Sign in to use this feature.

Years

Between: -

Subjects

remove_circle_outline
remove_circle_outline
remove_circle_outline
remove_circle_outline
remove_circle_outline
remove_circle_outline
remove_circle_outline

Journals

Article Types

Countries / Regions

Search Results (23)

Search Parameters:
Keywords = intra-individual co-variability

Order results
Result details
Results per page
Select all
Export citation of selected articles as:
17 pages, 1329 KB  
Article
Optimizing Dose Conversion from IR-Tac to LCP-Tac Formulations in Renal Transplant Recipients: A Population Pharmacokinetic Modeling Study
by Zeyar Mohammed Ali, Beatriz Fernández-Alarcón, Pere Fontova, Anna Vidal-Alabró, Raul Rigo-Bonnin, Edoardo Melilli, Nuria Montero, Anna Manonelles, Ana Coloma, Alexandre Favà, Josep M. Grinyó, Josep M. Cruzado, Helena Colom and Nuria Lloberas
Pharmaceutics 2025, 17(9), 1185; https://doi.org/10.3390/pharmaceutics17091185 - 12 Sep 2025
Viewed by 778
Abstract
Background/Objectives: Tacrolimus dosing remains challenging due to its narrow therapeutic index and high inter- and intra-patient variability. The extended-release once-daily tacrolimus (LCP-Tac) formulation provides enhanced bioavailability and a sustained pharmacokinetic profile compared to the immediate-release twice-daily tacrolimus (IR-Tac) formulation. Although a general [...] Read more.
Background/Objectives: Tacrolimus dosing remains challenging due to its narrow therapeutic index and high inter- and intra-patient variability. The extended-release once-daily tacrolimus (LCP-Tac) formulation provides enhanced bioavailability and a sustained pharmacokinetic profile compared to the immediate-release twice-daily tacrolimus (IR-Tac) formulation. Although a general conversion ratio of 1:0.7 is widely recommended when switching between formulations, current guidelines do not account for pharmacogenetic variability. This study aimed to determine whether CYP3A5 genotype influences the conversion ratio in Caucasian renal transplant recipients using population pharmacokinetic (PopPK) modeling. Methods: A PopPK model was developed in NONMEM using full PK profiles (10–18 samples per patient) from 30 stable renal transplant patients treated with both IR-Tac and LCP-Tac. Results: Tacrolimus pharmacokinetics were best described by a two-compartment model with first-order absorption and linear elimination with distinct absorption rate constants and lag times for each formulation. Including circadian rhythm in the apparent clearance (CL/F) and Ka of IR-Tac significantly improved the model. CYP3A5 polymorphism was the most powerful covariate explaining variability on CL/F. CYP3A5*1 expressers showed higher clearance and lower exposure requiring a more pronounced dose reduction upon conversion to LCP-Tac. Simulations indicated optimal conversion ratios of 1:0.6 for CYP3A5*1 expressers and 1:0.7 for non-expressers. Conclusions: These findings highlight the need to move beyond a one-size-fits-all conversion ratio and adopt genotype-informed strategies. LCP-Tac’s enhanced bioavailability requires dose reduction, greater in expressers when switching from IR-Tac. These genotype-specific recommendations provide clinically actionable guidance to complement therapeutic drug monitoring and support more individualized conversion protocols in renal transplantation. Full article
(This article belongs to the Section Pharmacokinetics and Pharmacodynamics)
Show Figures

Graphical abstract

8 pages, 194 KB  
Article
Hematoma Prediction in Gender-Affirming Mastectomies: A Single-Surgeon Experience with 267 Patients
by Yoram Wolf and Ron Skorochod
J. Clin. Med. 2025, 14(13), 4656; https://doi.org/10.3390/jcm14134656 - 1 Jul 2025
Cited by 1 | Viewed by 569
Abstract
Background/Objectives: Gender-affirming mastectomies are a pivotal step in the gender-affirmation process. These procedures represent the concordance between an individual’s appearance, as seen by the environment, and his/her perception of themselves. Hematomas are a growing concern in gender-affirming mastectomies, as they carry the risk [...] Read more.
Background/Objectives: Gender-affirming mastectomies are a pivotal step in the gender-affirmation process. These procedures represent the concordance between an individual’s appearance, as seen by the environment, and his/her perception of themselves. Hematomas are a growing concern in gender-affirming mastectomies, as they carry the risk for reoperation, increased length of hospital stay, and sub-par aesthetic outcomes. Recognition of factors contributing to the development of hematomas in gender-affirming mastectomies can improve surgical outcomes and patient satisfaction. In this study, we hope to shed light on variables potentially contributing to the development of post-operative hematomas in our experience with 267 gender-affirming mastectomies. Methods: Medical records of 267 consecutive gender-affirming mastectomies performed by the senior author were included in this study. Relevant demographic, clinical, and surgical characteristics were collected from patients’ medical files. The patients were stratified based on whether they developed post-operative hematomas. Univariate and multivariate analyses were performed to determine the impact of various factors on the risk of the development of post-operative hematomas. Results: The study groups were found to be similar in most baseline demographic and surgical characteristics. Statistically significant differences were seen regarding mean BMI, use of combined TRT and estrogen blockers, surgical technique, previous reduction mammaplasty, and intra-operative tissue resection weight (p-value = 0.007, 0.03, <0.001, 0.02, <0.001). Multivariate logistic regression was performed to predict post-operative hematomas. The covariates in question were statistically significant variables that differed between the groups. Previous reduction mammaplasty was found to be a statistically significant independent predictor of post-operative hematomas, with an OR of 41.55 (95% CI 4.2–408.3), and the “free NAC” surgical technique was found to decrease the incidence of post-operative hematomas, with an OR of 0.015 (95% CI 0.003–0.064). Conclusions: A history of reduction mammaplasty is a substantial risk factor for the development of post-operative hematomas in gender-affirming mastectomies. Of the various surgical techniques, the use of the “free NAC” technique can, to some degree, reduce the risk of hematoma development. Full article
23 pages, 2188 KB  
Article
Statistical Analysis of a Generalized Linear Model for Bilateral Correlated Data Under Donner’s Model
by Jinlong Cheng, Zhiming Li and Keyi Mou
Axioms 2025, 14(7), 500; https://doi.org/10.3390/axioms14070500 - 26 Jun 2025
Viewed by 457
Abstract
Paired data often arise in medical studies, with a correlation between responses of paired organs or parts. Under an intra-correlated model, this paper proposes a generalized linear model to investigate probable confounding factors of the individual response rates in paired data. The main [...] Read more.
Paired data often arise in medical studies, with a correlation between responses of paired organs or parts. Under an intra-correlated model, this paper proposes a generalized linear model to investigate probable confounding factors of the individual response rates in paired data. The main link functions include logistic, log–log, complementary log–log, probit, and double exponential. The estimators of model parameters are calculated through the Newton–Raphson, quadratic lower bound, and Fisher bounded algorithms. Then, three tests (i.e., likelihood ratio test, Wald-type test, and score test) are constructed to analyze whether covariates significantly affect the response rate. Finally, the proposed methods are illustrated by numerical simulation and visual impairment data from Iran. Full article
Show Figures

Figure 1

11 pages, 243 KB  
Review
Sex Influence on Trigeminal Nerve Stimulation and Breath-Hold Diving Performance: Examination of the Autonomic Regulation of Cardiovascular Responses to Facial Cooling and Apnoea Across Sex and Varied Factors
by Krzysztof S. Malinowski, Magdalena Wszędybył-Winklewska and Paweł J. Winklewski
NeuroSci 2025, 6(1), 3; https://doi.org/10.3390/neurosci6010003 - 4 Jan 2025
Cited by 1 | Viewed by 3687
Abstract
This review emphasises the importance of the cardiovascular response to facial cooling (FC) and breath holding in both sexes. The trigemino-cardiac reflex, triggered by FC, reduces heart rate (HR) and constricts blood vessels. When combined with breath holding, this effect intensifies, enhancing the [...] Read more.
This review emphasises the importance of the cardiovascular response to facial cooling (FC) and breath holding in both sexes. The trigemino-cardiac reflex, triggered by FC, reduces heart rate (HR) and constricts blood vessels. When combined with breath holding, this effect intensifies, enhancing the cardiodepressive impact. The cardiovascular reaction to this combination, known as the cold-water face immersion or simulated diving test, varies among individuals and depends on their cardiovascular regulatory profiles, which differ between men and women. Despite extensive research on the cardiovascular response to FC and apnoea, most studies did not categorise participants by sex, leading to a limited understanding of how it influences trigeminal nerve stimulation (TGS) and breath-hold diving (BHD). Despite attempts to address this, the existing findings remain inconsistent due to intra- and inter-individual variability. Key factors influencing the diving response include the influence of the parasympathetic system on HR, vascular sympathetic activity affecting total peripheral resistance (TPR), sensitivity to CO2, lung capacity, training, physical performance, duration of apnoea, and the stimulation of metaboreceptors in working muscles. These factors differ between men and women, potentially contributing to variations in the effectiveness of the response to the FC combined with breath holding. Full article
19 pages, 589 KB  
Article
Psychotic-like Experiences and Underlying Mechanisms: An Integrative Model of ADHD Symptoms, Rumination, Negative Affect, and Trauma Experience
by Hanna Gelner, Paulina Bagrowska, Bertus F. Jeronimus, Błażej Misiak, Jerzy Samochowiec and Łukasz Gawęda
J. Clin. Med. 2024, 13(22), 6727; https://doi.org/10.3390/jcm13226727 - 8 Nov 2024
Cited by 2 | Viewed by 5228
Abstract
Background: Psychotic-like experiences (PLEs) are low-intensity subclinical phenomena, often transient in nature. The etiology of PLEs primarily involves neurodevelopmental changes, trauma exposure, and maladaptive coping styles. Attention-Deficit/Hyperactivity Disorder (ADHD) is considered to be one of the factors that increase the risk of future [...] Read more.
Background: Psychotic-like experiences (PLEs) are low-intensity subclinical phenomena, often transient in nature. The etiology of PLEs primarily involves neurodevelopmental changes, trauma exposure, and maladaptive coping styles. Attention-Deficit/Hyperactivity Disorder (ADHD) is considered to be one of the factors that increase the risk of future psychosis. Furthermore, ADHD symptoms predict a heightened incidence of traumatic experiences, ruminative thoughts, and negative affect (NA). This present study examines whether rumination and NA mediate the relationship between ADHD symptoms and PLEs and whether trauma experiences moderate these pathways. Methods: A total of 188 participants (72% female) aged 18–35 completed questionnaires assessing ADHD symptoms and traumatic experiences and took part in a seven-day experience sampling method (ESM) procedure, completing ratings of PLEs experiences, the intensity of ruminations, and NA. Results: Correlation analysis showed significant relationships between all tested variables. Serial mediation analysis revealed a significant indirect effect of rumination and NA in the link between ADHD symptoms and PLEs. There was no significant impact of trauma experience in this relationship. Conclusions: Our study underscores the important role of rumination and NA in the co-development of ADHD symptoms and PLEs. Future research should consider investigating the intra-individual dynamics of ADHD and trauma using ecologically valid research methods in the context of PLEs to better understand these complex relationships. Full article
Show Figures

Figure 1

14 pages, 1316 KB  
Article
Graviception Uncertainty, Spatial Anxiety, and Derealization in Patients with Persistent Postural-Perceptual Dizziness
by Kathrine Jáuregui-Renaud, Rodrigo Cabrera-Pereyra, José Adán Miguel-Puga and Mónica Alcántara-Thome
J. Clin. Med. 2024, 13(22), 6665; https://doi.org/10.3390/jcm13226665 - 6 Nov 2024
Cited by 4 | Viewed by 1966
Abstract
Objectives: Persistent Postural-Perceptual Dizziness (PPPD) is a frequent diagnosis in patients with chronic dizziness, ineffective postural control, visual dependence, and emotional symptoms. Methods: 53 patients with PPPD (25–84 years old) and 53 adults (29–84 years old) with no vestibular disease agreed [...] Read more.
Objectives: Persistent Postural-Perceptual Dizziness (PPPD) is a frequent diagnosis in patients with chronic dizziness, ineffective postural control, visual dependence, and emotional symptoms. Methods: 53 patients with PPPD (25–84 years old) and 53 adults (29–84 years old) with no vestibular disease agreed to participate in this study. Assessments included: vestibular function tests (sinusoidal yaw rotation and vestibular-evoked myogenic potentials); accuracy and precision of Subjective Visual Vertical (SVV) estimation while static and during on-axis yaw rotation; static posturography with open/closed eyes and 30° neck extension, while standing on hard/soft surface; questionnaires on symptoms of unsteadiness, spatial anxiety, dizziness-related handicap, anxiety/depression, depersonalization/derealization, and perceived stress. After preliminary bivariate analyses, analysis of covariance was performed on the measurements of postural sway, spatial anxiety, and dizziness-related handicap (p < 0.05). Results: Higher intraindividual variability (reduced precision) on SVV estimations was evident in patients with PPPD compared to adults with no vestibular disease, which was related to the length of postural sway, to velocity displacement in the sagittal plane, as well as to spatial anxiety and common mental symptoms (including depersonalization/derealization symptoms). Covariance analysis showed contribution of these factors to the dizziness-related handicap reported by the patients. Conclusions: Unprecise graviception could be a contributing factor to the postural instability and mental symptoms reported by patients with PPPD, which in turn contribute to their dizziness-related handicap. Full article
(This article belongs to the Special Issue Clinical Diagnosis and Management of Vestibular Disorders)
Show Figures

Figure 1

17 pages, 2121 KB  
Article
Immune System Deficiencies Do Not Alter SARS-CoV-2 Evolutionary Rate but Favour the Emergence of Mutations by Extending Viral Persistence
by Laura Manuto, Martina Bado, Marco Cola, Elena Vanzo, Maria Antonello, Giorgia Mazzotti, Monia Pacenti, Giampaolo Cordioli, Lolita Sasset, Anna Maria Cattelan, Stefano Toppo and Enrico Lavezzo
Viruses 2024, 16(3), 447; https://doi.org/10.3390/v16030447 - 13 Mar 2024
Cited by 2 | Viewed by 2070
Abstract
During the COVID-19 pandemic, immunosuppressed patients showed prolonged SARS-CoV-2 infections, with several studies reporting the accumulation of mutations in the viral genome. The weakened immune system present in these individuals, along with the effect of antiviral therapies, are thought to create a favourable [...] Read more.
During the COVID-19 pandemic, immunosuppressed patients showed prolonged SARS-CoV-2 infections, with several studies reporting the accumulation of mutations in the viral genome. The weakened immune system present in these individuals, along with the effect of antiviral therapies, are thought to create a favourable environment for intra-host viral evolution and have been linked to the emergence of new viral variants which strongly challenged containment measures and some therapeutic treatments. To assess whether impaired immunity could lead to the increased instability of viral genomes, longitudinal nasopharyngeal swabs were collected from eight immunocompromised patients and fourteen non-immunocompromised subjects, all undergoing SARS-CoV-2 infection. Intra-host viral evolution was compared between the two groups through deep sequencing, exploiting a probe-based enrichment method to minimise the possibility of artefactual mutations commonly generated in amplicon-based methods, which heavily rely on PCR amplification. Although, as expected, immunocompromised patients experienced significantly longer infections, the acquisition of novel intra-host viral mutations was similar between the two groups. Moreover, a thorough analysis of viral quasispecies showed that the variability of viral populations in the two groups is comparable not only at the consensus level, but also when considering low-frequency mutations. This study suggests that a compromised immune system alone does not affect SARS-CoV-2 within-host genomic variability. Full article
Show Figures

Figure 1

17 pages, 2928 KB  
Article
Frequency of Atypical Mutations in the Spike Glycoprotein in SARS-CoV-2 Circulating from July 2020 to July 2022 in Central Italy: A Refined Analysis by Next Generation Sequencing
by Maria Concetta Bellocchi, Rossana Scutari, Luca Carioti, Marco Iannetta, Greta Marchegiani, Lorenzo Piermatteo, Luigi Coppola, Simona Tedde, Leonardo Duca, Vincenzo Malagnino, Lorenzo Ansaldo, Neva Braccialarghe, Stefano D′Anna, Maria Mercedes Santoro, Andrea Di Lorenzo, Romina Salpini, Elisabetta Teti, Valentina Svicher, Massimo Andreoni, Loredana Sarmati, Francesca Ceccherini-Silberstein and on behalf of the PTV-UTV-ID-COVID Groupadd Show full author list remove Hide full author list
Viruses 2023, 15(8), 1711; https://doi.org/10.3390/v15081711 - 9 Aug 2023
Cited by 5 | Viewed by 2247
Abstract
In this study, we provided a retrospective overview in order to better define SARS-CoV-2 variants circulating in Italy during the first two years of the pandemic, by characterizing the spike mutational profiles and their association with viral load (expressed as ct values), N-glycosylation [...] Read more.
In this study, we provided a retrospective overview in order to better define SARS-CoV-2 variants circulating in Italy during the first two years of the pandemic, by characterizing the spike mutational profiles and their association with viral load (expressed as ct values), N-glycosylation pattern, hospitalization and vaccination. Next-generation sequencing (NGS) data were obtained from 607 individuals (among them, 298 vaccinated and/or 199 hospitalized). Different rates of hospitalization were observed over time and among variants of concern (VOCs), both in the overall population and in vaccinated individuals (Alpha: 40.7% and 31.3%, Beta: 0%, Gamma: 36.5% and 44.4%, Delta: 37.8% and 40.2% and Omicron: 11.2% and 7.1%, respectively, both p-values < 0.001). Approximately 32% of VOC-infected individuals showed at least one atypical major spike mutation (intra-prevalence > 90%), with a distribution differing among the strains (22.9% in Alpha, 14.3% in Beta, 41.8% in Gamma, 46.5% in Delta and 15.4% in Omicron, p-value < 0.001). Overall, significantly less atypical variability was observed in vaccinated individuals than unvaccinated individuals; nevertheless, vaccinated people who needed hospitalization showed an increase in atypical variability compared to vaccinated people that did not need hospitalization. Only 5/607 samples showed a different putative N-glycosylation pattern, four within the Delta VOC and one within the Omicron BA.2.52 sublineage. Interestingly, atypical minor mutations (intra-prevalence < 20%) were associated with higher Ct values and a longer duration of infection. Our study reports updated information on the temporal circulation of SARS-CoV-2 variants circulating in Central Italy and their association with hospitalization and vaccination. The results underline how SARS-CoV-2 has changed over time and how the vaccination strategy has contributed to reducing severity and hospitalization for this infection in Italy. Full article
(This article belongs to the Special Issue Molecular Epidemiology of SARS-CoV-2: 2nd Edition)
Show Figures

Figure 1

16 pages, 349 KB  
Article
Improving Pregnant Women’s Iodine Intake Estimates and Its Prevalence of Inadequacy through the Use of Salt and Seasoning Covariates
by Débora L. F. Silva, Sandra P. Crispim, Claudia C. B. Almeida, Vanessa Schrubbe, Francilene M. Azevedo, Franciane R. de Faria, Nathalia Pizato, Renata J. Pereira, Mariana de S. Macedo and Sylvia do C. C. Franceschini
Nutrients 2023, 15(4), 846; https://doi.org/10.3390/nu15040846 - 7 Feb 2023
Cited by 4 | Viewed by 2759
Abstract
(1) Measuring usual iodine intake is a complex task due to the food consumption variability and its natural concentration in food. Therefore, the use of covariates to adjust statistical methods to estimate usual intake could improve the estimates obtained through dietary surveys. This [...] Read more.
(1) Measuring usual iodine intake is a complex task due to the food consumption variability and its natural concentration in food. Therefore, the use of covariates to adjust statistical methods to estimate usual intake could improve the estimates obtained through dietary surveys. This study aims to evaluate the influence of salt and seasoning usage covariates on the estimates of usual iodine intake and the prevalence of its inadequacy. (2) A cross-sectional study was conducted with Brazilian pregnant women’s food consumption data obtained with 24-h recall (n = 2247). The usual iodine intake was adjusted for intraindividual variability, supplement use, temporal effects, data collection methods, and sociodemographic characteristics with the tool UCD/NCI SIMPLE in the SAS software. Then, salt and seasoning usage covariates were used to adjust the distribution. The harmonized intake reference values for populations were used to assess intake adequacy. (3) The adjustments for salt and seasoning usage yielded a higher mean of usual iodine intakes. The only exception was the adjustment for the “habit of adding salt to meals after preparing/cooking”, which produced a lower mean of usual intake and increased the prevalence of insufficient intake. (4) Salt and seasoning usage covariates affect the estimates evaluated. However, more studies are necessary to evaluate the influence observed. Full article
(This article belongs to the Special Issue Dietary Surveys and Nutritional Epidemiology)
10 pages, 327 KB  
Article
Prolonged Sitting in University Students: An Intra-Individual Study Exploring Physical Activity Value as a Deterrent
by Alex C. Garn and Kelly L. Simonton
Int. J. Environ. Res. Public Health 2023, 20(3), 1891; https://doi.org/10.3390/ijerph20031891 - 19 Jan 2023
Cited by 7 | Viewed by 3071
Abstract
University students are a subpopulation of young adults highly susceptible to prolonged bouts of sitting. The purpose of this study was to investigate university students’ intra-individual patterns of prolonged daily sitting, exploring gender and physical activity value beliefs as covariates. A total of [...] Read more.
University students are a subpopulation of young adults highly susceptible to prolonged bouts of sitting. The purpose of this study was to investigate university students’ intra-individual patterns of prolonged daily sitting, exploring gender and physical activity value beliefs as covariates. A total of 71 students reported the number of days each week they spent in bouts of prolonged sitting (2 + continuous hours) over a five-week timeframe. The findings revealed that at the beginning of the study, the students spent about four days per week in prolonged bouts of sitting although there was substantial variability in the sample. Intra-individual changes over the five weeks occurred in a non-linear fashion with a variability in these trajectories. Men reported approximately one less day of prolonged sitting per week although gender did not predict changes over time. Physical activity value beliefs were negatively related to prolonged bouts of sitting when averaged across time. The results illustrate the variable nature of prolonged sitting in university student populations, highlighting the need for implementing individualized intervention strategies targeting sedentary behavior. Full article
(This article belongs to the Special Issue New Trends in Psychosocial Dimensions of Physical Activity)
11 pages, 517 KB  
Article
Cardiorespiratory Coordination in Collegiate Rowing: A Network Approach to Cardiorespiratory Exercise Testing
by Zacharias Papadakis, Michelle Etchebaster and Sergi Garcia-Retortillo
Int. J. Environ. Res. Public Health 2022, 19(20), 13250; https://doi.org/10.3390/ijerph192013250 - 14 Oct 2022
Cited by 8 | Viewed by 2691
Abstract
Collegiate rowing performance is often assessed by a cardiopulmonary exercise test (CPET). Rowers’ on-water performance involves non-linear dynamic interactions and synergetic reconfigurations of the cardiorespiratory system. Cardiorespiratory coordination (CRC) method measures the co-variation among cardiorespiratory variables. Novice (n = 9) vs. Intermediate [...] Read more.
Collegiate rowing performance is often assessed by a cardiopulmonary exercise test (CPET). Rowers’ on-water performance involves non-linear dynamic interactions and synergetic reconfigurations of the cardiorespiratory system. Cardiorespiratory coordination (CRC) method measures the co-variation among cardiorespiratory variables. Novice (n = 9) vs. Intermediate (n = 9) rowers’ CRC (H0: Novice CRC = Intermediate CRC; HA: Novice CRC < Intermediate CRC) was evaluated through principal components analysis (PCA). A female NCAA Division II team (N = 18) grouped based on their off-water performance on 6000 m time trial. Rowers completed a customized CPET to exhaustion and a variety of cardiorespiratory values were recorded. The number of principal components (PCs) and respective PC eigenvalues per group were computed on SPSS vs28. Intermediate (77%) and Novice (33%) groups showed one PC1. Novice group formed an added PC2 due to the shift of expired fraction of oxygen or, alternatively, heart rate/ventilation, from the PC1 cluster of examined variables. Intermediate rowers presented a higher degree of CRC, possible due to their increased ability to utilize the bicarbonate buffering system during the CPET. CRC may be an alternative measure to assess aerobic fitness providing insights to the complex cardiorespiratory interactions involved in rowing during a CPET. Full article
(This article belongs to the Special Issue Exercise Metabolism and Health)
Show Figures

Figure 1

10 pages, 926 KB  
Article
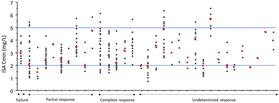
Variability of Isavuconazole Trough Concentrations during Longitudinal Therapeutic Drug Monitoring
by Léa Bolcato, Anne Thiebaut-Bertrand, Françoise Stanke-Labesque and Elodie Gautier-Veyret
J. Clin. Med. 2022, 11(19), 5756; https://doi.org/10.3390/jcm11195756 - 28 Sep 2022
Cited by 15 | Viewed by 2788
Abstract
Isavuconazole (ISA), a triazole antifungal agent, is licensed for the treatment of invasive aspergillosis and mucormycosis. Therapeutic drug monitoring (TDM) is a cornerstone of treatment efficacy for triazole antifungals due to their pharmacokinetic variability, except for ISA, for which the utility of TDM [...] Read more.
Isavuconazole (ISA), a triazole antifungal agent, is licensed for the treatment of invasive aspergillosis and mucormycosis. Therapeutic drug monitoring (TDM) is a cornerstone of treatment efficacy for triazole antifungals due to their pharmacokinetic variability, except for ISA, for which the utility of TDM is still uncertain. We performed a retrospective study that aimed to assess the inter- and intra-individual variability of ISA trough concentrations (Cmin) and to identify the determinants involved in such variability. ISA Cmin measured in adult patients at the Grenoble Alpes University Hospital between January 2018 and August 2020 were retrospectively analyzed. In total, 304 ISA Cmin for 33 patients were analyzed. The median ISA Cmin was 2.8 [25th–75th percentiles: 2.0–3.7] mg/L. The inter- and intra-individual variability was 41.5% and 30.7%, respectively. Multivariate analysis showed independent covariate effects of dose (β = 0.004 ± 3.56 × 10−4, p < 0.001), Aspartate aminotransférase (ASAT) (β = 0.002 ± 5.41 × 10−4, p = 0.002), and protein levels (β = 0.022 ± 0.004, p < 0.001) on ISA Cmin, whereas C reactive protein levels did not show any association. This study, conducted on a large number of ISA Cmin, shows that ISA exposure exhibits variability, explained in part by the ISA dose, and ASAT and protein levels. Full article
(This article belongs to the Section Pharmacology)
Show Figures

Figure 1

27 pages, 5648 KB  
Perspective
Human-in-the-Loop Optimization of Transcranial Electrical Stimulation at the Point of Care: A Computational Perspective
by Yashika Arora and Anirban Dutta
Brain Sci. 2022, 12(10), 1294; https://doi.org/10.3390/brainsci12101294 - 26 Sep 2022
Cited by 6 | Viewed by 3451
Abstract
Individual differences in the responsiveness of the brain to transcranial electrical stimulation (tES) are increasingly demonstrated by the large variability in the effects of tES. Anatomically detailed computational brain models have been developed to address this variability; however, static brain models are not [...] Read more.
Individual differences in the responsiveness of the brain to transcranial electrical stimulation (tES) are increasingly demonstrated by the large variability in the effects of tES. Anatomically detailed computational brain models have been developed to address this variability; however, static brain models are not “realistic” in accounting for the dynamic state of the brain. Therefore, human-in-the-loop optimization at the point of care is proposed in this perspective article based on systems analysis of the neurovascular effects of tES. First, modal analysis was conducted using a physiologically detailed neurovascular model that found stable modes in the 0 Hz to 0.05 Hz range for the pathway for vessel response through the smooth muscle cells, measured with functional near-infrared spectroscopy (fNIRS). During tES, the transient sensations can have arousal effects on the hemodynamics, so we present a healthy case series for black-box modeling of fNIRS–pupillometry of short-duration tDCS effects. The block exogeneity test rejected the claim that tDCS is not a one-step Granger cause of the fNIRS total hemoglobin changes (HbT) and pupil dilation changes (p < 0.05). Moreover, grey-box modeling using fNIRS of the tDCS effects in chronic stroke showed the HbT response to be significantly different (paired-samples t-test, p < 0.05) between the ipsilesional and contralesional hemispheres for primary motor cortex tDCS and cerebellar tDCS, which was subserved by the smooth muscle cells. Here, our opinion is that various physiological pathways subserving the effects of tES can lead to state–trait variability, which can be challenging for clinical translation. Therefore, we conducted a case study on human-in-the-loop optimization using our reduced-dimensions model and a stochastic, derivative-free covariance matrix adaptation evolution strategy. We conclude from our computational analysis that human-in-the-loop optimization of the effects of tES at the point of care merits investigation in future studies for reducing inter-subject and intra-subject variability in neuromodulation. Full article
(This article belongs to the Special Issue Neuromodulation for Neurological Disorders)
Show Figures

Figure 1

22 pages, 961 KB  
Article
Quiescence Generates Moving Average in a Stochastic Epidemiological Model with One Host and Two Parasites
by Usman Sanusi, Sona John, Johannes Mueller and Aurélien Tellier
Mathematics 2022, 10(13), 2289; https://doi.org/10.3390/math10132289 - 30 Jun 2022
Cited by 3 | Viewed by 2098
Abstract
Mathematical modelling of epidemiological and coevolutionary dynamics is widely being used to improve disease management strategies of infectious diseases. Many diseases present some form of intra-host quiescent stage, also known as covert infection, while others exhibit dormant stages in the environment. As quiescent/dormant [...] Read more.
Mathematical modelling of epidemiological and coevolutionary dynamics is widely being used to improve disease management strategies of infectious diseases. Many diseases present some form of intra-host quiescent stage, also known as covert infection, while others exhibit dormant stages in the environment. As quiescent/dormant stages can be resistant to drug, antibiotics, fungicide treatments, it is of practical relevance to study the influence of these two life-history traits on the coevolutionary dynamics. We develop first a deterministic coevolutionary model with two parasite types infecting one host type and study analytically the stability of the dynamical system. We specifically derive a stability condition for a five-by-five system of equations with quiescence. Second, we develop a stochastic version of the model to study the influence of quiescence on stochasticity of the system dynamics. We compute the steady state distribution of the parasite types which follows a multivariate normal distribution. Furthermore, we obtain numerical solutions for the covariance matrix of the system under symmetric and asymmetric quiescence rates between parasite types. When parasite strains are identical, quiescence increases the variance of the number of infected individuals at high transmission rate and vice versa when the transmission rate is low. However, when there is competition between parasite strains with different quiescent rates, quiescence generates a moving average behaviour which dampen off stochasticity and decreases the variance of the number of infected hosts. The strain with the highest rate of entering quiescence determines the strength of the moving average and the magnitude of reduction of stochasticity. Thus, it is worth investigating simple models of multi-strain parasite under quiescence/dormancy to improve disease management strategies. Full article
Show Figures

Figure 1

14 pages, 1461 KB  
Article
Cross-Sectional Blood Metabolite Markers of Hypertension: A Multicohort Analysis of 44,306 Individuals from the COnsortium of METabolomics Studies
by Panayiotis Louca, Ana Nogal, Aurélie Moskal, Neil J. Goulding, Martin J. Shipley, Taryn Alkis, Joni V. Lindbohm, Jie Hu, Domagoj Kifer, Ni Wang, Bo Chawes, Kathryn M. Rexrode, Yoav Ben-Shlomo, Mika Kivimaki, Rachel A. Murphy, Bing Yu, Marc J. Gunter, Karsten Suhre, Deborah A. Lawlor, Massimo Mangino and Cristina Menniadd Show full author list remove Hide full author list
Metabolites 2022, 12(7), 601; https://doi.org/10.3390/metabo12070601 - 28 Jun 2022
Cited by 17 | Viewed by 4184
Abstract
Hypertension is the main modifiable risk factor for cardiovascular morbidity and mortality but discovering molecular mechanisms for targeted treatment has been challenging. Here we investigate associations of blood metabolite markers with hypertension by integrating data from nine intercontinental cohorts from the COnsortium of [...] Read more.
Hypertension is the main modifiable risk factor for cardiovascular morbidity and mortality but discovering molecular mechanisms for targeted treatment has been challenging. Here we investigate associations of blood metabolite markers with hypertension by integrating data from nine intercontinental cohorts from the COnsortium of METabolomics Studies. We included 44,306 individuals with circulating metabolites (up to 813). Metabolites were aligned and inverse normalised to allow intra-platform comparison. Logistic models adjusting for covariates were performed in each cohort and results were combined using random-effect inverse-variance meta-analyses adjusting for multiple testing. We further conducted canonical pathway analysis to investigate the pathways underlying the hypertension-associated metabolites. In 12,479 hypertensive cases and 31,827 controls without renal impairment, we identified 38 metabolites, associated with hypertension after adjusting for age, sex, body mass index, ethnicity, and multiple testing. Of these, 32 metabolite associations, predominantly lipid (steroids and fatty acyls) and organic acids (amino-, hydroxy-, and keto-acids) remained after further adjusting for comorbidities and dietary intake. Among the identified metabolites, 5 were novel, including 2 bile acids, 2 glycerophospholipids, and ketoleucine. Pathway analysis further implicates the role of the amino-acids, serine/glycine, and bile acids in hypertension regulation. In the largest cross-sectional hypertension-metabolomics study to date, we identify 32 circulating metabolites (of which 5 novel and 27 confirmed) that are potentially actionable targets for intervention. Further in-vivo studies are needed to identify their specific role in the aetiology or progression of hypertension. Full article
(This article belongs to the Special Issue Metabolomics of Heart Failure and Its Comorbidities)
Show Figures

Figure 1

Back to TopTop