Sign in to use this feature.

Years

Between: -

Subjects

remove_circle_outline
remove_circle_outline
remove_circle_outline
remove_circle_outline
remove_circle_outline
remove_circle_outline
remove_circle_outline

Journals

Article Types

Countries / Regions

Search Results (56)

Search Parameters:
Keywords = intra-prediction mode

Order results
Result details
Results per page
Select all
Export citation of selected articles as:
19 pages, 2675 KB  
Article
Fast Intra-Coding Unit Partitioning for 3D-HEVC Depth Maps via Hierarchical Feature Fusion
by Fangmei Liu, He Zhang and Qiuwen Zhang
Electronics 2025, 14(18), 3646; https://doi.org/10.3390/electronics14183646 - 15 Sep 2025
Viewed by 311
Abstract
As a new generation 3D video coding standard, 3D-HEVC offers highly efficient compression. However, its recursive quadtree partitioning mechanism and frequent rate-distortion optimization (RDO) computations lead to a significant increase in coding complexity. Particularly, intra-frame coding in depth maps, which incorporates tools like [...] Read more.
As a new generation 3D video coding standard, 3D-HEVC offers highly efficient compression. However, its recursive quadtree partitioning mechanism and frequent rate-distortion optimization (RDO) computations lead to a significant increase in coding complexity. Particularly, intra-frame coding in depth maps, which incorporates tools like depth modeling modes (DMMs), substantially prolongs the decision-making process for coding unit (CU) partitioning, becoming a critical bottleneck in compression encoding time. To address this issue, this paper proposes a fast CU partitioning framework based on hierarchical feature fusion convolutional neural networks (HFF-CNNs). It aims to significantly accelerate the overall encoding process while ensuring excellent encoding quality by optimizing depth map CU partitioning decisions. This framework synergistically captures CU’s global structure and local details through multi-scale feature extraction and channel attention mechanisms (SE module). It introduces the wavelet energy ratio designed for quantifying the texture complexity of depth map CU and the quantization parameter (QP) that reflects the encoding quality as external features, enhancing the dynamic perception ability of the model from different dimensions. Ultimately, it outputs depth-corresponding partitioning predictions through three fully connected layers, strictly adhering to HEVC’s quad-tree recursive segmentation mechanism. Experimental results demonstrate that, across eight standard test sequences, the proposed method achieves an average encoding time reduction of 48.43%, significantly lowering intra-frame encoding complexity with a BDBR increment of only 0.35%. The model exhibits outstanding lightweight characteristics with minimal inference time overhead. Compared with the representative methods under comparison, this method achieves a better balance between cross-resolution adaptability and computational efficiency, providing a feasible optimization path for real-time 3D-HEVC applications. Full article
Show Figures

Figure 1

14 pages, 1980 KB  
Review
Ultrasound in Adhesive Capsulitis: A Narrative Exploration from Static Imaging to Contrast-Enhanced, Dynamic and Sonoelastographic Insights
by Wei-Ting Wu, Ke-Vin Chang, Kamal Mezian, Vincenzo Ricci, Consuelo B. Gonzalez-Suarez and Levent Özçakar
Diagnostics 2025, 15(15), 1924; https://doi.org/10.3390/diagnostics15151924 - 31 Jul 2025
Viewed by 1091
Abstract
Adhesive capsulitis is a painful and progressive condition marked by significant limitations in shoulder mobility, particularly affecting external rotation. Although magnetic resonance imaging is regarded as the reference standard for assessing intra-articular structures, its high cost and limited availability present challenges in routine [...] Read more.
Adhesive capsulitis is a painful and progressive condition marked by significant limitations in shoulder mobility, particularly affecting external rotation. Although magnetic resonance imaging is regarded as the reference standard for assessing intra-articular structures, its high cost and limited availability present challenges in routine clinical use. In contrast, musculoskeletal ultrasound has emerged as an accessible, real-time, and cost-effective imaging modality for both the diagnosis and treatment guidance of adhesive capsulitis. This narrative review compiles and illustrates current evidence regarding the role of ultrasound, encompassing static B-mode imaging, dynamic motion analysis, contrast-enhanced techniques, and sonoelastography. Key sonographic features—such as thickening of the coracohumeral ligament, fibrosis in the axillary recess, and abnormal tendon kinematics—have been consistently associated with adhesive capsulitis and demonstrate favorable diagnostic performance. Advanced methods like contrast-enhanced ultrasound and elastography provide additional functional insights (enabling evaluation of capsular stiffness and vascular changes) which may aid in disease staging and prediction of treatment response. Despite these advantages, the clinical utility of ultrasound remains subject to operator expertise and technical variability. Limited visualization of intra-articular structures and the absence of standardized scanning protocols continue to pose challenges. Nevertheless, ongoing advances in its technology and utility standardization hold promise for the broader application of ultrasound in clinical practice. With continued research and validation, ultrasound is positioned to play an increasingly central role in the comprehensive assessment and management of adhesive capsulitis. Full article
Show Figures

Figure 1

18 pages, 1845 KB  
Article
Fast Intra-Prediction Mode Decision Algorithm for Versatile Video Coding Based on Gradient and Convolutional Neural Network
by Nana Li, Zhenyi Wang, Qiuwen Zhang, Lei He and Weizheng Zhang
Electronics 2025, 14(10), 2031; https://doi.org/10.3390/electronics14102031 - 16 May 2025
Viewed by 862
Abstract
The latest Versatile Video Coding(H.266/VVC) standard introduces the QTMT structure, enabling more flexible block partitioning and significantly enhancing coding efficiency compared to its predecessor, High-Efficiency Video Coding (H.265/HEVC). However, this new structure results in changes to the size of Coding Units (CUs). To [...] Read more.
The latest Versatile Video Coding(H.266/VVC) standard introduces the QTMT structure, enabling more flexible block partitioning and significantly enhancing coding efficiency compared to its predecessor, High-Efficiency Video Coding (H.265/HEVC). However, this new structure results in changes to the size of Coding Units (CUs). To accommodate this, VVC increases the number of intra-prediction modes from 35 to 67, leading to a substantial rise in computational demands. This study presents a fast intra-prediction mode selection algorithm that combines gradient analysis and CNN. First, the Laplace operator is employed to estimate the texture direction of the current CU block, identifying the most probable prediction direction and skipping over half of the redundant candidate modes, thereby significantly reducing the number of mode searches. Second, to further minimize computational complexity, two efficient neural network models, MIP-NET and ISP-NET, are developed to determine whether to terminate the prediction process for Matrix Intra Prediction(MIP) and Intra Sub-Partitioning(ISP) modes early, avoiding unnecessary calculations. This approach maintains coding performance while significantly lowering the time complexity of intra-prediction mode selection. Experimental results demonstrate that the algorithm achieves a 35.04% reduction in encoding time with only a 0.69% increase in BD-BR, striking a balance between video quality and coding efficiency. Full article
Show Figures

Figure 1

18 pages, 3838 KB  
Article
Wind Tunnel Process Mach Number Prediction Based on Modal, Stage, and Intra-Stages Three-Layer Partitioning
by Haixuan Yuan, Jin Guo, Wenshan Yu and Luping Zhao
Aerospace 2025, 12(5), 439; https://doi.org/10.3390/aerospace12050439 - 15 May 2025
Viewed by 424
Abstract
The wind tunnel experiment process is a nonlinear process with complex process characteristics. It is the primary task to master the key physical parameters and performance evaluation criteria during its operation. Aiming at the characteristics of multi-mode, multi-stage and intra-stage changes in the [...] Read more.
The wind tunnel experiment process is a nonlinear process with complex process characteristics. It is the primary task to master the key physical parameters and performance evaluation criteria during its operation. Aiming at the characteristics of multi-mode, multi-stage and intra-stage changes in the wind tunnel process, this paper proposes a Mach number prediction method based on mode, stage and intra-stage division. Firstly, mode division is carried out. The K-means clustering method is mainly used to cluster process data. The elbow rule is used to determine the cluster number K. The Mach number is used as the index variable to divide the process into phases, and divide the phases into stable parts and transitional parts according to different process characteristics. Considering the nonlinearity of the data, a kernel partial least squares prediction model is constructed for the stable process. Considering the dynamic characteristics of data, a dynamic partial least squares prediction model is constructed for the transitional process. The proposed method has been applied to multi-stage nonlinear wind tunnel experiments, and satisfactory results have been obtained. Full article
Show Figures

Figure 1

17 pages, 7312 KB  
Article
Altered Hemispheric Asymmetry of Functional Hierarchy in Schizophrenia
by Yi Zhen, Hongwei Zheng, Yi Zheng, Zhiming Zheng, Yaqian Yang and Shaoting Tang
Brain Sci. 2025, 15(3), 313; https://doi.org/10.3390/brainsci15030313 - 16 Mar 2025
Viewed by 1085
Abstract
Background/Objectives: Schizophrenia is a severe psychiatric disorder characterized by deficits in perception and advanced cognitive functions. Prior studies have reported abnormal lateralization in cortical morphology and functional connectivity in schizophrenia. However, it remains unclear whether schizophrenia affects hemispheric asymmetry in the hierarchical organization [...] Read more.
Background/Objectives: Schizophrenia is a severe psychiatric disorder characterized by deficits in perception and advanced cognitive functions. Prior studies have reported abnormal lateralization in cortical morphology and functional connectivity in schizophrenia. However, it remains unclear whether schizophrenia affects hemispheric asymmetry in the hierarchical organization of functional connectome. Methods: Here, we apply a gradient mapping framework to the hemispheric functional connectome to estimate the first three gradients, which characterize unimodal-to-transmodal, visual-to-somatomotor, and somatomotor/default mode-to-multiple demand hierarchy axes. We then assess between-group differences in intra- and inter-hemispheric asymmetries of these three functional gradients. Results: We find that, compared to healthy controls, patients with schizophrenia exhibit significantly altered hemispheric asymmetry in functional gradient across multiple networks, including the dorsal attention, ventral attention, visual, and control networks. Region-level analyses further reveal that patients with schizophrenia show significantly abnormal hemispheric gradient asymmetries in several cortical regions in the dorsal prefrontal gyrus, medial superior frontal gyrus, and somatomotor areas. Lastly, we find that hemispheric asymmetries in functional gradients can differentiate between patients and healthy controls and predict the severity of positive symptoms in schizophrenia. Conclusions: Collectively, these findings suggest that schizophrenia is associated with altered hemispheric asymmetry in functional hierarchy, providing novel perspectives for understanding the atypical brain lateralization in schizophrenia. Full article
(This article belongs to the Section Neuropsychiatry)
Show Figures

Figure 1

12 pages, 3541 KB  
Article
Mixed-Mode Adsorption of l-Tryptophan on D301 Resin through Hydrophobic Interaction/Ion Exchange/Ion Exclusion: Equilibrium and Kinetics Study
by Shengping Wang, Pengfei Jiao, Zhengtian Zhang and Qiuhong Niu
Molecules 2024, 29(16), 3745; https://doi.org/10.3390/molecules29163745 - 7 Aug 2024
Viewed by 1271
Abstract
The adsorption of l-tryptophan (l-Trp) was studied based on the hydrophobic interaction/ion exchange/ion exclusion mixed-mode adsorption resin D301. Firstly, the interaction mode between l-Trp and resin was analyzed by studying the influence of pH variation on the adsorption capability [...] Read more.
The adsorption of l-tryptophan (l-Trp) was studied based on the hydrophobic interaction/ion exchange/ion exclusion mixed-mode adsorption resin D301. Firstly, the interaction mode between l-Trp and resin was analyzed by studying the influence of pH variation on the adsorption capability and the dissociation state of l-Trp. Secondly, the adsorption mechanism was illuminated by studying the adsorption equilibrium and kinetic behaviors. The adsorption equilibrium and a kinetics model were constructed. The augmentation of pH gradually elicited an enhancement in the adsorption capacity of l-Trp. l-Trp existing in varied dissociation states could be adsorbed by the resin, and the interaction mode relied upon the pH of the solution. An integrated adsorption equilibrium model with the coadsorption of different dissociation states of l-Trp was developed and could predict the adsorption isotherms at various pH levels satisfactorily. Both external mass transfer and intra-particle diffusion collectively imposed constraints on the mass transfer process of l-Trp onto the resin. An improved liquid film linear driving force model (ILM) was constructed, and the model provided a satisfactory fit for the adsorption kinetics curves of l-Trp at various pH levels. l-Trp molecules had a high mass transfer rate at a relatively low solution pH. Full article
Show Figures

Graphical abstract

12 pages, 3185 KB  
Article
Intra-Mode Decision Based on Lagrange Optimization Regarding Chroma Coding
by Wei Li and Caixia Fan
Appl. Sci. 2024, 14(15), 6480; https://doi.org/10.3390/app14156480 - 25 Jul 2024
Cited by 2 | Viewed by 1031
Abstract
The latest generation of standard versatile video coding (VVC) continues to utilize hybrid coding architecture to further promote compression performance, where the intra-mode decision module selects the optimal mode to balance bitrate and coding distortion. With regard to chroma intra modes, a scheme [...] Read more.
The latest generation of standard versatile video coding (VVC) continues to utilize hybrid coding architecture to further promote compression performance, where the intra-mode decision module selects the optimal mode to balance bitrate and coding distortion. With regard to chroma intra modes, a scheme that uses a cross-component linear model (CCLM) is involved by utilizing the component correlation between luma and chroma, which could implicitly introduce distortion propagation from luma blocks to subsequent chroma prediction blocks during coding, impacting the result of a Lagrange optimization. This paper presents an improved intra-mode decision-based modified Lagrange multiplier for chroma components in VVC. The characteristics of chroma intra prediction are examined in depth, and the process of an intra-mode decision is analyzed in detail; then, the coding distortion dependency between the luma and chroma is described and incorporated into a Lagrange optimization framework to determine the optimal mode. The proposed method achieves an average bitrate-saving effect of 1.23% compared with the original scheme by using a dependent rate-distortion optimization in an All-Intra configuration. Full article
Show Figures

Figure 1

19 pages, 1788 KB  
Article
Multiview Spatial-Temporal Meta-Learning for Multivariate Time Series Forecasting
by Liang Zhang, Jianping Zhu, Bo Jin and Xiaopeng Wei
Sensors 2024, 24(14), 4473; https://doi.org/10.3390/s24144473 - 10 Jul 2024
Cited by 1 | Viewed by 1710
Abstract
Multivariate time series modeling has been essential in sensor-based data mining tasks. However, capturing complex dynamics caused by intra-variable (temporal) and inter-variable (spatial) relationships while simultaneously taking into account evolving data distributions is a non-trivial task, which faces accumulated computational overhead and multiple [...] Read more.
Multivariate time series modeling has been essential in sensor-based data mining tasks. However, capturing complex dynamics caused by intra-variable (temporal) and inter-variable (spatial) relationships while simultaneously taking into account evolving data distributions is a non-trivial task, which faces accumulated computational overhead and multiple temporal patterns or distribution modes. Most existing methods focus on the former direction without adaptive task-specific learning ability. To this end, we developed a holistic spatial-temporal meta-learning probabilistic inference framework, entitled ST-MeLaPI, for the efficient and versatile learning of complex dynamics. Specifically, first, a multivariate relationship recognition module is utilized to learn task-specific inter-variable dependencies. Then, a multiview meta-learning and probabilistic inference strategy was designed to learn shared parameters while enabling the fast and flexible learning of task-specific parameters for different batches. At the core are spatial dependency-oriented and temporal pattern-oriented meta-learning approximate probabilistic inference modules, which can quickly adapt to changing environments via stochastic neurons at each timestamp. Finally, a gated aggregation scheme is leveraged to realize appropriate information selection for the generative style prediction. We benchmarked our approach against state-of-the-art methods with real-world data. The experimental results demonstrate the superiority of our approach over the baselines. Full article
(This article belongs to the Section Intelligent Sensors)
Show Figures

Figure 1

22 pages, 4753 KB  
Article
Synthesis, Characterization, and Cytotoxicity of a Ga(III) Complex with Warfarin
by Hubert Joe, Venceslava Atanasova, Jan Mojžiš and Irena Kostova
Inorganics 2024, 12(7), 177; https://doi.org/10.3390/inorganics12070177 - 24 Jun 2024
Viewed by 1649
Abstract
The gallium(III) complex of warfarin was synthesized, and its structure was determined by means of theoretical, analytical, and spectral analyses. Significant differences in the IR and Raman spectra of the complex were observed as compared to the spectra of the ligand and confirmed [...] Read more.
The gallium(III) complex of warfarin was synthesized, and its structure was determined by means of theoretical, analytical, and spectral analyses. Significant differences in the IR and Raman spectra of the complex were observed as compared to the spectra of the ligand and confirmed the suggested metal-ligand binding mode. The theoretical study of the Ga(III) complex of warfarin has been done to elucidate the structure-activity relation, inter- and intra-molecular interactions, and frontier molecular orbital energy analysis based on DFT computations. A molecular docking study has been performed to predict the biological activity of the molecule. In this paper, we report preliminary results about the cytotoxicity of the investigated compounds. The cytotoxic effects of the ligand and its Ga(III) complex were determined using the MTT method on different tumor cell lines. The screening performed revealed that the tested compounds exerted cytotoxic activity on the evaluated cell lines. Full article
(This article belongs to the Section Bioinorganic Chemistry)
Show Figures

Figure 1

25 pages, 940 KB  
Article
Fast Versatile Video Coding (VVC) Intra Coding for Power-Constrained Applications
by Lei Chen, Baoping Cheng, Haotian Zhu, Haowen Qin, Lihua Deng and Lei Luo
Electronics 2024, 13(11), 2150; https://doi.org/10.3390/electronics13112150 - 31 May 2024
Cited by 10 | Viewed by 2432
Abstract
Versatile Video Coding (VVC) achieves impressive coding gain improvement (about 40%+) over the preceding High-Efficiency Video Coding (HEVC) technology at the cost of extremely high computational complexity. Such an extremely high complexity increase is a great challenge for power-constrained applications, such as Internet [...] Read more.
Versatile Video Coding (VVC) achieves impressive coding gain improvement (about 40%+) over the preceding High-Efficiency Video Coding (HEVC) technology at the cost of extremely high computational complexity. Such an extremely high complexity increase is a great challenge for power-constrained applications, such as Internet of video things. In the case of intra coding, VVC utilizes the brute-force recursive search for both the partition structure of the coding unit (CU), which is based on the quadtree with nested multi-type tree (QTMT), and 67 intra prediction modes, compared to 35 in HEVC. As a result, we offer optimization strategies for CU partition decision and intra coding modes to lessen the computational overhead. Regarding the high complexity of the CU partition process, first, CUs are categorized as simple, fuzzy, and complex based on their texture characteristics. Then, we train two random forest classifiers to speed up the RDO-based brute-force recursive search process. One of the classifiers directly predicts the optimal partition modes for simple and complex CUs, while another classifier determines the early termination of the partition process for fuzzy CUs. Meanwhile, to reduce the complexity of intra mode prediction, a fast hierarchical intra mode search method is designed based on the texture features of CUs, including texture complexity, texture direction, and texture context information. Extensive experimental findings demonstrate that the proposed approach reduces complexity by up to 77% compared to the latest VVC reference software (VTM-23.1). Additionally, an average coding time saving of 70% is achieved with only a 1.65% increase in BDBR. Furthermore, when compared to state-of-the-art methods, the proposed method also achieves the largest time saving with comparable BDBR loss. These findings indicate that our method is superior to other up-to-date methods in terms of lowering VVC intra coding complexity, which provides an elective solution for power-constrained applications. Full article
Show Figures

Figure 1

23 pages, 5497 KB  
Article
Fast Decision-Tree-Based Series Partitioning and Mode Prediction Termination Algorithm for H.266/VVC
by Ye Li, Zhihao He and Qiuwen Zhang
Electronics 2024, 13(7), 1250; https://doi.org/10.3390/electronics13071250 - 27 Mar 2024
Cited by 5 | Viewed by 1602
Abstract
With the advancement of network technology, multimedia videos have emerged as a crucial channel for individuals to access external information, owing to their realistic and intuitive effects. In the presence of high frame rate and high dynamic range videos, the coding efficiency of [...] Read more.
With the advancement of network technology, multimedia videos have emerged as a crucial channel for individuals to access external information, owing to their realistic and intuitive effects. In the presence of high frame rate and high dynamic range videos, the coding efficiency of high-efficiency video coding (HEVC) falls short of meeting the storage and transmission demands of the video content. Therefore, versatile video coding (VVC) introduces a nested quadtree plus multi-type tree (QTMT) segmentation structure based on the HEVC standard, while also expanding the intra-prediction modes from 35 to 67. While the new technology introduced by VVC has enhanced compression performance, it concurrently introduces a higher level of computational complexity. To enhance coding efficiency and diminish computational complexity, this paper explores two key aspects: coding unit (CU) partition decision-making and intra-frame mode selection. Firstly, to address the flexible partitioning structure of QTMT, we propose a decision-tree-based series partitioning decision algorithm for partitioning decisions. Through concatenating the quadtree (QT) partition division decision with the multi-type tree (MT) division decision, a strategy is implemented to determine whether to skip the MT division decision based on texture characteristics. If the MT partition decision is used, four decision tree classifiers are used to judge different partition types. Secondly, for intra-frame mode selection, this paper proposes an ensemble-learning-based algorithm for mode prediction termination. Through the reordering of complete candidate modes and the assessment of prediction accuracy, the termination of redundant candidate modes is accomplished. Experimental results show that compared with the VVC test model (VTM), the algorithm proposed in this paper achieves an average time saving of 54.74%, while the BDBR only increases by 1.61%. Full article
(This article belongs to the Special Issue Signal, Image and Video Processing: Development and Applications)
Show Figures

Figure 1

20 pages, 3148 KB  
Article
Respiratory Motion Prediction with Empirical Mode Decomposition-Based Random Vector Functional Link
by Asad Rasheed and Kalyana C. Veluvolu
Mathematics 2024, 12(4), 588; https://doi.org/10.3390/math12040588 - 16 Feb 2024
Cited by 5 | Viewed by 1629
Abstract
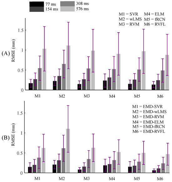
The precise prediction of tumor motion for radiotherapy has proven challenging due to the non-stationary nature of respiration-induced motion, frequently accompanied by unpredictable irregularities. Despite the availability of numerous prediction methods for respiratory motion prediction, the prediction errors they generate often suffer from [...] Read more.
The precise prediction of tumor motion for radiotherapy has proven challenging due to the non-stationary nature of respiration-induced motion, frequently accompanied by unpredictable irregularities. Despite the availability of numerous prediction methods for respiratory motion prediction, the prediction errors they generate often suffer from large prediction horizons, intra-trace variabilities, and irregularities. To overcome these challenges, we have employed a hybrid method, which combines empirical mode decomposition (EMD) and random vector functional link (RVFL), referred to as EMD-RVFL. In the initial stage, EMD is used to decompose respiratory motion into interpretable intrinsic mode functions (IMFs) and residue. Subsequently, the RVFL network is trained for each obtained IMF and residue. Finally, the prediction results of all the IMFs and residue are summed up to obtain the final predicted output. We validated this proposed method on the benchmark datasets of 304 respiratory motion traces obtained from 31 patients for various prediction lengths, which are equivalent to the latencies of radiotherapy systems. In direct comparison with existing prediction techniques, our hybrid architecture consistently delivers a robust and highly accurate prediction performance. This proof-of-concept study indicates that the proposed approach is feasible and has the potential to improve the accuracy and effectiveness of radiotherapy treatment. Full article
Show Figures

Figure 1

39 pages, 2689 KB  
Review
Dental Stem Cell-Based Therapy for Glycemic Control and the Scope of Clinical Translation: A Systematic Review and Meta-Analysis
by Pallavi Tonsekar, Vidya Tonsekar, Shuying Jiang and Gang Yue
Int. J. Transl. Med. 2024, 4(1), 87-125; https://doi.org/10.3390/ijtm4010005 - 15 Jan 2024
Cited by 4 | Viewed by 2679
Abstract
Background: The tooth is a repository of stem cells, garnering interest in recent years for its therapeutic potential. The aim of this systematic review and meta-analysis was to test the hypothesis that dental stem cell administration can reduce blood glucose and ameliorate polyneuropathy [...] Read more.
Background: The tooth is a repository of stem cells, garnering interest in recent years for its therapeutic potential. The aim of this systematic review and meta-analysis was to test the hypothesis that dental stem cell administration can reduce blood glucose and ameliorate polyneuropathy in diabetes mellitus. The scope of clinical translation was also assessed. Methods: PubMed, Cochrane, Ovid, Web of Science, and Scopus databases were searched for animal studies that were published in or before July 2023. A search was conducted in OpenGrey for unpublished manuscripts. Subgroup analyses were performed to identify potential sources of heterogeneity among studies. The risk for publication bias was assessed by funnel plot, regression, and rank correlation tests. Internal validity, external validity, and translation potential were determined using the SYRCLE (Systematic Review Center for Laboratory Animal Experimentation) risk of bias tool and comparative analysis. Results: Out of 5031 initial records identified, 17 animal studies were included in the review. There was a significant decrease in blood glucose in diabetes-induced animals following DSC administration compared to that observed with saline or vehicle (SMD: −3.905; 95% CI: −5.633 to −2.177; p = 0.0004). The improvement in sensory nerve conduction velocity (SMD: 4.4952; 95% CI: 0.5959 to 8.3945; p = 0.035) and capillary-muscle ratio (SMD: 2.4027; 95% CI: 0.8923 to 3.9132; p = 0.0095) was significant. However, motor nerve conduction velocity (SMD: 3.1001; 95% CI: −1.4558 to 7.6559; p = 0.119) and intra-epidermal nerve fiber ratio (SMD: 1.8802; 95% CI: −0.4809 to 4.2413; p = 0.0915) did not increase significantly. Regression (p < 0.0001) and rank correlation (p = 0.0018) tests indicated the presence of funnel plot asymmetry. Due to disparate number of studies in subgroups, the analyses could not reliably explain the sources of heterogeneity. Interpretation: The direction of the data indicates that DSCs can provide good glycemic control in diabetic animals. However, methodological and reporting quality of preclinical studies, heterogeneity, risk of publication bias, and species differences may hamper translation to humans. Appropriate dose, mode of administration, and preparation must be ascertained for safe and effective use in humans. Longer-duration studies that reflect disease complexity and help predict treatment outcomes in clinical settings are warranted. This review is registered in PROSPERO (number CRD42023423423). Full article
Show Figures

Figure 1

17 pages, 4946 KB  
Article
Coarse-to-Fine Network-Based Intra Prediction in Versatile Video Coding
by Dohyeon Park, Gihwa Moon, Byung Tae Oh and Jae-Gon Kim
Sensors 2023, 23(23), 9452; https://doi.org/10.3390/s23239452 - 27 Nov 2023
Cited by 1 | Viewed by 2228
Abstract
After the development of the Versatile Video Coding (VVC) standard, research on neural network-based video coding technologies continues as a potential approach for future video coding standards. Particularly, neural network-based intra prediction is receiving attention as a solution to mitigate the limitations of [...] Read more.
After the development of the Versatile Video Coding (VVC) standard, research on neural network-based video coding technologies continues as a potential approach for future video coding standards. Particularly, neural network-based intra prediction is receiving attention as a solution to mitigate the limitations of traditional intra prediction performance in intricate images with limited spatial redundancy. This study presents an intra prediction method based on coarse-to-fine networks that employ both convolutional neural networks and fully connected layers to enhance VVC intra prediction performance. The coarse networks are designed to adjust the influence on prediction performance depending on the positions and conditions of reference samples. Moreover, the fine networks generate refined prediction samples by considering continuity with adjacent reference samples and facilitate prediction through upscaling at a block size unsupported by the coarse networks. The proposed networks are integrated into the VVC test model (VTM) as an additional intra prediction mode to evaluate the coding performance. The experimental results show that our coarse-to-fine network architecture provides an average gain of 1.31% Bjøntegaard delta-rate (BD-rate) saving for the luma component compared with VTM 11.0 and an average of 0.47% BD-rate saving compared with the previous related work. Full article
(This article belongs to the Section Intelligent Sensors)
Show Figures

Figure 1

15 pages, 8918 KB  
Article
A Fast Algorithm for VVC Intra Coding Based on the Most Probable Partition Pattern List
by Haiwu Zhao, Shuai Zhao, Xiwu Shang and Guozhong Wang
Appl. Sci. 2023, 13(18), 10381; https://doi.org/10.3390/app131810381 - 17 Sep 2023
Cited by 3 | Viewed by 1959
Abstract
Compared with High-Efficiency Video Coding (HEVC), Versatile Video Coding (VVC) has more flexible division and higher compression efficiency, but it also has higher computational complexity. In order to reduce the coding complexity, a fast algorithm based on the most probable partition pattern list [...] Read more.
Compared with High-Efficiency Video Coding (HEVC), Versatile Video Coding (VVC) has more flexible division and higher compression efficiency, but it also has higher computational complexity. In order to reduce the coding complexity, a fast algorithm based on the most probable partition pattern list (MPPPL)and pixel content similarity is proposed. Firstly, the MPPPL is constructed by using the average texture complexity difference of the sub-coding unit under different partition modes. Then, the sub-block pixel mean difference is used to decide the best partition mode or shorten the MPPPL. Finally, the selection rules of the reference lines in the intra prediction process are counted and the unnecessary reference lines are skipped by using the pixel content similarity. The experimental results show that compared with VTM-13.0, the proposed algorithm can save 52.26% of the encoding time, and the BDBR (Bjontegarrd delta bit rate) only increases by 1.23%. Full article
(This article belongs to the Special Issue Novel Research on Image and Video Processing Technology)
Show Figures

Figure 1

Back to TopTop