Sign in to use this feature.

Years

Between: -

Subjects

remove_circle_outline
remove_circle_outline
remove_circle_outline
remove_circle_outline
remove_circle_outline
remove_circle_outline
remove_circle_outline
remove_circle_outline
remove_circle_outline

Journals

Article Types

Countries / Regions

Search Results (49)

Search Parameters:
Keywords = in-field calibration

Order results
Result details
Results per page
Select all
Export citation of selected articles as:
27 pages, 13385 KB  
Article
In-Field Load Acquisitions on a Variable Chamber Round Baler Using Instrumented Hub Carriers and a Dynamometric Towing Pin
by Filippo Coppola, Andrea Ruffin and Giovanni Meneghetti
Appl. Sci. 2025, 15(15), 8579; https://doi.org/10.3390/app15158579 - 1 Aug 2025
Viewed by 311
Abstract
In this work, the load spectra acting in the vertical direction on the hub carriers and in the horizontal longitudinal direction on the drawbar of a trailed variable chamber round baler were evaluated. To this end, each hub carrier was instrumented with appropriately [...] Read more.
In this work, the load spectra acting in the vertical direction on the hub carriers and in the horizontal longitudinal direction on the drawbar of a trailed variable chamber round baler were evaluated. To this end, each hub carrier was instrumented with appropriately calibrated strain gauge bridges. Similarly, the baler was equipped with a dynamometric towing pin, instrumented with strain gauge sensors and calibrated in the laboratory, which replaced the original pin connecting the baler and the tractor during the in-field load acquisitions. In both cases, the calibration tests returned the relationship between applied forces and output signals of the strain gauge bridges. Multiple in-field load acquisitions were carried out under typical maneuvers and operating conditions. The synchronous acquisition of a video via an onboard camera and Global Positioning System (GPS) signal allowed to observe the behaviour of the baler in correspondence of particular trends of the vertical and horizontal loads and to point out the most demanding maneuver in view of the fatigue resistance of the baler. Finally, through the application of a rainflow cycle counting algorithm according to ASTM E1049-85, the load spectrum for each maneuver was derived. Full article
(This article belongs to the Section Mechanical Engineering)
Show Figures

Figure 1

27 pages, 7785 KB  
Article
Estimation of Potato Growth Parameters Under Limited Field Data Availability by Integrating Few-Shot Learning and Multi-Task Learning
by Sen Yang, Quan Feng, Faxu Guo and Wenwei Zhou
Agriculture 2025, 15(15), 1638; https://doi.org/10.3390/agriculture15151638 - 29 Jul 2025
Viewed by 463
Abstract
Leaf chlorophyll content (LCC), leaf area index (LAI), and above-ground biomass (AGB) are important growth parameters for characterizing potato growth and predicting yield. While deep learning has demonstrated remarkable advancements in estimating crop growth parameters, the limited availability of field data often compromises [...] Read more.
Leaf chlorophyll content (LCC), leaf area index (LAI), and above-ground biomass (AGB) are important growth parameters for characterizing potato growth and predicting yield. While deep learning has demonstrated remarkable advancements in estimating crop growth parameters, the limited availability of field data often compromises model accuracy and generalizability, impeding large-scale regional applications. This study proposes a novel deep learning model that integrates multi-task learning and few-shot learning to address the challenge of low data in growth parameter prediction. Two multi-task learning architectures, MTL-DCNN and MTL-MMOE, were designed based on deep convolutional neural networks (DCNNs) and multi-gate mixture-of-experts (MMOE) for the simultaneous estimation of LCC, LAI, and AGB from Sentinel-2 imagery. Building on this, a few-shot learning framework for growth prediction (FSLGP) was developed by integrating simulated spectral generation, model-agnostic meta-learning (MAML), and meta-transfer learning strategies, enabling accurate prediction of multiple growth parameters under limited data availability. The results demonstrated that the incorporation of calibrated simulated spectral data significantly improved the estimation accuracy of LCC, LAI, and AGB (R2 = 0.62~0.73). Under scenarios with limited field measurement data, the multi-task deep learning model based on few-shot learning outperformed traditional mixed inversion methods in predicting potato growth parameters (R2 = 0.69~0.73; rRMSE = 16.68%~28.13%). Among the two architectures, the MTL-MMOE model exhibited superior stability and robustness in multi-task learning. Independent spatiotemporal validation further confirmed the potential of MTL-MMOE in estimating LAI and AGB across different years and locations (R2 = 0.37~0.52). These results collectively demonstrated that the proposed FSLGP framework could achieve reliable estimation of crop growth parameters using only a very limited number of in-field samples (approximately 80 samples). This study can provide a valuable technical reference for monitoring and predicting growth parameters in other crops. Full article
(This article belongs to the Section Artificial Intelligence and Digital Agriculture)
Show Figures

Figure 1

19 pages, 2377 KB  
Article
Field Evaluation of a Portable Multi-Sensor Soil Carbon Analyzer: Performance, Precision, and Limitations Under Real-World Conditions
by Lucas Kohl, Clarissa Vielhauer, Atilla Öztürk, Eva-Maria L. Minarsch, Christian Ahl, Wiebke Niether, John Clifton-Brown and Andreas Gattinger
Soil Syst. 2025, 9(3), 67; https://doi.org/10.3390/soilsystems9030067 - 27 Jun 2025
Viewed by 1005
Abstract
Soil organic carbon (SOC) monitoring is central to carbon farming Monitoring, Reporting, and Verification (MRV), yet high laboratory costs and sparse sampling limit its scalability. We present the first independent field validation of the Stenon FarmLab multi-sensor probe across 100 temperate European arable-soil [...] Read more.
Soil organic carbon (SOC) monitoring is central to carbon farming Monitoring, Reporting, and Verification (MRV), yet high laboratory costs and sparse sampling limit its scalability. We present the first independent field validation of the Stenon FarmLab multi-sensor probe across 100 temperate European arable-soil samples, benchmarking its default outputs and a simple pH-corrected model against three laboratory reference methods: acid-treated TOC, temperature-differentiated TOC (SoliTOC), and total carbon dry combustion. Uncorrected FarmLab algorithms systematically overestimated SOC by +0.20% to +0.27% (SD = 0.25–0.28%), while pH adjustment reduced bias to +0.11% and tightened precision to SD = 0.23%. Volumetric moisture had no significant effect on measurement error (r = −0.14, p = 0.16). Bland–Altman and Deming regression demonstrated improved agreement after pH correction, but formal equivalence testing (accuracy, precision, concordance) showed that no in-field model fully matched laboratory standards—the pH-corrected variant passed accuracy and concordance evaluation yet failed the precision criterion (p = 0.0087). At ~EUR 3–4 per measurement versus ~EUR 44 for lab analysis, FarmLab facilitates dense spatial sampling. We recommend a hybrid monitoring strategy combining routine, pH-corrected in-field mapping with laboratory-based recalibrations alongside expanded calibration libraries, integrated bulk density measurement, and adaptive machine learning to achieve both high-resolution and certification-grade rigor. Full article
Show Figures

Figure 1

15 pages, 5328 KB  
Article
One-Point Calibration of Low-Cost Sensors for Particulate Air Matter (PM) Concentration Measurement
by Luigi Russi, Paolo Guidorzi, Giovanni Semprini, Arianna Trentini and Beatrice Pulvirenti
Sensors 2025, 25(3), 692; https://doi.org/10.3390/s25030692 - 24 Jan 2025
Cited by 2 | Viewed by 1142
Abstract
The use of low-cost sensors has dramatically increased in recent years in all engineering sectors. In the buildings and automotive field, low-cost sensors open very interesting perspectives, because they allow one to monitor temperature and humidity distributions together with air quality in a [...] Read more.
The use of low-cost sensors has dramatically increased in recent years in all engineering sectors. In the buildings and automotive field, low-cost sensors open very interesting perspectives, because they allow one to monitor temperature and humidity distributions together with air quality in a widespread and punctual way and allow for the control of all energy parameters. The main issue remains the validation of the measurements. In this work, we propose an innovative approach to verify the measurements given by some low-cost systems built ad hoc for automotive applications. Two independent low-cost measurement systems were set to measure Particulate Air Matter (PM) concentration, TVOC concentration, CO2 concentration, formaldehyde concentration, air temperature, relative humidity, pressure, air flow velocity, and GPS position. These systems were calibrated for PM concentration measurement by comparison with standard and certified sensors used by the regional authority of the Emilia-Romagna region (ARPAE, Italy) for characterizing air quality. The duration of the analysis, three days, is not representative of the diverse environmental conditions that occur across different seasons. However, the innovation of this approach lies in both the in-field comparison of low-cost and high-quality sensors and the use of proper conversion approaches for mass concentration measurements. A quantitative analysis of the sensors’ performance is given, with a focus on the effects of time granularity, relative humidity, mass conversion from particle counts, and size detection response. The results show that the low-cost sensors’ measurements of air temperature, relative humidity, and particle number concentration are in good agreement with high-quality sensors’ measurements, with a strong impact of relative humidity on performance indicators. Overall, good quality and consistency of the data among the sensors were achieved. Full article
(This article belongs to the Special Issue Integrated Sensor Systems for Environmental Applications)
Show Figures

Figure 1

14 pages, 5548 KB  
Article
Phased Array Antenna Calibration Based on Autocorrelation Algorithm
by Xuan Luong Nguyen, Nguyen Trong Nhan, Thanh Thuy Dang Thi, Tran Van Thanh, Phung Bao Nguyen and Nguyen Duc Trien
Sensors 2024, 24(23), 7496; https://doi.org/10.3390/s24237496 - 24 Nov 2024
Cited by 2 | Viewed by 2027
Abstract
The problem of calibrating phased array antennas in a noisy environment using an autocorrelation algorithm is investigated and a mathematical model of the autocorrelation calibration method is presented. The proposed calibration system is based on far-field scanning of the phased array antenna in [...] Read more.
The problem of calibrating phased array antennas in a noisy environment using an autocorrelation algorithm is investigated and a mathematical model of the autocorrelation calibration method is presented. The proposed calibration system is based on far-field scanning of the phased array antenna in an environment with internal noise and external interference. The proposed method is applied to a phased array antenna and compared with traditional rotating-element electric-field vector methods, which involve identifying the maximum and minimum vector–sum points (REVmax and REVmin, respectively). The proposed calibration system is verified for a phased array antenna at 3 GHz. Experimental verification of the mathematical model of the proposed method demonstrates that the autocorrelation method is more accurate than the rotating-element electric-field vector methods in determining the amplitude and phase shifts. The measured peak gain of the combined beam in the E-plane increased from 7.83 to 8.37 dB and 3.57 to 4.36 dB compared to the REVmax and REVmin methods, respectively, and the phase error improved from 47° to 55.48° and 19.43° to 29.16°, respectively. The proposed method can be considered an effective solution for large-scale phase calibration at both in-field and in-factory levels, even in the presence of external interference. Full article
(This article belongs to the Section Communications)
Show Figures

Figure 1

23 pages, 7255 KB  
Article
Exploring the Relationship Between Very-High-Resolution Satellite Imagery Data and Fruit Count for Predicting Mango Yield at Multiple Scales
by Benjamin Adjah Torgbor, Priyakant Sinha, Muhammad Moshiur Rahman, Andrew Robson, James Brinkhoff and Luz Angelica Suarez
Remote Sens. 2024, 16(22), 4170; https://doi.org/10.3390/rs16224170 - 8 Nov 2024
Cited by 2 | Viewed by 1801
Abstract
Tree- and block-level prediction of mango yield is important for farm operations, but current manual methods are inefficient. Previous research has identified the accuracies of mango yield forecasting using very-high-resolution (VHR) satellite imagery and an ’18-tree’ stratified sampling method. However, this approach still [...] Read more.
Tree- and block-level prediction of mango yield is important for farm operations, but current manual methods are inefficient. Previous research has identified the accuracies of mango yield forecasting using very-high-resolution (VHR) satellite imagery and an ’18-tree’ stratified sampling method. However, this approach still requires infield sampling to calibrate canopy reflectance and the derived block-level algorithms are unable to translate to other orchards due to the influences of abiotic and biotic conditions. To better appreciate these influences, individual tree yields and corresponding canopy reflectance properties were collected from 2015 to 2021 for 1958 individual mango trees from 55 orchard blocks across 14 farms located in three mango growing regions of Australia. A linear regression analysis of the block-level data revealed the non-existence of a universal relationship between the 24 vegetation indices (VIs) derived from VHR satellite data and fruit count per tree, an outcome likely due to the influence of location, season, management and cultivar. The tree-level fruit count predicted using a random forest (RF) model trained on all calibration data produced a percentage root mean squared error (PRMSE) of 26.5% and a mean absolute error (MAE) of 48 fruits/tree. The lowest PRMSEs produced from RF-based models developed from location, season and cultivar subsets at the individual tree level ranged from 19.3% to 32.6%. At the block level, the PRMSE for the combined model was 10.1% and the lowest values for the location, seasonal and cultivar subset models varied between 7.2% and 10.0% upon validation. Generally, the block-level predictions outperformed the individual tree-level models. Maps were produced to provide mango growers with a visual representation of yield variability across orchards. This enables better identification and management of the influence of abiotic and biotic constraints on production. Future research could investigate the causes of spatial yield variability in mango orchards. Full article
Show Figures

Figure 1

21 pages, 8060 KB  
Article
Total Least Squares In-Field Identification for MEMS-Based Inertial Measurement Units
by Massimo Duchi and Edoardo Ida’
Robotics 2024, 13(11), 156; https://doi.org/10.3390/robotics13110156 - 23 Oct 2024
Cited by 1 | Viewed by 3664
Abstract
Inertial Measurement Units are widely used in various applications and, hardware-wise, they primarily consist of a tri-axial accelerometer and a tri-axial gyroscope. For low-end commercial employments, the low cost of the device is crucial: this makes MEMS-based sensors a popular choice in this [...] Read more.
Inertial Measurement Units are widely used in various applications and, hardware-wise, they primarily consist of a tri-axial accelerometer and a tri-axial gyroscope. For low-end commercial employments, the low cost of the device is crucial: this makes MEMS-based sensors a popular choice in this context. However, MEMS-based transducers are prone to significant, non-uniform and environmental-condition-dependent systematic errors, that require frequent re-calibration to be eliminated. To this end, identification methods that can be performed in-field by non-expert users, without the need for high-precision or costly equipment, are of particular interest. In this paper, we propose an in-field identification procedure based on the Total Least Squares method for both tri-axial accelerometers and gyroscopes. The proposed identification model is linear and requires no prior knowledge of the parameters to be identified. It enables accelerometer calibration without the need for specific reference surface orientation relative to Earth’s gravity and allows gyroscope calibration to be performed independently of accelerometer data, without requiring the sensor’s sensitive axes to be aligned with the rotation axes during calibration. Experiments conducted on NXP sensors FXOS8700CQ and FXAS21002 demonstrated that using parameters identified by our method reduced cross-validation standard deviations by about two orders of magnitude compared to those obtained using manufacturer-provided parameters. This result indicates that our method enables the effective calibration of IMU sensor parameters, relying only on simple 3D-printed equipment and significantly improving IMU performance at minimal cost. Full article
Show Figures

Figure 1

21 pages, 12495 KB  
Article
Direct Current to Digital Converter (DIDC): A Current Sensor
by Saeid Karimpour, Michael Sekyere, Isaac Bruce, Emmanuel Nti Darko, Degang Chen, Colin C. McAndrew, Doug Garrity, Xiankun Jin, Ilhan Hatirnaz and Chen He
Sensors 2024, 24(21), 6789; https://doi.org/10.3390/s24216789 - 22 Oct 2024
Cited by 1 | Viewed by 1713
Abstract
This paper introduces a systematic approach to the design of Direct Current-to-Digital Converter (DIDC) specifically engineered to overcome the limitations of traditional current measurement methodologies in System-on-Chip (SoC) designs. The proposed DIDC addresses critical challenges such as high power consumption, large area requirements, [...] Read more.
This paper introduces a systematic approach to the design of Direct Current-to-Digital Converter (DIDC) specifically engineered to overcome the limitations of traditional current measurement methodologies in System-on-Chip (SoC) designs. The proposed DIDC addresses critical challenges such as high power consumption, large area requirements, and the need for intermediate analog signals. By incorporating a current mirror in a cascode topology and managing the current across multiple binary-sized branches with the Successive Approximation Register (SAR) logic, the design achieves precise current measurement. A simple comparator, coupled with an isolation circuit, ensures accurate and reliable sensing. Fabricated using the TSMC 180 nm process, the DIDC achieves 8-bit precision without the need for nonlinearity calibration, showcasing remarkable energy efficiency with an energy per conversion of 1.52 pJ, power consumption of 117 µW, and a compact area of 0.016 mm². This innovative approach not only reduces power consumption and area, but also provides a scalable and efficient solution for next-generation semiconductor technologies. The ability to conduct online measurements during both standard operations and in-field conditions significantly enhances the performance and reliability of SoCs, making this DIDC a promising advancement in the field. Full article
(This article belongs to the Special Issue CMOS Integrated Circuits for Sensor Applications)
Show Figures

Figure 1

4 pages, 5386 KB  
Proceeding Paper
Hybrid Transient-Machine Learning Methodology for Leak Detection in Water Transmission Mains
by Caterina Capponi, Andrea Menapace, Silvia Meniconi, Daniele Dalla Torre, Maurizio Tavelli, Maurizio Righetti and Bruno Brunone
Eng. Proc. 2024, 69(1), 142; https://doi.org/10.3390/engproc2024069142 - 15 Sep 2024
Viewed by 914
Abstract
This contribution proposes a hybrid approach integrating transient test-based techniques with machine learning for automatic leak detection in water transmission mains. Transient numerical simulations calibrated using experimental tests are used to develop a data-driven method based on neural networks to identify leak locations [...] Read more.
This contribution proposes a hybrid approach integrating transient test-based techniques with machine learning for automatic leak detection in water transmission mains. Transient numerical simulations calibrated using experimental tests are used to develop a data-driven method based on neural networks to identify leak locations and characteristics. The accuracy of leak localization is demonstrated using three different degrees of noise in terms of mean absolute error, ranging between 0.54 m and 2.1 m. This proposed hybrid approach shows prospects for in-field applications. Full article
Show Figures

Figure 1

17 pages, 1913 KB  
Article
First in-Lab Testing of a Cost-Effective Prototype for PM2.5 Monitoring: The P.ALP Assessment
by Giacomo Fanti, Francesca Borghi, Cody Wolfe, Davide Campagnolo, Justin Patts, Andrea Cattaneo, Andrea Spinazzè, Emanuele Cauda and Domenico Maria Cavallo
Sensors 2024, 24(18), 5915; https://doi.org/10.3390/s24185915 - 12 Sep 2024
Cited by 1 | Viewed by 1129
Abstract
The goal of the present research was to assess, under controlled laboratory conditions, the accuracy and precision of a prototype device (named ‘P.ALP’: Ph.D. Air-quality Low-cost Project) developed for PM2.5 concentration level monitoring. Indeed, this study follows a complementary manuscript (previously published) [...] Read more.
The goal of the present research was to assess, under controlled laboratory conditions, the accuracy and precision of a prototype device (named ‘P.ALP’: Ph.D. Air-quality Low-cost Project) developed for PM2.5 concentration level monitoring. Indeed, this study follows a complementary manuscript (previously published) focusing on the in-field evaluation of the device’s performance. Four P.ALP prototypes were co-located with the reference instrument in a calm-air aerosol chamber at the NIOSH laboratories in Pittsburgh, PA (USA), used by the Center for Direct Reading and Sensor Technologies. The devices were tested for 10 monitoring days under several exposure conditions. To evaluate the performance of the prototypes, different approaches were employed. After the data from the devices were stored and prepared for analysis, to assess the accuracy (comparing the reference instrument with the prototypes) and the precision (comparing all the possible pairs of devices) of the P.ALPs, linear regression analysis was performed. Moreover, to find out the applicability field of this device, the US EPA’s suggested criteria were adopted, and to assess error trends of the prototype in the process of data acquisition, Bland–Altman plots were built. The findings show that, by introducing ad hoc calibration factors, the P.ALP’s performance needs to be further implemented, but the device can monitor the concentration trend variations with satisfying accuracy. Overall, the P.ALP can be involved in and adapted to a wide range of applications because of the inexpensive nature of the components, the small dimensions, and the high data storage capacity. Full article
Show Figures

Figure 1

27 pages, 8356 KB  
Article
Concept and Realisation of ISFET-Based Measurement Modules for Infield Soil Nutrient Analysis and Hydroponic Systems
by Vadim Riedel, Stefan Hinck, Edgar Peiter and Arno Ruckelshausen
Electronics 2024, 13(13), 2449; https://doi.org/10.3390/electronics13132449 - 22 Jun 2024
Cited by 5 | Viewed by 2483
Abstract
Ion-selective field-effect transistors (ISFETs) offer potential as micro-sensors for in situ monitoring of complex target variables in real-time closed loop actions. This article presents the concept and realisation of application-specific ISFET-based measurement systems for two different agricultural domains: infield soil measurements and hydroponic [...] Read more.
Ion-selective field-effect transistors (ISFETs) offer potential as micro-sensors for in situ monitoring of complex target variables in real-time closed loop actions. This article presents the concept and realisation of application-specific ISFET-based measurement systems for two different agricultural domains: infield soil measurements and hydroponic systems. Commercially available ISFETs were integrated as multi-sensor modules as well as single-sensor units for the measurement of plant-available nutrients, such as H2PO4, NO3, K+ or NH4+, and pH-values. Moreover, application-relevant pH values as well as temperatures for calibration purposes were measured. ISFETs were selected according to the relevant measurement dynamics for the applications. For the development and testing procedures, a laboratory setup was built up. Supported by reference materials, the outputs of the ISFETs were evaluated with respect to stability under the influence of disturbance variables, reproducibility and settling time. The results were used to develop new readout electronics. Next to stability, conditioning and calibration processes were relevant. The micro-sensors were integrated in new application-specific mechatronic handling systems and process flows. The realisation and tests are presented as well as first measurements in outdoor fields and indoor hydroponic environments. Full article
(This article belongs to the Special Issue Intelligent Sensor Systems Applied in Smart Agriculture)
Show Figures

Figure 1

17 pages, 6045 KB  
Article
Is It Possible to Measure the Quality of Sugarcane in Real-Time during Harvesting Using Onboard NIR Spectroscopy?
by Lucas de Paula Corrêdo, José Paulo Molin and Ricardo Canal Filho
AgriEngineering 2024, 6(1), 64-80; https://doi.org/10.3390/agriengineering6010005 - 9 Jan 2024
Cited by 4 | Viewed by 3449
Abstract
In-field quality prediction in agricultural products is mainly based on near-infrared spectroscopy (NIR). However, initiatives applied to sugarcane quality are only observed under laboratory-controlled conditions. This study proposed a framework for NIR spectroscopy sensing to measure sugarcane quality during a real harvest operation. [...] Read more.
In-field quality prediction in agricultural products is mainly based on near-infrared spectroscopy (NIR). However, initiatives applied to sugarcane quality are only observed under laboratory-controlled conditions. This study proposed a framework for NIR spectroscopy sensing to measure sugarcane quality during a real harvest operation. A platform was built to support the system composed of the NIR sensor and external lighting on the elevator of a sugarcane harvester. Real-time data were acquired in commercial fields. Georeferenced samples were collected for calibration, validation, and adjustment of the multivariate models by partial least squares (PLS) regression. In addition, subsamples of defibrated cane were NIR-acquired for the development of calibration transfer models by piecewise direct standardization (PDS). The method allowed the adjustment of the spectra collected in real time to predict the quality properties of soluble solids content (Brix), apparent sucrose in juice (Pol), fiber, cane Pol, and total recoverable sugar (TRS). The results of the relative mean square error of prediction (RRMSEP) were from 1.80 to 2.14%, and the ratio of interquartile performance (RPIQ) was from 1.79 to 2.46. The PLS-PDS models were applied to data acquired in real-time, allowing estimation of quality properties and identification of the existence of spatial variability in quality. The results showed that it is possible to monitor the spatial variability of quality properties in sugarcane in the field. Future studies with a broader range of quality attribute values and the evaluation of different configurations for sensing devices, calibration methods, and data processing are needed. The findings of this research will enable a valuable spatial information layer for the sugarcane industry, whether for agronomic decision-making, industrial operational planning, or financial management between sugar mills and suppliers. Full article
(This article belongs to the Topic Current Research on Intelligent Equipment for Agriculture)
Show Figures

Figure 1

17 pages, 14765 KB  
Article
Advanced Ultrasonic Inspection of Thick-Section Composite Structures for In-Field Asset Maintenance
by James A. Quinn, James R. Davidson, Ankur Bajpai, Conchúr M. Ó Brádaigh and Edward D. McCarthy
Polymers 2023, 15(15), 3175; https://doi.org/10.3390/polym15153175 - 26 Jul 2023
Cited by 6 | Viewed by 2892
Abstract
An investigation into the inspection capabilities of in-field advanced ultrasound detection for use on ultra-thick (20 to 100 mm) glass fibre-reinforced polyester composites is presented. Plates were manufactured using custom moulding techniques, such that delamination flaws were created at calibrated depths. The full [...] Read more.
An investigation into the inspection capabilities of in-field advanced ultrasound detection for use on ultra-thick (20 to 100 mm) glass fibre-reinforced polyester composites is presented. Plates were manufactured using custom moulding techniques, such that delamination flaws were created at calibrated depths. The full matrix capture technique with an on-board total focussing method was used to detect flaws scanned by a 0.5 MHz linear array probe. Flaw through-thickness dimensions were altered to assess the threshold for crack face separation at which delaminations could be identified. Furthermore, part thickness and in-plane flaw dimensions were varied to identify the inspection capability limitations of advanced ultrasonics for thick composites. The results presented in this study demonstrate an inverse relationship between the ability to find delaminations and plate thicknesses, with inspections successful at depths up to 74 mm. When the delamination thickness exhibited surface-to-surface contact, the inspection capability was reduced to 35 mm. There was an exponential decay relationship between the accuracy of the flaw depth measurement and plate thickness, likely due to the necessity of low probe frequencies. The effective inspection depth was determined to be in the range of 1 to 20 times the wavelength. It is speculated that the accuracy of measurements could be improved using probes with novel coupling solutions, and detectors with optimised signal processing/filtration algorithms. Full article
(This article belongs to the Section Polymer Composites and Nanocomposites)
Show Figures

Figure 1

26 pages, 5521 KB  
Article
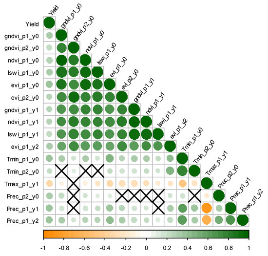
Integrating Remote Sensing and Weather Variables for Mango Yield Prediction Using a Machine Learning Approach
by Benjamin Adjah Torgbor, Muhammad Moshiur Rahman, James Brinkhoff, Priyakant Sinha and Andrew Robson
Remote Sens. 2023, 15(12), 3075; https://doi.org/10.3390/rs15123075 - 12 Jun 2023
Cited by 21 | Viewed by 4964
Abstract
Accurate pre-harvest yield forecasting of mango is essential to the industry as it supports better decision making around harvesting logistics and forward selling, thus optimizing productivity and reducing food waste. Current methods for yield forecasting such as manually counting 2–3% of the orchard [...] Read more.
Accurate pre-harvest yield forecasting of mango is essential to the industry as it supports better decision making around harvesting logistics and forward selling, thus optimizing productivity and reducing food waste. Current methods for yield forecasting such as manually counting 2–3% of the orchard can be accurate but are very time inefficient and labour intensive. More recent evaluations of technological solutions such as remote (satellite) and proximal (on ground) sensing have provided very encouraging results, but they still require infield in-season sampling for calibration, the technology comes at a significant cost, and commercial availability is limited, especially for vehicle-mounted sensors. This study presents the first evaluation of a ”time series”—based remote sensing method for yield forecasting of mango, a method that does not require infield fruit counts and utilizes freely available satellite imagery. Historic yield data from 2015 to 2022 were sourced from 51 individual orchard blocks from two farms (AH and MK) in the Northern Territory of Australia. Time series measures of the canopy reflectance properties of the blocks were obtained from Landsat 7 and 8 satellite data for the 2015–2022 growing seasons. From the imagery, the following vegetation indices (VIs) were derived: EVI, GNDVI, NDVI, and LSWI, whilst corresponding weather variables (rainfall (Prec), temperature (Tmin/Tmax), evapotranspiration (ETo), solar radiation (Rad), and vapor pressure deficit (vpd)) were also sourced from SILO data. To determine the relationships among weather and remotely sensed measures of canopy throughout the growing season and the yield achieved (at the block level and the farm level), six machine learning (ML) algorithms, namely random forest (RF), support vector regression (SVR), eXtreme gradient boosting (XGBOOST), RIDGE, LASSO and partial least square regression (PLSR), were trialed. The EVI/GNDVI and Prec/Tmin were found to be the best RS and weather predictors, respectively. The block-level combined RS/weather-based RF model for 2021 produced the best result (MAE = 2.9 t/ha), marginally better than the RS only RF model (MAE = 3.4 t/ha). The farm-level model error (FLEM) was generally lower than the block-level model error, for both the combined RS/weather-based RF model (farm = 3.7%, block (NMAE) = 33.6% for 2021) and the RS-based model (farm = 4.3%, block = 38.4% for 2021). Further testing of the RS/weather-based RF models over six additional orchards (other than AH and MK) produced errors ranging between 24% and 39% from 2016 to 2020. Although accuracies of prediction did vary at both the block level and the farm level, this preliminary study demonstrates the potential of a ”time series” RS method for predicting mango yields. The benefits to the mango industry are that it utilizes freely available imagery, requires no infield calibration, and provides predictions several months before the commercial harvest. Therefore, this outcome not only presents a more adoptable option for the industry, but also better supports automation and scalability in terms of block-, farm-, regional, and national level forecasting. Full article
Show Figures

Figure 1

28 pages, 4776 KB  
Article
Low-Cost Indirect Measurements for Power-Efficient In-Field Optimization of Configurable Analog Front-Ends with Self-X Properties: A Hardware Implementation
by Qummar Zaman, Senan Alraho and Andreas König
Chips 2023, 2(2), 102-129; https://doi.org/10.3390/chips2020007 - 1 May 2023
Cited by 3 | Viewed by 2559
Abstract
This paper presents a practical implementation and measurement results of power-efficient chip performance optimization, utilizing low-cost indirect measurement methods to support self-X properties (self-calibration, self-healing, self-optimization, etc.) for in-field optimization of analog front-end sensory electronics with XFAB 0.35 µm complementary metal oxide semiconductor [...] Read more.
This paper presents a practical implementation and measurement results of power-efficient chip performance optimization, utilizing low-cost indirect measurement methods to support self-X properties (self-calibration, self-healing, self-optimization, etc.) for in-field optimization of analog front-end sensory electronics with XFAB 0.35 µm complementary metal oxide semiconductor (CMOS) technology. The reconfigurable, fully differential indirect current-feedback instrumentation amplifier (CFIA) performance is intrinsically optimized by employing a single test sinusoidal signal stimulus and measuring the total harmonic distortion (THD) at the output. To enhance the optimization process, the experience replay particle swarm optimization (ERPSO) algorithm is utilized as an artificial intelligence (AI) agent, implemented at the hardware level, to optimize the performance characteristics of the CFIA. The ERPSO algorithm extends the selection producer capabilities of the classical PSO methodology by incorporating an experience replay buffer to mitigate the likelihood of being trapped in local optima. Furthermore, the CFIA circuit has been integrated with a simple power-monitoring module to assess the power consumption of the optimization solution, to achieve a power-efficient and reliable configuration. The optimized chip performance showed an approximate 34% increase in power efficiency while achieving a targeted THD value of −72 dB, utilizing a 1 Vp-p differential input signal with a frequency of 1 MHz, and consuming approximately 53 mW of power. Preliminary tests conducted on the fabricated chip, using the default configuration pattern extrapolated from post-layout simulations, revealed an unacceptable performance behavior of the CFIA. Nevertheless, the proposed in-field optimization successfully restored the circuit’s performance, resulting in a robust design that meets the performance achieved in the design phase. Full article
Show Figures

Figure 1

Back to TopTop