Sign in to use this feature.

Years

Between: -

Subjects

remove_circle_outline
remove_circle_outline
remove_circle_outline
remove_circle_outline
remove_circle_outline
remove_circle_outline
remove_circle_outline
remove_circle_outline

Journals

Article Types

Countries / Regions

Search Results (55)

Search Parameters:
Keywords = intercalation in clay minerals

Order results
Result details
Results per page
Select all
Export citation of selected articles as:
19 pages, 22813 KB  
Article
Sedimentary Characteristics and Formation Mechanisms of Fine-Grained Sediment Lamination: A Case Study from Well A in the Lijin Sub-Sag, Dongying Sag
by Siyuan Fan, Wanbin Meng, Mingshi Feng, Wenneng Zhao and Yanyu Gao
Minerals 2025, 15(12), 1262; https://doi.org/10.3390/min15121262 - 28 Nov 2025
Viewed by 471
Abstract
Lacustrine fine-grained sediments commonly exhibit well-developed laminations, with significant variations in structural characteristics such as thickness and continuity, which are closely related to depositional environments and genetic processes. This paper focuses on the characteristics and formation mechanisms of the upper Es4 to lower [...] Read more.
Lacustrine fine-grained sediments commonly exhibit well-developed laminations, with significant variations in structural characteristics such as thickness and continuity, which are closely related to depositional environments and genetic processes. This paper focuses on the characteristics and formation mechanisms of the upper Es4 to lower Es3 members of the Shahejie Formation in the Dongying Sag. Through polarized light microscopy, field-emission environmental scanning electron microscopy (FE-SEM), electron probe microanalysis (EPMA), and X-ray diffraction (XRD), we systematically analyzed the types, characteristics, and genetic mechanisms of laminations in fine-grained sedimentary rocks. Results indicate that the mineral composition of these rocks is dominated by carbonates and clay minerals, allowing classification into calcareous and argillaceous mudstones. The types of laminae include calcareous laminae, argillaceous laminae, and silty laminae, which are formed by chemical precipitation, suspension settling, and low-density turbidity currents, respectively. The primary lamination associations are argillaceous–calcareous interbeds and argillaceous–silty interbeds, exhibiting rhythmic cyclicity. In the upper Es4 member, variations in climate, sediment supply, and seasonal factors caused fine-grained sediments to transition from flocculent suspension settling to chemical precipitation, forming periodic intercalations of argillaceous and calcareous laminae. In the lower Es3 member, seasonal turbidity currents triggered the deposition of normally graded silty layers and fine-silty laminae, followed by a return to suspension deposition, resulting in argillaceous–silty interbeds. This study reveals diverse transport and depositional mechanisms of fine-grained sediments under varying hydrodynamic conditions. It provides a new case for understanding the genesis of fine-grained sedimentary rocks and offers geological insights for shale oil exploration and development in the Dongying Sag. Full article
Show Figures

Figure 1

23 pages, 5397 KB  
Article
Biobased Lubricating Oil Prepared from Ethyl Cellulose/Montmorillonite Additives and Waste Cooking Oil
by Sha Wang, Haoyue Wang, Zhenpeng Wang, Tao Hou, Kai Zhang, Zhuoyi Lv, Gaole Zhao, Huimin Sun, Wenkai Li and Yinan Hao
Lubricants 2025, 13(9), 417; https://doi.org/10.3390/lubricants13090417 - 17 Sep 2025
Viewed by 922
Abstract
Mineral oil-based lubricants contain harmful elements, such as sulfur and phosphorus, pose significant harm to the environment. In current research on the application of waste oils and fats in bio-based lubricants, most studies focus on single pretreatment processes or additive preparation, lacking systematic [...] Read more.
Mineral oil-based lubricants contain harmful elements, such as sulfur and phosphorus, pose significant harm to the environment. In current research on the application of waste oils and fats in bio-based lubricants, most studies focus on single pretreatment processes or additive preparation, lacking systematic investigations into the combined use of composite pretreatment and additives on lubricant performance. Moreover, the decolorization efficiency of traditional physical adsorption methods for treating waste oils and fats is limited, making it difficult to meet the raw material requirements for bio-based lubricants. The purpose of this study is to conduct composite pretreatment processes on waste oils and fats, understand the impacts of parameters such as additive dosage and environmental factors on lubricant performance, establish an environmentally friendly and performance-compliant preparation process for bio-based lubricants, and provide a theoretical basis and technical support for its industrial application. Recent studies have shown that new decolorization processes for waste oil treatment significantly improve decolorization and recovery rates, as evidenced by research comparing new and traditional methods. Pretreatment with hydrogen peroxide, activated clay, and activated carbon significantly improved the color and odor of treated waste oil, meeting standards for bio-based lubricant production. The intercalation polymerization reaction between ethyl cellulose (EC) and montmorillonite (MMT) was employed to develop an additive (CTAB-MMT/KH560-EC). A thorough investigation was performed to analyze the impact of temperature, processing time, and additive concentration on the rheological behavior. The bio-based lubricant exhibited a kinematic viscosity of 200.3 mm2/s at 40 °C and 28.3 mm2/s at 100 °C, meeting the standard conditions as outlined in ASTM D2270-10e1. This lubricant achieved an improved low-temperature performance with a pour point of −22 °C, a friction coefficient of 0.081, and an average pitting diameter of 0.94 mm, indicating its suitability for a range of applications. These lubricants exhibit outstanding viscosity characteristics, meeting the relevant requirements for energy and environmental applications in green, eco-friendly, and biodegradable sustainable development strategies while expanding their application scope. Full article
Show Figures

Figure 1

25 pages, 863 KB  
Review
Clay Minerals as Enzyme Carriers for Pollutant Removal from Wastewater: A Comprehensive Review
by Naima Sayahi, Bouthaina Othmani, Wissem Mnif, Zaina Algarni, Moncef Khadhraoui and Faouzi Ben Rebah
Minerals 2025, 15(9), 969; https://doi.org/10.3390/min15090969 - 13 Sep 2025
Viewed by 1418
Abstract
Water pollution continues to pose a critical global challenge, largely due to the unregulated discharge of industrial, agricultural, and municipal effluents. Among emerging solutions, enzymatic bioremediation stands out as a sustainable and environmentally friendly approach, offering high specificity and efficiency under mild conditions. [...] Read more.
Water pollution continues to pose a critical global challenge, largely due to the unregulated discharge of industrial, agricultural, and municipal effluents. Among emerging solutions, enzymatic bioremediation stands out as a sustainable and environmentally friendly approach, offering high specificity and efficiency under mild conditions. Nonetheless, the practical application of free enzymes is hindered by their inherent instability, poor reusability, and susceptibility to denaturation. To address these limitations, the immobilization of enzymes onto solid supports, particularly clay minerals, has garnered increasing attention. This review presents a detailed analysis of clay minerals as promising carriers for enzyme immobilization in wastewater treatment. It explores their classification, structural characteristics, and physicochemical properties, highlighting key advantages such as a large surface area, cation exchange capacity, and thermal stability. Functionalization techniques, including acid/base activation, intercalation, grafting, and pillaring, are discussed in terms of improving enzyme compatibility and catalytic performance. Various immobilization methods such as physical adsorption, covalent bonding, entrapment, crosslinking, and intercalation are critically evaluated with regard to enhancing enzyme activity, stability, and recyclability. Recent case studies demonstrate the effective removal of pollutants such as dyes, pharmaceuticals, and heavy metals using enzyme–clay composites. Despite these advances, challenges such as enzyme leaching, mass transfer resistance, and variability in clay composition persist. This review concludes by outlining future prospects, including the development of hybrid and magnetic clay-based systems and their integration into advanced water treatment technologies. Overall, enzyme immobilization on clay minerals represents a promising and scalable approach for the next generation of wastewater bioremediation strategies. Full article
Show Figures

Figure 1

21 pages, 3031 KB  
Article
Microstructural Characterization of the Mn Lepidolite Distribution in Dark Red Clay Soils
by Simona Elena Avram, Lucian Barbu Tudoran, Gheorghe Borodi and Ioan Petean
Appl. Sci. 2025, 15(12), 6445; https://doi.org/10.3390/app15126445 - 8 Jun 2025
Cited by 6 | Viewed by 1361
Abstract
Lepidolite is one of a small number of minerals that contains a significant amount of lithium. Some areas, like the Apuseni and Metalifer Mountains in Romania, present dark red layers intercalated with reddish-yellow clay soils with interesting aspects. X-ray diffraction (XRD) analysis coupled [...] Read more.
Lepidolite is one of a small number of minerals that contains a significant amount of lithium. Some areas, like the Apuseni and Metalifer Mountains in Romania, present dark red layers intercalated with reddish-yellow clay soils with interesting aspects. X-ray diffraction (XRD) analysis coupled with polarized light optical microscopy (POM) revealed that this dark red soil contains a large amount of fine microstructured lepidolite (24–35%) mixed with quartz sand and fine traces of kaolinite and muscovite. Scanning electron microscopy (SEM) elemental analysis revealed a typical clay composition with Mn traces (specific to red lepidolite), confirming POM observation. SEM also revealed fine tabular platelets of lepidolite with a maximum size of 1.5 µm surrounding quartz particles (5–50 µm), indicating the presence of numerous nano fractions. Their presence was confirmed by atomic force microscopy (AFM), which showed particle sizes ranging from 40 to 60 nm, closely matching the crystallite size estimated using the Scherrer formula. The finest fraction allows easy separation from the quartz sand through bi-distilled water washing. Quartz particles settle at the bottom of the container, while the finest lepidolite particles are easily separated. Water evaporation ensures their recovery. Thus, the enriched lepidolite powder could be utilized for specific applications in the lithium industry. On the other hand, the large number of the finest particles found in the samples investigated presents the risk of PM1, PM2.5m, and PM10 emission, with impacts on atmospheric environmental safety. Full article
(This article belongs to the Special Issue Latest Research on Geotechnical Engineering)
Show Figures

Figure 1

20 pages, 3444 KB  
Article
2,4-Dichlorophenoxyacetic Acid in the Gas and Crystal Phases and Its Intercalation in Montmorillonite—An Experimental and Theoretical Study
by Claro Ignacio Sainz-Díaz, Nelly L. Jorge, Jorge M. Romero, André Grand and Alfonso Hernández-Laguna
Molecules 2025, 30(2), 367; https://doi.org/10.3390/molecules30020367 - 17 Jan 2025
Viewed by 1931
Abstract
Many properties of 2,4-dichlorophenoxyacetic acid (2,4-D) depend on its molecular environment, such as whether it is an isolated molecule, a dimer, or in a crystalline state. The molecular geometry, conformational analysis, and vibrational spectrum of 2,4-D were theoretically calculated using Density Functional Theory [...] Read more.
Many properties of 2,4-dichlorophenoxyacetic acid (2,4-D) depend on its molecular environment, such as whether it is an isolated molecule, a dimer, or in a crystalline state. The molecular geometry, conformational analysis, and vibrational spectrum of 2,4-D were theoretically calculated using Density Functional Theory (DFT) methods. A new slightly more stable conformer was found, which is different to those previously reported. The most stable conformer shows a dimer by means of hydrogen bonds between the carboxylic groups of both molecules, which agrees with the experimental results. The crystal structure of 2,4-D was also calculated with 3D periodical boundary conditions at the DFT level. From the theoretical IR spectra, a vibrational analysis of this molecular species was accomplished, and the bands were reassigned. 1H and 13C NMR in the dissolution and solid states, respectively, showed intramolecular hydrogen bonds between carboxylic acid groups. The dimer is more stable than the isolated molecule. All these results indicated that the dimer can also exist in the solid state, which could explain the low solubility of this compound. In addition, the intercalation of 2,4-D into the confined interlayer space of montmorillonite was also calculated, and it was found that the adsorption is energetically favourable. This result was experimentally confirmed. These findings predicted that these natural clay minerals, which are found in the environment, can be excellent adsorbents for the 2,4-D pollutant. Full article
(This article belongs to the Special Issue Computational Chemistry Insights into Molecular Interactions)
Show Figures

Figure 1

23 pages, 19950 KB  
Article
Mineralogical and Maturation Considerations of the Coqueiros Formation (Campos Basin, Brazil): Insights from Multi-Technique Analyses of Source Rocks
by Gabriel A. Barberes, Flávia C. Marques, Dalva A. L. Almeida, Linus Pauling F. Peixoto, Lenize F. Maia, Antonio Carlos Sant’Ana, Gustavo F. S. Andrade, Celly M. S. Izumi, Victor Salgado-Campos, Thiago Feital, Luiz Fernando C. de Oliveira and Ana Luiza Albuquerque
Geosciences 2024, 14(11), 286; https://doi.org/10.3390/geosciences14110286 - 25 Oct 2024
Viewed by 2153
Abstract
The Coqueiros Formation, a strategic stratigraphic unit within the Lagoa Feia Group (LFG) in the Campos Basin offshore Brazil, is known for its lacustrine carbonate deposits, which include both organic-rich shales and economically important “coquina” reservoirs. While coquina facies are widely recognized as [...] Read more.
The Coqueiros Formation, a strategic stratigraphic unit within the Lagoa Feia Group (LFG) in the Campos Basin offshore Brazil, is known for its lacustrine carbonate deposits, which include both organic-rich shales and economically important “coquina” reservoirs. While coquina facies are widely recognized as reservoirs, the source-rock potential of the intercalated shales remains relatively underexplored. This study aims to characterize the mineralogy and thermal maturity of the Coqueiros Formation to assess its potential as a source rock, using a multi-technique approach integrating X-ray Diffraction (XRD), Scanning Electron Microscopy (SEM), and Raman spectroscopy analyses of shale samples from two wells: 3-BP-11-RJS and 6-DEV-18P-RJS. XRD analyses revealed a heterogeneous mineralogy dominated by carbonates (calcite and dolomite) and quartz, with significant contributions from clay minerals and trace minerals such as pyrite and barite. SEM imaging revealed a heterogeneous fabric with grain size, morphology, and porosity variations, reflecting a dynamic lacustrine depositional setting influenced by storm events and fluctuations in terrigenous input. The presence of authigenic minerals, as reported in other studies, such as saddle dolomite, mega-quartz, and various sulfides, provides evidence for hydrothermal alteration, likely related to Late Cretaceous magmatic activity in the Campos Basin. Raman spectroscopy yielded equivalent vitrinite reflectance (Ro%) values consistently exceeding 1.00, ranging from 1.03 to 1.40, indicating that the organic matter in the Coqueiros Formation shales has attained a high thermal maturity level, surpassing the oil window and reaching the condensate wet gas zone. The mineralogical and equivalent maturation data presented herein provide a valuable foundation for future studies, highlighting the complexity and heterogeneity of the Coqueiros Formation and its potential significance as a source rock within the Campos Basin petroleum system. Full article
(This article belongs to the Section Geochemistry)
Show Figures

Figure 1

17 pages, 4439 KB  
Article
The Use of Organoclays as Excipient for Metformin Delivery: Experimental and Computational Study
by Sondes Omrani, Safa Gamoudi, César Viseras, Younes Moussaoui and C. Ignacio Sainz-Díaz
Molecules 2024, 29(19), 4612; https://doi.org/10.3390/molecules29194612 - 28 Sep 2024
Cited by 1 | Viewed by 1749
Abstract
This work combines experimental and computational modeling studies for the preparation of a composite of metformin and an organoclay, examining the advantages of a Tunisian clay used for drug delivery applications. The clay mineral studied is a montmorillonite-like smectite (Sm-Na), and the organoclay [...] Read more.
This work combines experimental and computational modeling studies for the preparation of a composite of metformin and an organoclay, examining the advantages of a Tunisian clay used for drug delivery applications. The clay mineral studied is a montmorillonite-like smectite (Sm-Na), and the organoclay derivative (HDTMA-Sm) was used as a drug carrier for metformin hydrochloride (MET). In order to assess the MET loading into the clays, these materials were characterized by means of cation exchange capacity assessment, specific surface area measurement, and with the techniques of X-ray diffraction (XRD), differential scanning calorimetry, X-ray fluorescence spectroscopy, and Fourier-transformed infrared spectroscopy. Computational molecular modeling studies showed the surface adsorption process, identifying the clay–drug interactions through hydrogen bonds, and assessing electrostatic interactions for the hybrid MET/Sm-Na and hydrophobic interactions and cation exchange for the hybrid MET/HDTMA-Sm. The results show that the clays (Sm-Na and HDTMA-Sm) are capable of adsorbing MET, reaching a maximum load of 12.42 and 21.97 %, respectively. The adsorption isotherms were fitted by the Freundlich model, indicating heterogeneous adsorption of the studied adsorbate–adsorbent system, and they followed pseudo-second-order kinetics. The calculations of ΔGº indicate the spontaneous and reversible nature of the adsorption. The calculation of ΔH° indicates physical adsorption for the purified clay (Sm-Na) and chemical adsorption for the modified clay (HDTMA-Sm). The release of intercalated MET was studied in media simulating gastric and intestinal fluids, revealing that the purified clay (Sm-Na) and the modified organoclay (HDTMA-Sm) can be used as carriers in controlled drug delivery in future clinical applications. The molecular modeling studies confirmed the experimental phenomena, showing that the main adsorption mechanism is the cation exchange process between proton and MET cations into the interlayer space. Full article
(This article belongs to the Special Issue Advanced Functional Nanomaterials in Medicine and Health Care)
Show Figures

Figure 1

20 pages, 2648 KB  
Review
Recycling Clay Waste from Excavation, Demolition, and Construction: Trends and Challenges
by Liliana Carolina Hernández García, Sergio Neves Monteiro and Henry A. Colorado Lopera
Sustainability 2024, 16(14), 6265; https://doi.org/10.3390/su16146265 - 22 Jul 2024
Cited by 12 | Viewed by 6656
Abstract
The recycling of clay waste from construction debris highly depends on the chemical and mineralogical composition of the waste. Clays and clay minerals are known to be among marginal construction waste, representing an interesting opportunity and platform to produce other low-cost and low-carbon [...] Read more.
The recycling of clay waste from construction debris highly depends on the chemical and mineralogical composition of the waste. Clays and clay minerals are known to be among marginal construction waste, representing an interesting opportunity and platform to produce other low-cost and low-carbon materials due to their possibilities for functional material design, such as adsorbents, drug delivery, catalysts and photocatalysts, and nanocomposites. The present review analyzes a wide variety of mechanisms for encapsulating organic and inorganic species between the layers of clay minerals. Through the compilation of advances in acid activation, exchange of inorganic cations, intercalation, and pillarization, new applications for clay materials are generated, paving the way to a nanometric world with functional, magnetic, adsorption, and catalytic capabilities. New trends are consolidated in the reuse of recycled clays in infrastructure projects, such as hydraulic concrete, water purification, soil fertility, pigments and paints, food packaging and storage, and ceramic appliances. It is concluded that clay waste is suitable to reuse in many industrial products and construction materials, enabling a reduction in the consumption of raw materials. Full article
(This article belongs to the Special Issue Recycling Materials for the Circular Economy—2nd Edition)
Show Figures

Figure 1

21 pages, 9002 KB  
Review
Organoclays Based on Bentonite and Various Types of Surfactants as Heavy Metal Remediants
by Leonid Perelomov, Maria Gertsen, Marina Burachevskaya, S. Hemalatha, Architha Vijayalakshmi, Irina Perelomova and Yurii Atroshchenko
Sustainability 2024, 16(11), 4804; https://doi.org/10.3390/su16114804 - 5 Jun 2024
Cited by 16 | Viewed by 5358
Abstract
The rapid industrial development of civilization has led to the need for the development of new materials to clean up chemically contaminated wastewater and soils. Organoclays, based on smectite minerals and various types of surfactants, are one of the most effective sorbents for [...] Read more.
The rapid industrial development of civilization has led to the need for the development of new materials to clean up chemically contaminated wastewater and soils. Organoclays, based on smectite minerals and various types of surfactants, are one of the most effective sorbents for adsorbing organic and inorganic pollutants. Organoclays are clay minerals that have been modified by the intercalation or grafting of organic molecules. The main mechanism of interaction between organic substances and organoclays involves the adsorption of the substances onto the surface of the clay mineral, which has an expanded structural cell. Various types of surfactants can be used to synthesize organoclays, including cationic, anionic, and amphoteric surfactants. Each type of surfactant has different properties that affect the clay’s ability to sorb. Cationic forms of trace elements, such as heavy metals, can also be adsorbed by organoclays. Data on the adsorption of these substances by organoclays are provided, along with information on how to synthesize them using various surfactants. This review also discusses the main mechanisms of interaction between these substances and clays and the various methods used to create organoclays. It is clear that the adsorption of heavy metals by organoclays is not influenced by their structure or properties, as they belong to the category of surfactant, but rather by their overall chemical structure and characteristics. The wide variety of surfactant types leads to different effects on the adsorption properties of trace elements. Full article
Show Figures

Figure 1

20 pages, 2257 KB  
Article
Adsorption of Ciprofloxacin on Clay Minerals in Argentinian Santa Rosa-Corrientes Soils
by Nelly L. Jorge, María V. Garrafa, Jorge M. Romero, María J. Jorge, Lilian C. Jorge, Mario R. Delfino, Yumeida V. Meruvia-Rojas, Alfonso Hernández-Laguna and C. Ignacio Sainz-Díaz
Molecules 2024, 29(8), 1760; https://doi.org/10.3390/molecules29081760 - 12 Apr 2024
Cited by 9 | Viewed by 1866
Abstract
The presence of antibiotics in soils is increasing drastically in last decades due to the intensive farming industry and excessive human consumption. Clay minerals are one of the soil components with great adsorption capacity for organic pollutants. The study of interactions between antibiotics [...] Read more.
The presence of antibiotics in soils is increasing drastically in last decades due to the intensive farming industry and excessive human consumption. Clay minerals are one of the soil components with great adsorption capacity for organic pollutants. The study of interactions between antibiotics and mineral surfaces will give us scientific knowledge of these pollutants through soils. In this work, we study the adsorption of the antibiotic ciprofloxacin in the clay mineral fraction of soils from the Argentinian zone of Santa Rosa (Corrientes), in a collaborative research of experiments and atomistic modelling calculations of the intercalation of ciprofloxacin in the interlayer space of montmorillonite. Adsorption and desorption isotherms were performed and compared with different isotherm models. Additionally, enthalpy, entropy, and free energy were determined from equilibrium constants at a function of temperature. All these experiments and calculations lead to the conclusions that two adsorption types of ciprofloxacin are found on clay minerals: one weakly sorbed that is released during the desorption experiments, and other one strongly joined that remains in the soil. Full article
(This article belongs to the Section Green Chemistry)
Show Figures

Figure 1

15 pages, 6249 KB  
Article
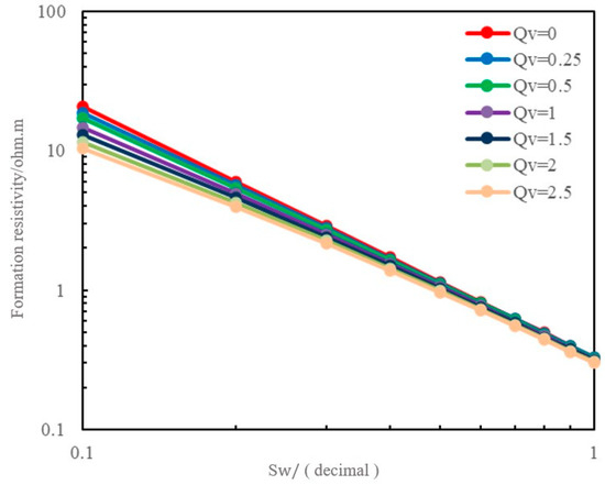
Petrophysical Analysis of Low-Contrast Oil Reservoirs with Low Porosity and Low Formation-Water Salinity in SaPu Intercalation of Longxi Area, Daqing Oilfield, China
by Jianwei Fu, Guiwen Wang and Zhipeng Xiao
Appl. Sci. 2024, 14(8), 3210; https://doi.org/10.3390/app14083210 - 11 Apr 2024
Cited by 1 | Viewed by 1782
Abstract
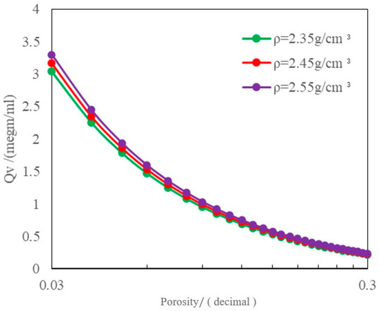
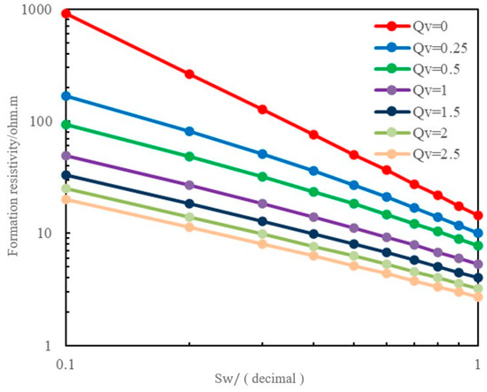
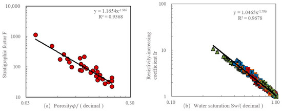
Low-contrast oil reservoirs have a complicated origin story that frequently results from the interaction of several different factors. The low-contrast oil reservoirs in the Daqing Oilfield’s SaPu intercalation in the Longxi Region are the main subjects of this study. This work investigates the [...] Read more.
Low-contrast oil reservoirs have a complicated origin story that frequently results from the interaction of several different factors. The low-contrast oil reservoirs in the Daqing Oilfield’s SaPu intercalation in the Longxi Region are the main subjects of this study. This work investigates the petrophysical origins of these low-resistivity oil reservoirs through a series of carefully planned petrophysical experiments. The results showed that the main determinants of the low-contrast oil reservoirs in the SaPu intercalation were the conductivity of clay minerals and a high irreducible water saturation. A low clay conductivity had a significant effect, resulting in a significant reduction in the formation resistivity, even in circumstances with a low porosity and a low formation-water salinity. Moreover, the results from the NMR tests revealed that the irreducible water saturation in the core samples primarily ranged from 0.6 to 0.8, suggesting a significant prevalence. This work provides strong petrophysical indices for evaluating low-resistivity oil reservoirs in the SaPu intercalation and useful information for the petrophysical evaluation of similar reservoirs. Full article
(This article belongs to the Section Earth Sciences)
Show Figures

Figure 1

20 pages, 2337 KB  
Article
Preparation of Melamine Formaldehyde Foam and a Melamine-Formaldehyde-Organo-Clay Nanocomposite and Hybrid Composites
by Ahmet Gürses and Elif Şahin
Minerals 2023, 13(11), 1407; https://doi.org/10.3390/min13111407 - 2 Nov 2023
Cited by 11 | Viewed by 3806
Abstract
Mineral fillers can be added to thermoset polymers to improve thermal conductivity and deformation behavior, shrinkage, impact strength, dimensional stability and molding cycle time. This study aims to prepare various hybrid composites (MFHCs) using melamine formaldehyde foam (MF), a melamine formaldehyde organo-clay nanocomposite [...] Read more.
Mineral fillers can be added to thermoset polymers to improve thermal conductivity and deformation behavior, shrinkage, impact strength, dimensional stability and molding cycle time. This study aims to prepare various hybrid composites (MFHCs) using melamine formaldehyde foam (MF), a melamine formaldehyde organo-clay nanocomposite (MFNC) and also pumice as primary filler, and gypsum, kaolinite and a hollow glass sphere as secondary filler. It also focuses on the study of some mechanical properties and thermal conductivities, as well as their microscopic and spectroscopic characterization. For this, firstly, organo-clay was prepared with the solution intercalation method using montmorillonite, a cationic surfactant and long-chain hydrocarbon material, and then was produced using a melamine formaldehyde nanocomposite with in situ synthesis using a melamine formaldehyde pre-polymer and organo-clay. Finally, hybrid composites were prepared by blending various minerals and the produced nanocomposite. For morphological and textural characterization, both FTIR spectroscopy and XRD spectra, as well as SEM and HRTEM images of the raw montmorillonite (MMT), organo-montmorillonite (OMMT), pure polymer (MF) and prepared hybrid composites, were used. Spectroscopic and microscopic analyses have shown that materials with different textural arrangements and properties are obtained depending on effective adhesion interactions between polymer–clay nanocomposite particles and filler grains. Mechanical and thermal conductivity test results showed that melamine-formaldehyde-organo-clay nanocomposite foam (MFCNC) exhibited a very good thermal insulation performance despite its weak mechanical strength (λ: 0.0640 W/m K). On the other hand, among hybrid composites, it has been determined that the hybrid composite containing hollow glass beads (MFCPHHC) is a material with superior properties in terms of thermal insulation and mechanical strength (λ: 0.642 W/m K, bulk density: 0.36 g/cm3, bending strength: 228.41 Mpa, modulus of elasticity: 2.22 Mpa and screw holding resistance: 3.59 N/mm2). Full article
Show Figures

Figure 1

17 pages, 11117 KB  
Article
Research on the Harmless Treatment of Weak Muddy Intercalation in Red-Bedded Soft Rock via Microwave Energy
by Qijun Hu, Yucheng Gu, Zhicheng Liu, Junsen Zeng, Wenjin Zhang, Leping He and Muyao Li
Minerals 2023, 13(10), 1327; https://doi.org/10.3390/min13101327 - 13 Oct 2023
Cited by 3 | Viewed by 1764
Abstract
The WMI (weak muddy intercalation) is a typical weak structural surface in the red-bedded rock mass; ensuring slope stability by increasing the strength of the WMIs helps reduce project costs and carbon emissions. With the advantages of energy saving, high efficiency, and green, [...] Read more.
The WMI (weak muddy intercalation) is a typical weak structural surface in the red-bedded rock mass; ensuring slope stability by increasing the strength of the WMIs helps reduce project costs and carbon emissions. With the advantages of energy saving, high efficiency, and green, microwave technology has attracted scholars’ attention to geotechnical material property improvement. However, the mineral composition of the WMIs is complex and variable, and the applicability of microwave technology needs further evaluation. In this paper, the effects of microwave temperature and clay mineral types and content on the physical and mechanical properties of the WMIs were evaluated. The results show that microwave heating can substantially improve the uniaxial compressive strength of the WMIs, regardless of the types and content of clay minerals. Dehydration, dehydroxylation of clay minerals, and local melting of albite occurring in the specimens under microwave heating enhanced the strength of the soil particles and the interparticle joints. The strength increase ratios of the WMI specimens increased with the temperature increase. With the increase in clay mineral content, the strength increase ratio of kaolinite WMIs and illite WMIs decreased, while the strength increase ratios of montmorillonite WMIs increased. The present multiple regression analysis methods are used to establish the strength prediction models of the WMI microwave-reinforced specimens, which can guide the engineering application. Full article
Show Figures

Figure 1

16 pages, 4629 KB  
Article
Thermal Stability and Resistance to Biodegradation of Humic Acid Adsorbed on Clay Minerals
by Igor Danilin, Inna Tolpeshta, Yulia Izosimova, Lev Pozdnyakov, Andrey Stepanov and Olga Salimgareeva
Minerals 2023, 13(10), 1310; https://doi.org/10.3390/min13101310 - 10 Oct 2023
Cited by 5 | Viewed by 2682
Abstract
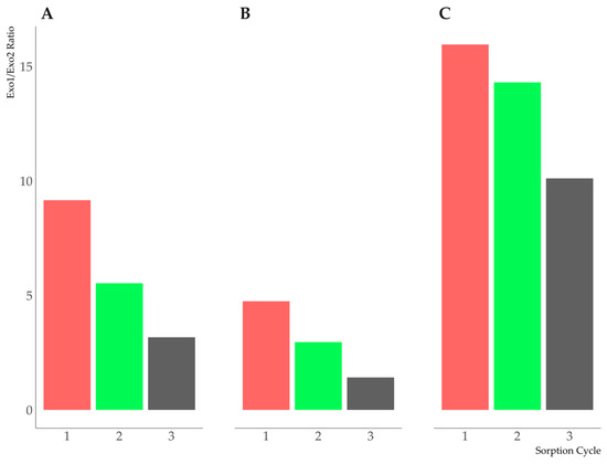
This article studies sorption regularities and evaluates thermal stability and resistance to microbial degradation of humic acid during three sorption cycles on bentonite clay, kaolinite, and muscovite using TGA/DSC, XRD, hydrophobic chromatography, light and electron microscopy, etc. The experiment revealed that kaolinite sorbed [...] Read more.
This article studies sorption regularities and evaluates thermal stability and resistance to microbial degradation of humic acid during three sorption cycles on bentonite clay, kaolinite, and muscovite using TGA/DSC, XRD, hydrophobic chromatography, light and electron microscopy, etc. The experiment revealed that kaolinite sorbed more humic acids (HAs) in terms of unit surface area (1.03 × 10−3 C, g/m2) compared to bentonite (0.35 × 10−3 C, g/m 10−3 g/m2). Sorption at pH 4.5 showed HA fractionation in amphiphilicity and chemical composition. HA was sorbed on the surface of all sorbents, mainly via hydrophobic components. No intercalation of HA into the interlayer spaces of montmorillonite was observed during sorption. Sorption via hydrophilic interactions was mostly performed on muscovite and bentonite rather than on kaolinite. Sorption of HA resulted in changes in its chemical composition and decreased C/N compared to free HA, which demonstrated selective sorption of nitrogen-containing compounds more typical of muscovite. All minerals adsorbed only a relatively thermolabile HA fraction, while its thermal stability increased compared to that before the experiment. The thermal stability and ratio of the Exo2/Exo1 peak areas on the DSC curves of sorbed HA increased with each subsequent sorption cycle. We revealed the following relationship between thermal stability and resistance to microbial oxidation of the sorbed HA: The higher the thermal stability, the less available the sorbed HA becomes for utilization by microorganisms. Full article
(This article belongs to the Section Clays and Engineered Mineral Materials)
Show Figures

Figure 1

17 pages, 12177 KB  
Article
Preparation, Features, and Efficiency of Nanocomposite Fertilisers Based on Glauconite and Ammonium Dihydrogen Phosphate
by Maxim Rudmin, Boris Makarov, Adrián López-Quirós, Prokopiy Maximov, Valeria Lokteva, Kanipa Ibraeva, Alexander Kurovsky, Yana Gummer and Alexey Ruban
Materials 2023, 16(18), 6080; https://doi.org/10.3390/ma16186080 - 5 Sep 2023
Cited by 8 | Viewed by 2664
Abstract
This paper studies the chemical and mechanochemical preparation of glauconite with ammonium dihydrogen phosphate (ADP) nanocomposites with a ratio of 9:1 in the vol.% and wt.%, respectively. The methods include X-ray diffraction analysis, scanning electron microscope with energy-dispersive X-ray spectroscopy, transmission electron microscopy, [...] Read more.
This paper studies the chemical and mechanochemical preparation of glauconite with ammonium dihydrogen phosphate (ADP) nanocomposites with a ratio of 9:1 in the vol.% and wt.%, respectively. The methods include X-ray diffraction analysis, scanning electron microscope with energy-dispersive X-ray spectroscopy, transmission electron microscopy, infrared spectroscopy, and differential thermal analysis with a quadruple mass spectrometer. The manufactured nanocomposites keep the flaky glauconite structure. Some glauconite unit structures have been thickened due to minimal nitrogen (ammonium) intercalation into the interlayer space. The globular, granular, or pellet mineral particles of nanocomposites can be preserved via chemical techniques. Globular and micro-aggregate particles in nanocomposites comprise a thin film of adsorbed ADP. The two-step mechanochemical method makes it possible to slightly increase the proportion of adsorbed (up to 3.2%) and intercalated (up to 6.0%) nutrients versus chemical ways. Nanocomposites prepared via chemical methods consist of glauconite (90%), adsorbed (1.8–3.6%), and intercalated (3.0–3.7%) substances of ADP. Through the use of a potassium-containing clay mineral as an inhibitor, nitrogen, phosphorus, and potassium (NPK), nanocomposite fertilisers of controlled action were obtained. Targeted and controlled release of nutrients such as phosphate, ammonium, and potassium are expected due to various forms of nutrients on the surface, in the micropores, and in the interlayer space of glauconite. This is confirmed via the stepwise dynamics of the release of ammonium, nitrate, potassium, and phosphate from their created nanocomposites. These features of nanocomposites contribute to the stimulation of plant growth and development when fertilisers are applied to the soil. Full article
(This article belongs to the Section Porous Materials)
Show Figures

Figure 1

Back to TopTop