44 in the presence of DIPEA as a base in ethanol/acetonitrile. Furthermore, these diazadienes react with bisindoles 45 to generate triazole-bisindoles 46 in one step with excellent yields (Scheme 9) [37].
Scheme 9.
Triazole synthesis from amines and 1,2-diaza-1,3-dienes generates in situ from dichloro-N-tosylhydrazones.
2.1.5. Synthesis of Pyrazoles
The synthesis of multisubstituted pyrazoles from the reaction of 1,2-diaza-1,3-dienes with conjugated hydrazones under acid conditions provides a new synthetic tool for preparing biologically active compounds [38]. In this reaction, 1,2-diaza-1,3-dienes 47 were generated in situ by β-protonation of α,β-unsaturated hydrazones 48. The nucleophilic addition of a second hydrazone to the 1,2-diaza-1,3-dienes formed affords the intermediate 49, which following intramolecular cyclization by hydrazine fragment loss generates the pyrazole derivatives 50. Nucleophilic hydrazones can tolerate electron-withdrawing and electron-donating groups on R1 and R2 substituents (Scheme 10).
Scheme 10.
Synthesis of pyrazoles 50 from conjugated hydrazones and 1,2-diaza-1,3-dienes.
2.1.6. Synthesis of Pyrazolone Derivatives
1,2-diaza-1,3-diene 51 with an aryl substituent at 1 position react with propargyl alcohol (52) under basic conditions (4 eq K2CO3) at 60 °C to afford a mixture of 3-methyl-4-hydroxy-1-phenyl-4-(propa-1,2-dienyl)1H- pyrazol-5(4H)-one 53 and 9-methyl-7-phenyl-1-oxa-7,8-diazaspiro[4.4]nona-3,8-dien-6-one 54 with low yields. A series of other bases and solvents tried in this reaction yields complicated mixtures of products, the most optimal reaction yield was achieved using an excess of alcohol as a solvent. Using allyl alcohol (55) instead of 52 under the same conditions provided the corresponding 4-allyl-4-hydroxy-3-alkyl-1aryl-1H-pyrazol-5(4H)-ones 56 with better yields [39] (Scheme 11). The reaction mechanism was studied by DFT calculations, observing that a Michael type addition of propargyl or allyl alcohols to 1,2-diaza-1,3-dienes, followed by cyclization and [2,3]-Wittig rearrangement yields the observed pyrazolones.
Scheme 11.
Pyrazolones synthesis from 1,2-diaza-1,3-dienes by a sequence Michael-type nucleophilic attack/cyclization/[2,3]-Wittig rearrangement.
2.1.7. Synthesis of Pyrroles
Cyclodimerization of 1,2-diaza-1,3-dienes 57 catalyzed for FeCl3 generates a series of fully substituted symmetrical 1-aminopyrroles 58 [40]. The reaction begins with [4+2] Aza-Diels–Alder cycloaddition to produce diazenyl-tetrahydropyridazine-3,4-dicarboxylates 59 that lose N2 and R1CO2H to yield the intermediate 60. The oxidation of 60 results in the formation of 61, which loses an activated proton, triggering the internal ring closure and generating intermediate 62. Finally, sequential ring-opening of the diaziridine nucleus by keto-enolic tautomerism yields 63 that tautomerizes to produce the stable pyrrole derivative 58 (Scheme 12). A series of 1,2-diaza-1,3-dienes 57 react smoothly in THF under reflux with 10 mol % of FeCl3 for 30 h to yield the expected 1-aminopyrroles 58. To ensure high yields, FeCl3 catalyst must be added in two portions: at the beginning of the reaction and after 6 h. Different N-protective groups were tolerated in 1,2-diaza-1,3-dienes, however, cyclization was sensitive to steric hindrance.
Scheme 12.
Synthesis of 1-aminopyrrole derivatives 58 from catalyzed cycloaddition of 1,2-diaza,1-3-dienes.
2.1.8. Synthesis of Thieno [2,3-b] Indoles Derivatives
2-Carboxylated thieno [2,3-b] indole derivatives 64 were prepared in one pot reaction from indoline 2-thiones and 1,2-diaza-1,3-dienes in methanol using Amberlyst as cycling agent [41]. Initially, the chlorohydrazone 65 is prepared by the condensation of 2-chloro-3-oxopropanoate 66 with hydrazinecarboxylate 67, and then, the indoline-2-thione 68 and K2CO3 are added. The diene 69 is generated in situ by the carbonate present in the reaction medium and then undergoes an addition at C3 by 68 to produce the hydrazone 70. Finally, the presence of Amberlyst in the reaction medium catalyzes the formation of the thiophene ring by attack of the indole moiety’s C3 on the hydrazine carbon of 70, followed by aromatization facilitated by the removal of the carbazate/semicarbazide derivative (Scheme 13). The reaction proceeds at room temperature, and the substituents clearly affect the reaction rate. Compared to those with strong electron-withdrawing groups, the reaction is much faster when the starting products have weak electron-withdrawing or electron-donating groups.
Scheme 13.
Synthesis of thienodolin alkaloid 64 from indoline 2-thiones and 1,2-diaza-1,3-dienes.
2.2. Six-Member Heterocycles
2.2.1. Synthesis of 2-Pyridone Derivatives
N-Substituted rhodanines 71 and two molecules of 1,2-diaza-1,3-dienes 72 have been used in an unusual multicomponent reaction under basic conditions to produce 2,3,5,6-tetrahydro-1H-pyrrolo[3,4-c]pyridine-1,3,6-triones 73. This reaction begins with two successive Michael-type reactions. Initially, under the reaction conditions, a carbanion of rhodanine is formed at C5, which attacks at C-4 on the 72 to yield the intermediate 74 with excellent yields. A new carbanion formed in 74 attacks a second molecule of 72 to afford 75. Finally, 73 was obtained following the formation of the 2-pyridone ring by cyclization of 75 after the opening of the 2-thioxothiazolidin-4-one ring and the loss of CS2, which was the key step in the reaction (Scheme 14) [42]. This reaction could be carried out in both, step-by-step (isolating 75) and one-pot methods, with the latter resulting in a slight increase in yield of 73.
Scheme 14.
Synthesis of Pyrrolo-pyridines derivatives 73.
2.2.2. Synthesis of 6-Aminopyridazine Derivatives
The reaction of dichloro-substituted 1,2-diaza-1,3-dienes 76 with 2 equivalents of malononitrile allows access to highly functionalized 6-aminopyridazine derivatives 77 (Scheme 15) [43]. In the first step of this reaction, a malononitrile anion is added to C-4 of the diazadiene 76 followed by β-elimination of HCl to form a new 1,2-diazadiene 78. A subsequent addition–elimination reaction of a second malononitrile anion forms a 1-azadiene 79. Finally, the nucleophilic attack of the hydrazine nitrogen on the cyano group generates the heterocyclization of the molecule, with the formation of 6-aminopyridazines 77 in excellent yields. A wide range of diazadienos 76 can be used in this reaction, and both electron donor and electron-withdrawing groups can be incorporated into any of the aromatic rings. If the 1,2-diaza-1,3-dienes 76 have fluorine or chlorine atom at the ortho position of the aromatic ring at N-1, an intramolecular nucleophilic substitution reaction with the participation of the amino group afforded benzo[4,5]imidazo[1,2-b]pyridazine derivatives 80 with excellent yields. The synthesis of 80 could be performed in one or two steps with no effect on reaction yield.
Scheme 15.
Tandem synthesis of benzo[4,5]imidazo[1,2-b]pyridazine derivatives 80.
Dichloro-substituted 1,2-diaza-1,3-dienes 76 were synthesized from the reaction of substituted aromatic hydrazine with benzaldehyde, followed by catalytic carbon–carbon radical coupling between the corresponding hydrazones and CCl4.
The reaction of dimethyl malonate and cyanoacetic esters with electron-rich and electron-poor 4,4-dichloro-1,2-diazabuta-1,3-dienes 81 in THF at 20 °C using NaH as a base afford pyridazinone derivatives 82 in high yield (Scheme 16) [44]. The reaction with cyanoacetic esters is chemoselective to proceed through the attack of the ester group due to its higher electrophilicity compared to the cyano group. This reaction gives a set of pyridazinones 82 with different aryl groups at positions 1 and 3. This reaction starts with a Michael-type addition of the deprotonated ester 83 on 4,4-dichloro-1,2-diaza-1,3-butadienes 81 to afford 84, followed by chlorine leaving through deprotonation to form the azadiene 85. This intermediate 85 can tautomerize to form a new 1,2-diaza-1,3-butadiene 86, which is attacked by a second equivalent of 83 followed by an elimination of the second chlorine atom to form 87. Finally, the last intermediate 87 undergoes cyclization by nucleophilic attack of the hydrazine nitrogen to the ester moiety to afford the pyridazone derivative 82 (Scheme 16).
Scheme 16.
Reaction mechanism for synthesis of pyridazone derivatives 82 from 4,4-dichloro-1,2-diazabuta-1,3-dienes, with malonate ester or cyanoacetic esters.
Reaction with ethyl acetoacetate does not proceed under the above conditions; however, using K2CO3 or Cs2CO3 in DMSO instead of NaH in THF, the reaction generates product 88 in moderate yield. This reaction is more sensitive to the substituent on C3, and sterically hindered aryl resulted in the formation of 88 in trace amounts. In this reaction, the nucleophilic attack of hydrazine is chemoselective to the keto group (Scheme 17).
Scheme 17.
Pyridazone synthesis from 4,4-dichloro-1,2-diazabuta-1,3-dienes and ethyl acetoacetate.
2.2.3. Synthesis of Dihydropyridazinone Derivatives
The [4+2] annulation reaction of 1,2-diaza-1,3-dienes 89 with azlactones 90 produces dihydropyridazinones 91, in moderates to good yields [45]. Using Na2CO3 as a base, the reaction was conducted at room temperature in toluene with an N2 atmosphere. Under these conditions, 89 was generated in situ from N-protected α-halo hydrazones 92. Azalactones can also be synthesized in situ from N-acyl amino acids 93 using DCC to promote cyclodehydration under the same conditions, so that the reaction can be carried out in one pot. Substrates with electron-withdrawing or electron-donating groups in diazadienes were compatible with the reaction conditions, however aliphatic substituents in the N-protecting group of the amino acids produced dihydropyridazinones 91 in lower yields (Scheme 18). On the other hand, different substituted amino acids 93, possessing electron-withdrawing or electron-donating groups, both in the phenyl ring (R3) and the N-protecting group (R4) of the amino acids are well tolerated in this one-pot reaction, yielding products 91 from moderate to excellent.
Scheme 18.
Dihydropyridazinones synthesis by [4+2] annulation of 1,2-diaza-1,3-dienes with N-acyl amino acids.
1,2-Diaza-1,3-dienes 94 react with NHC-bound enolates 95, which are formed in situ by the reaction of α-chloro aliphatic aldehydes 96 with N-heterocyclic carbene (NHC), through an asymmetric [4+2] annulation, yielding chiral 4,5-dihydropyridazin-3(2H)-ones 97 with good yields and excellent enantioselectivities. The reaction proceeds under moderate conditions and is suitable for gram-scale synthesis (Scheme 19) [46].
Scheme 19.
Synthesis of 3,7-diaryl-6,7-dihydro-5H-6-substituted thiazolo[3,2-a]pyrimidin-5-ones 97.
2.2.4. Synthesis of Spiro[pyridazine] Derivatives
Ketohydrazones 98, formed by the condensation of acetophenones/tetralone/cyclohexanones and arylhydrazines, provide in situ 1,2-diaza-1,3-dienes 99 by oxidative dehydrogenation using TEMPO in excess in N2 atmosphere at 80 °C. This diene reacts with 3-methyleneoxindoles 100 [47] or 2-arylidene-1,3-indanediones 101 [48], through [4+2] cycloaddition reactions to provide spiro[3,3′-pyridazines] derivatives 102 and spiro[indene-2,3′-pyridazines] 103, respectively, in moderate to good yields. Because the reaction was a concerted cycloaddition, the relative configuration of the substituents in the oxindole moiety was conserved (Scheme 20).
Scheme 20.
[4+2] Cycloaddition of 1,2-diaza-1,3-dienes with 3-phenacylideneoxindoles (aza-Diels-Alder reaction).
The reaction of 3-phenacylideneoxindoles/3-aryliminooxindol-2-ones 104 with 1,2-diaza-1,3-dienes formed in situ by dehydrohalogenation of α-halogenated N-acylhydrazones 105 with Na2CO3 at room temperature is another method for synthesizing this class of heterocycle. Spiro[indoline-3,3′-pyridazin]-2-ones/spiro[indoline-3,3′-[1,2,4]triazin]-2-ones 106 are obtained in good yields and with high diastereoselectivity under these conditions (Scheme 21) [49]. It is noteworthy that in both cases, aza-Diels-Alder reactions occur in electron-deficient dienophiles and electron-deficient dienes, and both chloro- and bromo-substituted N-acylhyl- or N-benzoylhydrazones could be used in the reaction. The effect of the substituent on the 3-phenacyldenoxindoles on the yields was marginal.
Scheme 21.
Aza-Diels–Alder reaction between electron-deficient 3-methyleneoxindoles and 1,2-diaza-1,3-dienes.
2.2.5. Synthesis of Hydropyridazines
Through a sequential [4+2] and [1+2] annulation, dienes formed in situ from the basic treatment of α-halo N-acetyl hydrazones 107 react with crotonate-derived sulfur ylides 108 to give tetrahydropyridazines 109 [50]. The sulfonium deprotonates in the process to produce an allylic ylide, which interacts with 107 through Michael addition to produce the intermediate 110. This intermediate undergoes an intramolecular nucleophilic addition to make ylide 111, which then undergoes an intramolecular SN2 nucleophilic substitution to form the bicyclo 109 following a proton transfer (Scheme 22). The yields of pyridazine products are similar for electron-withdrawing and electron-donating substituents on dienes, although the reaction is sensitive to steric hindrance at the N-1 position on 107 and at the ortho position on aromatic substituents.
Scheme 22.
Synthesis of bicyclo[4.1.0]tetrahydropyridazine derivatives 109 from sulfur ylides and 1,2-diaza-1,3-dienes generated in situ.
Dihydropyridazines 112 were synthesized by [4+2] cycloaddition of enaminones 113 with in situ produced 1,2-diaza-1,3-dienes 114 in DMSO without any base at 80 °C by the reaction of I2 with the corresponding N-tosylhydrazones. The diazadienes were formed by removing HI from the α-iodo N-sulfonylhydrazones obtained in the first step of the reaction. The [4+2] cycloaddition of 114 with 113 is then performed to produce dihydropyridazine heterocycles 112 through amine elimination. When the reaction was carried out at 120 °C, a tosyl group was released and pyridazines 115 were obtained (Scheme 23) [51]. Electron-donating and electron-withdrawing groups were tolerated in this reaction in both substrates. Additionally, N-tosylhydrazones derived from alkyl, aryl, or heterocyclic ketones participate in this reaction, even if they produce sterically bulky hydrazones.
Scheme 23.
Synthesis of dihydropyridazines 112 or pyridazines 115 by [4+2] cycloaddition of enaminones with in situ generated 1,2-diaza-1,3-dienes.
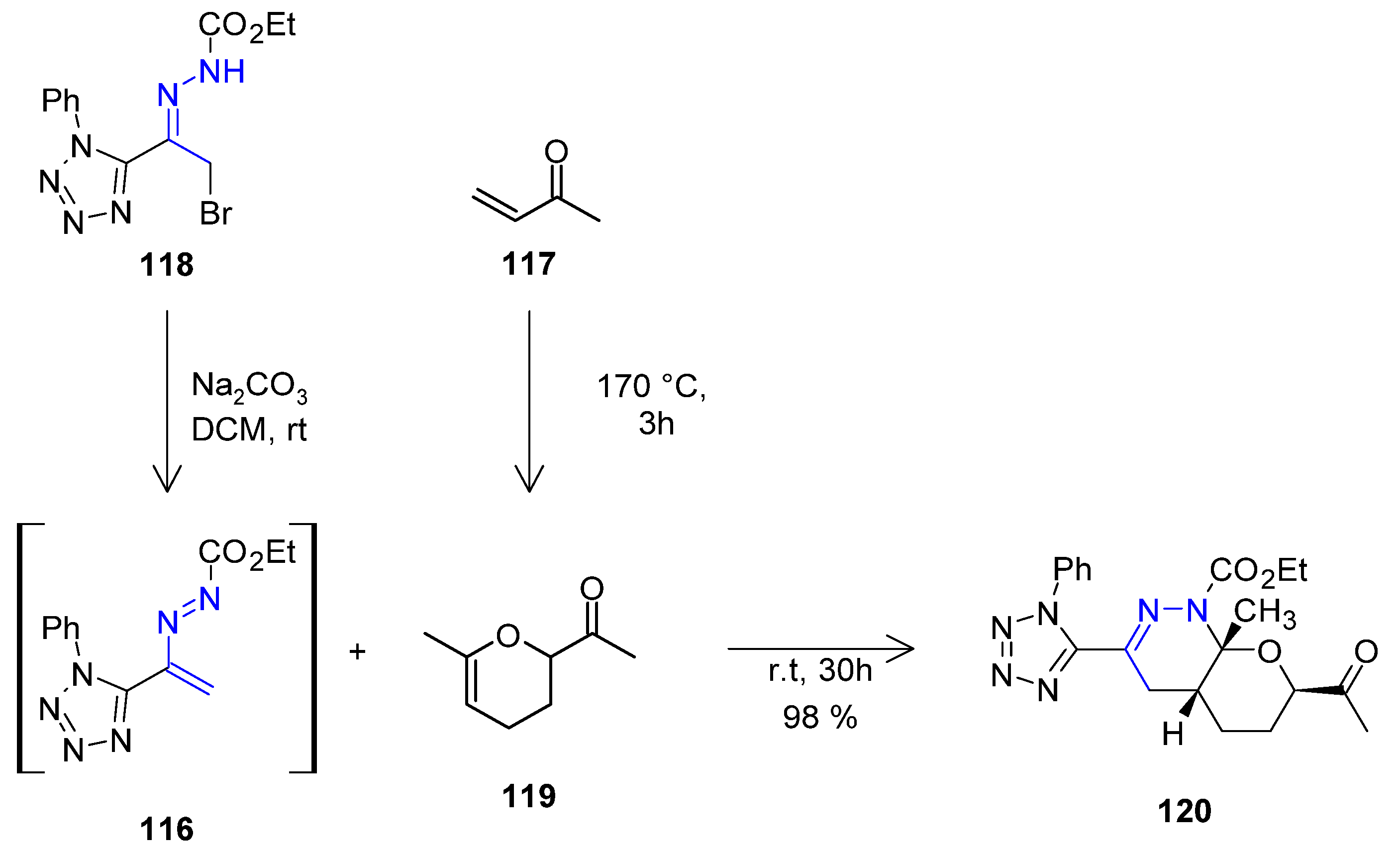
The reaction of 3-tetrazolyl-1,2-diaza-1,3-butadienes 116 with electron-rich and electron-deficient dienophiles results in an unusual reactivity pattern that allows access to a variety of functionalized derivatives. The aza-Diels–Alder reaction of methyl vinyl ketone 117 with 116, generated in situ under basic conditions from hydrazone 118, was recently reported; however, the expected cycloadduct was not formed; instead, 116 reacts with the methyl vinyl ketone dimer 119 present in the reaction medium to afford 3-(tetrazol-5-yl)-hexahydro-7H-pyrano[2,3-c]pyridazine 120 in low yield. Nevertheless, directly reacting hydrazone 118 with 119 in the presence of sodium carbonate at room temperature for 30 h afford pyrano[2,3-c] pyridazine 120 in very high yield as a single regioisomer (Scheme 24) [52].
Scheme 24.
Aza-Diels–Alder reaction between 3-tetrazolyl-1,2-diaza-1,3-diene 116 with methyl vinyl ketone.
A similar cycloaddition occurs with enamides instead of enaminones. Enamides derived from acetophenone undergo an inverse electron-demand aza-Diels–Alder reaction with in situ generated 1,2-diaza-1,3-dienes from α-halo hydrazones 121 to afford 1,4,5,6-tetrahydropyridazines 122 with excellent yield (Scheme 25). The reaction also works perfectly using cyclic enamide to provide structurally important fused polycyclic tetrahydronaphthalene-tetrahydropyridazines 123. In both cases, the cycloaddition proceeds with excellent regio- and diastereoselectivity [53], and both enamide and diazadiene can have electron donor or acceptor groups that are well tolerated.
Scheme 25.
Synthesis of tetrahydropyridazine derivatives 123 from enamides and 1,2-diaza-1,3-dienes.
The same approach was used to synthesize tetrahydropyridazines with indole scaffolds; for this, the corresponding 1,2-diaza-1,3-dienes 124, which were produced in situ from α-halo hydrazones 125 in MeCN at room temperature in the presence of Na2CO3, react with 3-vinylindoles 126. Under these conditions, the inverse-electron-demand aza-Diels–Alder (aza-IEDDA) reaction occurs between the 124 and the vinyl bond of the 126, resulting in the expected 3-(2,3,4,5-tetrahydropyridazin-3-yl)-1H-indoles 127 in good to excellent yields with high diastereoselectivities (>20:1 dr) (Scheme 26) [54]. The electronic effect and the position of the different substituents on both the 124 and the 126 do not influence the synthesis of the highly substituted tetrahydropyridazine 127 generated by this reaction. This reaction is compatible with gram-scale synthesis and, additionally, tetrahydropyridazine 127 with outstanding diastereoselectivity and enantioselectivity may be synthesized using Cu(OTf)2/(S,S)-iPr-box-catalyzed IEDDA cyclization.
Scheme 26.
Tetrahydropyridazines derived 127 from 3-vinylindoles.
2.2.6. Synthesis of 1,2,4-Triazine Derivatives
Formaldimines 128 and 1,2-diaza-1,3-dienes 129 can undergo [4+2] cycloaddition at room temperature to produce tetrahydro-1,2,4-triazine derivatives 130 in moderates to high yields [55]. Both formaldimines and diazadiene are formed in situ from 1,3,5-triazinanes 131 and α-halo hydrazones 132, respectively, by the presence of K2CO3 used as base. Electron-donating groups in formaldimines moieties and electron-withdrawing substituents on 1,2-diaza-1,3-dienes showed higher reactivity in this cycloaddition (Scheme 27).
Scheme 27.
Tetrahydro-1,2,4-triazine synthesis from 1,3,5-triazinanes and 1,2-diaza-1,3-diene generated in situ.
2.2.7. Synthesis of 1,3,4-Thiadiazines
Using K3PO4 as a base, α,β-unsaturated thioesters 133 react at room temperature with 1,2-diaza-1,3-dienes 134 through a highly regioselective inverse electron-demand aza-Diels–Alder reaction to afford 3,6-dihydro-2H-1,3,4-thiadiazine derivatives 135 in excellent yields [56]. A series of highly reactive 1,2-diaza-1,3-dienes 134 were synthesized in situ from α-halo hydrazones 136 under the reaction conditions. A variety of functional groups, such as esters, halogenated aromatics, and heterocycles, are well tolerated by this approach (Scheme 28). In the presence of lithium aluminum hydride, 135 could be further transformed into 5,6-dihydro-4H-1,3,4-thiadiazines 137 in moderate to good yields. This protocol tolerates substituents with electron-withdrawing and electron-donating groups at the R1 and R3 positions.
Scheme 28.
[4+2] Inverse aza-Diels-Alder reaction of α,β-unsaturated thioesters with 1,2-diaza-1,3-dienes.
2.3. Miscellaneous
Using ZnCl2 as a Lewis Acid catalyst, 1,2-diaza-1,3-dienes 138 can react with indoles 139 at room temperature to give cycloaddition products [57]. This reaction can follow two reaction pathways to provide two different heterocycles; tetrahydro-1H-pyridazino-[3,4-b]indoles 140 and tetrahydropyrrolo[2,3-b]indoles 141 (Scheme 29). The product obtained depends on the substituents present mainly on the indole structure. When the substituents at R2 and R3 of 139 are hydrogen, the [4+2] cycloaddition reaction gives the fused indoline heterocycles 140 in moderate to good yields. In this reaction, six- to eight-membered cyclic 1,2-diaza-1,3-dienes were used, and a wide functional group tolerance was observed at 139. The ring-opened [4+2] byproduct 142 was formed in some reactions as a result of a rearomatization process of product 140, and this undesirable event appears to be the cause of the decreased [4+2] cycloaddition product yields seen in some reactions.
Scheme 29.
[4+2] Cycloaddition reaction of 1,2-diaza-1,3-dienes with indoles catalyzed by ZnCl2.
On the other hand, when the substituents at R2 and R3 of 139 are different from hydrogen, and the 1,2-diaza-1,3-dienes 138 are not cyclic, the reaction affords the highly crowded tetrahydropyrrolo[2,3-b]indoles 141 in good to excellent yields by a [3+2] cycloaddition reaction. Density functional theory (DFT) computational chemistry was used to investigate the mechanism of the two competing reaction pathways, which indicated a slight asynchronous concerted [4+2] cycloaddition. In contrast, [3+2] cycloadditions clearly follow a stepwise mechanism.
3. Synthesis of Heterocycles Using 1,3-Diaza-1,3-butadienes
3.1. Five Membered Rings
3.1.1. Synthesis of Imidazolines
Imidazolines are important compounds found in natural and pharmaceutical products that serve as an intermediary in the synthesis of several kinds of organic molecules [58]. These compounds can also be synthesized from 1,3-diaza-1,3-butadiene, in addition to the usual routes that allow access to these heterocycles. The reaction of 1,3-diaza-1,3-butadiene 143 with benzyldimethylsulfonium tetrafluoroborate salt 144 in the presence of MTBD (7-methyl-1,5,7- triazabicyclo (4.4.0)dec-5-ene) (145) produces 2-imidazoline 146 in moderate yield [59] (Scheme 30). The 1,3-diaza-1,3-butadiene 143 was obtained from the reaction of amidine 147 with benzaldehyde 148 in the presence of Et3N and TiCl4 and was used directly without further purification. In the next reaction, the base favors the formation of sulfur ylide by deprotonating the sulfonium salt 144, which makes a nucleophilic addition to 143 followed by an intramolecular nucleophilic substitution to form the imidazoline ring by releases of sulfide. The reaction only produces the trans isomer. Although only the synthesis of 146 is reported in the article, the reaction has the potential to obtain 2-imidazoline derivatives with different substituents on the aromatic rings.
Scheme 30.
Synthesis of 2-imidazoline 146.
3.1.2. Synthesis of Imidazo[1,2-a]heterocycle Derivatives
Due to their enticing pharmacological properties, imidazo-heterocyclic scaffolds are recognized as drug-prejudice scaffolds. Several drug molecules are having this prevalent core, e.g., sedative Zolpidem, antiulcer drug Soraprazan, cardiotonic drug Olprinone, osteoporosis drug Minodronic acid, etc. [60]. There are several methods for preparing imidazo[1,2-a]pyridine derivatives [61]; however, the Groebke–Blackburn–Bienaymé reaction (GBB) [62] is the most commonly used. In this three-component reaction, imidazo[1,2-a]pyridine derivatives 149 are prepared by a sequential combination of an aldehyde 150 with the 2- aminopyridines 151 and isocyanide 152. Initially, the condensation of 150 with 151 produces the 1,3-diaza-1,3-butadiene 153. The acid catalyst activates the intermediate 153, which then undergoes a [4+1] cycloaddition with the isocyanide 152 to yield the cycloadduct 154. Finally, aromatization of this cycloadduct via a 1,3-H shift yields the imidazo[1,2-a]pyridine 149 as the major product (Scheme 31).
Scheme 31.
Groebke–Blackburn–Bienaymé reaction.
Several catalyst were used for his reaction, for example, L-proline [63], Yb(OTf)3 [64], Candida antarctica lipase B (CALB) enzyme [65], NH4Cl [66,67], K-10 clay [68], AgOAc [69], thiamine hydrochloride [70], Sc(OTf)3 [71,72], In(OTf)3 [73], InCl3 [74], and HClO4 [75,76]. Nevertheless, catalyst and solvent-free conditions have also been reported [77,78]. Although most authors work directly with isocyanide, several methodologies that avoid isolating the unstable isocyanide intermediate have recently been reported. Thus, using I2-PPh3-Et3N reagent [79], and triphosgene, Et3N [80], isocyanide is synthesized in situ from N-formamide 155 (Scheme 32).
Scheme 32.
Isocianide synthesis in situ from N-formamide 155 and its use in the Groebke–Blackburn–Bienaymé reaction.
An advantage of this reaction is that it is not limited to the exclusive use of 2-aminopyridine, but also can be used with amines with the cyclic H2N-C=N structure (2-aminoazines or amidines), so this reaction allows to obtain different imidazo[1,2-a]-heterocyclic compounds (Scheme 33). Among the recently reported amidines we have: 2-aminothiazoles [64,69,72,78,81], 2-aminopyrazine [72,73,81], 2-aminobenzothiazole [70,78], 2-aminopyrimidine [69,71], 5-(trifluoromethyl)-1,3,4-thiadiazol-2-amine [77] and 2-aminoquinoline [70,72].
Scheme 33.
Use of different 2-aminoazines in the Groebke–Blackburn–Bienaymé reaction.
In addition, more complex heterocycles can be obtained starting from these imidazo[1,2-a]-heterocyclics (Scheme 34) [64,68,72,75].
Scheme 34.
Complex heterocycles derived from imidazo[1,2-a]-heterocycles.
This [4+1]-annulation reaction is also observed when β-keto sulfoxonium ylides 156 are used (Scheme 35). The ylide reacts with the heterocyclic azine-aldimines 157 generated in situ, releasing DMSO and producing the dihydroimidazo[1,2-a]pyridine intermediate 158, which tautomerizes to 159. Finally, the dehydrogenation of 159, catalyzed by CuCl2, TsOH, and DMSO, present in the reaction medium, provides the corresponding 2-aryl-3-aroyl-imidazo[1,2-a]pyridine 160 in high yields [82].
Scheme 35.
Synthesis of 2-imidazoline derivatives 160.
3.2. Six Membered Rings
3.2.1. Synthesis of Pyrimidine Derivatives
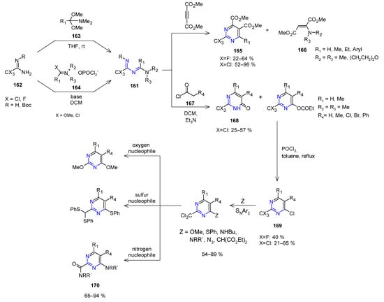
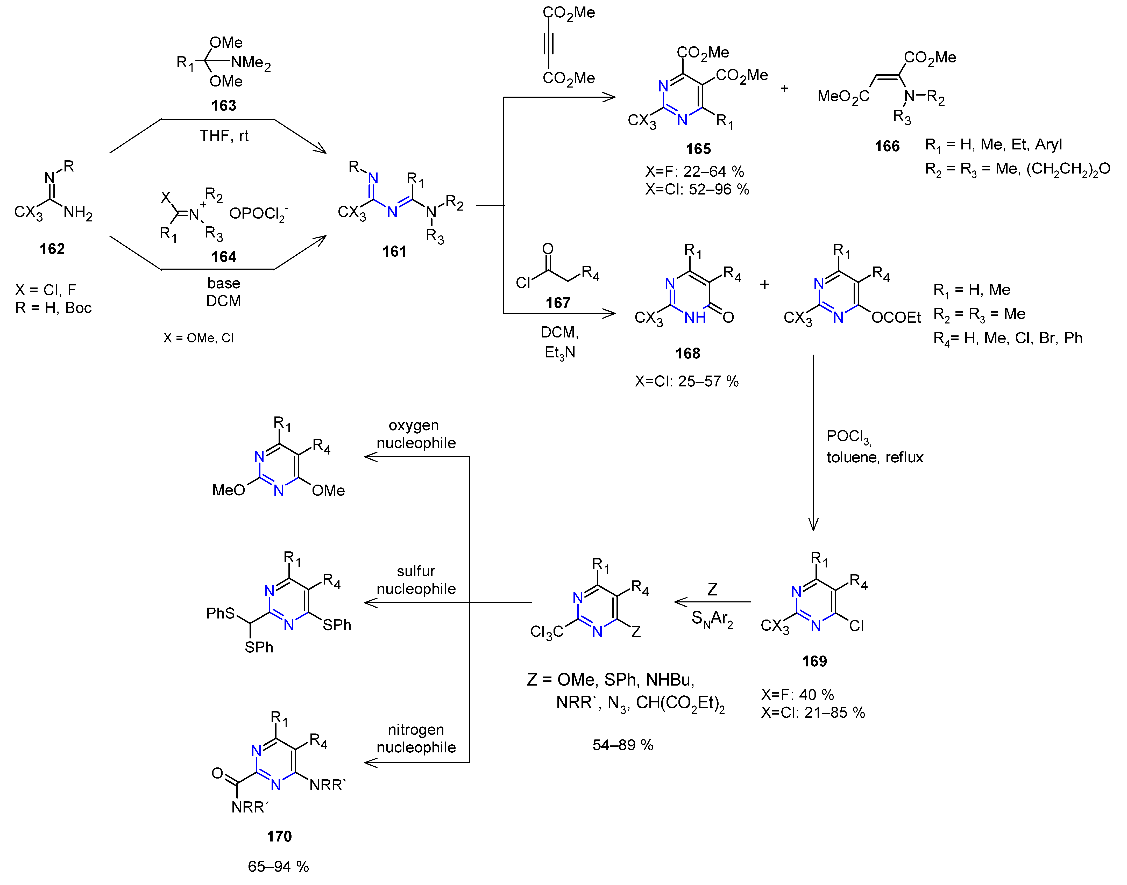
Pyrimidine derivatives have a wide range of chemical, bioorganic, and medicinal chemistry applications. These compounds are important structural components of a wide spectrum of biologically active molecules and exhibit antimycobacterial, antitumor, antiviral, anticancer, anti-inflammatory, and antibacterial properties [83,84]. The main reaction to synthesize pyrimidine derivatives from 1,3 diazadienes is through [4+2] cycloaddition reactions. In these reactions we used 2-trichloromethyl- [85,86], and 2-trifluoromethyl-1,3-diazabutadienes [15]. These 2-trihalomethyl-1,3-diaza-1,3-butadienes 161 were prepared by the condensation of trihaloacetamidine 162 with amide acetals 163 or with chloromethaniminium salt 164 derived from N,N-dimethylbenzamide with phosphorus oxychloride (Vilsmeier–Haack reagent) (Scheme 36). The principal characteristic of these 1,3-diazabutadienes is their reactivity towards electron-deficient acetylenes, and they react with dimethyl acetylenedicarboxylate (DMAD) in CH2Cl2 to give the 2-(trihalomethyl)pyrimidines 165 in high yields with a small amount of dialkylamine–DMAD adduct 166 [15,86]. The reaction gives better yields when the four-position substituent on 161 is an aromatic ring bearing both, electron-donating and electron-withdrawing groups, instead aliphatic substituent.
Scheme 36.
Synthesis of pyrimidine derivatives 169 and 170.
Under basic conditions, on the other hand, the reaction of 161 with ketene, produced in situ from enolizable acyl chlorides 167, provides the expected 2-(trichloromethyl)pyrimidin-4-one derivatives 168 via a non-concerted [4+2] cycloaddition process. Subsequently, 168 reacts with POCl3 to give the corresponding pyrimidine 169 [85].
These pyrimidines can undergo substitution reactions with different nucleophiles, which increases the types of derivatives that can be obtained through this reaction. When the reaction occurs at low temperature or with a low concentration of nucleophile (5–10 equiv), an SNAr2 reaction is observed in position 4 of the heterocyclic ring. In contrast, if the reaction is carried out at a high temperature or with a more significant amount of nucleophile, a substitution of the trichloromethyl group is observed (Scheme 36). Furthermore, when using an excess of secondary or primary amines as nucleophiles, the formation of the corresponding amide 170 is observed, which would be obtained after the hydrolysis of the intermedia iminium salt formed after the elimination of a chlorine atom [85].
A similar [4+2] cycloaddition was reported for the reaction of 1,3-diazadienes 171 with 3-vinylindoles 172 [87]. Chiral phosphoric acid catalyzed an asymmetric inverse-electron-demand aza-Diels–Alder reaction under mild conditions, yielding a wide range of benzothiazolopyrimidines 173 with good yields and excellent diastereo- and enantio-selectivity (Scheme 37). A probable concerted reaction pathway facilitated by the dual hydrogen-bonding effect was postulated to explain the excellent enantioselectivity and specific trans–trans diastereoselectivity.
Scheme 37.
Synthesis of benzothiazolopyrimidine derivatives 173.
3.2.2. Synthesis of Dihydropyrimidine Derivatives
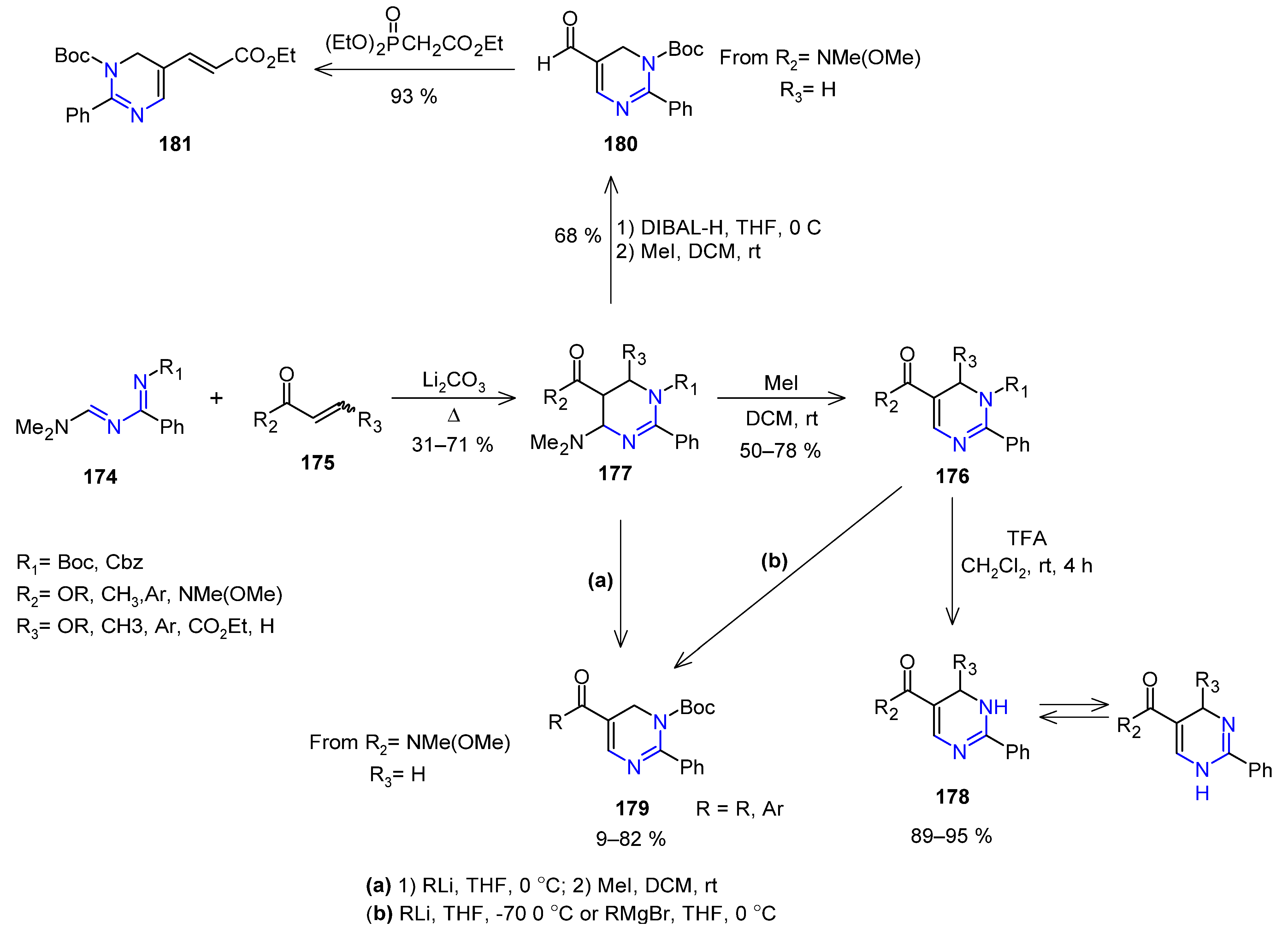
The aza-Diels–Alder reaction of 4-dimethylamino-1,3-diaza- 1,3-butadiene 174 with electron-deficient olefins 175, following the elimination of a dimethylamino group produces the corresponding dihydropyrimidines 176 (Scheme 38). In the first reaction, the cycloaddition of 174 with N-methoxy-N-methylacrylamide [88] or 1,2-disubstituted ethylenes [89], in the presence of Li2CO3, affords 4-dimethylamino-2-phenyltetrahydropyrimidines 177 in moderate yield. Next, the elimination reaction of the 4-dimethylamino group by reaction with MeI produces 176 in good yield. The one-pot synthesis of 176 without isolation of the cycloadducts 177 improves the yield of dihydropirimidine formed. The N-protecting group of 176 could be easily removed through TFA and CH2Cl2 at room temperature to obtain N-unsubstituted dihydropyrimidines 178 as a mixture of tautomers. On the other hand, the cycloaddition reaction of N-methoxy-N-methylacrylamide allows the formation of 6-unsubstituted 4-dimethylamino-2-phenyltetrahydropyrimidine 177, having the Weinreb amide at position 5. Substitution reaction of this amide group with organolithium reagents, and subsequent elimination reaction with MeI, gives 4,6-unsubstituted 5-acyl-2-phenyldihydropyrimidines 179. The same product can be obtained by reacting 176 with organolithium or Grignard reagents [88]. Finally, reduction of 177 with DIBAL-H and elimination with MeI yields 5-formyl dihydropyrimidine 180 in a good yield, and subsequent Horner–Emmons reaction extends the dihydropyrimidine conjugation at position 5 to afford 181 in high yield.
Scheme 38.
Synthesis of dihydropyrimidine derivatives.
3.2.3. Synthesis of Pyrimidinone Derivatives
The [4+2] cycloaddition process of conjugated 1,3-diazabuta-1,3-dienes with suitable ketene precursors is the most successful route to functionalized pyrimidinones. This approach allows, in a single step, to fuse this heterocycle with others that have potential biological activity. Thus, 1,3-diazabuta-1,3-dienes 182 generated from amine derivatives 183 react with indoleketenes via a [4+2] cycloaddition reaction to provide [1,3,4] thiadiazole [3,2-a]pyrimidin-5-one or [1,3,4] oxadiazolo[3,2a]pyrimidin-5-one derivatives 184 (Scheme 39) [90,91].
Scheme 39.
Synthesis of pirimidinones 184.
In the presence of phosphorus oxychloride (POCl3), the appropriate substituted benzoic acids 185 react with semicarbazide or thiosemicarbazide to produce, respectively, amine-1,3,4-oxadiazole and amine-1,3,4-thiadiazole derivatives 183. Lastly, condensation of 183 with N,N-dimethylformamide dimethyl acetal (DMF-DMA) at room temperature yields the 1,3-diazabuta-1,3-diene derivatives 182. Finally, in the presence of p-toluene sulphonyl chloride and triethylamine, indole acid produces in situ indole ketene, which reacts with 1,3,4-thiadiazole/oxadiazole substituted 1,3-diaza-1,4-butadienes 182 via a [4+2] cycloaddition reaction, to provide the desired pyrimidinone hybrids 184 in good yields. The evidence indicates that the [4+2] cycloaddition reaction does not occur in a concerted way, instead, the nucleophilic addition of N1 in 1,3-diazabuta-1,3-dienes 182 to the carbonyl group of ketene 186 results in a zwitterionic intermediate 187. The keto-enolic tautomerist of the intermediate 187 generates the dipolar intermediate 188, which yields the required products after ring closure and removal of N,N-dimethylamine (HN(CH3)2).
Using the same procedure, 5-prop-2-ynylsulfanyl-pyrimidin-4-ones 189 were synthesized, with excellent yields, by reacting 1-aryl-2-phenyl-1,3-diazabuta-1,3-dienes 190 with the acid 191. Prop-2-ynyl-sulfanyl ketene 192 is synthesized in situ under the same reaction conditions, and it reacts with the 190 in the same way described above to produce 189 (Scheme 40). Changes in the N-aryl moiety of the diazabutadienes 190 have almost no effect on yield. At room temperature, the reaction of 189 with iodine resulted in the simple and chemoselective synthesis of pyrimido[5,4-b][1,4]thiazin-8-ium iodide 193 in good yields. These cyclizations occurred after a favorable exo-dig intramolecular ring closure cyclization, with no evidence of the formation of pyrimidino[5,4-b][1,4]thiazepane 194 by competing endo-dig intramolecular ring closure cyclization [92].
Scheme 40.
Synthesis of pyrimido[5,4-b][1,4]thiazin-8-ium iodide 193.
Dihydropyrimidinones 195 are obtained if the diene lacks a good leaving group, as reported for the cycloaddition reaction of diazadiene 196 with ketenes synthesized in situ from enolizable acyl chloride 197 in THF in the presence of n-TBAHSO and powdered KOH [93]. Following this approach, the corresponding 3,7-diaryl-6,7-dihydro-5H-6-substituted thiazolo[3,2-a]pyrimidin-5-ones 195 can be synthesized in good to excellent yields under heat conditions or utilizing a phase transfer catalyst combined with ultrasonication (Scheme 41). Initially, the diazadiene 196 is prepared when 2-amino-4-arylthiazoles 198, previously synthesized from thiourea and bromoacetophenones, react with substituted benzaldehydes. Compared to the traditional approach, ultrasound lowered reaction rates (about 5 h) and increased yields of thiazole pyrimidinones 195.
Scheme 41.
Synthesis of 3,7-diaryl-6,7-dihydro-5H-6-substituted thiazolo[3,2-a]pyrimidin-5-ones 195.
3.2.4. Synthesis of Quinazoline Derivatives
A wide range of compounds with quinazoline or quinazolinone moieties have been found to exhibit various biological activities and may also be prepared from diazadienes. Quinazoline and quinazolinone scaffolds are types of biologically active nitrogen heterocyclic molecules that constitute the basis for several commercially available drugs [94]. Vilsmeier–Haack reagents derived from the corresponding benzamide derivatives 199 with trichloroacetamidine 200 were used to produce excellent yields of 2-(trichloromethyl)-1,3-diaza-1,3-butadienes 201. Under mild conditions, these dienes react with benzyne, which is produced in situ from o-trimethylsilylphenyl triflate 202 and TBAF, to provide 2-(trichloromethyl) quinazolines 203 in good yields (Scheme 42) [95]. This approach, however, is limited to N,N-substituted amides with no enolizable hydrogen atoms.
Scheme 42.
Synthesis of 4- susbstituted 2-(trichloromethyl) quinazolines 203.
4. Synthesis of Heterocycles Using 2,3-Diaza-1,3-butadienes
4.1. Five Membered Rings
4.1.1. Synthesis of Perhydro [1,2,4] Triazolo [1,2-a] [1,2,4] Triazole-1,5-dithiones
Tetrahydro-[1,2,4]-triazolo [1,2-a][1,2,4] triazole-1,5-dithione derivatives 204 can be synthesized by reacting 2,3-diaza-1,3-butadienes 205 with 2 equivalents of KSCN. This reaction has been described utilizing ultrasonic [96] or catalyzed by TiO2-functionalized nano-Fe3O4 encapsulated silica particles [97], with high yields, low reaction times, and simplicity of work-up in both cases (Scheme 43).
Scheme 43.
Synthesis of perhydro [1,2,4] triazolo [1,2-a] [1,2,4] triazole-1,5-dithiones 204.
4.1.2. Synthesis of Pyrazoline Derivatives
Pyrazoline derivatives 206 could be easily synthesized by intramolecular cyclization of 2,3-diaza-1,3-butadienes 207 (Scheme 44). Several metal salts catalyze this reaction, but FeCl3 has the best catalytic performance, with 95% conversion and 99% selectivity with a catalyst concentration of 4 mol%. Diene’s steric hindrance is a critical factor in the reaction since the yield of the product decreases as the size and branching of the chain increase, with yields of 10% seen in the case of t-Bu and no reaction observed in the case of phenyl group [98].
Scheme 44.
Intramolecular cyclization of 2,3-diaza-1,3-butadienes 207 catalyzed by FeCl3.
4.1.3. Synthesis of [1,2,4]Triazolo[1,5-a]pyridine Derivatives
[1,2,4]-Triazolo[1,5-a] pyridines derivatives 208 can be easily synthesized by the reaction of 2,3-diaza-1,3-butadienes 209 and arylidenemalononitriles 210 using metallic copper as a catalyst (Scheme 45) [99]. The reaction tolerates the presence of substrates with different functional groups, allowing good yields of 208. Because of steric effects, dienes with electron-donating groups in the para position of the aromatic ring, afford higher yields than those with electron-withdrawing groups. Furthermore, this reaction tolerated larger aromatic groups such as naphthyl and even heterocycles. No product was obtained when TEMPO was added to the reaction, suggesting that the reaction mechanism most probably included a free radical process. However, oxygen was essential to this catalytic reaction since the desired product was only produced at a low yield under N2.
Scheme 45.
Intramolecular cyclization of 2,3-diaza-1,3-butadienes 209 catalyzed by Cu.
4.1.4. Synthesis of 4,5-Disubstituted-3-amino-1,2,4-triazoles
The reaction of 2,3-diaza-1,3-butadienes 211, previously prepared from the condensation of benzaldehyde with aminoguanidine hydrochloride, with I2 in dioxane at 80 degrees, provides 4-arylideneamino-5-aryl-3-amino-1,2,4-triazole derivatives 212 via intermolecular cyclization involving two molecules of 211 [100]. The iminic C4 carbon of 211 undergoes electrophilic activation by the coordination of I2 with the iminic nitrogen (N3), which is facilitated by the presence of AgOTf, initiating a nucleophilic attack by the N2 of another molecule of 211, followed by the removal of HI, and formation of intermediate 213. The terminal NH2 group in 213 nucleophilically displaces iodine as another molecule of HI, leading to the formation of the intermediate 214. Finally, aromatization of the formed heterocyclic ring in 214, following guanidine elimination and 1,3-hydrogen shift, yields the corresponding 4-arylideneamino-5-aryl-3-amino-1,2,4-triazole derivatives 212 (Scheme 46). This I2-promoted tandem intermolecular nucleophile attack/cyclocondensation/aromatization reaction works with a wide range of aromatic ring substituents, resulting in moderate to good yields of the corresponding products. However, this reaction does not work with diazadienes derived from aliphatic aldehydes.
Scheme 46.
Intramolecular cyclization of 2,3-diaza-1,3-butadienes 211 catalyzed by I2.
4.2. Six Membered Rings
4.2.1. Synthesis of (N′-Substituted)-hydrazo-4-aryl-1,4-dihydropyridines
In the presence of a copper catalyst, the reaction of 2,3-diaza-1,3-butadienes 215 with alkyl propiolate 216 yielded N′-substituted-hydrazo-4-aryl-1,4-dihydropyridines 217 with good yields after 24 h of reaction in refluxing MeOH (Scheme 47) [101]. In this reaction, the nature of the substituent on the aromatic ring of the azine has a significant effect on the synthesis of 217. Thus, the presence of electron-donating groups favors the formation of 217; however, there is no reaction with electron-withdrawing groups. Similarly, the presence of free hydroxyl groups in the ortho position does not result in the formation of a product attributable to the catalyst’s deactivation due to Cu(II) coordination with the free hydroxyls. Therefore, the reaction is limited only to 216 since when different alkynes are used, the reaction does not proceed.
Scheme 47.
Synthesis of (N′-substituted)-hydrazo-4-aryl-1,4-dihydropyridines 217.
4.2.2. Synthesis of Isoquinoline Derivatives
Isoquinoline derivatives 218 can be prepared by the annulation reaction of 2,3-diaza-1,3-butadienes 219 with alkynes via sequential C-H/N-N bond activation. Recently a ruthenium catalyst in PEG media with microwave radiation [102] and an air-stable cobalt catalyst in trifluoroethanol with NaOAc as an additive [103] was used in this reaction. Diazadienes 219 derived from acetophenone with electron-donating and electron-withdrawing groups at different positions of the phenyl ring were well tolerated for the reaction with various alkynes to afford the corresponding isoquinolines 218 in good to excellent yields, regardless of the catalyst used (Scheme 48). Only a single isoquinoline product is detected when these substituents are in the para position or when the dienes have electron-withdrawing or weak electron-donating substituents in the meta position. However, strong electron donor groups in the meta position produced two regioselective isomeric products. Furthermore, diazadienes derived from other aromatic/heteroaromatic ketones proceeded through this annulation reaction, giving the expected reaction products in good yields. However, the reaction using terminal alkynes or diazadienes derived from benzaldehyde fails. The ruthenium-catalyzed process is substantially faster than the cobalt-catalyzed reaction, and microwave irradiation is required for the reaction to be effective.
Scheme 48.
Synthesis of isoquinoline derivatives 218.
5. Synthesis of Heterocycles Using 1,4-Diaza-1,3-butadienes
5.1. Four-Membered Rings
Synthesis of β-Lactams
The reaction of 1,4-diaza-1,3-butadiene 220 with butadienylketenes proceed via a [2+2] cycloaddition reaction to yield cis-butadienyl-4-iminomethyl-azetidin-2-ones 221 and butenylidene-butadienyl-[2,2′-biazetidine]-4,4′-diones 222 (Scheme 49). The ratio between these products depends on the concentration of the acid chloride used to generate the ketene in situ. When the ratio is equimolar, mono β-lactams 221 are the main product, while bis-β-lactams 222 are formed with low yield. The reaction only works with aromatic 1,4-diazadienes, and the yield of 221 decreases when the reaction is carried at an elevated temperature, and no evidence of 222 is observed. On the other hand, when high equivalents of sorbyl chloride are used, an inverse behavior is observed, with the bis-β-lactams 222 as the main product, and 221 is formed in low yields [104].
Scheme 49.
Synthesis of mono β-lactams 218 and bis-β-lactams 219.
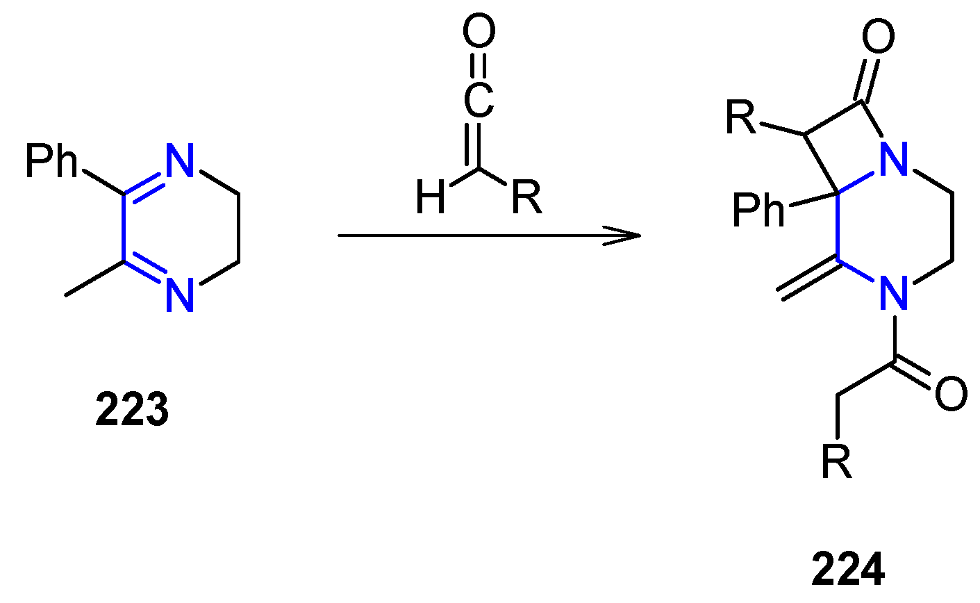
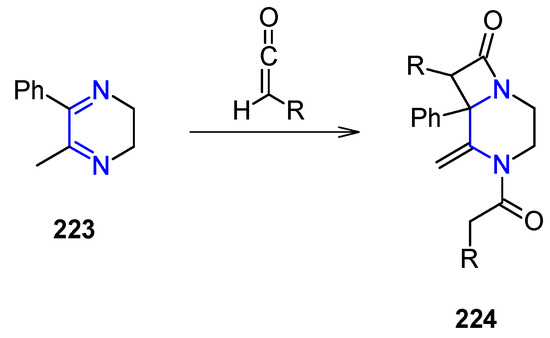
When two equivalents of ketene derivatives react with unsymmetrical monophenyl cyclic 1,4-diazadienes 223, 1,4-diazabicyclo[4.2.0]octan-8-ones 224 are obtained (Scheme 50) [105]. The product is formed by combining a [2+2] cyclization to afford a β-lactam ring and a 1,5-sigmatropic rearrangement.
Scheme 50.
Synthesis of 1,4-diazabicyclo[4.2.0]octan-8-ones 224.
5.2. Five-Membered Rings
5.2.1. Synthesis of N,N-Diarylimidazolium Salts
One of the main heterocycles synthesized using 1,4-diaza-1,3-butadienes are imidazolium salts. These compounds are important because they are the precursors of N-heterocyclic carbenes (NHCs), which are generated by deprotonation [106]. The NHCs are interesting structures due to the catalytic activity of their metal complexes and are widely used in organic synthesis [107,108].
The imidazolium salts 225 could be synthesized using a mechanochemical one-pot two-step procedure, affording these NHC precursors much better yields than conventional solvent-based procedures [109]. The synthesis of diazadiene 226 and subsequent cyclization to the imidazolium salts was carried out in a planetary ball mill (pbm) at 500 rpm, with no isolation of diazadiene intermediates. Of the different reagents used for the cyclization step, the best result was obtained using paraformaldehyde and HCl (Scheme 51).
Scheme 51.
Synthesis of imidazolium salt 225 by mechanochemical one-pot two-step procedure.
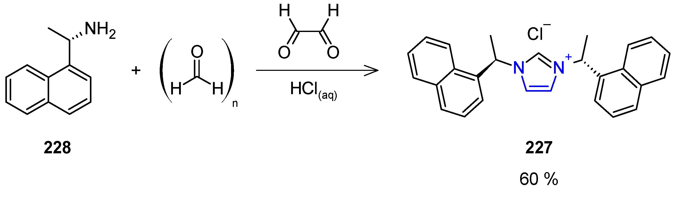
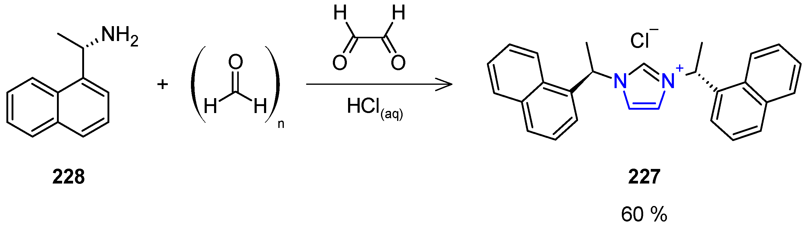
Chiral imidazolium salts 227 may be synthesized in a single step with moderate yield by reacting chiral amine 228, glyoxal, paraformaldehyde, and aqueous HCl (Scheme 52) [110]. One advantage of this procedure is that it employs inexpensive starting materials, and the reaction proceeds without racemization. However, the application of this approach to construct steric hindrance imidazolium salt failed due to the too sterically bulky structure, which prevents cyclization even when the reaction is performed in two steps.
Scheme 52.
Synthesis of chiral imidazolium salt 227.
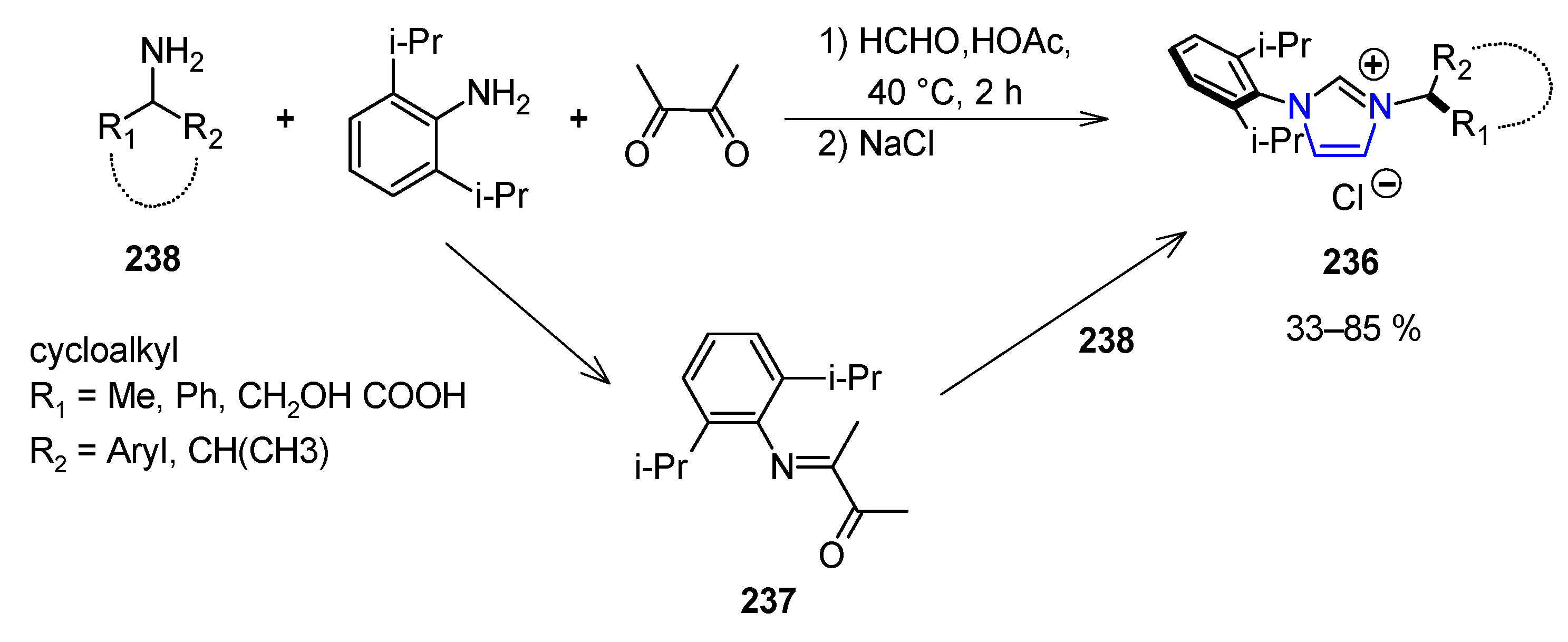
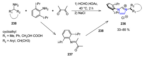
Imidazolium salt 229 can also be synthesized in one pot with 2,6-diisopropylaniline 230, cycloalkylamines, glyoxal, and formaldehyde in HOAC, using MgSO4 and ZnCl2 as additives, and then HCl and KPF6 [111]. This approach yields unsymmetrical 1-(2,6-diisopropylphenyl)-3-cycloalky-imidazolium salts 229 with very high selectivity (>95%) and excellent yield (Scheme 53). The reaction also works with chiral amines, allowing access to bulky chiral NHC precursors.
Scheme 53.
Synthesis of unsymmetrical imidazolium salts 229.
Reaction mechanism studies with adamantylamine 231 revealed that in the initial reaction, two symmetrical diimines (232 and 233) and an unsymmetrical diimine 234 can form (Scheme 54). However, in additional experiments to analyze the reaction mechanism, the authors found that diaryl-diimine 232 is the main product of the initial reaction. Experimental evidence suggests that the formation of the imidazolium salt from symmetric diimines is unfavorable in this reaction and may explain the production of the asymmetric salt 235. This might be because the cyclization of these diimines is slower than that of the asymmetric diamine 234, as well as the rate of formation of 234, which increases with the presence of ZnCl2. An alternative cyclization mechanism involving diimine 232 and hemiaminal formed by the addition of 231 to formaldehyde, on the other hand, cannot be ruled out.
Scheme 54.
Mechanism reported for the synthesis of the unsymmetrical imidazolium salts 235.
Instead of glyoxal, 2,3-butanediones can be used as the starting material to make unsymmetrical imidazolium salts 236 (Scheme 55). The main product of the first step in this reaction is the α-keto-imine 237, rather than the diaryl diimine, which is obtained in low yield; however, a subsequent reaction with cycloalkylamines 238 yields the unsymmetrical imidazolium salt 236 in moderate yield, possibly following the same path as the above [112].
Scheme 55.
Synthesis of the unsymmetrical imidazolium salts 236.
N-Heterocyclic carbene precursors with an acenaphthylene moiety 239 have a perfect combination of electronic and steric characteristics, making them particularly helpful in organic synthesis and have found broad use in the synthesis of different metal complexes. There are several reports on the synthesis of these precursors 239 [108], but in general, the initial step is the synthesis of the diimine 240, which is accomplished by condensation of the aniline derivatives with acenaphthoquinone (241) dissolved in AcOH, in the presence of a Lewis acid, usually ZnCl2. Finally, the cyclization reaction, usually performed with chloromethyl methyl ether (MOMCl) or ethyl chloromethyl ether (EOMCl), affords the imidazolium salts 239 with excellent yields (Scheme 56). This method produces imidazolium salts 239 with a broad set of substituents in the aniline moiety, which can be aliphatic or aromatic (mono-, di-, or trisubstituted) and gives access to NHC precursors with low steric congestion or even sterically more hindered.
Scheme 56.
Synthesis of bulky imidazolium salts 239 containing an acenaphthylene element.
The synthesis of imidazolium salts with higher steric hindrance is not very simple, mainly because the steric hindrance hinders the cyclization process. However, the reaction of steric diiminas with EtOCH2Cl for 16 h at 100 °C affords de bulky imidazolium salts 242 in high yields (Scheme 57) [113].
Scheme 57.
Synthesis of higher steric hindrance imidazolium salts 242.
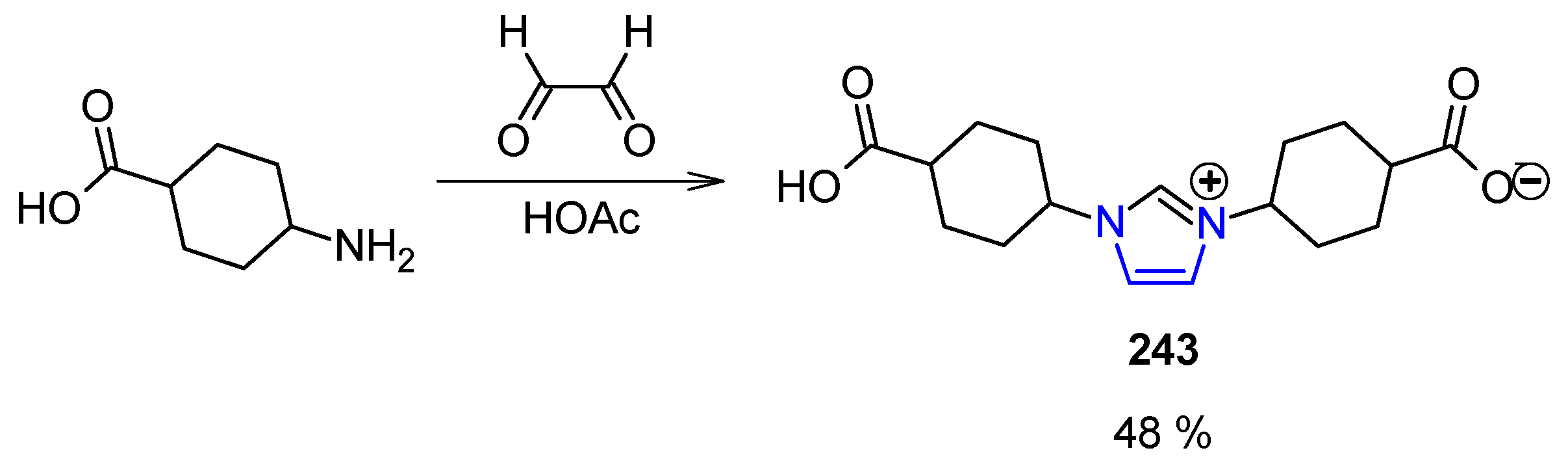
It was recently reported that the glyoxal used in the reaction with cis-4-aminocyclohexane carboxylic acid not only plays an important role in the diimine synthesis but also its in situ decomposition releases carbon monoxide and generates formaldehyde, which allows cyclization of the molecule, allowing the synthesis of the zwitterionic imidazolium 243 (Scheme 58) [114].
Scheme 58.
Synthesis of zwitterionic imidazolium salt 243.
When the 1,4-diaza-1,3-butadienes 244 (R1 = R2 = H) react with trialkyl orthoformate in the presence of TMSX, heteroatom-functionalized imidazolium salts 245 are synthesized in one step. The formation of adducts between diazadiene and activated orthoformate is a crucial step in this process. The 4-sulfanylated imidazoliun salts 246 are obtained under the same conditions but with the addition of a strong RSH nucleophile. Finally, the chloroalkyl substituted imidazolium salts 247 are the main products of the reaction of 244 with TMSCl when the diazadiene possesses identical alkyl groups on the carbon atoms of the diene backbone (R1 = R2 = Me). However, if the alkyls are different (R1 = Et, R2 = Me), a combination of three imidazolium salts, both isomeric chloroalkyl substituted salts 248 and 249 and vinyl substituted salts 250, are obtained (Scheme 59) [115].
Scheme 59.
Synthesis of heteroatom-functionalized imidazolium salts.
In the presence of acetic acid, the reaction of perchloric acid with 1,4-diaza-1,3-butadienes 251, which are formed in situ by the microwave reaction of amine 252 with glyoxal trimer dehydrate 253, yields the 2-formylimidazolium salts 254, which are decarbonylated to imidazolium derivatives 255 in medium to high yields when heated in ethanol under reflux (Scheme 60) [116].
Scheme 60.
Synthesis of 2-formylimidazolium salt 254 and reaction of decarbonylation.
5.2.2. Synthesis of Imidazolidines Derivatives
A tandem reaction between 1,3-dialkyl-2-arylguanidines 256 and 1,4-diaza-1,3-butadienes 257 affords 4,5-bis(arylimino)-2-(alkylimino)imidazolidines 258 in moderate to excellent yields [117]. Copper(II) oxide nanoparticles catalyze the reaction between aniline derivatives and dialkyl carbodiimides to produce the initial guanidines 256. Subsequently, in the presence of NaH, the guanidine generates the guanidinium anion 259, which reacts with the diazadiene 257 through a nucleophilic attack to provide the iminoguanidine intermediate 260, which then undergoes intramolecular cyclization to produce the imidazolidine derivatives 258 (Scheme 61).
Scheme 61.
Synthesis of 4,5-bis(arylimino)-2-(alkylimino)imidazolidines 258.
5.2.3. Synthesis of 1,3-Thiazolidine Derivatives
When primary amines react with carbon disulfide and N,N′-diphenyloxalimidoyl dichloride 261 in the presence of Et3N at room temperature, 4,5-bis(phenylimino)-1,3-thiazolidine-2-thione derivatives 262 are synthesized in good yield (Scheme 62) [118]. The dianion 263 is produced in the first phase of this one-pot process by reacting the amine with CS2. In the second step of the reaction, this dianion, a heteroanalogue of the guanidinium cation, is attacked by 1,4-diaza-1,3-butadiene 261, affording 1,3-thiazolidine-2-thione derivatives 262, which are formed by the elimination of 2 eq of triethylammonium chloride.
Scheme 62.
Synthesis of 1,3-thiazolidine-2-thiones 262.
When isothiocyanates are used instead of CS2, 2-imino-3-aryl-4,5- bis(arylimino)thiazolidines 264 are formed (Scheme 63). The reaction proceeds smoothly, and the product is synthesized in good yield. It is also proposed that a dianion heteroanalogue of guanidinium cation is formed in the first step. The dianion 265 is attacked by N,N′-diphenyloxalimidoyl dichloride 266 to form the product 264 [119].
Scheme 63.
Synthesis of thiazolidines derivatives 264.
The 4,5-bis(phenylimino)thiazolidin-2-ylidene derivatives 267 are produced by reacting acetonitrile derivative 268 with aromatic or aliphatic isothiocyanate 269, followed by a nucleophilic reaction with N,N′-diphenyloxalimidoyl dichloride 270. When 268 differs from malonitrile, 267 can exist as two geometrical isomers (E) and (Z). On the other hand, when the isothiocyanate derivative 269 is substituted with CS2, the reactions proceed smoothly and yield moderate to good yields of 4,5-bis(phenylimino)-1,3-dithiolan-2-ylidene derivatives 271 (Scheme 64) [120].
Scheme 64.
Synthesis of 1,3-thiazolidine-2-thiones 267 and 271.
5.2.4. Synthesis of 1,3,2-Diazaphospholenes
1,3,2-Diazaphospholenes (DAPs) are heterocycles that contain a carbon–carbon double bond and two nitrogen atoms separated by a phosphorus atom. These compounds have been widely used as catalysts in organic synthesis, mainly due to the unique reactivity of P-hydrido substituted members of this family [121]. The most widely used protocol for their synthesis is a two-step process consisting of reduction of the 1,4-diaza-1,3-butadiene 272 with lithium or sodium to afford the corresponding dianion, which could react directly with PCl3 or could be protonated first with triethylamine hydrochloride, and after that, react with PCl3 to afford the respective P-chloro-1,3,2-diazaphospholene derivatives 273. An alternative approach affords 2-bromo-1,3,2-diazaphospholene derivatives directly by the reaction of the diazadiene 272 with PBr3 and cyclohexene [122]. The 2-halogenate-DAPs may further react with suitable nucleophiles under halide displacement to give products with a variety of functional P-substituents 274 (Scheme 65), (e.g., OTf [123], OMe [124], oxide [125], H [126], azide [127], halogen [128])
Scheme 65.
Synthesis of 1,3,2-Diazaphospholenes P-substituents derivatives.
5.2.5. Synthesis of Dihydropyrrolo[1,2-a]pyrazine Derivatives
When the reaction is carried out in a mixture of methanol and water as the solvent, the cyclic 1,4-diazadiene (2,3-dihydro-5-methyl-6-phenylpyrazine) 223, formed in situ by the reaction of the diamine 275 and the 1-phenyl-1,2-propanedione 276, yields 3,4-dihydropyrrolo[1,2-a]pyrazine 277 and 3,7-dihydropyrrolo[1,2-a]pyrazin-6(4H)-one 278 via dehydration–condensation of 223 with the dicetone 276 (Scheme 66) [129]. Theoretical calculations show that the reaction occurred via 279 through an aza–ene reaction with the carbonyl of the benzoyl group (Ph-C=O) of 276 followed by dehydration to yield 280. The subsequent cyclization of 280 proceeds through a methyl rearrangement, yielding 278. In parallel, the formation of 277 would be explained by the reduction of 280 using 223 as a reducing reagent, followed by cyclization and subsequent dehydration.
Scheme 66.
Reaction of cyclic 1,4-diazadiene 223 with diketone 276.
5.2.6. Synthesis of N,N-Disubstituted Exo-2-imidazolidinone Dienes
The reaction of 1,4-diaza-1,3-butadiene 281 with triphosgene in the presence of Et3N yields N,N-disubstituted exo-2-imidazolidinone dienes 282 [130]. When 281 is not symmetric, the diastereoselectivity (E/Z) in the synthesis of 282 is temperature-dependent, with the E isomer being the main product at low temperatures (−10 °C) but increasing the reaction temperature to 20 °C yielded only the heterocyclic inner–outer ring diene 283, which can also be obtained in good yields after treatment of 282 with AlCl3. Dienes (E)-282 and (Z)-282 are highly reactive and regioselective in Diels–Alder cycloadditions with acrolein, yielding the corresponding ortho adducts 284 as the major regioisomer, and the reaction with DDQ promoted aromatization of those cycloadducts, yielding the respective benzimidazol-2-ones 285 in high yield. Similarly, the reaction of dienes 283 with N-phenyl-maleimide was very diastereoselective, giving endo adducts 286 exclusively (Scheme 67).
Scheme 67.
Synthesis of N,N-disubstituted exo-2-imidazolidinone dienes 282 and cycloaddition reactions.
5.2.7. Synthesis of Pyrrolo[3,2-b]pyrrole-1,4-dione (isoDPP) Derivatives
To obtain new materials with optoelectronic applications such as organic photovoltaics (OPVs) solar cells, organic light-emitting field-effect transistors (LEFETs), or organic light-emitting diodes (OLEDs), different types of compounds have been studied, including 1,3,4,6-tetraarylpyrrolo[3,2-b]pyrrole-2,5-dione 287 (isoDPP), which have been used in the preparation of non-polymeric and polymeric materials for optoelectronic applications [131]. One of the strategies to synthesize these compounds consists of the reaction of bis-aryloxalimidoylchlorides 288 with two equivalents of an ester enolate (Scheme 68) [132].
Scheme 68.
Synthesis of pyrrolo[3,2-b]pyrrole- 1,4-diones (isoDPP) derivatives 287.
The typical method for producing isoDPP derivatives involves first preparing 1,3,4,6-tetrasubstituted pyrrolo[3,2-b]pyrrole-2,5(1H,4H)-dione 287 as the central building block by reacting 1,4-diaza-1,3-butadiene 288 with a suitable ester enolate, such as ethyl-2-phenylacetate or ethyl-2-(thiophen-2-yl)acetate [133]. In the next step, the molecule could be modified through coupling reactions on the thiophene rings at positions 3 and 6. These modifications can introduce motifs that change the molecule’s properties and/or generate the possibility of obtaining polymeric chains. NAI-IsoDPP-NAI and PI-IsoDPP-PI were synthesized by Suzuki coupling reactions to introduce napthalimide or phthalimide as end-capping groups [134]. By using a Stille coupling reaction with organotin derivatives of thiophene, it was possible to introduce a different number of thiophene rings in the backbone [135]. However, using distannylated donor comonomers in the Stille coupling reaction, it is possible to obtain isoDPP polymers [136]. Polymers can also be synthesized via palladium-catalyzed direct C–H arylation (Scheme 69) [137].
Scheme 69.
Examples of iso DPP derivatives 287.
5.3. Six-Membered Rings
5.3.1. Synthesis of 1,4-Diaza-2,3-diborinines
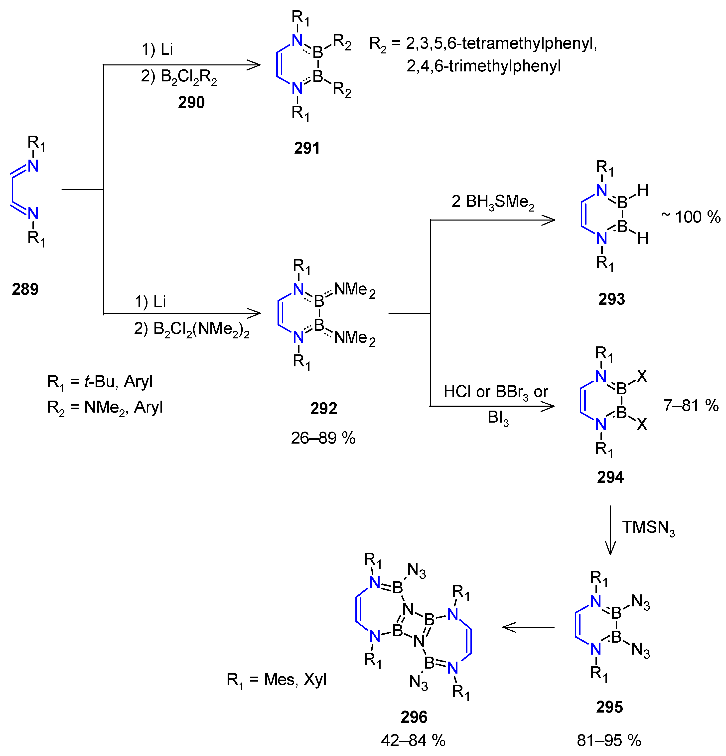
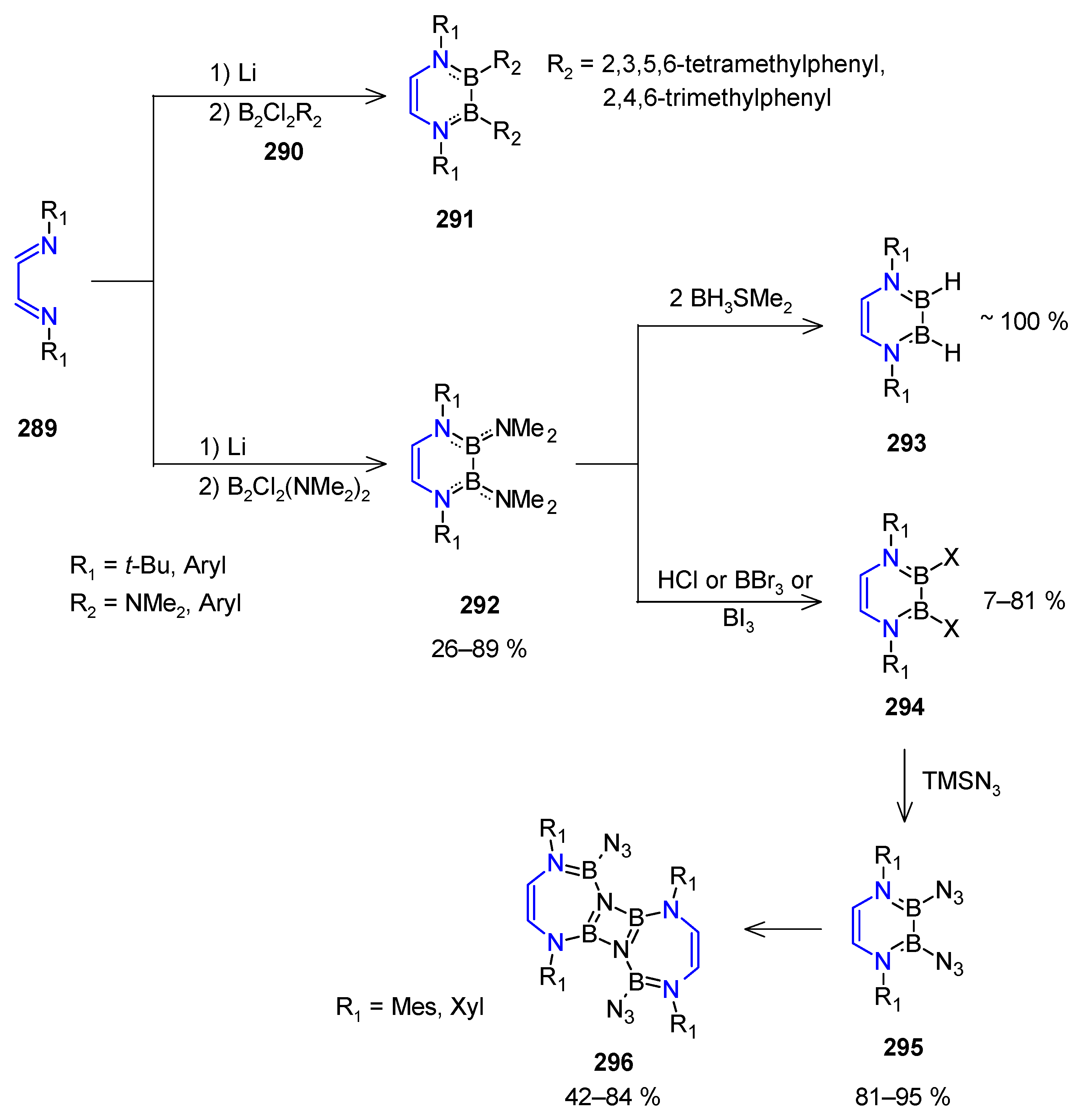
The reaction of the dilithium salts of 1,4-diaza-1,3-butadienes 289 with 1,2-dichlorodiborane derivatives 290 yielded 1,4,diaza-2,3-diborinines (DADB) 291 (Scheme 70) [138]. These 2,3-diborinines are cyclic (amino)diboranes [4] having a cyclic structure similar to benzene with a C=C bond substituted by B-N moieties. So far, little is known about the chemistry of DADBs, and just a few examples have been reported. When 1,2-dichloro-1,2-bis(dimethylamino)-diborane(4) is used in the reaction with 289, the yield of 1,4,diaza-2,3-diborinines 292 is much higher than when dibromo analogs are used. The reaction of 292 with BH3SMe2 at room temperature produces 1,2-dihydrodiborane(4) derivatives 293 [139]. By reacting with HX or commuting with BX3, the unreactive NMe2 groups of 292 can be readily substituted by halides [140]. When 1,2-dihydrodiboranes(4) 294 in benzene reacts with an excess of trimethylsilyl azide, 1,2-diazidodiboranes(4) 295 are cleanly obtained. Some of the derivatives are stable enough to pyrolyze in a controlled manner without explosive decomposition. Various diazadiboretidins 296 were produced as a result of this pyrolysis. These novel compounds appear to be the dimerization products of transitory, endocyclic iminoboranes [141].
Scheme 70.
Synthesis of 1,4,diaza-2,3-diborinine derivatives.
5.3.2. Synthesis of Dihydroquinoxaline Derivatives
Dihydroxyquinoxaline derivative 297 could be synthesized in good to excellent yields by an NHC-catalyzed α-carbon amination of aromatic or aliphatic α-chloroaldehyde 298 with cyclohexadiene-1,2-diimine 299. This reaction could be consider an aza-[2+4] cycloaddition reaction between 298 and 1,4-diaza-1,3-butadienes 299 (Scheme 71). The β-phenyl ring of the α-chloroaldehyde can have both electron-withdrawing and electron-donating groups without negatively effecting the reaction yield or its enantioselectivity. The same is observed when the cyclohexadiene-1,2-diimine 299 has electron-donating groups; however, with electron-withdrawing groups, the product is obtained in lower yields. Saturated aldehydes 300 could also be used in this reaction under oxidative NHC catalysis, but the yield is low despite the high enantioselectivity [142].
Scheme 71.
Synthesis of dihydroxyquinoxaline derivative 297 by an NHC-catalyzed α-carbon amination of α-chloroaldehyde with cyclohexadiene-1,2-diimine.
The cyclohexadiene-1,2-diimine 299 could be prepared in situ to afford the one-pot reaction (Scheme 72). Oxidation of the corresponding diamine with Pb(OAc)4 gives the diimine 299 and the cycloaddition products 301 are obtained with moderate yield and high enantioselectivity under the preceding conditions.
Scheme 72.
Synthesis of dihydroxyquinoxaline derivative 301 in a one-pot reaction.
An asymmetric catalytic inverse electron demand hetero-Diels–Alder reaction of ketene enolates and ortho-benzoquinone diimides 302, catalyzed with benzoylquinidine 303 and Zn(OTf)2, can yield similar quinoxalinone with high enantioselectivity. Hünig’s base and 303 react with the acyl chloride 304 to produce in situ the respective ketene enolates, which then react with 302 to yield quinoxalinone derivatives 305 in one step. A stepwise process is consistent with the observed regiochemistry of quinoxalinone derivatives 305 obtained (Scheme 73) [143].
Scheme 73.
Synthesis of dihydroxyquinoxaline derivative 305 by hetero-Diels–Alder reaction of ketene enolates and ortho-benzoquinone diimides 302.
6. Conclusions
Diaza-1,3-butedienes are versatile building blocks that can construct fussed and single heterocyclic compounds with four-, five-, and six-membered rings. The approaches presented in this review provide a synthetic tool for constructing alkaloid cores, N-heterocyclic carbenes, and other bioactive molecules. Isolated and in situ diaza-1,3-butadienes, produced from their respective precursors (typically imines and hydrazones) under a variety of conditions, can both be used to make these heterocyclic compounds. Cycloadditions, Diels–Alder, inverse electron demand Diels–Alder, and aza-Diels–Alder reactions of 1,2-diaza-, 1,3-diaza-, and 1,4-diaza-1,3-butadienes with a variety of substrates allows access to complex structures via C-C, C-N, and C-S bond formation in ring-closing procedures, while avoiding the use of expensive transition metal organometallic compounds. Nucleophilic additions and Michael-type reactions to 1,2-diaza-, 1,3-diaza-, and 2,3-diaza-1,3-butadienes can provide reactive intermediates that can be cyclized to produce heterocyclic cores. We hope that this review serves as an update for synthetic chemists and that the new insights gained here will lead to new techniques and methods for synthesizing new bioactive heterocycles.
Author Contributions
Conceptualization, J.H.-M.; writing—original draft preparation, J.H.-M., D.A.Z., J.E.C.-C. and C.D.A.-L.; writing—review and editing, J.H.-M.; supervision, J.H.-M.; project administration J.H.-M. All authors have read and agreed to the published version of the manuscript.
Funding
This research received no external funding.
Institutional Review Board Statement
Not applicable.
Informed Consent Statement
Not applicable.
Data Availability Statement
All tables are created by the authors. All sources of information are adequately referenced. There is no need to obtain copyright permissions.
Conflicts of Interest
The authors declare no conflict of interest.
Abbrevaitions
| ∆ | Heat |
| ))) | Ultrasound |
| AgOTf | Silver trifluoromethanesulfonate |
| CALB | Candida antarctica lipase B |
| CPA-5 | Chiral phosphoric acid |
| DADB | 1,4-Diaza-2,3-diborinines |
| DADs | Diaza-1,3-butadienes |
| DAPs | 1,3,2-Diazaphospholenes |
| DCM | Dichloromethane |
| DDQ | 2,3-Dichloro-5,6-dicyano-1,4-benzoquinone |
| DFT | Density functional theory |
| DIBAL-H | Diisobutylaluminium hydride |
| DIPEA | N,N-Diisopropylethylamine, or Hünig’s base |
| DMAD | Dimethyl acetylenedicarboxylate |
| DMF-DMA | N,N-dimethylformamide dimethyl acetal |
| DMSO | Dimethyl sulfoxide |
| EOMCl | Ethyl chloromethyl ether |
| EtOAc | Ethyl acetate |
| GBB | Groebke- Blackburn-Bienaymé reaction |
| IEDDA | Inverse-electron-demand Diels–Alder |
| isoDPP | Pyrrolo[3,2-b]pyrrole- 1,4-diones |
| LEFETs | Organic light-emitting field-effect transistors |
| MeCN | Acetonitrile |
| Mes | Mesityl group |
| MOMCl | Chloromethyl methyl ether |
| MsOH | Methanesulfonic acid |
| MTBD | 7-Methyl-1,5,7- triazabicyclo (4.4.0)dec-5-ene |
| MW | Microwave |
| N3 | Iminic nitrogen |
| NHC | N-Heterocyclic carbene |
| OLEDs | Organic light-emitting diodes |
| OPVs | Organic photovoltaics solar cells |
| pbm | Planetary ball-mill |
| POCl3 | Phosphorus oxychloride |
| SN2 | Substitution nucleophilic bimolecular |
| TBAF | Tetra-n-butylammonium fluoride |
| n-TBAHSO | n-Tetrabutylammonium hydrogensulphate |
| TEMPO | (2,2,6,6-Tetramethylpiperidin-1-yl)oxyl |
| TFA | Trifluoroacetic acid |
| TMSX | Trimethylsilyl halide |
| TsOH | p-Toluenesulfonic acid |
| Xyl | Xylyl group |
References
- Belskaya, N.P.; Eliseeva, A.I.; Bakulev, V.A. Hydrazones as substrates for cycloaddition reactions. Russ. Chem. Rev. 2015, 84, 1226–1257. [Google Scholar] [CrossRef]
- Zelenin, K.N.; Bezhan, I.P.; Matveeva, Z.M. Synthesis of nitrogen heterocycles by (4+2)π-cycloaddition from nitrogen-containing heterodienes (“azadiene synthesis”). Chem. Heterocycl. Compd. 1972, 8, 525–534. [Google Scholar] [CrossRef]
- Sharma, P.; Kumar, R.; Bhargava, G. Recent development in the synthesis of pyrrolin-4-ones/pyrrolin-3-ones. J. Heterocycl. Chem. 2020, 57, 4115–4135. [Google Scholar] [CrossRef]
- Kaur, T.; Wadhwa, P.; Bagchi, S.; Sharma, A. Isocyanide based [4+1] cycloaddition reactions: An indispensable tool in multi-component reactions (MCRs). Chem. Commun. 2016, 52, 6958–6976. [Google Scholar] [CrossRef] [PubMed]
- Moskal, J.; Bronowski, J.; Rogowski, A. Conjugated Schiff bases, XIII. sterically congested 1,4-diazabutadienes as dipolar reagents in 1,3-cycloaddition. Mon. Chem. Chem. Mon. 1981, 112, 1405–1416. [Google Scholar] [CrossRef]
- Rossi, E.; Abbiati, G.; Pini, E. [4+2] and [2+2] cycloaddition reactions of 1-(4-methylphenyl) and 1-benzyl-1,3-diaza-1,3-butadienes with ketenes. Tetrahedron 1997, 53, 14107–14114. [Google Scholar] [CrossRef]
- Barluenga, J.; Tomas, M. Synthesis of heterocycles from azadienes. In Advances in Heterocyclic Chemistry; Katritzky, A.R., Ed.; Academic Press: Cambridge, MA, USA, 1993; Volume 57, pp. 1–80. [Google Scholar]
- Sain, B.; Singh, S.P.; Sandhu, J.S. Diazabutadienes in heterocyclic syntheses. Preparation of pyrimidin-6-ones by reaction of 4-dialkylamino-1,3-diaza-1,3-butadienes with 2-oxazolin-5-ones. Tetrahedron 1992, 48, 4567–4578. [Google Scholar] [CrossRef]
- Skrzyńska, A.; Frankowski, S.; Albrecht, Ł. Cyclic 1-azadienes in the organocatalytic inverse-electron-demand aza-Diels-Alder cycloadditions. Asian J. Org. Chem. 2020, 9, 1688–1700. [Google Scholar] [CrossRef]
- Zhang, J.; Shukla, V.; Boger, D.L. Inverse Electron Demand Diels—Alder Reactions of Heterocyclic Azadienes, 1-Aza-1,3-Butadienes, Cyclopropenone Ketals, and Related Systems. A Retrospective. J. Org. Chem. 2019, 84, 9397–9445. [Google Scholar] [CrossRef]
- Boger, D.L. Diels-Alder reactions of azadienes: Scope and applications. Bull. Sociétés Chim. Belges 1990, 99, 599–615. [Google Scholar] [CrossRef]
- Boger, D.L. Diels-Alder reactions of heterocyclic azadienes. Scope and applications. Chem. Rev. 1986, 86, 781–793. [Google Scholar] [CrossRef]
- Lopes, S.M.M.; Cardoso, A.L.; Lemos, A.; Pinho E Melo, T.M.V.D. Recent advances in the chemistry of conjugated nitrosoalkenes and azoalkenes. Chem. Rev. 2018, 118, 11324–11352. [Google Scholar] [CrossRef] [PubMed]
- Guzmán, A.; Romero, M.; Talamás, F.X.; Villena, R.; Greenhouse, R.; Muchowski, J.M. 1,3-Diaza-1,3-butadienes. Synthesis and conversion into pyrimidines by [4π + 2π] cycloaddition with electron deficient acetylenes. Synthetic utility of 2-(trichloromethyl)pyrimidines. J. Org. Chem. 1996, 61, 2470–2483. [Google Scholar] [CrossRef]
- Medina-Mercado, I.; Zaragoza-Galicia, I.; Olivo, H.; Romero-Ortega, M. 2-Trifluoromethyl-1,3-diazabutadienes as useful intermediates for the construction of 2-trifluoromethylpyrimidine derivatives. Synthesis 2018, 50, 4133–4139. [Google Scholar] [CrossRef]
- Upadyaya, S.; Bhagavath, P.; Sunil, D. Azines as liquid crystalline materials: An up-to-date review. J. Mol. Liq. 2018, 269, 354–370. [Google Scholar] [CrossRef]
- Safari, J.; Gandomi-Ravandi, S. Structure, synthesis and application of azines: A historical perspective. RSC Adv. 2014, 4, 46224–46249. [Google Scholar] [CrossRef]
- Chourasiya, S.S.; Kathuria, D.; Wani, A.A.; Bharatam, P.V. Azines: Synthesis, structure, electronic structure and their applications. Org. Biomol. Chem. 2019, 17, 8486–8521. [Google Scholar] [CrossRef]
- Nikolaevskaya, E.N.; Druzhkov, N.O.; Syroeshkin, M.A.; Egorov, M.P. Chemistry of diazadiene type ligands with extra coordination groups. Prospects of reactivity. Coord. Chem. Rev. 2020, 417, 213353. [Google Scholar] [CrossRef]
- Frye, C.W.; Egger, D.T.; Kounalis, E.; Pearce, A.J.; Cheng, Y.; Tonks, I.A. α-Diimine synthesis via titanium-mediated multicomponent diimination of alkynes with C-nitrosos. Chem. Sci. 2022, 13, 1469–1477. [Google Scholar] [CrossRef]
- tom Dieck, H.; Franz, K.-D. Reductive fixation of cis- and trans-1,4-diazabutadienes. Angew. Chem. Int. Ed. 1975, 14, 249–250. [Google Scholar] [CrossRef]
- Bernauer, J.; Pölker, J.; Jacobi von Wangelin, A. Redox-active BIAN-based diimine ligands in metal-catalyzed small molecule syntheses. ChemCatChem 2022, 14, e202101182. [Google Scholar] [CrossRef]
- Wang, Z.; Liu, Q.; Solan, G.A.; Sun, W.-H. Recent advances in Ni-mediated ethylene chain growth: Nimine-donor ligand effects on catalytic activity, thermal stability and oligo-/polymer structure. Coord. Chem. Rev. 2017, 350, 68–83. [Google Scholar] [CrossRef]
- Lorenz, V.; Hrib, C.G.; Grote, D.; Hilfert, L.; Krasnopolski, M.; Edelmann, F.T. Diazadiene complexes of the heavy alkaline-earth metals strontium and barium: Structures and reactivity. Organometallics 2013, 32, 4636–4642. [Google Scholar] [CrossRef]
- Trifonov, A.A.; Mahrova, T.V.; Luconi, L.; Giambastiani, G.; Lyubov, D.M.; Cherkasov, A.V.; Sorace, L.; Louyriac, E.; Maron, L.; Lyssenko, K.A. Steric control in the metal—Ligand electron transfer of iminopyridine–ytterbocene complexes. Dalt. Trans. 2018, 47, 1566–1576. [Google Scholar] [CrossRef] [PubMed]
- Shestakov, B.G.; Makhrova, T.V.; Lyssenko, K.A.; Trifonov, A.A. Diazadienes in lanthanide chemistry: Transformation in the diamide and enamine amide ligand systems. Synthesis, structures, and properties of complexes (2,6-Pri2C6H3N-C(=CH2)C(=CH2)-NC6H3Pri2-2,6)-Yb(THF)2(μ-Cl)2Li(THF)2 and (2,6-Pri2C6H3N(H)C(Me)=C(Me)-N. Russ. Chem. Bull. 2013, 62, 412–418. [Google Scholar] [CrossRef]
- Kaneko, H.; Nagae, H.; Tsurugi, H.; Mashima, K. End-functionalized polymerization of 2-vinylpyridine through initial C–H bond activation of N-heteroaromatics and internal alkynes by yttrium ene—Diamido complexes. J. Am. Chem. Soc. 2011, 133, 19626–19629. [Google Scholar] [CrossRef] [PubMed]
- Mari, G.; Crescentini, L.D.; Favi, G.; Lombardi, P.; Fiorillo, G.; Giorgi, G.; Mantellini, F. Unprecedented heteroring-annulated pyrrolino-tetrahydroberberine analogues. Asian J. Org. Chem. 2017, 6, 720–727. [Google Scholar] [CrossRef]
- Mari, G.; Catalani, S.; Antonini, E.; De Crescentini, L.; Mantellini, F.; Santeusanio, S.; Lombardi, P.; Amicucci, A.; Battistelli, S.; Benedetti, S.; et al. Synthesis and biological evaluation of novel heteroring-annulated pyrrolino-tetrahydroberberine analogues as antioxidant agents. Bioorg. Med. Chem. 2018, 26, 5037–5044. [Google Scholar] [CrossRef] [PubMed]
- Mari, G.; Verboni, M.; De Crescentini, L.; Favi, G.; Santeusanio, S.; Mantellini, F. Assembly of fully substituted 2,5-dihydrothiophenes: Via a novel sequential multicomponent reaction. Org. Chem. Front. 2018, 5, 2108–2114. [Google Scholar] [CrossRef]
- Mari, G.; De Crescentini, L.; Favi, G.; Santeusanio, S.; Mantellini, F. 1,2-Diaza-1,3-diene-based multicomponent reactions in sequential protocols to synthesize arylamino-5-hydrazonothiophene-3-carboxylates. Eur. J. Org. Chem. 2018, 2018, 6548–6556. [Google Scholar] [CrossRef]
- Mari, G.; De Crescentini, L.; Favi, G.; Santeusanio, S.; Mantellini, F. Metal and oxidant free construction of substituted- and/or polycyclic indoles: A useful alternative to Bischler and related syntheses. Eur. J. Org. Chem. 2020, 2020, 5411–5424. [Google Scholar] [CrossRef]
- Tsyrenova, B.; Nenajdenko, V. Synthesis and spectral study of a new family of 2,5-diaryltriazoles having restricted rotation of the 5-aryl substituent. Molecules 2020, 25, 480. [Google Scholar] [CrossRef] [PubMed]
- Tsyrenova, B.D.; Khrustalev, V.N.; Nenajdenko, V.G. Synthesis of blue light emitting heterocycles via cyclization of 2-pyridine derived 4-azido-r1,2,3-triazoles. Org. Biomol. Chem. 2021, 19, 8140–8152. [Google Scholar] [CrossRef]
- Zhang, X.; Pan, Y.; Wang, H.; Liang, C.; Ma, X.; Jiao, W.; Shao, H. Strategy to construct 1,2,3-triazoles by K2CO3-mediated [4+1] annulation reactions of N-acetyl hydrazones with bifunctional amino reagents. Adv. Synth. Catal. 2021, 363, 459–463. [Google Scholar] [CrossRef]
- Wang, H.; Ning, Y.; Sivaguru, P.; Zanoni, G.; Bi, X. [4 + 1] Annulation of in situ generated azoalkenes with amines: A powerful approach to access 1-substituted 1,2,3-triazoles. Chin. Chem. Lett. 2022, 33, 1550–1554. [Google Scholar] [CrossRef]
- Diotallevi, A.; Scalvini, L.; Buffi, G.; Pérez-Pertejo, Y.; De Santi, M.; Verboni, M.; Favi, G.; Magnani, M.; Lodola, A.; Lucarini, S.; et al. Phenotype screening of an azole-bisindole chemical library identifies URB1483 as a new antileishmanial agent devoid of toxicity on human cells. ACS Omega 2021, 6, 35699–35710. [Google Scholar] [CrossRef]
- Matsuzaki, H.; Takeda, N.; Yasui, M.; Ito, Y.; Konishi, K.; Ueda, M. Synthesis of pyrazoles utilizing the ambiphilic reactivity of hydrazones. Org. Lett. 2020, 22, 9249–9252. [Google Scholar] [CrossRef] [PubMed]
- De Crescentini, L.; Favi, G.; Mari, G.; Ciancaleoni, G.; Costamagna, M.; Santeusanio, S.; Mantellini, F. Experimental and theoretical DFT investigations in the [2,3]-Wittig-type rearrangement of propargyl/allyl-oxy-pyrazolones. Molecules 2021, 26, 6557. [Google Scholar] [CrossRef] [PubMed]
- Mari, G.; Corrieri, M.; De Crescentini, L.; Favi, G.; Santeusanio, S.; Mantellini, F. FeCl3-Catalyzed formal [3+2] cyclodimerization of 4-carbonyl-1,2-diaza-1,3-dienes. Eur. J. Org. Chem. 2021, 2021, 5202–5208. [Google Scholar] [CrossRef]
- Mari, G.; De Crescentini, L.; Favi, G.; Santeusanio, S.; Mantellini, F. A facile protocol for the preparation of 2-carboxylated thieno [2,3-b] indoles: A de novo access to alkaloid thienodolin. Org. Biomol. Chem. 2022, 20, 4167–4175. [Google Scholar] [CrossRef] [PubMed]
- Mari, G.; De Crescentini, L.; Favi, G.; Santeusanio, S.; Lillini, S.; Mantellini, F. Unexpected synthesis of 2,3,5,6-tetrahydro-1H-pyrrolo [3,4-c]pyridine-1,3,6-triones by a double Michael addition/CS2 extrusion/double cyclization sequence. Eur. J. Org. Chem. 2017, 2017, 6291–6298. [Google Scholar] [CrossRef]
- Sergeev, P.G.; Khrustalev, V.N.; Nenajdenko, V.G. Construction of 6-aminopyridazine derivatives by the reaction of malononitrile with dichloro-substituted diazadienes. Eur. J. Org. Chem. 2020, 2020, 4964–4971. [Google Scholar] [CrossRef]
- Sergeev, P.G.; Khrustalev, V.N.; Nenajdenko, V.G. Synthesis of pyridazin-3(2H)-one derivatives by the reaction of CH-acids with dichlorodiazadienes. Eur. J. Org. Chem. 2020, 2020, 6085–6093. [Google Scholar] [CrossRef]
- Yuan, W.-C.; Quan, B.-X.; Zhao, J.-Q.; You, Y.; Wang, Z.-H.; Zhou, M.-Q. [4+2] Annulation reaction of in situ generated azoalkenes with azlactones: Access to 4,5-dihydropyridazin-3(2H)-ones. J. Org. Chem. 2020, 85, 11812–11821. [Google Scholar] [CrossRef] [PubMed]
- Zhou, Y.; Zhou, H.; Xu, J. N-Heterocyclic carbene-promoted [4+2] annulation of α-chloro hydrazones with α-chloro aliphatic aldehydes to access enantioenriched dihydropyridazinones. J. Org. Chem. 2022, 87, 3677–3685. [Google Scholar] [CrossRef] [PubMed]
- Ye, R.; Sun, J.; Han, Y.; Yan, C.G. Molecular diversity of TEMPO-mediated cycloaddition of ketohydrazones and 3-phenacylideneoxindoles. New J. Chem. 2021, 45, 5075–5080. [Google Scholar] [CrossRef]
- Ye, R.; Yan, C.G. Construction of spiro[indoline-3,3′-pyridazines] and spiro[indene-2,3′-pyridazines] via TEMPO-mediated oxidative aza-Diels-Alder reactions. Eur. J. Org. Chem. 2019, 2019, 5882–5886. [Google Scholar] [CrossRef]
- Shi, W.; Sun, J.; Yan, C.-G. Aza-Diels-Alder reaction of both electron-deficient azoalkenes with electron-deficient 3-phencaylideneoxindoles and 3-aryliminooxindol-2-ones. Green Synth. Catal. 2021, 2, 362–366. [Google Scholar] [CrossRef]
- Yin, W.; Fang, L.; Wang, Z.; Gao, F.; Li, Z.; Wang, Z. Synthesis of bicyclo [4.1.0]tetrahydropyridazines by a sequential [4+2] and [1+2] annulation reaction of azoalkenes and crotonate-derived sulfur ylides. Org. Lett. 2019, 21, 7361–7364. [Google Scholar] [CrossRef]
- Feng, J.; He, T.; Xie, Y.; Yu, Y.; Baell, J.B.; Huang, F. I2-Promoted [4+2] cycloaddition of in situ generated azoalkenes with enaminones: Facile and efficient synthesis of 1,4-dihydropyridazines and pyridazines. Org. Biomol. Chem. 2020, 18, 9483–9493. [Google Scholar] [CrossRef]
- Lopes, S.M.M.; Lemos, A.; Paixão, J.A.; Pinho e Melo, T.M.V.D. Ethyl 7-acetyl-8a-methyl-3-(1-phenyl-1H-tetrazol-5-yl)-1,4,4a,5,6,8a-hexahydro-7H-pyrano [2,3-c]pyridazine-1-carboxylate. Molbank 2022, 2022, M1338. [Google Scholar] [CrossRef]
- Shen, L.-W.; Li, T.-T.; You, Y.; Zhao, J.-Q.; Wang, Z.-H.; Yuan, W.-C. Inverse electron-demand aza-Diels–Alder reaction of cyclic enamides with 1,2-diaza-1,3-dienes in situ generated from α-halogeno hydrazones: Access to fused polycyclic tetrahydropyridazine derivatives. J. Org. Chem. 2021, 86, 11472–11481. [Google Scholar] [CrossRef] [PubMed]
- Chen, T.; Che, C.; Guo, Z.; Dong, X.-Q.; Wang, C.-J. Diastereoselective synthesis of functionalized tetrahydropyridazines containing indole scaffolds via an inverse-electron-demand aza-Diels—Alder reaction. Org. Chem. Front. 2021, 8, 4392–4398. [Google Scholar] [CrossRef]
- Wang, C.; Fang, L.; Wang, Z. Base-induced inverse-electron-demand aza-Diels-Alder reaction of azoalkenes and 1,3,5-triazinanes: Facile approaches to tetrahydro-1,2,4-triazines. Tetrahedron Lett. 2021, 79, 153303. [Google Scholar] [CrossRef]
- Shen, L.-W.; Zhang, Y.-P.; You, Y.; Zhao, J.-Q.; Wang, Z.-H.; Yuan, W.-C. Inverse electron-demand aza-Diels–Alder reaction of α,β-unsaturated thioesters with in situ-generated 1,2-diaza-1,3-dienes for the synthesis of 1,3,4-thiadiazines. J. Org. Chem. 2022, 87, 4232–4240. [Google Scholar] [CrossRef] [PubMed]
- Ciccolini, C.; Mari, G.; Gatti, F.G.; Gatti, G.; Giorgi, G.; Mantellini, F.; Favi, G. Synthesis of polycyclic fused indoline scaffolds through a substrate-guided reactivity switch. J. Org. Chem. 2020, 85, 11409–11425. [Google Scholar] [CrossRef] [PubMed]
- Mehedi, M.S.A.; Tepe, J.J. Recent advances in the synthesis of imidazolines (2009–2020). Adv. Synth. Catal. 2020, 362, 4189–4225. [Google Scholar] [CrossRef]
- Mehedi, M.S.A.; Tepe, J.J. Diastereoselective one-pot synthesis of oxazolines using sulfur ylides and acyl imines. J. Org. Chem. 2019, 84, 7219–7226. [Google Scholar] [CrossRef]
- Shukla, N.M.; Salunke, D.B.; Yoo, E.; Mutz, C.A.; Balakrishna, R.; David, S.A. Antibacterial activities of Groebke–Blackburn–Bienaymé-derived imidazo [1,2-a]pyridin-3-amines. Bioorg. Med. Chem. 2012, 20, 5850–5863. [Google Scholar] [CrossRef]
- Panda, J.; Raiguru, B.P.; Mishra, M.; Mohapatra, S.; Nayak, S. Recent advances in the synthesis of imidazo [1,2-a]pyridines: A brief review. ChemistrySelect 2022, 7, e202103987. [Google Scholar] [CrossRef]
- Boltjes, A.; Dömling, A. The Groebke-Blackburn-Bienaymé reaction. Eur. J. Org. Chem. 2019, 2019, 7007–7049. [Google Scholar] [CrossRef] [PubMed]
- Shukla, P.; Deswal, D.; Pandit, M.; Latha, N.; Mahajan, D.; Srivastava, T.; Narula, A.K. Exploration of novel TOSMIC tethered imidazo [1,2-a]pyridine compounds for the development of potential antifungal drug candidate. Drug Dev. Res. 2022, 83, 525–543. [Google Scholar] [CrossRef] [PubMed]
- Srinivasulu, V.; Al-Marzooq, F.; Hamad, M.; Khanfar, M.A.; Ramanathan, M.; Soares, N.C.; Al-Tel, T.H. Sequencing Groebke–Blackburn–Bienaymé and aza-Michael addition reactions: A modular strategy for accessing a diverse collection of constrained benzoxazepine and imidazopyrazine systems. Synthesis 2021, 53, 1911–1922. [Google Scholar] [CrossRef]
- Budhiraja, M.; Kondabala, R.; Ali, A.; Tyagi, V. First biocatalytic Groebke-Blackburn-Bienaymé reaction to synthesize imidazo [1,2-a]pyridine derivatives using lipase enzyme. Tetrahedron 2020, 76, 131643. [Google Scholar] [CrossRef]
- Gómez, M.A.R.; Kurva, M.; Gámez-Montaño, R. Synthesis of triphenylamine-imidazo [1,2-a]pyridine via Groebke–Blackburn–Bienaymé reaction. Chem. Proc. 2020, 3, 61. [Google Scholar] [CrossRef]
- Kurva, M.; Pharande, S.G.; Quezada-Soto, A.; Gámez-Montaño, R. Ultrasound assisted green synthesis of bound type bis-heterocyclic carbazolyl imidazo [1,2-a]pyridines via Groebke-Blackburn-Bienayme reaction. Tetrahedron Lett. 2018, 59, 1596–1599. [Google Scholar] [CrossRef]
- Changunda, C.R.K.; Venkatesh, B.C.; Mokone, W.K.; Rousseau, A.L.; Brady, D.; Fernandes, M.A.; Bode, M.L. Efficient one-pot synthesis of functionalised imidazo [1,2-a]pyridines and unexpected synthesis of novel tetracyclic derivatives by nucleophilic aromatic substitution. RSC Adv. 2020, 10, 8104–8114. [Google Scholar] [CrossRef]
- Hussain, M.; Liu, J.; Fu, L.; Hasan, M. Synthesis of imidazo [1,2-a]pyridines via the silver acetate-catalyzed Groebke-Blackburn-Bienayme reaction with ethylene glycol as a biodegradable and sustainable solvent. J. Heterocycl. Chem. 2020, 57, 955–964. [Google Scholar] [CrossRef]
- Mathavan, S.B.R.D.; Yamajala, R. Sustainable synthetic approaches for 3-aminoimidazo-fused heterocycles via Groebke-Blackburn-Bienaymé process. ChemistrySelect 2020, 5, 10637–10642. [Google Scholar] [CrossRef]
- Konstantinidou, M.; Boiarska, Z.; Butera, R.; Neochoritis, C.G.; Kurpiewska, K.; Kalinowska-Tłuscik, J.; Dömling, A. Diaminoimidazopyrimidines: Access via the Groebke–Blackburn–Bienaymé reaction and structural data mining. Eur. J. Org. Chem. 2020, 2020, 5601–5605. [Google Scholar] [CrossRef]
- Srinivasulu, V.; Khanfar, M.; Omar, H.A.; ElAwady, R.; Sieburth, S.M.; Sebastian, A.; Zaher, D.M.; Al-Marzooq, F.; Hersi, F.; Al-Tel, T.H. Sequencing [4+1]-cycloaddition and aza-Michael addition reactions: A diastereoselective cascade for the rapid access of pyrido [2′,1′:2,3]/thiazolo [2′,3′:2,3]imidazo [1,5-a]quinolone scaffolds as potential antibacterial and anticancer motifs. J. Org. Chem. 2019, 84, 14476–14486. [Google Scholar] [CrossRef] [PubMed]
- Devi, N.; Singh, D.; Honey, H.; Mor, S.; Chaudhary, S.; Rawal, R.K.; Kumar, V.; Chowdhury, A.K.; Singh, V. In(OTf)3 catalysed an expeditious synthesis of β-carboline–imidazo [1,2-a]pyridine and imidazo [1,2-a]pyrazine conjugates. RSC Adv. 2016, 6, 43881–43891. [Google Scholar] [CrossRef]
- Kishore, K.G.; Basavanag, U.M.V.; Islas-Jácome, A.; Gámez-Montaño, R. Synthesis of imidazo [1,2-a]pyridin-chromones by a MW assisted Groebke-Blackburn-Bienaymé process. Tetrahedron Lett. 2015, 56, 155–158. [Google Scholar] [CrossRef]
- Li, Y.; Huang, J.H.; Wang, J.L.; Song, G.T.; Tang, D.Y.; Yao, F.; Lin, H.K.; Yan, W.; Li, H.Y.; Xu, Z.G.; et al. Diversity-oriented synthesis of imidazo-dipyridines with anticancer activity via the Groebke-Blackburn-Bienaymé and TBAB-mediated cascade reaction in one pot. J. Org. Chem. 2019, 84, 12632–12638. [Google Scholar] [CrossRef] [PubMed]
- Tber, Z.; Hiebel, M.-A.; El Hakmaoui, A.; Akssira, M.; Guillaumet, G.; Berteina-Raboin, S. Metal free formation of various 3-iodo-1H-pyrrolo [3′,2′:4,5]imidazo-[1,2-a]pyridines and [1,2-b]pyridazines and their further functionalization. J. Org. Chem. 2015, 80, 6564–6573. [Google Scholar] [CrossRef]
- Sarchahi, M.; Esmaeili, A.A. Synthesis of novel trifluoro methylated imidazothiadiazole derivatives via one-pot isocyanide-based three-component reaction under catalyst and solvent-free conditions. Phosphorus Sulfur Silicon Relat. Elem. 2021, 196, 1071–1077. [Google Scholar] [CrossRef]
- Claudio-Catalán, M.Á.; Pharande, S.G.; Quezada-Soto, A.; Kishore, K.G.; Rentería-Gómez, A.; Padilla-Vaca, F.; Gámez-Montaño, R. Solvent- and catalyst-free one-pot green bound-type fused bis-heterocycles synthesis via Groebke–Blackburn–Bienaymé reaction/SNAr/ring-chain azido-tautomerization strategy. ACS Omega 2018, 3, 5177–5186. [Google Scholar] [CrossRef] [PubMed]
- Kaur, M.; Singh, R.; Patil, M.T.; Kumar, K.; Sahoo, S.C.; Singh, K.N.; Chaudhari, V.D.; Salunke, D.B. Microwave-assisted Groebke-Blackburn-Bienaymé multicomponent reaction to synthesize imidazo fused heterocycles via in-situ generated isocyanides from N-formylamines: An undergraduate organic laboratory experiment. J. Heterocycl. Chem. 2022, 59, 319–328. [Google Scholar] [CrossRef]
- Stahlberger, M.; Schwarz, N.; Zippel, C.; Hohmann, J.; Nieger, M.; Hassan, Z.; Bräse, S. Diversity-oriented synthesis of [2.2]paracyclophane-derived fused imidazo [1,2-a]heterocycles by Groebke-Blackburn-Bienaymé reaction: Accessing cyclophanyl imidazole ligands library. Chem. A Eur. J. 2022, 28, e202103511. [Google Scholar] [CrossRef]
- de la Sovera, V.; López, G.V.; Porcal, W. Synthetic Study of 5-Hydroxymethylfurfural in Groebke-Blackburn-Bienaymé Reaction. Eur. J. Org. Chem. 2022, 2022, e202101369. [Google Scholar] [CrossRef]
- Guchhait, S.K.; Saini, M.; Khivsara, V.J.; Giri, S.K. Annulation of conjugated azine-imine with a sulfoxonium ylide in a noncarbenoid route to synthesize multisubstituted imidazole-fused heterocycles. J. Org. Chem. 2021, 86, 5380–5387. [Google Scholar] [CrossRef] [PubMed]
- Carmona-Martínez, V.; Ruiz-Alcaraz, A.J.; Vera, M.; Guirado, A.; Martínez-Esparza, M.; García-Peñarrubia, P. Therapeutic potential of pteridine derivatives: A comprehensive review. Med. Res. Rev. 2019, 39, 461–516. [Google Scholar] [CrossRef] [PubMed]
- Mohamed, S.F.; Abbas, E.M.H.; Khalaf, H.S.; Farghaly, T.A.; Abd El-Shafy, D.N. Triazolopyrimidines and thiazolopyrimidines: Synthesis, anti-HSV-1, cytotoxicity and mechanism of action. Mini-Rev. Med. Chem. 2018, 18, 794–802. [Google Scholar] [CrossRef] [PubMed]
- Trujillo-Lagunas, M.; Medina-Mercado, I.; Zaragoza-Galicia, I.; Olivo, H.; Romero-Ortega, M. A synthesis of 4-chloro-2-(trichloromethyl)pyrimidines and their study in nucleophilic substitution. Synthesis 2019, 51, 530–537. [Google Scholar] [CrossRef]
- Seballos-Resendiz, A.; Lechuga-Eduardo, H.; Barroso-Flores, J.; Martinez-Otero, D.; Romero-Ortega, M. Synthesis and crystal structures of sTable 4-aryl-2-(trichloromethyl)-1,3-diaza-1,3-butadienes. Synthesis 2016, 48, 2205–2212. [Google Scholar] [CrossRef]
- Miao, Y.-H.; Hua, Y.-Z.; Gao, H.-J.; Mo, N.-N.; Wang, M.-C.; Mei, G.-J. Catalytic asymmetric inverse-electron-demand aza-Diels–Alder reaction of 1,3-diazadienes with 3-vinylindoles. Chem. Commun. 2022, 58, 7515–7518. [Google Scholar] [CrossRef] [PubMed]
- Nishimura, Y.; Kubo, T.; Okamoto, Y.; Cho, H. Convergent synthesis of 4,6-unsubstituted 5-acyl-2-phenyldihydropyrimidines by substitution reactions of Weinreb amide group of tetrahydropyrimidines. Tetrahedron Lett. 2016, 57, 4492–4495. [Google Scholar] [CrossRef]
- Nishimura, Y.; Cho, H. Synthesis of 4-unsubstituted dihydropyrimidines having acyl and alkoxycarbonyl groups at 5- and 6-positions by cyclization–elimination reactions using 1,3-diaza-1,3-butadienes. Tetrahedron Lett. 2014, 55, 411–414. [Google Scholar] [CrossRef]
- Gummidi, L.; Kerru, N.; Adeniyi, A.A.; Dhawan, S.; Singh, P. Comparative experimental and DFT analysis of novel indole tagged [1,3,4]thiadiazolo [3,2-a]pyrimidin-5-one hybrid. J. Mol. Struct. 2022, 1263, 133159. [Google Scholar] [CrossRef]
- Gummidi, L.; Kerru, N.; Awolade, P.; Raza, A.; Sharma, A.K.; Singh, P. Synthesis of indole-tethered [1,3,4]thiadiazolo and [1,3,4]oxadiazolo [3,2-a]pyrimidin-5-one hybrids as anti-pancreatic cancer agents. Bioorg. Med. Chem. Lett. 2020, 30, 127544. [Google Scholar] [CrossRef]
- Sharma, R.; Mohan, C. A facile and chemoselective synthesis of novel pyrimido [5,4-b][1,4]thiazines by exo-dig iodocyclization reactions. J. Heterocycl. Chem. 2017, 54, 1833–1839. [Google Scholar] [CrossRef]
- Gupta, R.; Sharma, D.; Verma, P.S.; Jain, A. Insecticidal evaluation and [4+2] aza-Diels-Alder synthesis of 3,7-diaryl-6,7-dihydro-5H-6-substituted thiazolo [3,2-a]pyrimidin-5-ones under coupled ultrasonic irradiation and PTC. J. Heterocycl. Chem. 2016, 53, 38–45. [Google Scholar] [CrossRef]
- Hameed, A.; Al-Rashida, M.; Uroos, M.; Ali, S.A.; Arshia; Ishtiaq, M.; Khan, K.M. Quinazoline and quinazolinone as important medicinal scaffolds: A comparative patent review (2011–2016). Expert Opin. Ther. Pat. 2018, 28, 281–297. [Google Scholar] [CrossRef] [PubMed]
- Lechuga-Eduardo, H.; Olivo, H.F.; Romero-Ortega, M. Syntheses of 4-substituted 2-(trichloromethyl)quinazolines under mild conditions by benzyne [4+2] cycloaddition. Eur. J. Org. Chem. 2014, 2014, 5910–5913. [Google Scholar] [CrossRef]
- Safari, J.; Gandomi-Ravandi, S.; Ghotbinejad, M. Ultrasound-promoted synthesis of novel fused heterocycles by criss-cross cycloaddition. J. Saudi Chem. Soc. 2016, 20, 20–23. [Google Scholar] [CrossRef]
- Safari, J.; Javadian, L. An efficient synthesis of perhydro [1,2,4]triazolo [1,2-a][1,2,4]triazole-1,5-dithiones catalyzed by TiO2 -functionalized nano-Fe3O4 encapsulated-silica particles as a reusable magnetic nanocatalyst. RSC Adv. 2015, 5, 104973–104980. [Google Scholar] [CrossRef]
- Xia, Y.; Zhang, X.; Liu, L.; Sun, H.; Zhao, G.; Zhang, Y. Highly efficient conversion of ketazines to pyrazoline derivatives catalyzed by FeCl3. Ind. Eng. Chem. Res. 2020, 59, 18748–18755. [Google Scholar] [CrossRef]
- Lv, J.; He, Z.; Zhang, J.; Guo, Y.; Han, Z.; Bao, X. One-pot synthesis of [1,2,4]Triazolo [1,5-a]pyridines from azines and benzylidenemalononitriles via copper-catalyzed tandem cyclization. Tetrahedron 2018, 74, 3996–4004. [Google Scholar] [CrossRef]
- Kathuria, D.; Gupta, P.; Chourasiya, S.S.; Sahoo, S.C.; Beifuss, U.; Chakraborti, A.K.; Bharatam, P.V. An unprecedented intramolecular to intermolecular mechanistic switch in 1,1-diaminoazines leading to differential product formation during the I 2 -induced tandem oxidative transformation. Org. Biomol. Chem. 2019, 17, 4129–4138. [Google Scholar] [CrossRef]
- Kallitsakis, M.; Loukopoulos, E.; Abdul-Sada, A.; Tizzard, G.J.; Coles, S.J.; Kostakis, G.E.; Lykakis, I.N. A copper-benzotriazole-based coordination polymer catalyzes the efficient one-pot synthesis of (N′-substituted)-hydrazo-4-aryl-1,4-dihydropyridines from azines. Adv. Synth. Catal. 2017, 359, 138–145. [Google Scholar] [CrossRef]
- Deshmukh, D.S.; Gangwar, N.; Bhanage, B.M. Rapid and atom economic synthesis of isoquinolines and isoquinolinones by C-H/N-N activation using a homogeneous recyclable ruthenium catalyst in PEG media. Eur. J. Org. Chem. 2019, 2019, 2919–2927. [Google Scholar] [CrossRef]
- Deshmukh, D.S.; Yadav, P.A.; Bhanage, B.M. Cp*Co(III)-catalyzed annulation of azines by C–H/N–N bond activation for the synthesis of isoquinolines. Org. Biomol. Chem. 2019, 17, 3489–3496. [Google Scholar] [CrossRef] [PubMed]
- Bains, D.; Kumar, Y.; Singh, P.; Bhargava, G. [2+2] Cycloaddition reactions of butadienyl ketene with 1,4-diazabuta-1,3-dienes: Synthesis of functionalized butadienyl-4-iminomethyl-azetidin-2-ones and butenylidene-butadienyl-[2,2′-biazetidine]-4,4′-diones. J. Heterocycl. Chem. 2016, 53, 1665–1669. [Google Scholar] [CrossRef]
- Nakahara, K.; Yamaguchi, K.; Kansui, H. Stepwise reactions between cyclic 1,4-diazadienes and ketenes: Characteristics and mechanism. Heterocycles 2021, 102, 534. [Google Scholar] [CrossRef]
- Arduengo, A.J.; Harlow, R.L.; Kline, M. A stable crystalline carbene. J. Am. Chem. Soc. 1991, 113, 361–363. [Google Scholar] [CrossRef]
- Neshat, A.; Mastrorilli, P.; Mousavizadeh Mobarakeh, A. Recent advances in catalysis involving bidentate N-heterocyclic carbene ligands. Molecules 2022, 27, 95. [Google Scholar] [CrossRef] [PubMed]
- Baczewska, P.; Śniady, K.; Kośnik, W.; Michalak, M. Acenaphthene-based N-heterocyclic carbene metal complexes: Synthesis and application in catalysis. Catalysts 2021, 11, 972. [Google Scholar] [CrossRef]
- Beillard, A.; Bantreil, X.; Métro, T.X.; Martinez, J.; Lamaty, F. A more sustainable and efficient access to IMes·HCl and IPr·HCl by ball-milling. Green Chem. 2018, 20, 964–968. [Google Scholar] [CrossRef]
- Li, H.; Ai, B.-R.; Hong, M. Stereoselective ring-opening polymerization of rac-lactide by bulky chiral and achiral N-heterocyclic carbenes. Chin. J. Polym. Sci. 2018, 36, 231–236. [Google Scholar] [CrossRef]
- Tarrieu, R.; Dumas, A.; Thongpaen, J.; Vives, T.; Roisnel, T.; Dorcet, V.; Crévisy, C.; Baslé, O.; Mauduit, M. Readily accessible unsymmetrical unsaturated 2,6-diisopropylphenyl N-heterocyclic carbene ligands. Applications in enantioselective catalysis. J. Org. Chem. 2017, 82, 1880–1887. [Google Scholar] [CrossRef]
- Wang, J.; Cheng, X.; Liu, Y.; Zhang, J. Multicomponent synthesis of unsymmetrical 4,5-disubstituted imidazolium salts as N-heterocyclic carbene precursors: Applications in palladium-catalyzed cross-coupling reactions. J. Org. Chem. 2021, 86, 6278–6288. [Google Scholar] [CrossRef] [PubMed]
- Li, D.H.; He, X.X.; Xu, C.; Huang, F.D.; Liu, N.; Shen, D.S.; Liu, F.S. N-Heterocarbene palladium complexes with dianisole backbones: Synthesis, structure, and catalysis. Organometallics 2019, 38, 2539–2552. [Google Scholar] [CrossRef]
- Biancalana, L.; Bresciani, G.; Marchetti, F.; Pampaloni, G. Serendipitous formation of a zwitterionic imidazolium molecule from α-diimine with glyoxal as unusual cyclization agent. ChemistrySelect 2021, 6, 10051–10053. [Google Scholar] [CrossRef]
- Pasyukov, D.V.; Shevchenko, M.A.; Shepelenko, K.E.; Khazipov, O.V.; Burykina, J.V.; Gordeev, E.G.; Minyaev, M.E.; Chernyshev, V.M.; Ananikov, V.P. One-step access to heteroatom-functionalized imidazol(in)ium salts. Angew. Chem. 2022, 134, e202116131. [Google Scholar] [CrossRef]
- Fan, Q.W.; Zhong, Q.D.; Yan, H. Synthesis, antitumor activity, and docking study of 1,3-disubstituted imidazolium derivatives. Russ. J. Gen. Chem. 2017, 87, 3023–3028. [Google Scholar] [CrossRef]
- Yavari, I.; Zahedi, N.; Halvagar, M.R. A tandem synthesis of 4,5-bis(arylimino)-2-(alkylimino)imidazolidines. Mon. Chem. Chem. Mon. 2017, 148, 1439–1444. [Google Scholar] [CrossRef]
- Yavari, I.; Zahedi, N.; Baoosi, L. A one-pot synthesis of functionalized 4,5-bis(phenylimino)-1,3-thiazolidine-2-thiones from primary amines, CS2 and N,N′-diphenyloxalimidoyl dichloride. J. Iran. Chem. Soc. 2016, 13, 1847–1851. [Google Scholar] [CrossRef]
- Yavari, I.; Zahedi, N.; Skoulika, S. Tandem synthesis of thiazolidine derivatives from primary amines, isothiocyanates, and bis(imidoyl) chlorides. J. Iran. Chem. Soc. 2017, 14, 1869–1874. [Google Scholar] [CrossRef]
- Yavari, I.; Zahedi, N.; Baoosi, L.; Skoulika, S. A one-pot synthesis of bis(phenylimino)thiazolidines from ketene N,S-acetals and N,N′-diphenyloxalimidoyl dichloride. Mol. Divers. 2018, 22, 11–19. [Google Scholar] [CrossRef]
- Reed, J.H.; Klett, J.; Steven, C.; Cramer, N. Stay positive: Catalysis with 1,3,2-diazaphospholenes. Org. Chem. Front. 2020, 7, 3521–3529. [Google Scholar] [CrossRef]
- Gudat, D. A very peculiar family of N-heterocyclic phosphines: Unusual structures and the unique reactivity of 1,3,2-diazaphospholenes. Dalt. Trans. 2016, 45, 5896–5907. [Google Scholar] [CrossRef]
- Lundrigan, T.; Welsh, E.N.; Hynes, T.; Tien, C.H.; Adams, M.R.; Roy, K.R.; Robertson, K.N.; Speed, A.W.H. Enantioselective imine reduction catalyzed by phosphenium ions. J. Am. Chem. Soc. 2019, 141, 14083–14088. [Google Scholar] [CrossRef] [PubMed]
- Miaskiewicz, S.; Reed, J.H.; Donets, P.A.; Oliveira, C.C.; Cramer, N. Chiral 1,3,2-diazaphospholenes as catalytic molecular hydrides for enantioselective conjugate reductions. Angew. Chem. Int. Ed. 2018, 57, 4039–4042. [Google Scholar] [CrossRef] [PubMed]
- Lundrigan, T.; Tien, C.-H.; Robertson, K.N.; Speed, A.W.H. Air and water stable secondary phosphine oxides as diazaphospholene precatalysts. Chem. Commun. 2020, 56, 8027. [Google Scholar] [CrossRef]
- Burck, S.; Gudat, D.; Nieger, M.; Du Mont, W.W. P-hydrogen-substituted 1,3,2-diazaphospholenes: Molecular hydrides. J. Am. Chem. Soc. 2006, 128, 3946–3955. [Google Scholar] [CrossRef]
- Veinot, A.J.; Blair, A.D.; Masuda, J.D. Crystal structure of 2-azido-1,3-bis(2,6-diisopropylphenyl)-1,3,2-diazaphospholidine. Acta Crystallogr. Sect. E Crystallogr. Commun. 2017, 73, 905–907. [Google Scholar] [CrossRef] [PubMed]
- Zhang, J.; Yang, J.-D.; Cheng, J.-P. Chemoselective catalytic hydrodefluorination of trifluoromethylalkenes towards mono-/gem-di-fluoroalkenes under metal-free conditions. Nat. Commun. 2021, 12, 2835. [Google Scholar] [CrossRef]
- Nakahara, K.; Yamaguchi, K.; Kansui, H. Reactivity of the enamine tautomer of a cyclic 1,4-diazadiene with a diketone. Heterocycles 2020, 100, 1463. [Google Scholar] [CrossRef]
- Espinoza-Hicks, C.; Montoya, P.; Bautista, R.; Jiménez-Vázquez, H.A.; Rodríguez-Valdez, L.M.; Camacho-Dávila, A.A.; Cossío, F.P.; Delgado, F.; Tamariz, J. Synthesis of exo-imidazolidin-2-one dienes, their isomerization, and selectivity in Diels—Alder cycloadditions. J. Org. Chem. 2018, 83, 5347–5364. [Google Scholar] [CrossRef] [PubMed]
- Zou, X.; Cui, S.; Li, J.; Wei, X.; Zheng, M. Diketopyrrolopyrrole based organic semiconductor materials for field-effect transistors. Front. Chem. 2021, 9, 671294. [Google Scholar] [CrossRef]
- Deng, Z.; Ai, T.; Li, R.; Yuan, W.; Zhang, K.; Du, H.; Zhang, H. Conjugated Polymers Containing Building Blocks 1,3,4,6-Tetraarylpyrrolo [3,2-b]pyrrole-2,5-dione (isoDPP), Benzodipyrrolidone (BDP) or Naphthodipyrrolidone (NDP): A Review. Polymers 2019, 11, 1683. [Google Scholar] [CrossRef]
- Gendron, D.; Gann, E.; Pattison, K.; Maasoumi, F.; McNeill, C.R.; Watkins, S.E.; Burn, P.L.; Powell, B.J.; Shaw, P.E. Synthesis and properties of pyrrolo [3,2-b]pyrrole-1,4-diones (isoDPP) derivatives. J. Mater. Chem. C 2014, 2, 4276–4288. [Google Scholar] [CrossRef]
- Do, T.T.; Stephen, M.; Chan, K.L.; Manzhos, S.; Burn, P.L.; Sonar, P. Pyrrolo [3,2-b]pyrrole-1,4-dione (isoDPP) end capped with napthalimide or phthalimide: Novel small molecular acceptors for organic solar cells. Molecules 2020, 25, 4700. [Google Scholar] [CrossRef] [PubMed]
- Kirkus, M.; Knippenberg, S.; Beljonne, D.; Cornil, J.; Janssen, R.A.J.; Meskers, S.C.J. Synthesis and optical properties of pyrrolo [3,2-b]pyrrole-2,5(1H,4H)-dione (iDPP)-based molecules. J. Phys. Chem. A 2013, 117, 2782–2789. [Google Scholar] [CrossRef]
- Lu, S.; Drees, M.; Yao, Y.; Boudinet, D.; Yan, H.; Pan, H.; Wang, J.; Li, Y.; Usta, H.; Facchetti, A. 3,6-Dithiophen-2-yl-diketopyrrolo [3,2-b]pyrrole (isoDPPT) as an acceptor building block for organic opto-electronics. Macromolecules 2013, 46, 3895–3906. [Google Scholar] [CrossRef]
- Drozdov, F.V.; Surin, N.M.; Peregudova, S.M.; Trukhanov, V.A.; Dmitryakov, P.V.; Chvalun, S.N.; Parashchuk, D.Y.; Ponomarenko, S.A. Synthesis and properties of alternating copolymers based on 4H-cyclopenta [2,1-b:3,4-b′]dithiophene and 4H-dithieno [3,2-b:2′,3′-d]silol. Polym. Sci. Ser. B 2019, 61, 56–76. [Google Scholar] [CrossRef]
- Söyleyici, H.C.; Uyanık, S.; Sevinçek, R.; Fırıncı, E.; Bursalı, B.; Burgaz, O.; Aygün, M.; Şahin, Y. Synthesis and structures of monocyclic 1,4-diaza-2,3-diborine species. Inorg. Chem. Commun. 2015, 61, 214–216. [Google Scholar] [CrossRef]
- Arrowsmith, M.; Braunschweig, H.; Radacki, K.; Thiess, T.; Turkin, A. Facile access to unprecedented electron-precise monohydrodiboranes(4), cis-1,2-dihydrodiboranes(4), and a 1,1-dihydrodiborane(5). Chem. A Eur. J. 2017, 23, 2179–2184. [Google Scholar] [CrossRef] [PubMed]
- Thiess, T.; Ernst, M.; Kupfer, T.; Braunschweig, H. Facile access to substituted 1,4-diaza-2,3-diborinines. Chem. A Eur. J. 2020, 26, 2967–2972. [Google Scholar] [CrossRef]
- Thiess, T.; Bélanger-Chabot, G.; Fantuzzi, F.; Michel, M.; Ernst, M.; Engels, B.; Braunschweig, H. Diborane(4) azides: Surprisingly stable sources of transient iminoboranes. Angew. Chem. Int. Ed. 2020, 59, 15480–15486. [Google Scholar] [CrossRef] [PubMed]
- Huang, R.; Chen, X.; Mou, C.; Luo, G.; Li, Y.; Li, X.; Xue, W.; Jin, Z.; Chi, Y.R. Carbene-catalyzed α-carbon amination of chloroaldehydes for enantioselective access to dihydroquinoxaline derivatives. Org. Lett. 2019, 21, 4340–4344. [Google Scholar] [CrossRef]
- Abraham, C.J.; Paull, D.H.; Scerba, M.T.; Grebinski, J.W.; Lectka, T. Catalytic, enantioselective bifunctional inverse electron demand Hetero-Diels-Alder reactions of ketene enolates and o-benzoquinone diimides. J. Am. Chem. Soc. 2006, 128, 13370–13371. [Google Scholar] [CrossRef] [PubMed]
Publisher’s Note: MDPI stays neutral with regard to jurisdictional claims in published maps and institutional affiliations. |
© 2022 by the authors. Licensee MDPI, Basel, Switzerland. This article is an open access article distributed under the terms and conditions of the Creative Commons Attribution (CC BY) license (https://creativecommons.org/licenses/by/4.0/).








































































