Sign in to use this feature.

Years

Between: -

Subjects

remove_circle_outline
remove_circle_outline
remove_circle_outline
remove_circle_outline
remove_circle_outline
remove_circle_outline
remove_circle_outline
remove_circle_outline
remove_circle_outline

Journals

remove_circle_outline
remove_circle_outline
remove_circle_outline
remove_circle_outline
remove_circle_outline
remove_circle_outline
remove_circle_outline
remove_circle_outline
remove_circle_outline
remove_circle_outline
remove_circle_outline
remove_circle_outline

Article Types

Countries / Regions

remove_circle_outline
remove_circle_outline
remove_circle_outline
remove_circle_outline

Search Results (475)

Search Parameters:
Keywords = impulse detection

Order results
Result details
Results per page
Select all
Export citation of selected articles as:
10 pages, 261 KB  
Article
Emotional Dysregulation and Stress-Related Psychopathology in Workers Exposed to Occupational Stress
by Antonello Veltri, Maria Francesca Beatino, Martina Corsi, Martina Chiumiento, Fabrizio Caldi, Giovanni Guglielmi, Rudy Foddis, Giulio Perugi and Rodolfo Buselli
Behav. Sci. 2026, 16(1), 105; https://doi.org/10.3390/bs16010105 - 13 Jan 2026
Abstract
Emotional dysregulation (ED) reflects a heightened reactivity to stimuli, characterized by excessive negative affect and impulsive behaviors. This study aimed to evaluate ED in workers seeking care for occupational stress and to examine its associations with sociodemographic characteristics, occupational stress, and the severity [...] Read more.
Emotional dysregulation (ED) reflects a heightened reactivity to stimuli, characterized by excessive negative affect and impulsive behaviors. This study aimed to evaluate ED in workers seeking care for occupational stress and to examine its associations with sociodemographic characteristics, occupational stress, and the severity of anxiety and depressive symptoms. Eighty-seven workers referred for work-related stress were assessed using the Psychological Stress Measure (PSM) and the Job Content Questionnaire (JCQ) for stress, the Beck Depression Inventory-II (BDI-II) and the Self-Rating Anxiety Scale (SAS) for psychopathology, and the RIPoSt-40 for ED. Group comparisons and correlation analyses were conducted using parametric or non-parametric tests, as appropriate. Forty-six percent of participants met criteria for Adjustment Disorders and 54% for Major Depressive Disorder. No significant differences between diagnostic groups emerged for ED or symptom severity. Women reported higher perceived stress and anxiety than men. Negative ED domains—affective instability, negative emotionality, and emotional impulsivity—showed moderate-to-strong positive correlations with stress, anxiety, and depressive symptoms. Affective instability was also related to job stress dimensions, correlating negatively with decision latitude and positively with job demands. Negative emotional dysregulation appears to be a transdiagnostic vulnerability factor for stress-related psychopathology. Screening for ED may support early detection and targeted preventive interventions in occupational settings. Full article
(This article belongs to the Special Issue Workplace Health and Wellbeing)
25 pages, 6277 KB  
Article
Enhancing Hydrological Model Calibration for Flood Prediction in Dam-Regulated Basins with Satellite-Derived Reservoir Dynamics
by Chaoqun Li, Huan Wu, Lorenzo Alfieri, Yiwen Mei, Nergui Nanding, Zhijun Huang, Ying Hu and Lei Qu
Remote Sens. 2026, 18(2), 193; https://doi.org/10.3390/rs18020193 - 6 Jan 2026
Viewed by 154
Abstract
The construction and operation of reservoirs have made hydrological processes complex, posing challenges to flood modeling. While many hydrological models have incorporated reservoir operation schemes to improve discharge estimation, the influence of reservoir representation on model calibration has not been sufficiently evaluated—an issue [...] Read more.
The construction and operation of reservoirs have made hydrological processes complex, posing challenges to flood modeling. While many hydrological models have incorporated reservoir operation schemes to improve discharge estimation, the influence of reservoir representation on model calibration has not been sufficiently evaluated—an issue that fundamentally affects the spatial reliability of distributed modeling. Additionally, the limited availability of reservoir regulation data impedes dam-inclusive flood simulation. To overcome these limitations, this study proposes a synergistic modeling framework for data-scarce dammed basins. It integrates a satellite-based reservoir operation scheme into a distributed hydrological model and incorporates reservoir processes into the model calibration procedure. The framework was tested using the coupled version of the DRIVE flood model (DRIVE-Dam) in the Nandu River Basin, southern China. Two calibration configurations, with and without dam operation (CWD vs. CWOD), were compared. Results show that reservoir dynamics were effectively reconstructed by combining satellite altimetry with FABDEM topography, successfully supporting the development of the reservoir scheme. Multi-site comparisons indicate that, while CWD slightly improved streamflow estimation (NSE and KGE > 0.75, similar to CWOD) on the calibrated outlet gauge, it enhanced basin-internal process representation, as evidenced by the superior peak discharge and flood event capture with reduced bias, boosting flood detection probability from 0.54 to 0.60 and reducing false alarms from 0.28 to 0.15. The improvements stem from refined parameterization enabled by a physically complete model structure. In contrast, CWOD leads to subdued flood impulses and prolonged recession due to spurious parameters that distort baseflow and runoff response. The proposed methodology provides a practical reference for flood forecasting in dam-regulated basins, demonstrating that reservoir representation enhances model parameterization and underscoring the strong potential of satellite observations for hydrological modeling in data-limited regions. Full article
Show Figures

Figure 1

12 pages, 234 KB  
Article
Associations of ADHD and Borderline Personality Disorder with Suicidality in Adolescents: Additive and Interactive Effects
by Bartłomiej Sporniak, Przemysław Zakowicz and Monika Szewczuk-Bogusławska
J. Clin. Med. 2026, 15(1), 224; https://doi.org/10.3390/jcm15010224 - 27 Dec 2025
Viewed by 304
Abstract
Background/Objectives: Suicidal behaviors are a major clinical concern in adolescents, particularly among those with disorders marked by emotion dysregulation and impulsivity. Although attention-deficit/hyperactivity disorder (ADHD) and borderline personality disorder (BPD) each heighten suicide risk, little is known about whether their occurrence confers [...] Read more.
Background/Objectives: Suicidal behaviors are a major clinical concern in adolescents, particularly among those with disorders marked by emotion dysregulation and impulsivity. Although attention-deficit/hyperactivity disorder (ADHD) and borderline personality disorder (BPD) each heighten suicide risk, little is known about whether their occurrence confers additive or interactive effects in youth. This study examined whether ADHD and BPD diagnoses show additive or interactive associations with the suicide risk in adolescents. Methods: In this cross-sectional observational clinical study, the sample included 108 Polish adolescents (66.7% female; aged 13–17 years) recruited from inpatient and outpatient psychiatric settings (Independent Public Healthcare Facility, Children and Youth Treatment Center in Zabór, the Youth Sociotherapy Center No. 2 in Wrocław, and the District Educational Center in Jerzmanice-Zdrój (Poland)). The data collection for our study was conducted between May 2024 and July 2025. Diagnoses and suicide risk were assessed using the Mini International Neuropsychiatric Interview for Children and Adolescents (MINI-KID 7.02). Associations of ADHD and BPD with suicide risk were tested using linear and logistic regression models while accounting for age, sex, the current depressive episode, and the use of psychiatric medications. Results: Unadjusted analyses revealed significant main, but not interactive, associations of BPD and ADHD with suicide risk. When covariates were included in the model, BPD remained strongly associated with suicidality severity and with the presence of any suicide risk (adjusted OR = 7.00, 95% CI [1.55–31.57]), whereas the association between ADHD and suicidality was attenuated and did not reach conventional levels of statistical significance (adjusted OR = 3.48, 95% CI [0.93–13.08]). No statistically detectable ADHD × BPD interaction was observed. Estimates for ADHD were directionally consistent across models but characterized by wide confidence intervals. Conclusions: Adolescents with BPD appear to be at particularly high risk of suicide and should receive focused assessment, safety planning, and early intervention as part of routine care. In contrast, suicidality among adolescents with ADHD appears to be influenced by co-occurring clinical conditions, and its independent association with suicide risk remains statistically uncertain after adjustment. Clinicians should therefore remain alert to suicidality in youth with ADHD, while paying particular attention to accompanying symptoms and comorbid diagnoses that may further increase risk. Full article
(This article belongs to the Section Mental Health)
18 pages, 659 KB  
Article
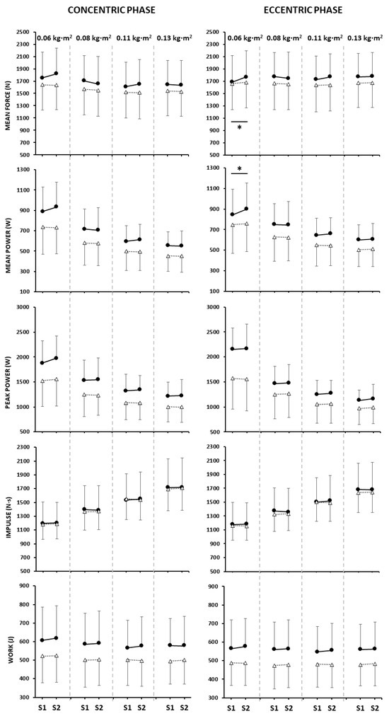
Assessing Reliability in Flywheel Squat Performance: The Role of Sex and Inertial Load
by Priscila Torrado, Michel Marina and Jorge Salse-Batán
J. Funct. Morphol. Kinesiol. 2026, 11(1), 4; https://doi.org/10.3390/jfmk11010004 - 24 Dec 2025
Viewed by 253
Abstract
Objectives: We examined the effects of sex and inertia on within-session reliability of flywheel half-squat performance outcomes. Methods: A total of 21 males and 25 females (aged 24.9 and 23.6, respectively) performed two sets of six valid repetitions using four inertial [...] Read more.
Objectives: We examined the effects of sex and inertia on within-session reliability of flywheel half-squat performance outcomes. Methods: A total of 21 males and 25 females (aged 24.9 and 23.6, respectively) performed two sets of six valid repetitions using four inertial loads. Mean force, mean and peak power, impulse, and work were recorded during concentric and eccentric phases. Intraclass correlation coefficient (ICC), coefficient of variation (CV), typical error (TE), smallest worthwhile change (SWC), and minimal detectable change were calculated. A three-way repeated measures ANOVA was used to identify systematic differences and interaction effects. Results: Regardless of inertia or contraction phase, both males and females demonstrated excellent between-set reliability (ICC > 0.803 in males and superior to 0.946 in females) across all variables. Although males showed slightly higher CV values, CVs were good for all variables (≤9%). Overall, good sensitivity (SWC > TE) was observed in the four inertias, with marginal sensitivity (TE > SWC) more frequently observed for the power-related outcomes. Whereas no interactions between Sex × Set × Inertia were observed among the variables, significant interactions between Inertia × Sex were observed in both contraction phases for power-related variables (eccentric peak power, p < 0.001; concentric mean power, p = 0.032). Conclusions: reliability was excellent across all moments of inertia and contraction phases for both sexes, highlighting the importance of considering inertia configuration and sex differences when profiling performance outcomes. Full article
(This article belongs to the Section Athletic Training and Human Performance)
Show Figures

Figure 1

21 pages, 6402 KB  
Technical Note
Adaptive Kalman Filter-Based Impulsive Noise Cancellation for Broadband Active Noise Control in Sensitive Environments
by Lichuan Liu, Lilin Du and Xianwen Wu
Acoustics 2026, 8(1), 1; https://doi.org/10.3390/acoustics8010001 - 23 Dec 2025
Viewed by 341
Abstract
Impulsive noise poses a significant challenge to broadband feedforward active noise control (ANC) systems, particularly in sensitive environments such as infant incubators. This paper presents an adaptive impulsive noise cancellation approach based on the Kalman filter, designed to improve noise attenuation performance under [...] Read more.
Impulsive noise poses a significant challenge to broadband feedforward active noise control (ANC) systems, particularly in sensitive environments such as infant incubators. This paper presents an adaptive impulsive noise cancellation approach based on the Kalman filter, designed to improve noise attenuation performance under nonstationary and impulsive interference. The proposed framework integrates impulsive noise detection with a Kalman filter-based suppression scheme. Simulation studies are conducted to evaluate the performance of the combined system in comparison to traditional ANC methods, such as Filtered-x Least Mean Square (FxLMS) and Filtered-x Normalized LMS (FxNLMS). Results demonstrate that the Kalman filter can effectively reduce the influence of impulsive disturbances without degrading overall broadband noise cancellation. A case study involving an infant incubator illustrates the practical effectiveness and robustness of the proposed technique in a real-world healthcare application. The findings support the integration of Kalman filter-based adaptive control in future ANC designs targeting impulsive noise environments. Full article
Show Figures

Figure 1

21 pages, 1138 KB  
Article
Explainable Deep Learning for Bearing Fault Diagnosis: Architectural Superiority of ResNet-1D Validated by SHAP
by Milos Poliak, Lukasz Pawlik and Damian Frej
Electronics 2025, 14(24), 4875; https://doi.org/10.3390/electronics14244875 - 11 Dec 2025
Viewed by 374
Abstract
Rolling element bearing fault diagnosis (BFD) is fundamental to Predictive Maintenance (PdM) strategies for rotating machinery, as early anomaly detection prevents catastrophic failures, reduces unplanned downtime, and optimizes operational costs. This study introduces an interpretable Deep Learning (DL) framework that rigorously compares the [...] Read more.
Rolling element bearing fault diagnosis (BFD) is fundamental to Predictive Maintenance (PdM) strategies for rotating machinery, as early anomaly detection prevents catastrophic failures, reduces unplanned downtime, and optimizes operational costs. This study introduces an interpretable Deep Learning (DL) framework that rigorously compares the performance of an Artificial Neural Network–Multilayer Perceptron (ANN-MLP), a one-dimensional Convolutional Neural Network (1D-CNN), and a ResNet-1D architecture for classifying seven bearing health states using a compact vector of 15 statistical features extracted from vibration signals. Both baseline models (ANN-MLP and 1D-CNN) failed to detect the critical Abrasive Particles fault (F1 = 0.0000). In contrast, the ResNet-1D architecture achieved statistically superior diagnostic performance, successfully resolving the most challenging class with a perfect F1-score of 1.0000 and an overall macro F1-score of 0.9913. This superiority was confirmed by a paired t-test on 100 bootstrap samples, establishing a highly significant difference in performance against the 1D-CNN (t=592.702, p=0.00000). To boost transparency and trust, the SHapley Additive exPlanations (SHAP) method was applied to interpret the ResNet-1D’s decisions. The SHAP analysis revealed that the Crest Factor from Sensor 1 (Crest_1) exerts the strongest influence on the critical Abrasive Particles fault predictions, physically validating the model’s intelligence against established domain knowledge of impulsive wear events. These findings support transparent, highly reliable, and evidence-based decision-making in industrial PdM applications within Industry 4.0 environments. Full article
Show Figures

Figure 1

32 pages, 37329 KB  
Article
Movement Artifact Direction Estimation Based on Signal Processing Analysis of Single-Frame Images
by Woottichai Nonsakhoo and Saiyan Saiyod
Sensors 2025, 25(24), 7487; https://doi.org/10.3390/s25247487 - 9 Dec 2025
Viewed by 648
Abstract
Movement artifact direction and magnitude are critical parameters in noise detection and image analysis, especially for single-frame images where temporal information is unavailable. This paper introduces the Movement Artifact Direction Estimation (MADE) algorithm, a signal processing-based approach that performs 3D geometric analysis to [...] Read more.
Movement artifact direction and magnitude are critical parameters in noise detection and image analysis, especially for single-frame images where temporal information is unavailable. This paper introduces the Movement Artifact Direction Estimation (MADE) algorithm, a signal processing-based approach that performs 3D geometric analysis to estimate both the direction (in degrees) and weighted quantity (in pixels) of movement artifacts. Motivated by computational challenges in medical image quality assessment systems such as LUIAS, this work investigates directional multiplicative noise characterization using controlled experimental conditions with optical camera imaging. The MADE algorithm operates on multi-directional quantification outputs from a preprocessing pipeline—MAPE, ROPE, and MAQ. The methodology is designed for computational efficiency and instantaneous processing, providing interpretable outputs. Experimental results using precision-controlled apparatus demonstrate robust estimation of movement artifact direction and magnitude across a range of image shapes and velocities, with principal outputs aligning closely to ground truth parameters. The proposed MADE algorithm offers a methodological proof of concept for movement artifact analysis in single-frame images, emphasizing both directional accuracy and quantitative assessment under controlled imaging conditions. Full article
(This article belongs to the Special Issue Innovative Sensing Methods for Motion and Behavior Analysis)
Show Figures

Figure 1

29 pages, 3619 KB  
Article
Bearing Fault Diagnosis via FMD with Parameters Optimized by an Improved Crested Porcupine Optimizer
by Ping Pan, Hao Liu, Bing Lei and Xiaohong Tang
Sensors 2025, 25(23), 7339; https://doi.org/10.3390/s25237339 - 2 Dec 2025
Viewed by 358
Abstract
Feature Mode Decomposition (FMD) can effectively extract bearing fault features even in the case of strong interference noise by means of adaptive finite impulse response filter banks along with correlated kurtosis. Nevertheless, the filter length L and the number of decomposition modes K [...] Read more.
Feature Mode Decomposition (FMD) can effectively extract bearing fault features even in the case of strong interference noise by means of adaptive finite impulse response filter banks along with correlated kurtosis. Nevertheless, the filter length L and the number of decomposition modes K need to be predefined carefully in a manual way. Otherwise, mismatched parameters could lead to redundant components or even missed detection of fault information. To mitigate the reliance on manual parameter setting, recent studies have introduced optimization algorithms such as the Whale Optimization Algorithm and the Crested Porcupine Optimizer to find the optimal parameters for FMD. However, such methods usually suffer from the dilemma of easily premature convergence in global search and long-time consumption in local fine adjustment, rendering them with difficulty in meeting the requirements of real-time and accurate diagnosis. Therefore, this paper proposes an improved Crested Porcupine Optimizer (ICPO), which can dynamically balance global and local exploitation. Furthermore, a bearing fault diagnosis method named ICPO-FMD is constructed, wherein the optimal parameter combination of K and L obtained using ICPO is provided to FMD in order to decompose bearing signals into a family of intrinsic mode functions (IMFs), and then fault sensitive components are extracted according to the proposed IMF screening principle. Finally, a reconstructed signal is obtained, followed by an envelope demodulation analysis. Experiments on simulation, laboratory and engineering signals demonstrate that the proposed method can accurately extract the fault characteristic frequency and its harmonics. Full article
(This article belongs to the Special Issue Deep Learning Based Intelligent Fault Diagnosis)
Show Figures

Figure 1

20 pages, 1536 KB  
Article
Contrastive Learning-Based One-Class Classification for Intelligent Manufacturing System
by Seunghwan Song
Machines 2025, 13(12), 1109; https://doi.org/10.3390/machines13121109 - 1 Dec 2025
Viewed by 428
Abstract
Time-series anomaly detection is imperative for ensuring reliability and safety in intelligent manufacturing systems. However, real-world environments typically provide only normal operating data and exhibit significant periodicity, noise, imbalance, and domain variability. The present study proposes CL-OCC, a contrastive learning-based one-class framework that [...] Read more.
Time-series anomaly detection is imperative for ensuring reliability and safety in intelligent manufacturing systems. However, real-world environments typically provide only normal operating data and exhibit significant periodicity, noise, imbalance, and domain variability. The present study proposes CL-OCC, a contrastive learning-based one-class framework that integrates seasonal-trend decomposition using loess (STL) for structure-preserving temporal augmentation, a cosine-regularized soft boundary for compact normal-region formation, and variance-preserving regularization to prevent latent collapse. A convolutional recurrent encoder is first pretrained via an autoencoder objective and subsequently optimized through a unified loss that balances contrastive invariance, soft-boundary constraint, and variance dispersion. Experiments on semiconductor equipment data and three public benchmarks demonstrate that CL-OCC provides competitive or superior performance relative to reconstruction-, prediction-, and contrastive-based baselines. CL-OCC exhibits smoother anomaly trajectories, earlier detection of gradual drifts, and strong robustness to noise, window-length variation, and extreme class imbalance. A study of the effects of ablation and interaction on the stability of representations indicates that STL-based augmentation, boundary shaping, and variance regularization contribute complementary benefits to this stability. While the qualitative results indicate limited sensitivity to extremely short impulsive disturbances, the proposed framework delivers a generalizable and stable solution for unsupervised industrial monitoring, with promising potential for extension to multi-resolution analysis and online prognostics and health management (PHM) applications. Full article
(This article belongs to the Special Issue Smart Manufacturing and Industrial Automation, 2nd Edition)
Show Figures

Figure 1

14 pages, 4161 KB  
Article
Diffusion-Plating Al2O3 Film for Friction and Corrosion Protection of Marine Sensors
by Yaoyao Liu, Longbo Li, Daling Wei, Kangwei Xu, Liangliang Liu, Long Li and Zhongzhen Wu
Micromachines 2025, 16(12), 1344; https://doi.org/10.3390/mi16121344 - 28 Nov 2025
Viewed by 359
Abstract
To extend the service life of sensors in seawater, this work prepared an integrated diffusion-plated Al2O3 film using high-power impulse magnetron sputtering (HiPIMS). The tribological properties of the Al2O3 film in a marine environment were tested using [...] Read more.
To extend the service life of sensors in seawater, this work prepared an integrated diffusion-plated Al2O3 film using high-power impulse magnetron sputtering (HiPIMS). The tribological properties of the Al2O3 film in a marine environment were tested using a tribometer. The morphology and evolution of the Al2O3 film before and after the friction tests were investigated by characterization techniques such as field emission scanning electron microscopy (FESEM). The results demonstrate that the Al2O3 film exhibits excellent tribological performance in the marine environment, significantly enhancing the wear resistance of the substrate material. Furthermore, with the protection of the Al2O3 film, the designed pressure sensor achieved high-sensitivity detection of minute operational forces underwater. When applied to a robotic gripper for manipulation tasks, the coated underwater sensor enabled accurate perception of subtle motion states of the grasped objects. Full article
(This article belongs to the Special Issue Micro-Energy Harvesting Technologies and Self-Powered Sensing Systems)
Show Figures

Figure 1

32 pages, 21875 KB  
Article
Robust Sparse Non-Negative Matrix Factorization for Identifying Signals of Interest in Bearing Fault Detection
by Hamid Shiri and Anna Michalak
Sensors 2025, 25(22), 7041; https://doi.org/10.3390/s25227041 - 18 Nov 2025
Viewed by 460
Abstract
Bearings are among the most failure-prone components in rotating systems, making early fault detection crucial in industrial applications. While recent publications have focused on this issue, challenges remain, particularly in dealing with heavy-tailed or non-cyclic impulsive noise in recorded signals. Such noise poses [...] Read more.
Bearings are among the most failure-prone components in rotating systems, making early fault detection crucial in industrial applications. While recent publications have focused on this issue, challenges remain, particularly in dealing with heavy-tailed or non-cyclic impulsive noise in recorded signals. Such noise poses significant challenges for classical fault selectors like kurtosis-based methods. Moreover, many deep-learning approaches struggle in these environments, as they often assume Gaussian or stationary noise and rely on large labeled datasets that are rarely available in practice. To address this, we propose a robust sparse non-negative matrix factorization (NMF) method based on the maximum-correntropy criterion, which is known for its robustness in the presence of heavy-tailed noise. This methodology is applied to identify fault frequency bands in the spectrogram of the signal. The effectiveness of the approach is validated using simulated fault signals under both Gaussian and heavy-tailed noise conditions through Monte Carlo simulations. A statistical efficiency analysis confirms robustness to random perturbations. Additionally, three real datasets are used to evaluate the performance of the proposed method. Results from both simulations and real-world data demonstrate the effectiveness of the proposed approach. Full article
(This article belongs to the Section Fault Diagnosis & Sensors)
Show Figures

Figure 1

21 pages, 1297 KB  
Article
Neural Network-Aided Hybrid Particle/FIR Filter for Indoor Localization Using Wireless Sensor Networks
by Jung Min Pak
Electronics 2025, 14(21), 4346; https://doi.org/10.3390/electronics14214346 - 6 Nov 2025
Viewed by 384
Abstract
Indoor localization based on range measurements in wireless sensor networks involves nonlinear measurement models and is susceptible to non-Gaussian noise, which is associated with complex indoor environments. While particle filters (PFs) are well-suited to such systems, they suffer from sample impoverishment, whereby a [...] Read more.
Indoor localization based on range measurements in wireless sensor networks involves nonlinear measurement models and is susceptible to non-Gaussian noise, which is associated with complex indoor environments. While particle filters (PFs) are well-suited to such systems, they suffer from sample impoverishment, whereby a diminishing sample diversity leads to failures under various conditions. Hence, this paper proposes a novel hybrid localization algorithm that combines a PF, a finite impulse response (FIR) filter, and an artificial neural network. In the proposed algorithm, the PF serves as the main filter for localization because it performs excellently in nonlinear, non-Gaussian systems under normal operation. The neural network is trained to classify whether the system is operating normally or experiencing a failure, based on estimation results from the PF. If a PF failure is detected by the network, the assisting FIR filter is activated to recover the PF from failures. The localization accuracy and reliability of the proposed neural network-aided hybrid particle/FIR filter are confirmed via comparisons with existing algorithms. Full article
(This article belongs to the Special Issue Advanced Indoor Localization Technologies: From Theory to Application)
Show Figures

Figure 1

19 pages, 9398 KB  
Article
Single- and Multimodal Deep Learning of EEG and EDA Responses to Construction Noise: Performance and Ablation Analyses
by Md Samdani Azad, Sungchan Lee and Minji Choi
Sensors 2025, 25(21), 6775; https://doi.org/10.3390/s25216775 - 5 Nov 2025
Viewed by 1297
Abstract
The purpose of the study is to investigate human physiological responses to construction noise exposure using deep learning, applying electroencephalography (EEG) and electro-dermal activity (EDA) sensors. Construction noise is a pervasive occupational stressor that affects physiological states and impairs cognitive performance. EEG sensors [...] Read more.
The purpose of the study is to investigate human physiological responses to construction noise exposure using deep learning, applying electroencephalography (EEG) and electro-dermal activity (EDA) sensors. Construction noise is a pervasive occupational stressor that affects physiological states and impairs cognitive performance. EEG sensors capture neural activity related to perception and attention, and EDA reflects autonomic arousal and stress. In this study, twenty-five participants were exposed to impulsive noise from pile drivers and tonal noise from earth augers at three intensity levels (40, 60, and 80 dB), while EEG and EDA signals were recorded simultaneously. Convolutional neural networks (CNN) were utilized for EEG and long short-term memory networks (LSTM) for EDA. The results depict that EEG-based models consistently outperformed EDA-based models, establishing EEG as the dominant modality. In addition, decision-level fusion enhanced robustness across evaluation metrics by employing complementary information from EDA sensors. Ablation analyses presented that model performance was sensitive to design choices, with medium EEG windows (6 s), medium EDA windows (5–10 s), smaller batch sizes, and moderate weight decay yielding the most stable results. Further, retraining with ablation-informed hyperparameters confirmed that this configuration improved overall accuracy and maintained stable generalization across folds. The outcome of this study demonstrates the potential of deep learning to capture multimodal physiological responses when subjected to construction noise and emphasizes the critical role of modality-specific design and systematic hyperparameter optimization in achieving reliable annoyance detection. Full article
Show Figures

Figure 1

23 pages, 4334 KB  
Article
The Structural Similarity Can Identify the Presence of Noise in Video Data from Unmanned Vehicles
by Anzor Orazaev, Pavel Lyakhov, Valery Andreev and Denis Butusov
J. Imaging 2025, 11(11), 375; https://doi.org/10.3390/jimaging11110375 - 26 Oct 2025
Viewed by 571
Abstract
This paper proposes a method for detecting distorted frames in video footage recorded by an unmanned vehicle. The proposed detection method is performed by analyzing a sequence of video frames, utilizing the contrast aspect of the structural similarity index between previous and current [...] Read more.
This paper proposes a method for detecting distorted frames in video footage recorded by an unmanned vehicle. The proposed detection method is performed by analyzing a sequence of video frames, utilizing the contrast aspect of the structural similarity index between previous and current frames. This approach allows for the detection of distortions in the video caused by various types of noise. The scientific novelty lies in the targeted adaptation of the SSIM component to the task of real interframe analysis in conditions of shooting from an unmanned vehicle, in the absence of a reference. The three videos were considered during the simulation. They were distorted by random significant impulse noise, Gaussian noise, and mixed noise. Every 100th frame of the experimental video was subjected to distortion with increasing density. An additional measure was introduced to provide a more accurate assessment of distortion detection quality. This measure is based on the average absolute difference in similarity between video frames. The developed approach allows for effective identification of distortions and is of significant importance for monitoring systems and video data analysis, particularly in footage obtained from unmanned vehicles, where video quality is critical for subsequent processing and analysis. Full article
(This article belongs to the Section Image and Video Processing)
Show Figures

Figure 1

35 pages, 3797 KB  
Article
A Novel Fast Dual-Phase Short-Time Root-MUSIC Method for Real-Time Bearing Micro-Defect Detection
by Huiguang Zhang, Baoguo Liu, Wei Feng and Zongtang Li
Appl. Sci. 2025, 15(21), 11387; https://doi.org/10.3390/app152111387 - 24 Oct 2025
Viewed by 591
Abstract
Traditional time-frequency diagnostics for high-speed bearings face an entrenched trade-off between resolution and real-time feasibility. We present a fast Dual-Phase Short-Time Root-MUSIC pipeline that exploits Hankel structure via FFT-accelerated Lanczos bidiagonalization and Sliding-window Singular Value Decomposition to deliver sub-Hz super-resolution under millisecond budgets. [...] Read more.
Traditional time-frequency diagnostics for high-speed bearings face an entrenched trade-off between resolution and real-time feasibility. We present a fast Dual-Phase Short-Time Root-MUSIC pipeline that exploits Hankel structure via FFT-accelerated Lanczos bidiagonalization and Sliding-window Singular Value Decomposition to deliver sub-Hz super-resolution under millisecond budgets. Validated on the Politecnico di Torino aerospace dataset (seven fault classes, three severities), fDSTrM detects 150 μm inner-race and rolling-element defects with 98% and 95% probability, respectively, at signal-to-noise ratio down to −3 dB (78% detection), while Short-Time Fourier Transform and Wavelet Packet Decomposition fail under identical settings. Against classical Root-MUSIC, the approach sustains approximately 200 times speedup with less than 1011 relative frequency error in offline scaling, and achieves 1.85 milliseconds per 4096-sample frame on embedded-class hardware in streaming tests. Subspace order pre-estimation with adaptive correction preserves closely spaced components; Kalman tracking formalizes uncertainty and yields 95% confidence bands. The resulting early warning margin extends maintenance lead-time by 24–72 h under industrial interferences (Gaussian, impulsive, and Variable Frequency Drive harmonics), enabling field-deployable super-resolution previously constrained to offline analysis. Full article
(This article belongs to the Section Acoustics and Vibrations)
Show Figures

Figure 1

Back to TopTop