Sign in to use this feature.

Years

Between: -

Subjects

remove_circle_outline
remove_circle_outline
remove_circle_outline
remove_circle_outline
remove_circle_outline

Journals

Article Types

Countries / Regions

Search Results (28)

Search Parameters:
Keywords = imperfect successive interference cancellation

Order results
Result details
Results per page
Select all
Export citation of selected articles as:
27 pages, 3580 KB  
Article
SWIPT Enabled Wavelet Cooperative NOMA: Energy-Efficient Design Under Imperfect SIC
by Uzma Mushtaq, Asim Ali Khan, Sobia Baig, Muneeb Ahmad and Moisés V. Ribeiro
Electronics 2025, 14(22), 4390; https://doi.org/10.3390/electronics14224390 - 11 Nov 2025
Viewed by 33
Abstract
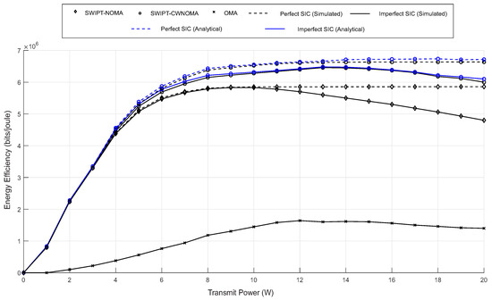
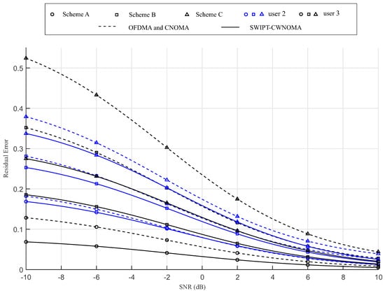
In new wireless ecosystems, simultaneous wireless information and power transfer (SWIPT) and cooperative non-orthogonal multiple access (CNOMA) together make a potential design model. These systems enhance spectral efficiency (SE), energy efficiency (EE), and data interchange reliability by combining energy harvesting (EH), superposition coding [...] Read more.
In new wireless ecosystems, simultaneous wireless information and power transfer (SWIPT) and cooperative non-orthogonal multiple access (CNOMA) together make a potential design model. These systems enhance spectral efficiency (SE), energy efficiency (EE), and data interchange reliability by combining energy harvesting (EH), superposition coding (SC), and relay-assisted transmission. Despite this, CNOMA’s energy efficiency is still constrained by the fact that relay nodes servicing multiple users require a significant amount of power. Most previous studies look at performance as if imperfect successive interference cancellation (SIC) were possible. To solve these problems, this study presents a multiuser SWIPT-enabled cooperative wavelet NOMA (CWNOMA) framework that reduces imperfect SIC, inter-symbol interference (ISI), and inter-user interference. SWIPT-CWNOMA enhances overall energy efficiency (EE), keeps relays functional, and maintains data transmission strong for users by obtaining energy from received signals. The proposed architecture is evaluated against traditional CNOMA and orthogonal multiple access (OMA) in both perfect and imperfect scenarios with SIC. The authors derive closed-form formulas for EE, signal-to-interference-plus-noise ratio (SINR), and achievable rate to support the analysis. Residual error because of imperfect SIC for near users shows lower values in a varying range of SNR. Across 0–30 dB SNR, SWIPT-CWNOMA achieves, on average, 1.4 times higher energy efficiency, approximately 4.7 lower BER, and 1.9 times higher achievable rate than OFDMA, which establishes SWIPT-CWNOMA as a promising candidate for next-generation energy-efficient wireless networks. Full article
(This article belongs to the Section Microwave and Wireless Communications)
Show Figures

Figure 1

15 pages, 806 KB  
Article
On Rate Fairness Maximization for the Downlink NOMA with Improper Signaling and Imperfect SIC
by Hao Cheng, Min Zhang and Ruoyu Su
Appl. Sci. 2025, 15(18), 9970; https://doi.org/10.3390/app15189970 - 11 Sep 2025
Viewed by 460
Abstract
Non-orthogonal multiple access (NOMA) is a key enabler for 6G networks due to its efficient spectrum utilization, which is garnering significant attention among the Internet of Things (IoT) community. This paper investigates the benefits of the improper Gaussian signaling (IGS) technique on the [...] Read more.
Non-orthogonal multiple access (NOMA) is a key enabler for 6G networks due to its efficient spectrum utilization, which is garnering significant attention among the Internet of Things (IoT) community. This paper investigates the benefits of the improper Gaussian signaling (IGS) technique on the max–min fairness of the downlink NOMA system under imperfect successive interference cancellation (SIC), where both of the users have the potential to adopt IGS. We first investigate fairness optimization under perfect SIC. In this case, the max–min optimization is solved by the alternate optimization algorithm, where the impropriety degree and power level are iteratively optimized. The closed-form solution for conventional proper Gaussian signaling is also obtained. Then, a deep Q network-based solution is considered for the rate fairness maximization of the downlink NOMA system under IGS and imperfect SIC. The simulations presented for the IGS-aided NOMA system support the analysis, illustrating that IGS can efficiently improve the fairness achievable rate compared to the conventional proper one. Full article
(This article belongs to the Section Electrical, Electronics and Communications Engineering)
Show Figures

Figure 1

24 pages, 5992 KB  
Article
Mathematical Modelling of Throughput in Peer-Assisted Symbiotic 6G with SIC and Relays
by Muhammed Yusuf Onay
Appl. Sci. 2025, 15(17), 9504; https://doi.org/10.3390/app15179504 - 29 Aug 2025
Viewed by 525
Abstract
Sixth-generation (6G) communication systems, with ultra-wide bands, energy-autonomous end nodes, and dense connectivity, challenge existing network designs. Optimizing time resources with energy harvesting, backscatter communication, and relays is essential to maximize the total bit rate in multi-user symbiotic radio networks (SRNs) with blocked [...] Read more.
Sixth-generation (6G) communication systems, with ultra-wide bands, energy-autonomous end nodes, and dense connectivity, challenge existing network designs. Optimizing time resources with energy harvesting, backscatter communication, and relays is essential to maximize the total bit rate in multi-user symbiotic radio networks (SRNs) with blocked direct paths. The literature lacks a unified optimization treatment that explicitly accounts for imperfect successive interference cancellation (SIC). This study addresses this gap by proposing the first optimization framework to maximize total bit rate for energy-harvesting TDMA/PD–NOMA-based multi-cluster and relay-assisted peer-assisted SR networks. The two-phase architecture defines a tractable constrained optimization problem that jointly adjusts cluster-specific time slots (τ and λ). Incorporating QoS, signal power, and reflection coefficient constraints, it provides a compact formulation and numerical solutions for both perfect and imperfect SIC. Detailed simulations performed under typical 6G power levels, bandwidths, and energy-harvesting efficiencies demonstrate graphically that imperfect SIC significantly limits total throughput due to residual interference, while perfect SIC completely eliminates this ceiling under the same conditions, providing a significant capacity advantage. Furthermore, the gap between the two scenarios rapidly closes with increasing relay time margin. The findings demonstrate that network capacity is primarily determined by the triad of base station output power, channel noise, and SIC accuracy, and that the proposed framework achieves strong performance across the explored parameter space. Full article
Show Figures

Figure 1

31 pages, 9117 KB  
Article
Intelligent Omni-Surface-Assisted Cooperative Hybrid Non-Orthogonal Multiple Access: Enhancing Spectral Efficiency Under Imperfect Successive Interference Cancellation and Hardware Distortions
by Helen Sheeba John Kennedy and Vinoth Babu Kumaravelu
Sensors 2025, 25(7), 2283; https://doi.org/10.3390/s25072283 - 3 Apr 2025
Cited by 2 | Viewed by 717
Abstract
Non-orthogonal multiple access (NOMA) has emerged as a key enabler of massive connectivity in next-generation wireless networks. However, conventional NOMA studies predominantly focus on two-user scenarios, limiting their scalability in practical multi-user environments. A critical challenge in these systems is error propagation in [...] Read more.
Non-orthogonal multiple access (NOMA) has emerged as a key enabler of massive connectivity in next-generation wireless networks. However, conventional NOMA studies predominantly focus on two-user scenarios, limiting their scalability in practical multi-user environments. A critical challenge in these systems is error propagation in successive interference cancellation (SIC), which is further exacerbated by hardware distortions (HWDs). Hybrid NOMA (HNOMA) mitigates SIC errors and reduces system complexity, yet cell-edge users (CEUs) continue to experience degraded sum spectral efficiency (SSE) and throughput. Cooperative NOMA (C-NOMA) enhances CEU performance through retransmissions but incurs higher energy consumption. To address these limitations, this study integrates intelligent omni-surfaces (IOSs) into a cooperative hybrid NOMA (C-HNOMA) framework to enhance retransmission efficiency and extend network coverage. The closed-form expressions for average outage probability and throughput are derived, and a power allocation (PA) optimization framework is proposed to maximize SSE, with validation through Monte Carlo simulations. The introduction of a novel strong–weak strong–weak (SW-SW) user pairing strategy capitalizes on channel diversity, achieving an SSE improvement of ∼0.48% to ∼3.81% over conventional pairing schemes. Moreover, the proposed system demonstrates significant performance gains as the number of IOS elements increases, even under imperfect SIC (iSIC) and HWD conditions. By optimizing PA values, SSE is further enhanced by at least 2.24%, even with an SIC error of 0.01 and an HWD level of 8%. These results underscore the potential of an IOS-assisted C-HNOMA system with SW-SW pairing as a viable solution for improving multi-user connectivity, SSE, and system robustness in future wireless communication networks. Full article
(This article belongs to the Special Issue Performance Analysis of Wireless Communication Systems)
Show Figures

Graphical abstract

25 pages, 1006 KB  
Article
Statistics of the Sum of Double Random Variables and Their Applications in Performance Analysis and Optimization of Simultaneously Transmitting and Reflecting Reconfigurable Intelligent Surface-Assisted Non-Orthogonal Multi-Access Systems
by Bui Vu Minh, Phuong T. Tran, Thu-Ha Thi Pham, Anh-Tu Le, Si-Phu Le and Pavol Partila
Sensors 2024, 24(18), 6148; https://doi.org/10.3390/s24186148 - 23 Sep 2024
Cited by 2 | Viewed by 1519
Abstract
For the future of sixth-generation (6G) wireless communication, simultaneously transmitting and reflecting reconfigurable intelligent surface (STAR-RIS) technology is emerging as a promising solution to achieve lower power transmission and flawless coverage. To facilitate the performance analysis of RIS-assisted networks, the statistics of the [...] Read more.
For the future of sixth-generation (6G) wireless communication, simultaneously transmitting and reflecting reconfigurable intelligent surface (STAR-RIS) technology is emerging as a promising solution to achieve lower power transmission and flawless coverage. To facilitate the performance analysis of RIS-assisted networks, the statistics of the sum of double random variables, i.e., the sum of the products of two random variables of the same distribution type, become vitally necessary. This paper applies the statistics of the sum of double random variables in the performance analysis of an integrated power beacon (PB) energy-harvesting (EH)-based NOMA-assisted STAR-RIS network to improve its outage probability (OP), ergodic rate, and average symbol error rate. Furthermore, the impact of imperfect successive interference cancellation (ipSIC) on system performance is also analyzed. The analysis provides the closed-form expressions of the OP and ergodic rate derived for both imperfect and perfect SIC (pSIC) cases. All analyses are supported by extensive simulation results, which help recommend optimized system parameters, including the time-switching factor, the number of reflecting elements, and the power allocation coefficients, to minimize the OP. Finally, the results demonstrate the superiority of the proposed framework compared to conventional NOMA and OMA systems. Full article
(This article belongs to the Special Issue 5G/6G Networks for Wireless Communication and IoT)
Show Figures

Figure 1

20 pages, 698 KB  
Article
Active STARS-Assisted Rate-Splitting Multiple-Access Networks
by Jin Xie, Xinwei Yue, Zhihao Han, Xuliang Liu and Wei Xiang
Electronics 2023, 12(18), 3815; https://doi.org/10.3390/electronics12183815 - 9 Sep 2023
Cited by 8 | Viewed by 2013
Abstract
The active simultaneously transmitting/reflecting surface (ASTARS) is considered a promising technique to achieve full spatial coverage and overcome multiplicative fading caused by cascaded paths. This paper investigates the performance of ASTARS-assisted rate-splitting multiple-access networks (ASTARS-RSMA) with multiple transmission users (TUs) and reflection users [...] Read more.
The active simultaneously transmitting/reflecting surface (ASTARS) is considered a promising technique to achieve full spatial coverage and overcome multiplicative fading caused by cascaded paths. This paper investigates the performance of ASTARS-assisted rate-splitting multiple-access networks (ASTARS-RSMA) with multiple transmission users (TUs) and reflection users (RUs). The energy-splitting configurations of ASTARS and the effects of imperfect/perfect successive interference cancellation (SIC) on ASTARS-RSMA networks are considered in the analysis. We derive new exact and asymptotic expressions of the outage probability with imperfect/perfect SIC for TUs and RUs. On this basis, we further calculate the diversity orders of TUs and RUs. Moreover, the system throughput and energy efficiency (EE) of ASTARS-RSMA are evaluated in the delay-limited mode. The simulation results confirm the accuracy of the theoretical expressions and show that (i) the outage probability and system throughput with imperfect/perfect SIC of ASTARS-RSMA exceed that of passive simultaneously transmitting/reflecting surface (PSTARS)-assisted RSMA when the number of elements is not too large; (ii) although ASTARS increases power consumption compared to PSTARS, it can bring further EE improvements to RSMA networks. Full article
Show Figures

Figure 1

15 pages, 736 KB  
Article
Energy-Efficient Power Allocation for Full-Duplex Device-to-Device Underlaying Cellular Networks with NOMA
by Xu Zhao, Fang Liu, Yajing Zhang, Songchao Chen and Jie Gan
Electronics 2023, 12(16), 3433; https://doi.org/10.3390/electronics12163433 - 14 Aug 2023
Cited by 6 | Viewed by 1710
Abstract
Full-duplex (FD), Device-to-Device (D2D) and non-orthogonal multiple access (NOMA) are promising wireless communication techniques to improve the utilization of spectrum resources. Meanwhile, introducing FD, D2D and NOMA in cellular networks is very challenging due to the complex interference problem. To deal with the [...] Read more.
Full-duplex (FD), Device-to-Device (D2D) and non-orthogonal multiple access (NOMA) are promising wireless communication techniques to improve the utilization of spectrum resources. Meanwhile, introducing FD, D2D and NOMA in cellular networks is very challenging due to the complex interference problem. To deal with the complex interference of FD D2D underlaying NOMA cellular networks, power allocation (PA) is extensively studied as an efficient interference management technique. However, most of the previous research works on PA to optimize energy efficiency only consider the system framework of partially joint combining techniques of FD, D2D and NOMA, and the constraints of optimization problem are very different. In this paper, in order to further improve the energy efficiency of a system, a dual-layer iteration power allocation algorithm is proposed to eliminate the complex interference. The outer-layer iteration is to solve the non-linear fractional objective function based on Dinkelbach, and the inner-layer iteration is to solve the non-convex optimization problem based on D.C. programming. Then, the non-convex and non-linear fractional objective function is transformed into a convex function to solve the optimal power allocation. In this approach, FD D2D users reuse the spectrum with downlink NOMA cellular users. Imperfect self-interference (SI) cancellation at the FD D2D users and the successive interference cancellation (SIC) at the strong NOMA user are considered in the system framework. The optimization problem is constructed to maximize the system’s energy efficiency with the constraints of successful SIC, QoS requirements, the maximum transmit power of BS and FD D2D users. Numerical results demonstrate that the proposed algorithm outperforms the traditional orthogonal multiple access (OMA) in terms of energy efficiency with a higher system sum rate. Full article
Show Figures

Figure 1

23 pages, 848 KB  
Article
Outage Performance Analysis of Improper Gaussian Signaling for Two-User Downlink NOMA Systems with Imperfect Successive Interference Cancellation
by Yaxuan Liu, Huadong Gao, Hao Cheng, Yili Xia and Wenjiang Pei
Entropy 2023, 25(8), 1172; https://doi.org/10.3390/e25081172 - 6 Aug 2023
Cited by 3 | Viewed by 1908
Abstract
The improper Gaussian signaling (IGS) technique can improve the achievable rate of an interference-limited network by fully exploiting the second-order statistics of complex signaling. This paper addresses the outage performance analysis of a two-user downlink non-orthogonal multiple access (NOMA) system using the IGS [...] Read more.
The improper Gaussian signaling (IGS) technique can improve the achievable rate of an interference-limited network by fully exploiting the second-order statistics of complex signaling. This paper addresses the outage performance analysis of a two-user downlink non-orthogonal multiple access (NOMA) system using the IGS technique in the presence of imperfect successive interference cancellation (SIC). The strong channel user (SU) adopts the IGS, while the weak channel user (WU) adopts the traditional proper Gaussian signaling (PGS). Considering a practical scenario where the transmitter has obtained the statistics of the channel coefficients instead of the instantaneous channel state information (CSI), the expressions of the achievable rates of both users under residual interference due to imperfect SIC are derived, together with their outage probabilities, subject to predetermined target rates and channel statistics. Given a fixed transmit power of the WU, both the transmit power and the degree of impropriety of the SU are optimized to minimize the outage probability subject to the outage constraint of the WU. Numerical results are provided to assess the benefits of the proposed IGS-based downlink NOMA system, which are consistent with the analysis. Full article
(This article belongs to the Section Information Theory, Probability and Statistics)
Show Figures

Figure 1

18 pages, 477 KB  
Article
Performance Analysis of Ambient Backscatter NOMA Systems
by Ce Zhang, Xinwei Yue, Yuanyuan Yao and Xuehua Li
Appl. Sci. 2023, 13(10), 6166; https://doi.org/10.3390/app13106166 - 18 May 2023
Cited by 1 | Viewed by 2141
Abstract
This paper analyzed the performance of an ambient-backscatter-(AmBC)-assisted non-orthogonal multiple access (NOMA) system, where a backscatter device (BD) broadcasts its signal to numerous users. More specifically, the realistic assumptions of imperfect successive interference cancellation (ipSIC) and residual hardware impairments (RHIs) for AmBC–NOMA systems [...] Read more.
This paper analyzed the performance of an ambient-backscatter-(AmBC)-assisted non-orthogonal multiple access (NOMA) system, where a backscatter device (BD) broadcasts its signal to numerous users. More specifically, the realistic assumptions of imperfect successive interference cancellation (ipSIC) and residual hardware impairments (RHIs) for AmBC–NOMA systems were taken into consideration. We further derived the closed-form and asymptotic expressions of outage probability for the BD and the d-th user. Based on the asymptotic expressions, the diversity orders of the BD and the d-th user were obtained in the high SNR regime. Furthermore, throughput and energy efficiency are further discussed for AmBC-assisted orthogonal multiple access (OMA) systems in the delay-limited transmission model. The numerical results revealed that: (i) AmBC–NOMA systems have the ability to achieve better outage behavior than AmBC–OMA; (ii) due to the existence of the backscatter link, the error floors of outage probability for the BD and the d-th user appear at a high signal-to-noise ratio; (iii) AmBC–NOMA systems are able to achieve higher energy efficiency and throughput than AmBC–OMA systems. Full article
Show Figures

Figure 1

21 pages, 6505 KB  
Article
Covert Channel Based on Quasi-Orthogonal Coding
by Krystian Grzesiak, Zbigniew Piotrowski and Jan M. Kelner
Electronics 2023, 12(10), 2249; https://doi.org/10.3390/electronics12102249 - 15 May 2023
Cited by 2 | Viewed by 1717
Abstract
The paper presents a method of creating a hidden channel using a signals’ superposition. According to this idea, a transmitter simultaneously sends overt and covert (secret) signals, whereby the overt signal is a carrier for the covert one. Due to the need to [...] Read more.
The paper presents a method of creating a hidden channel using a signals’ superposition. According to this idea, a transmitter simultaneously sends overt and covert (secret) signals, whereby the overt signal is a carrier for the covert one. Due to the need to ensure a low probability of detection for covert communication, the covert signal should have low power. This implies a number of problems relating to its correct reception. This is similar to non-orthogonal multiple access (NOMA) systems, where the collective signal is a superposition of signals with different powers dedicated to different users. In this case, the successive interference cancellation (SIC) process is used in the receiver for the separation of the component signals. SIC requires accurate channel estimation. Even a small channel estimation error causes a significant increase in bit error rate (BER), performance degradation, or connection loss for covert transmission. This is due to the residual signal, i.e., the remnant of the cover signal after an imperfect SIC operation. The paper proposes a method of transforming (i.e., encoding) the applied hidden signal in such a way that the residual signal in the receiver is quasi-orthogonal to the hidden signal. The proposed model is based on appropriate sorting and, compared to methods with fixed constellation points, provides the covert channel with a low BER while maintaining high protection against detection as measured by the Kolmogorov–Smirnov distance. The proposed solution was tested using the USRP-2920 software-defined radio platform. Full article
(This article belongs to the Special Issue Security and Privacy for Modern Wireless Communication Systems)
Show Figures

Figure 1

18 pages, 553 KB  
Article
Exploiting Cooperative Downlink NOMA in D2D Communications
by Ashish Rauniyar, Olav N. Østerbø, Jan Erik Håkegård and Paal Engelstad
Sensors 2023, 23(8), 3958; https://doi.org/10.3390/s23083958 - 13 Apr 2023
Cited by 2 | Viewed by 1980
Abstract
We propose and investigate a bidirectional device-to-device (D2D) transmission scheme that exploits cooperative downlink non-orthogonal multiple access (NOMA) (termed as BCD-NOMA). In BCD-NOMA, two source nodes communicate with their corresponding destination nodes via a relaying node while exchanging bidirectional D2D messages simultaneously. BCD-NOMA [...] Read more.
We propose and investigate a bidirectional device-to-device (D2D) transmission scheme that exploits cooperative downlink non-orthogonal multiple access (NOMA) (termed as BCD-NOMA). In BCD-NOMA, two source nodes communicate with their corresponding destination nodes via a relaying node while exchanging bidirectional D2D messages simultaneously. BCD-NOMA is designed for improved outage probability (OP) performance, high ergodic capacity (EC) and high energy efficiency by allowing two sources to share the same relaying node for data transmission to their corresponding destination nodes while also facilitating bidirectional D2D communications exploiting downlink NOMA. Simulation and analytical expressions of the OP, EC and ergodic sum capacity (ESC) under both perfect and imperfect successive interference cancellation (SIC) are used to demonstrate the effectiveness of BCD-NOMA compared to conventional schemes. Full article
Show Figures

Figure 1

23 pages, 517 KB  
Article
Performance Analysis of Multihop Full-Duplex NOMA Systems with Imperfect Interference Cancellation and Near-Field Path-Loss
by Lam-Thanh Tu, Van-Duc Phan, Tan N. Nguyen, Phuong T. Tran, Tran Trung Duy, Quang-Sang Nguyen, Nhat-Tien Nguyen and Miroslav Voznak
Sensors 2023, 23(1), 524; https://doi.org/10.3390/s23010524 - 3 Jan 2023
Cited by 23 | Viewed by 3451
Abstract
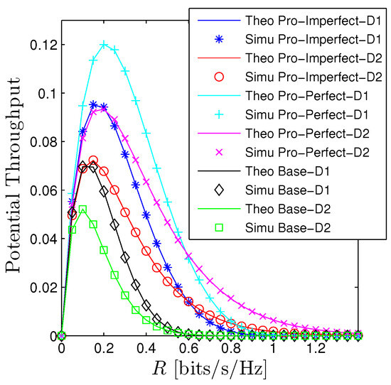
Outage probability (OP) and potential throughput (PT) of multihop full-duplex (FD) nonorthogonal multiple access (NOMA) systems are addressed in the present paper. More precisely, two metrics are derived in the closed-form expressions under the impact of both imperfect successive interference cancellation (SIC) and [...] Read more.
Outage probability (OP) and potential throughput (PT) of multihop full-duplex (FD) nonorthogonal multiple access (NOMA) systems are addressed in the present paper. More precisely, two metrics are derived in the closed-form expressions under the impact of both imperfect successive interference cancellation (SIC) and imperfect self-interference cancellation. Moreover, to model short transmission distance from the transmit and receive antennae at relays, the near-field path-loss is taken into consideration. Additionally, the impact of the total transmit power on the performance of these metrics is rigorously derived. Furthermore, the mathematical framework of the baseline systems is provided too. Computer-based simulations via the Monte Carlo method are given to verify the accuracy of the proposed framework, confirm our findings, and highlight the benefits of the proposed systems compared with the baseline one. Full article
(This article belongs to the Section Communications)
Show Figures

Figure 1

17 pages, 1178 KB  
Article
Joint Power Control and Phase Shift Design for Future PD-NOMA IRS-Assisted Drone Communications under Imperfect SIC Decoding
by Saddam Aziz, Muhammad Irshad, Kallekh Afef, Heba G. Mohamed, Najm Alotaibi, Khaled Tarmissi, Mrim M. Alnfiai and Manar Ahmed Hamza
Sensors 2022, 22(22), 8603; https://doi.org/10.3390/s22228603 - 8 Nov 2022
Viewed by 2597
Abstract
Intelligent reflecting surfaces (IRS) and power-domain non-orthogonal multiple access (PD-NOMA) have recently gained significant attention for enhancing the performance of next-generation wireless communications networks. More specifically, IRS can smartly reconfigure the incident signal of the source towards the destination node, extending the wireless [...] Read more.
Intelligent reflecting surfaces (IRS) and power-domain non-orthogonal multiple access (PD-NOMA) have recently gained significant attention for enhancing the performance of next-generation wireless communications networks. More specifically, IRS can smartly reconfigure the incident signal of the source towards the destination node, extending the wireless coverage and improving the channel capacity without consuming additional energy. On the other side, PD-NOMA can enhance the number of devices in the network without using extra spectrum resources. This paper proposes a new optimization framework for IRS-enhanced NOMA communications where multiple drones transmit data to the ground Internet of Things (IoT) devices under successive interference cancellation errors. In particular, the power budget of each drone, PD-NOMA power allocation of IoT devices, and the phase shift matrix of IRS are simultaneously optimized to enhance the total spectral efficiency of the system. Given the system model and optimization setup, the formulated problem is coupled with three variables, making it very complex and non-convex. Thus, this work first transforms and decouples the problem into subproblems and then obtains the efficient solution in two steps. In the first step, the closed-form solutions for the power budget and PD-NOMA power allocation subproblem at each drone are obtained through Karush–Kuhn–Tucker (KKT) conditions. In the second step, the subproblem of efficient phase shift design for each IRS is solved using successive convex approximation and DC programming. Numerical results demonstrate the performance of the proposed optimization scheme in comparison to the benchmark schemes. Full article
(This article belongs to the Special Issue Sustainable Solutions for 6G-Enabled Internet of Things Networks)
Show Figures

Figure 1

16 pages, 4050 KB  
Article
NN-Based 8FSK Demodulator for the Covert Channel
by Krystian Grzesiak and Zbigniew Piotrowski
Sensors 2022, 22(19), 7181; https://doi.org/10.3390/s22197181 - 21 Sep 2022
Cited by 2 | Viewed by 2727
Abstract
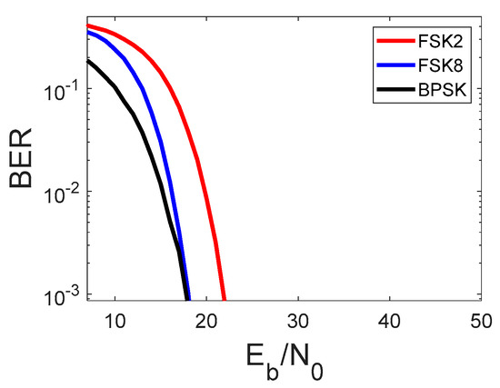
In this article, a superposition-based covert channel and its demodulator were proposed and examined. As a covert waveform, an 8FSK modulation was selected. The impact of the channel estimation error and resulting imperfect SIC operation (successive interference cancelation) on the covert information demodulation [...] Read more.
In this article, a superposition-based covert channel and its demodulator were proposed and examined. As a covert waveform, an 8FSK modulation was selected. The impact of the channel estimation error and resulting imperfect SIC operation (successive interference cancelation) on the covert information demodulation process was considered. Especially for this imperfection, an NN-based demodulator was proposed. The superiority of this solution over the traditional 8FSK correlator-based receiver was examined for various cases, including the hard- and soft-decision detectors. It was proven that, although NN does not provide BER values equal to zero, even for the perfect SIC, it generally overcomes the traditional correlator-based 8FSK demodulator. Simulation results showed that the NN-base demodulator, in the case of additional covert channel coding, provides error-free demodulation, even for four-times greater channel gain error. Full article
(This article belongs to the Section Communications)
Show Figures

Figure 1

17 pages, 1049 KB  
Article
Performance Analysis of Dual-Hop Hybrid RF-UOWC NOMA Systems
by Ahmed Samir, Mohamed Elsayed, Ahmad A. Aziz El-Banna, Imran Shafique Ansari, Khaled Rabie and Basem M. ElHalawany
Sensors 2022, 22(12), 4521; https://doi.org/10.3390/s22124521 - 15 Jun 2022
Cited by 17 | Viewed by 3104
Abstract
The hybrid combination between underwater optical wireless communication (UOWC) and radio frequency (RF) is a vital demand for enabling communication through the air–water boundary. On the other hand, non-orthogonal multiple access (NOMA) is a key technology for enhancing system performance in terms of [...] Read more.
The hybrid combination between underwater optical wireless communication (UOWC) and radio frequency (RF) is a vital demand for enabling communication through the air–water boundary. On the other hand, non-orthogonal multiple access (NOMA) is a key technology for enhancing system performance in terms of spectral efficiency. In this paper, we propose a downlink NOMA-based dual-hop hybrid RF-UOWC with decode and forward (DF) relaying. The UOWC channels are characterized by exponential-generalized Gamma (EGG) fading, while the RF channel is characterized by Rayleigh fading. Exact closed-form expressions of outage probabilities and approximated closed-form expressions of ergodic capacities are derived, for each NOMA individual user and the overall system as well, under the practical assumption of imperfect successive interference cancellation (SIC). These expressions are then verified via Monte-Carlo simulation for various underwater scenarios. To gain more insight into the system performance, we analyzed the asymptotic outage probabilities and the diversity order. Moreover, we formulated and solved a power allocation optimization problem to obtain an outage-optimal performance. For the sake of comparison and to highlight the achievable gain, the system performance is compared against a benchmark orthogonal multiple access (OMA)-based system. Full article
(This article belongs to the Special Issue Sustainable Solutions for 6G-Enabled Internet of Things Networks)
Show Figures

Figure 1

Back to TopTop