Next Article in Journal
A Traceable Vaccine Production Supervision System with Embedded IoT Devices Based on Blockchains
Previous Article in Journal
A Multipurpose and Efficient Evaluation Method of Phase Characteristics in a Quiet Zone for a Defocused Feed in a Compact Antenna Test Range
 
 
Font Type:
Arial Georgia Verdana
Font Size:
Aa Aa Aa
Line Spacing:
Column Width:
Background:
Article

SWIPT Enabled Wavelet Cooperative NOMA: Energy-Efficient Design Under Imperfect SIC

by
Uzma Mushtaq
1,*,
Asim Ali Khan
1,
Sobia Baig
2,
Muneeb Ahmad
3 and
Moisés V. Ribeiro
4
1
Department of Electrical and Computer Engineering, COMSATS University Islamabad, Lahore Campus, Islamabad 54800, Pakistan
2
Department of Electrical Engineering, College of Engineering, Qassim University, Buraydah 52571, Saudi Arabia
3
Department of IT Convergence Engineering, Kumoh National Institute of Technology, Gumi 39177, Republic of Korea
4
Electrical Engineering Department, Federal University of Juiz de Fora, Juiz de Fora 36036-900, MG, Brazil
*
Author to whom correspondence should be addressed.
Electronics 2025, 14(22), 4390; https://doi.org/10.3390/electronics14224390
Submission received: 25 September 2025 / Revised: 22 October 2025 / Accepted: 28 October 2025 / Published: 11 November 2025
(This article belongs to the Section Microwave and Wireless Communications)

Abstract

In new wireless ecosystems, simultaneous wireless information and power transfer (SWIPT) and cooperative non-orthogonal multiple access (CNOMA) together make a potential design model. These systems enhance spectral efficiency (SE), energy efficiency (EE), and data interchange reliability by combining energy harvesting (EH), superposition coding (SC), and relay-assisted transmission. Despite this, CNOMA’s energy efficiency is still constrained by the fact that relay nodes servicing multiple users require a significant amount of power. Most previous studies look at performance as if imperfect successive interference cancellation (SIC) were possible. To solve these problems, this study presents a multiuser SWIPT-enabled cooperative wavelet NOMA (CWNOMA) framework that reduces imperfect SIC, inter-symbol interference (ISI), and inter-user interference. SWIPT-CWNOMA enhances overall energy efficiency (EE), keeps relays functional, and maintains data transmission strong for users by obtaining energy from received signals. The proposed architecture is evaluated against traditional CNOMA and orthogonal multiple access (OMA) in both perfect and imperfect scenarios with SIC. The authors derive closed-form formulas for EE, signal-to-interference-plus-noise ratio (SINR), and achievable rate to support the analysis. Residual error because of imperfect SIC for near users shows lower values in a varying range of SNR. Across 0–30 dB SNR, SWIPT-CWNOMA achieves, on average, 1.4 times higher energy efficiency, approximately 4.7 lower BER, and 1.9 times higher achievable rate than OFDMA, which establishes SWIPT-CWNOMA as a promising candidate for next-generation energy-efficient wireless networks.

1. Introduction

Sixth Generation (6G) wireless networks target higher throughput, massive connectivity, lower latency, and reduced power consumption compared to the already standardized fourth generation (4G) and fifth generation (5G) technologies [1]. The deployment of rapidly growing Internet of Things (IoT) devices would require applications with high data rates and higher energy efficiency. In addition, limitations on basic communication resources, such as frequency, bandwidth, and transmit power, make the existing orthogonal multiple access (OMA) techniques inadequate to meet the increasing requirements of higher data rates, greater user connectivity, and lower latency. In this scenario, non-orthogonal multiple access (NOMA) is being investigated as a potential multiple access technique to fulfill the basic demands of beyond fifth generation (B5G) communication networks, as it allows the user to use the same spectrum with lower inter-user interference and provides enhanced spectral efficiency due to interference cancellation techniques [2].
A promising approach for improvement in NOMA is the use of cooperative NOMA (CNOMA), in which a near user (NU) relays the intended data of the far user (FU) from the base station (BS) to the FU. In power domain (PD) NOMA, the NU has the information of the FU because of the successive interference cancellation (SIC) technique. In other words, CNOMA supports data communication for both near and far users, leading to increased spectral efficiency and thus supporting a higher number of users [3].
There is a considerable advantage in integrating the NOMA scheme and cooperative relaying, which becomes even more significant when perfect SIC conditions are considered. However, in real-time communication networks, SIC is imperfect due to finite-length codes, channel estimation errors, hardware limitations, and the presence of residual errors due to interuser interference [4]. The signaling overhead and power limitations for obtaining channel state information (CSI) and data communication can be substantial, especially in multiuser or multi-relay systems [5]. In these systems, the need to estimate and share CSI between multiple users or relays demands considerable resources to maintain and manage communication links, placing additional strain on network resources and power.
We propose a simultaneous wireless information and power transfer (SWIPT)-cooperative wavelet NOMA (CWNOMA) approach to enhance the performance of power domain (PD) NOMA systems and address the limitations mentioned previously. This novel hybrid system is expected to minimize residual error, increase spectral efficiency, and improve the coverage area, integrity, and reliability of the data for the users. The application of the discrete wavelet transform (DWT) can effectively capture both time and frequency information, allowing for practical multiscale analysis and signal compression. Thus, the use of wavelet filters in the proposed scheme provides superior time-frequency localization, resulting in more accurate signal reconstruction and reduced inter-symbol interference (ISI), particularly benefiting users employing SIC. Furthermore, this study considers an energy-constrained scenario in which NU employs SWIPT to harvest energy, which is then utilized to forward the FU’s information. The proposed system improves the energy efficiency (EE) of the system by simultaneously harvesting energy and decoding the information. The SWIPT technique reduces the need for signal retransmission by enabling devices to harvest energy from the received signals, thus allowing them to operate autonomously without relying on external power sources. These features collectively contribute to lower latency, higher reliability, and more efficient communication, making CWNOMA with SWIPT a highly effective solution for data transmission in next-generation wireless networks.

2. Materials and Methods

2.1. Related Work

CNOMA has garnered considerable attention in recent years due to its potential to enhance system reliability and expand coverage through user cooperation. The cooperative NOMA network enables users to act as relays, improving signal quality for edge users and optimizing spectral efficiency, making it a key enabler for future wireless communication networks [6].
The CNOMA for a multi-user scenario requires an efficient transmission protocol to ensure quality of service (QoS) and user fairness. Although cooperative relaying (CR) in NOMA provides additional benefits compared to the two/multi-user NOMA-based communication systems [7], there remain issues related to system performance degradation due to self-interference and inter-loop interference in half-duplex (HD)/full-duplex (FD) systems. These problems, in turn, are aggravated by greater inter-user interference [8].
The NOMA scheme with and without CR is presented in Figure 1. The two users are served by the BS but are assigned different power levels based on their distance from the BS. The FU is assigned a higher power allocation factor. In the first phase, the BS transmits the superposed signal to all users. The FU with the worst channel conditions considers the signal of the NU as noise, and the NUs with strong channel conditions use SIC to extract their signals [9]. For the second phase, known as the cooperative transmission phase, NU relays the data to user 1, which is typically a far or cell-edge user [10].
The transmission scheme of HD and FD relays in the CNOMA system is shown in Figure 2. In the first phase, user 2 receives the BS’s signal, detects the signal destined for user 1, and then employs SIC to decode its signal. During the second phase, user 2 acts as an HD or FD relay to transmit the signal to user 1. In the HD scheme, data is transmitted in the initial phase and then relayed in the other phase [11]. For the FD relaying scenario, the data transmission and relaying occur in a single phase [12]. The outage analysis of a full duplex decode and forward relay-based NOMA network is performed by the authors in [13]. The study suggests that the near user is affected by the residual error due to the full duplex operation, and the receiver orientation has a great impact on the performance of the CNOMA system for underwater systems.
In the CNOMA system, NU relays the data to FU, but at the cost of battery drainage that disturbs the power efficiency of NU [6]. Energy harvesting (EH) is one of the solutions provided to resolve the power limitations in CNOMA [14]. Figure 3 shows the transmission and pairing in multi-user SWIPT-NOMA systems. The first half of the direct phase is similar to NOMA. Still, in the second half, the relaying users harvest energy from part of the received signal energy and use the remaining energy to decode the signal. During the second phase, the near users relay the decoded signal of FU using the portion of the harvested energy.
Recent research on SWIPT-NOMA has focused on enhancing system performance by optimizing power allocation, interference management, and energy harvesting in multi-user and massive multiple-input–multiple-output (MIMO) networks. One key area of development is the integration of advanced signal processing techniques to improve energy and data throughput efficiency. For instance, authors in [15] proposed a joint optimization scheme that balances power allocation for both information transmission and energy harvesting, achieving improved spectral efficiency and energy sustainability. Furthermore, a hybrid SWIPT-NOMA approach in multi-cell networks addressed the challenges of inter-cell interference and dynamic power allocation to improve system performance in dense urban environments [16]. The authors in [17] introduced a cooperative relaying mechanism in SWIPT-NOMA systems to mitigate energy deficits and reduce the need for retransmissions, improving overall energy efficiency and user fairness. A CNOMA scheme, which integrates NOMA, FD communication, and EH to optimize energy and spectral efficiency in wireless networks, was discussed in [18]. Joint transmission coordinated multipoint cooperative NOMA (JT-CoMP CNOMA) based SWIPT-CNOMA is examined and evaluated with residual hardware impairments and imperfect SIC in [19]. The study analyzed that the hardware impairments and residual error are due to imperfect SIC that degrades the system performance even at higher signal-to-noise ratio (SNR) values.
The authors in [20] investigated a cooperative reconfigurable intelligent surface (RIS) NOMA system, where the user equipment (UE) located near the cell center operates as an HD relay to facilitate transmission between the BS and a far or cell-edge user. A cooperative transmission strategy was introduced, utilizing RIS to support both direct transmissions and device-to-device (D2D) cooperative communication based on time division multiple access (TDMA). The benefits of the RIS system integrated into CNOMA were investigated for the uplink NOMA communication, where the transmission for the weak UE is enhanced by assistance from the strong UE via device-to-device (D2D) communication, and signal improvement is facilitated by the RIS [21]. Authors in [22] introduced a new RIS-based NOMA framework, in which the BS concurrently transmits NOMA signals to both the near and far users. The NU operates in a 0DF HD relaying mode to assist in delivering the FU’s intended signal. In this setup, the RIS is optimized to improve the direct link to the near user during the initial signal transmission phase and to support the relaying link to the far UE during the cooperative phase. An active RIS-aided multi-cluster SWIPT-CNOMA system was considered in [23], where the user with the best channel condition in each cluster, termed as the cluster head (CH), could harvest energy while decoding information and use it for cooperative transmission as transmit-relaying power. These advancements underscore the growing potential of SWIPT-CWNOMA for future wireless systems, particularly in supporting energy-constrained IoT and 5G networks.
Another issue for NOMA and CNOMA is the insertion of cyclic prefix (CP) in inverse fast Fourier transform (IFFT)/fast Fourier transform (FFT) that reduces the system capacity, EE, and the overall data rate of the NOMA system [24]. The CP is required for the elimination of ISI and ICI in orthogonal frequency division multiplexing (OFDMA) symbols. The ICI is the interference in the signal due to different subcarriers, while ISI occurs at the same subcarrier at successive symbols. In conventional OFDMA systems, the use of a cyclic prefix (CP) introduces additional overhead that reduces the effective spectral efficiency. This loss can be quantified using the relation
Efficiency = 1 1 + μ ,
where μ = L CP N represents the ratio of CP length to the number of data symbols. For example, when μ = 0.07 , which is typical for short-delay channels, the spectral efficiency is approximately 93.5 % , corresponding to a 6.5 % loss due to CP insertion. In scenarios with extended multipath delay, such as urban or wideband channels where μ = 0.25 , the efficiency further decreases to around 80 % , implying a 20 % loss in useful throughput articlecp. Such degradation becomes critical for high-rate or energy-constrained systems. Consequently, wavelet-based modulation schemes, which inherently eliminate the need for a CP, offer superior spectral efficiency and are more suitable for next-generation systems requiring compact bandwidth utilization and low energy consumption. This limitation is particularly critical in multipath environments where long CPs are required to prevent ISI [25]. The rectangular window in FFT-based OFDM modulation generates spectral side-lobes that result in signal leakage to adjoining frequency bands. These aspects make the OFDM techniques more prone to timing and frequency offsets [26]. These challenges are particularly pronounced when designing energy-efficient communication systems or incorporating SWIPT in OFDMA architectures. To highlight the impact of these limitations, Figure 4 presents a comparative analysis of energy efficiency versus the transmit power for conventional OFDMA and SWIPT-enabled OFDMA systems. The curve for SWIPT-OFDMA shows an initial increase in energy efficiency as transmit power rises, owing to the added benefit of simultaneous energy harvesting. However, beyond a certain power threshold, the efficiency declines due to CP overhead and increased interference. While the conventional OFDMA consistently underperforms in terms of energy efficiency across the entire power range due to its inability to harness energy or mitigate redundant signaling. These observations highlight the limitations of traditional FFT-based OFDM systems and motivate the need for alternative modulation schemes that can reduce redundant signaling and improve spectral containment.
Alternatively, the discrete wavelet modulation (DWM) is proposed in the literature to reduce ICI and enhance spectral diversity [28]. Wavelets are composed of small waves that split the signals into separate frequency components, hence satisfying the resolution of diversity in time and frequency and providing various wavelet transform basis functions [29]. The wavelet transform offers advantages over the conventional Fourier transform, in terms of side-lobe suppression and time–frequency localization. These properties directly enhance NOMA’s interference management by minimizing inter-user and inter-symbol interference during the SIC process [30]. In wavelet-based NOMA, compactly supported and orthogonal wavelet filters confine signal energy more effectively within each sub-band, thereby reducing spectral leakage from higher-power users, which impairs the decoding of lower-power users. Consequently, wavelet-domain filtering enhances SIC accuracy, leading to lower residual interference and improved reliability under imperfect channel estimation conditions [31]. To improve bit error rate (BER) efficiency and overall capacity of the NOMA networks, multi-wavelets are proposed in the literature for constructing innovative pulse-shaping filters [32].
The effect of channel noise and imperfect SIC was considered for FFT and wavelet NOMA for a multi-user scenario in [33] as imperfect SIC leads to the production and propagation of residual error. Recent studies have explored advanced PHY-layer structures to enhance NOMA performance under realistic channel conditions. For instance, the Dual PHY Layer NOMA transceiver proposed in [31] introduced a single-input–multiple-output (SIMO) configuration to improve detection reliability and interference suppression, demonstrating that spatial diversity at the receiver can significantly enhance spectral and energy efficiency. Based on this concept, the authors in [34] extended the framework to a massive MIMO–NOMA architecture employing wavelet pulse shaping to mitigate unwanted channel interference and improve spectral containment. In contrast, the present study focuses on a single-input–single-output (SISO) configuration that integrates SWIPT-CWNOMA. This serves as an analytical foundation for future multi-antenna extensions. Specifically, our results establish baseline error and energy-efficiency behavior under imperfect SIC and channel estimation, which can be directly generalized to SIMO and MIMO configurations following the methodologies of [31,34]. The stepwise transition—from SISO to SIMO and ultimately to massive MIMO—will allow the investigation of spatial diversity and wavelet-domain interference suppression jointly with energy harvesting optimization, forming a natural progression of this research direction.
Lower power requirements for frequency offsets due to interference enable WNOMA to reduce errors from imperfect SIC. This also helps the signal to be reconstructed with greater spectral and energy efficiency (EE) and reduces the system SER. Therefore, SWIPT-CWNOMA may perform comparatively better under both perfect and imperfect SIC scenarios. This improved performance can be related to good filter response and lower out-of-band (OOB) radiation of the wavelet transform. These characteristics make SWIPT-CWNOMA a potentially strong candidate to be used in future radio networks (FRNs). The latest research in this regard is presented in Table 1.
Table 1 presents a comprehensive comparison of recent NOMA-based communication schemes considering various performance indices, including relaying, SWIPT, multiuser configuration, and wavelet-based transmission. Early studies, such as [30,32], focused on WNOMA networks primarily to enhance spectral confinement and mitigate inter-carrier interference; however, these works lacked consideration of relaying, EH mechanisms, and imperfect SIC error analysis. The authors in [33] extended this framework by incorporating imperfect SIC conditions, demonstrating improved robustness at the cost of increased complexity. More recent contributions in [34] further explored wavelet pulse shaping in massive MIMO NOMA to suppress inter-channel interference, confirming the suitability of wavelet filters for high-capacity systems.
In contrast, CNOMA models [35,36,37] use DF relays to enhance cell-edge performance. Although these methods improved achievable SINR and outage probability, they did not address SE degradation due to CP or redundant power usage. The recent trend toward SWIPT-enabled CNOMA systems [15,39] integrates SWIPT, providing a sustainable solution for energy-constrained users. However, most of these designs still employ conventional Fourier-based modulation, limiting their spectral compactness. The proposed SWIPT-CWNOMA scheme bridges these gaps by jointly exploiting wavelet filtering, cooperative relaying, and SWIPT to achieve concurrent improvements in spectral efficiency, EH, and interference mitigation. Unlike existing WNOMA or CNOMA models, it fully integrates residual error compensation (REC) and imperfect SIC modeling, resulting in performance gains across all key performance indicators (KPIs), including SINR, achievable rate, and EE. Hence, the proposed approach represents a unified, spectrum-efficient design paradigm suitable for next-generation 6G wireless networks. While the proposed wavelet-based NOMA framework offers improved spectral efficiency and interference suppression, it inherently introduces additional implementation challenges. Wavelet filter banks typically require tight time–frequency synchronization and longer filter responses compared to FFT-based systems, which may increase computational overhead and latency [40]. Moreover, the realization of DWT and inverse DWT (IDWT) modules on hardware platforms demands higher resource utilization, making low-power mobile device implementation more complex [41]. These factors must be carefully balanced in future designs to ensure that the benefits of spectral containment and improved SIC performance are achieved without compromising real-time feasibility or energy efficiency. The primary source of overhead lies in the multi-level filter bank operations of the DWT, which can be effectively mitigated using lifting-based implementations, parallel filter architectures, and hardware-friendly wavelet designs. Recent studies have shown that DWT-based OFDM and NOMA systems can achieve real-time performance on FPGA and DSP platforms through optimized lifting schemes and memory-efficient filter structures [42,43]. Furthermore, hardware-oriented designs such as integer wavelet transforms and reconfigurable filter banks significantly reduce processing latency, making wavelet-domain processing feasible for mobile and IoT devices.

2.2. Research Gap and Contributions

In wireless communication networks, significant progress has been made in enhancing the performance of NOMA systems through technologies like CR, user clustering, MIMO, and FD/HD operation; however, the integration of wavelet-based techniques into CNOMA remains an unexplored area. Wavelet CNOMA has the potential to address critical challenges in future wireless networks, such as reducing inter-user interference, improving error resilience, and enabling efficient resource allocation in highly dynamic environments. Recent work on RIS beamforming optimization in NOMA systems [44] highlights how adaptive reflection phase control can further enhance cooperative and interference management performance, providing a promising direction for integrating wavelet-based signal processing with RIS-assisted architectures. Additionally, the combination of wavelet transforms with advanced technologies such as THz communication and MIMO could unlock new possibilities to improve system capacity and reliability. Addressing this gap could lead to innovative solutions for next-generation wireless networks, making Wavelet NOMA a promising area for future research.
A literature review indicates that most studies consider perfect SIC for PD NOMA, and SIC error is not incorporated into the calculations for various KPIs that impact system throughput and data recovery. The challenges of high bandwidth demand and interference in NOMA can be addressed by utilizing CWNOMA. CWNOMA offers a solution to the mentioned problems with its excellent filter characteristics and low bandwidth requirements, even under imperfect SIC conditions. The incorporation of SWIP further enhances energy efficiency by enabling energy-constrained devices to harness power from received RF signals. Thus, it is expected that the proposal of a DWT-based SWIPT-CNOMA system would be another milestone in achieving the quality of service (QoS) and enhanced performance as demanded by B5G networks. The contributions of this research work can be summarized as follows.
  • A novel SWIPT-CWNOMA system is proposed for an energy-constrained multi-user wireless network, considering the Rayleigh fading channel conditions to reflect realistic wireless propagation conditions. The network employs an energy-efficient wavelet transform-based CNOMA system in which the wavelet transform is applied to enhance signal reconstruction and SWIPT to improve reception reliability and EE.
  • In this research work, the expressions for SINR, achievable capacity, and EE are derived for a multi-user SWIPT-CWNOMA system. The expressions are derived under both perfect and imperfect SIC conditions at a variable range of SNR. For a fair comparison, we have also presented an analysis of SWIPT-CWNOMA with reference to OMA and CNOMA systems in the context of EE, signal-to-interference and noise ratio (SINR), and throughput.
  • The residual error analysis is provided for each of the multiple users under varying power allocation strategies. The analysis highlights the impact of power factor (PF) allocation settings on the SIC efficiency of the users.
The rest of this article is organized as follows: Section 3 presents the DWT-based SWIPT-CWNOMA system model. Section 4 derives the SINR, achievable rate, and EE expressions. Section 5 reports simulation and analytical results. Section 6 concludes the manuscript.

3. System Model

The block diagram for SWIPT-CWNOMA is shown in Figure 5. Each user is assigned powers based on its distance from the BS. Users are indexed by path loss, with user 1 the far user (highest power) and the other users k 2 the near and intermediate users. Superposition coding (SC) algorithm and inverse wavelet transform are applied to the signal at the transmitter end. SC allows multiple signals to be transmitted simultaneously over the same frequency band, thereby increasing the throughput of the communication network. The BS and the users deploy the single-input–single-output (SISO) antenna to transmit the signal. The signal of user 1 is more likely to be attenuated due to the larger distance from the BS.
At the receiver, the wavelet transform is applied to the received signal, and the users remove the interference from their signals using SIC. At the nearest user, SIC decodes and cancels users in ascending power order ( 1 , 2 , , U 1 ) before decoding its own signal; residuals from earlier cancellations are captured by β m k (later in this manuscript). In the first phase, each user first harvests a portion of the power from the signal and then uses the remaining power to decode the signal of user 1. In the second phase (cooperative phase), this signal is relayed to user 1. Although the portion of power harvested is low, we assume it is enough to relay the signal to the intended user [27]. Hence, user 1 obtains one version of the signal from the BS, and the others are relayed from the U 1 users, respectively. User 1 then uses a combining technique, i.e., maximal ratio combining (MRC), to obtain a better estimate of the transmitted signal. The signals are then demodulated and decoded to recover the transmitted signals.

3.1. Phase I: Transmission in Wavelet NOMA

The data of all the users is multiplexed by applying SC to improve the system capacity. The superposed signal x [ n ] is expressed as:
x [ n ] = i = 1 U α i P x i [ n ] ,
where x i [ n ] expresses the signal of user i after coding and mapping and { x i [ n ] } is a zero-mean and unitary variance stationary random process, U denotes the total number of users in the CWNOMA scheme, α i denotes the portion of the total transmission power allocated to the i-th user such that i = 1 U α i = 1 , and P is the total transmission power. The power allocation factor α i follows a distance-based criterion, where users located farther from the BS experience higher path loss and are consequently assigned greater power coefficients. Specifically, the allocation is determined as a function of the users’ normalized distances from the BS,
α i = d i η i = 1 U d k η ,
where d i denotes the distance between the BS and the i-th user, and η is the path-loss exponent. This ensures fairness in received signal power levels across users with varying channel conditions. Such distance-based power allocation avoids the overhead of real-time channel estimation while maintaining reliable SIC performance, particularly under cooperative relaying. Similar distance-based strategies have been validated in prior NOMA studies [45] for fuzzy interference systems and for three-user CR NOMA in downlink communication [46]. The signal x [ n ] is submitted to the synthesis filter bank of a wavelet filter bank (WFB). These wavelet filters are utilized as IDWT at the transmitting side and DWT at the receiving side. After processing through the synthesis filter bank, the modulated symbols are transformed into wavelet-modulated symbols. This process utilizes both scaling and wavelet functions to modulate the input signal, which is separated into its low-frequency and high-frequency components [33]. The sequence at the output of the synthesis filter bank is denoted by x I D W T [ n ] , which is transmitted over the channel [34]. In OFDM, each subcarrier experiences a flat (one-tap) fading coefficient after FFT processing, owing to the CP, which transforms the time-domain convolution into a per-subcarrier multiplication. The equivalent per-subcarrier model is given as
y k [ n ] = j ( α j P ) ( h k x j ) [ n ] + w k [ n ] k = 0 , 1 , , N 1 ,
where h k denotes the frequency response of the multi-path channel on the k-th subcarrier. In the proposed WNOMA or CWNOMA system, the DWT replaces the FFT block. The transmitted signal is first decomposed into orthogonal sub-bands through the analysis filter bank represented by the operator W ( · ) . For a Rayleigh fading channel with impulse response h [ n ] , the received signal after the DWT operation is
y ˜ k = W ( y k ) = j ( α j P ) d i a g ( W ( h k ) ) x ˜ j + w ˜ k D W T .
where h k is one-tap channel impulse response, w ˜ k D W T is the transformed additive noise component. Each wavelet sub-band (analogous to an OFDM subcarrier) can thus be modeled as a one-tap flat-fading channel provided that the sub-band bandwidth is narrower than the channel coherence bandwidth. The DWT matrix W is assumed to be unitary, i.e., W H W = I . Hence, the signal energy and noise variance are preserved under transformation, i.e., y k 2 = y ˜ k 2 and w k CN ( 0 , N 0 I ) w ˜ k CN ( 0 , N 0 I ) . The transmitted symbols of each user are statistically independent and satisfy E [ | x ˜ i [ m ] | 2 ] = 1 , ensuring that inter-user interference can be isolated in the SINR derivation.
y ˜ k [ m ] = j ( α j P ) H k [ m ] x ˜ j + w ˜ k D W T [ m ] .
Each wavelet sub-band is assumed to experience approximately constant channel gain such that H k [ m ] represents a single complex gain for the m-th sub-band, and the users are assumed to be synchronized in both time and frequency domains, so that inter-symbol and inter-carrier interference between sub-bands remains negligible. For our SWIPT-CWNOMA model the signal received by each user k during the phase 1 (P1) is given by:
y k , P 1 = h k j = 1 U α j P x j I D W T , k = 1 , 2 , , U ,
where
h k = h ^ k + e k , k { 0 , 1 , 2 } ,
where h ^ k denotes the estimated channel coefficient and e k represents the estimation error. The error term is modeled as a complex Gaussian random variable, i.e., e k CN ( 0 , σ e k 2 ) . The factors h 1 , h 2 , and h 3 correspond to the channel gains of the BS→U1, BS→U2, and BS→U3 links, respectively, while h ^ 1 , h ^ 2 , and h ^ 3 denote their corresponding estimated values [14], α j is the power allocation coefficient for user j, P is the total transmit power, x j is the information symbol intended for user j, w k is the AWGN between the BS and the k t h user, and w k are additive and stationary random processes such that w k CN ( 0 , N 0 ) . The error and estimated channel are uncorrelated, i.e., e k h ^ k , and the estimation error has zero mean, E [ e k ] = 0 . Taking the statistical expectation E [ · ] under these assumptions yields an SINR expression with an error-inflated interference term, capturing the degradation due to channel uncertainty and the effective noise power, becomes σ w 2 + α P E [ | e | 2 ] and is bounded to channel estimation error as in (21). After applying the DWT, the received signal becomes:
y k , P 1 DWT = W ( y k , P 1 ) ,
= h k j = 1 U α j P x j + w k D W T .
where h k is the one-tap channel impulse response, W denotes the DWT operator (a unitary transform), and w k D W T is the noise after passing through WFB and w k D W T are additive and stationary random processes such that w k D W T CN ( 0 , N 0 ) . For SIC, the per-stage SINR for a user k when decoding user m’s signal is given by
SIN R k m = | h k | 2 α m P | h k | 2 j = m + 1 U α j P + σ w 2 ,
where σ w 2 is the noise variance. User 1 will directly decode the signal due to high power allocation, and the signal can be represented as,
y 1 , P 1 = h 1 α 1 P x 1 + h 1 j = 2 U α j P x j + w 1 .
In which the first term is the required signal of user 1, while the second term presents the interference from weaker users, and w 1 is the AWGN between the BS and user 1. After applying the DWT, the expression becomes
y 1 , P 1 DWT = W ( y 1 , P 1 ) = h 1 α 1 P x 1 + h 1 j = 2 U α j P x j + w 1 D W T
in which w i D W T and ( i = 1 , 2 , , U ) are the output noise after passing through DWT filter banks. Now, the near users will use SIC to decode their signal using the harvested power. The users will perform SIC to first decode the signal of user 1. The SIC error for near users to decode the signal of user 1 in the three-user scenario is given as in [33],
e x 1 2 = h 2 h ^ 2 α 1 ( 1 ϕ 2 ) P x ^ 1 ,
where e x 1 2 is the residual of user 1’s component left at user 2 after imperfect cancellation, ( h i h ^ i ) is the channel estimation for user i and ( i = 2 , , U ) , x ^ 1 is the estimate of user 1’s signal, ( h 2 h ^ 2 ) α 1 ( 1 ϕ 2 ) P x ^ 1 shows the interference term of user 1, because of imperfect SIC. For each relaying user i ( i 1 ), ϕ i denotes the power splitting factor, constrained within 0 < ϕ < 1 . A fraction ϕ i of the received power in energy harvesting is used to relay the data from user i to the far user, while the remaining portion ( 1 ϕ i ) is used for information decoding at the relaying user. Similarly, the residual error of user 1 to remove user 3’s signal is:
e x 1 3 = h 3 h ^ 3 α 1 ( 1 ϕ 3 ) P x ^ 1 .
in which ( h 3 h ^ 3 ) α 1 ( 1 ϕ 3 ) P x ^ 1 denotes the interference term of user 1. We represent the normalized residual PF for SIC-performing users as
β 1 k E | e x 1 k | 2 E | α 1 ( 1 ϕ k ) P x 1 | 2 [ 0 , 1 ] , k { 2 , 3 } .
β 1 k gives a normalized measure of how much residual interference is left relative to the strength of the desired signal. A higher value for β implies that the SIC is less effective, and the interference is more significant. In the sequel, other users located near the BS apply SIC, but considering practical channel impairments, the SIC will be imperfect. The signal at user 2 for information decoding is represented as:
y 2 , P 1 = 1 ϕ 2 h 2 P α 1 x 1 + α 2 x 2 + α 3 x 3 + w 2 D W T
User 2 will decode its data from the combined signal while taking the signal of other users as noise. There will be some residual error present in the detected signal because of imperfect SIC and imperfect decoding. The signal for user 2 after SIC is given by,
y 2 , P 1 = 1 ϕ 2 h 2 P α 2 x 2 + α 3 x 3 + 1 ϕ 2 ( h 2 h ^ 2 ) α 1 P x ^ 1 + w 2 D W T
where h ^ i is the channel estimate for the channel between the BS and user i, ( h i h ^ i ) is the channel estimation error for user i, 1 ϕ 2 ( h 2 h ^ 2 ) α 1 P x ^ 1 shows the interference term of user 1, because of imperfect SIC, and 1 ϕ 2 h 2 P α 3 x 3 shows the uncancelled user 3’s signal. For each relaying user i ( i 1 ), ϕ i denotes the power splitting factor, constrained within 0 < ϕ < 1 .
A fraction ϕ i of the received power in energy harvesting is used to relay the data, while the remaining portion ( 1 ϕ i ) is used for information decoding at the relaying user. Similarly, the residual error of user 2 in removing user 3’s signal is
e x 2 3 = h 3 h ^ 3 α 2 ( 1 ϕ 3 ) P x ^ 2 .
and the normalized residual PF becomes:
β 2 k E | e x 2 k | 2 E | α 2 ( 1 ϕ k ) P x 2 | 2 [ 0 , 1 ] , k { 3 } .
For user 3, the residual error term is introduced from user 1 as well as user 2. For the three-user scenario, the signal after performing SIC for user 3 is expressed as,
y 3 , P 1 [ n ] = h 3 α 3 ( 1 ϕ 3 ) P x ^ 3 + w 3 D W T + ( h 3 h ^ 3 ) α 1 ( 1 ϕ 3 ) P x ^ 1 + ( h 3 h ^ 3 ) α 2 ( 1 ϕ 3 ) P x ^ 2 ,
where ( h 3 h ^ 3 ) α 1 ( 1 ϕ 3 ) P x ^ 1 and ( h 3 h ^ 3 ) α 2 ( 1 ϕ 3 ) P x ^ 2 show the interference term of user 1 and user 2, respectively, because of imperfect SIC. Hence, user 1, being the FU, will only experience the channel noise, while users 2 and 3 will use SIC to decode their data. With DWT, residual interference is reduced because spectral leakage is suppressed, and wavelet filters orthogonally separate the components of the signal. The residual error for FFT can be related to channel estimation as:
e i F F T | h i h ^ i | 2 ,
where | h i h ^ i | 2 quantifies the residual uncertainty in the channel, which introduces distortion and degrades system performance. A higher mismatch between the true and estimated channel leads to greater residual error, which may degrade decoding performance. The residual error for SWIPT-CWNOMA can be bounded to the channel estimation as:
e i D W T = α i ( 1 ϕ i ) P . m a x ( | h i h ^ i | 2 ) ,
where α i ( 1 ϕ i ) P is the power allocated for information decoding, and it is scaled by the worst channel approximation m a x ( | h i h ^ i | 2 ) . The above equation effectively captures the impact of both cooperative wavelet processing and energy harvesting mechanisms, thereby making the system more robust in dynamic wireless environments. Compared to the conventional FFT error, the DWT-based formulation provides a comprehensive and practical error representation for energy-constrained multi-user scenarios.
Let S O O B F and S O O B D represent the spectral leakage power outside the main lobe for FFT and DWT modulations, respectively. It is known that:
S O O B D < < S O O B F ,
This is due to the smoother roll-off and shorter support of wavelet basis functions compared to sinc-based OFDM pulses [43]. Hence, inter-user and inter-symbol interference are significantly mitigated. Wavelet transforms concentrate signal energy into fewer coefficients, improving the efficiency of EH. For a near user k 2 , the harvested power during Phase 1 is modeled as:
P H , k = η ϕ k P G E , k | h k | 2 ,
where η ( 0 , 1 ] is the rectifier efficiency, ϕ k [ 0 , 1 ) is the power-splitting ratio at user k, P is the BS transmit power, G E , k 0 is the effective energy-capture gain of the receive chain (including wavelet-domain processing and EH front-end) for user k, and h k is the small-scale channel coefficient in Phase 1. Similarly, summing over all the near users, we obtain [47]:
P H = k 2 η ϕ k P G E , k | h k | 2 .
where G E , k is an empirical, implementation-dependent gain that lumps the receive-chain and processing effects relevant to energy capture. The researchers do not assume a universal inequality, such as G E , k > 1 ; instead, G E , k is specified by the simulation setup (constant across users) and reported in the parameter table.
Since wavelets concentrate most of the signal energy in fewer dominant coefficients and noise remains unstructured, the reconstructed signal retains significantly higher energy compared to residual noise after implementing DWT processing.
E [ | x [ n ] | 2 ] > > E [ | w D W T [ n ] | 2 ] .
This highlights the effectiveness of wavelet transform-based denoising in preserving useful signal components while substantially suppressing noise. This property is particularly advantageous in cooperative Wavelet NOMA systems, where accurate signal separation and interference mitigation are critical for reliable decoding and efficient spectrum utilization. This allows us to model an effective improvement in the SNR of the system after applying wavelet filters.
σ w , post 2 = γ σ w 2 ,
γ ( 0 , 1 ) models DWT denoising [48]. We can represent the improved SNR of the system as
ρ w = P E [ | h | 2 ] γ σ w 2 = ρ E [ | h | 2 ] γ
where
ρ P σ w 2
where γ < 1 models the denoising gain to reflect the noise reduction effect of the wavelet transform. In practical scenarios, depending on the level and noise type, the wavelet transform improves the SNR ( ρ w ) of the signal due to the implementation of high-quality wavelet filters, so noise levels are lower for the users. Therefore, wavelet filter-based NOMA can efficiently recover the signal and effectively remove the unwanted noise as compared to FFT, NOMA, and OMA. In addition, EH mitigates the impact of imperfect SIC by providing additional energy to support the increased computational and retransmission demands caused by residual interference. Imperfect SIC often requires advanced signal processing techniques, such as iterative decoding or robust interference mitigation algorithms, which consume additional energy. EH enables devices to harvest ambient energy, ensuring sufficient power for these operations without relying solely on battery reserves. Furthermore, when decoding errors occur due to residual interference, EH provides the energy necessary for retransmissions, maintaining reliable communication, and reducing outage probability. The near users will now relay the data to user 1, using the energy harvested in the first phase.

3.2. Phase II: Cooperative Phase

During the cooperative phase, near users will be used as half-duplex, DF relays to send signal copies to user 1. Hence, user 1 obtains one copy of the signal directly from the BS and the other copies through the relays. The signal at user 1 from each relay in phase 2 (P2) is presented as:
y 1 , P 2 = i = 2 U P r , i x 1 h 1 i + w 1 i .
where h 1 i is the one-tap channel impulse response between i-th user and user 1, w 1 i CN ( 0 , σ w 2 ) and represents the channel noise between the relaying user and user 1, and the relay transmit power P r , i under power splitting SWIPT is given as,
P r , i = η α i ϕ i P G E , i , i 2 .
where G E , i is empirical gain as the ratio of harvested power in the DWT system to the power harvested in the FFT-based system, G E = P H D W T P H F F T . η is the power conversion efficiency of EH receivers, ( 0 < η < 1 ), P is the transmit power of the system. Since user 1 receives two independent copies of x 1 (direct BS transmission and the relayed sum), MRC applies [49]. Thus, the effective SNR at user 1 is given by the sum of the SNRs from the direct link and the aggregated relayed links. So the signal at user 1 after MRC is represented as:
y 1 = h 1 α 1 P x 1 direct   link + i = 2 U h 1 i P r , i x 1 + w 1 i relayed   links + w 1 ,
h 1 i is the one-tap channel impulse response between i-th user and user 1, w 1 CN ( 0 , σ w 2 ) and represents the channel noise for user 1. In (31), the first term is the desired term for user 1, the second term comprises relayed desired signals from near users, and the last term is receiver noise.

4. Analysis of SINR, Achievable Rate, Energy Efficiency, and Computational Complexity of Multi-User SWIPT-CWNOMA

In wireless communication systems, the signal-to-interference-plus-noise ratio (SINR), achievable rate, and EE are key performance metrics that are closely interrelated. The SINR determines the instantaneous quality of signal reception under interference and noise, directly influencing the achievable transmission rate according to the Shannon capacity theorem. The achievable rate quantifies the maximum data rate that can be reliably transmitted over the channel, serving as a bridge between the physical-layer performance and the system throughput. Energy efficiency is defined as the ratio of the data rate to the total power consumed and reflects the overall energy utilization efficiency of the system. In the proposed SWIPT-CWNOMA model, these three metrics are analyzed to evaluate the trade-off between spectral and energy performance under imperfect SIC conditions.

4.1. SINR Analysis

During the first phase of transmission, specifically the direct phase of downlink WNOMA, user 1 decodes its message through direct decoding. For user 1 (direct phase), the SINR is represented as:
SINR U 1 = α 1 ρ w G w 1 | h 1 | 2 1 + ρ w | h 1 | 2 i = 2 U α i ,
where G w i ( i = 1 , 2 , , U ) is an empirical DWT gain factor and represents the improved values of SINR of the wavelet filter-based system in comparison to the FFT-based system and ρ w represents the SNR of the system after the implementation of wavelet filters and the Rayleigh fading channel, while SNR for FFT can be defined as ρ F F T = P / σ F F T 2 .
For the three user cases, user 2 will first decode the data of user 1 due to its higher power allocation (PA) factor. Hence, at user 2, the SINR to decode the data of user 1 is given by:
SINR U 1 , U 2 = α 1 ( 1 ϕ 2 ) ρ w G w 2 | h 2 | 2 1 + ( α 2 + α 3 ) ( 1 ϕ 2 ) ρ w | h 2 | 2 .
in which α 2 and α 3 are the power allocation factors of user 2 and user 3, respectively, h 2 is the channel gain between the base station and user 2, and ρ w is the transmit SNR at the base station.
Near users will now perform SIC to decode their signal from the decoded data of user 1. Due to imperfect SIC, a residual term of user 1’s power is present as an interference to user 2. The SINR of user 2, for decoding its signal, is given as:
SINR U 2 = α 2 ( 1 ϕ 2 ) ρ w G w 2 | h 2 | 2 1 + α 3 ( 1 ϕ 2 ) ρ w | h 2 | 2 uncancelled   U 3 + β 1 2 α 1 ( 1 ϕ 2 ) ρ w | h 2 | 2 residual   from   U 1 .
where β 1 2 is the normalized residual error left due to imperfect SIC shown in (14) (computed for the three-user case). The value of β = 0 shows perfect SIC conditions, and β = 1 represents the worst-case scenario of SIC or no SIC.
For user k decoding its own data after removing k 1 users with the residual error β k :
SINR U k = α k ( 1 ϕ k ) ρ w G w k | h k | 2 1 + ( 1 ϕ k ) ρ w | h k | 2 j > k α j uncancelled   j > k   users   with   higher   decoding   order + ( 1 ϕ k ) ρ w | h k | 2 m < k β m k α m residual   from   m < k   users .
where β m k is the normalized residual interference from m users at user k due to imperfect SIC as in (14) and (17). At high SNR, as noise becomes negligible, only residual interference remains significant due to imperfect SIC, and the SINR is represented as:
lim ρ SINR U k = α k G w k | h k | 2 j > k α j + m < k β m k α m .
where α k is the power allocation factor of user k, G w , k denotes the dimensionless SNR gain due to DWT-domain denoising for user k; it does not include the small-scale fading term | h k | 2 , which is kept explicit in all formulas. This equation highlights that even at infinite transmit power, SINR saturates due to multi-user interference and residual SIC errors. It formalizes the idea that NOMA performance is not noise-limited at high SNR but interference-limited. It also shows why improving channel estimation (reducing β ) and denoising via DWT (increasing G w k ) are crucial to achieving performance gains.
In the sequel, user 3 will follow the same series of steps. The SINR of user 3 to decode the data of user 1 is given as:
SINR U 1 , U 3 = α 1 ( 1 ϕ 3 ) ρ w G w 3 | h 3 | 2 1 + ( α 2 + α 3 ) ( 1 ϕ 3 ) ρ w | h 3 | 2 .
Now user 3 will use SIC and decode the data for user 2 (after cancelling U 1 imperfectly), and the SINR is given as:
SINR U 2 , U 3 = α 2 ( 1 ϕ 3 ) ρ w G w 3 | h 3 | 2 1 + α 3 ( 1 ϕ 3 ) ρ w | h 3 | 2 + ( 1 ϕ 3 ) ρ w | h 3 | 2 β 1 3 α 1 .
in which β 1 3 is the normalized residual error as shown in (14). User 3 will now decode its signal as,
SINR U 3 = α 3 ( 1 ϕ 3 ) ρ w G w 3 | h 3 | 2 1 + ( 1 ϕ 3 ) ρ w | h 3 | 2 β 1 3 α 1 + β 2 3 α 2
During the cooperative phase, the relaying users will transmit the already decoded data of user 1. User 1 will use MRC to combine the signals of the users to decode its data. The SINR for user 1 after MRC can be expressed as:
SINR U 1 MRC = α 1 ρ w G w 1 | h 1 | 2 1 + ρ w | h 1 | 2 j = 2 U α j direct   link + i = 2 U η α i ϕ i G E , i ρ w G w , 1 i | h 1 i | 2 sum   of   relayed - branch   SNRs
In which the first term is from the direct decoding of the signal for user 1, and the second term is the signal relayed from energy harvesting and the SIC performing users.

4.2. Achievable Capacity Analysis

According to the given SINR, the standard Shannon capacity expression under half-duplex (due to two-phase operation) for SWIPT-CWNOMA will now be expressed as in [15]
R i , j = 1 2 log 2 ( 1 + S I N R U i , U j ) ,
where j is the user that is decoding the data of i-th the user. The achievable data rate of user 1 is now given by:
R 1 = 1 2 log 2 1 + SINR U 1 MRC .
R 1 = 1 2 log 2 1 + α 1 ρ w G w 1 | h 1 | 2 1 + ρ w | h 1 | 2 j = 2 U α j + i = 2 U η α i ϕ i G E , i ρ w G w 1 | h 1 i | 2 .
The far user’s achievable rate is boosted by cooperation, as it benefits from both the direct transmission and the relayed signals forwarded by near users who harvest energy using the SWIPT mechanism. The denominator captures the effect of interference from other users sharing the channel. The achievable rate shows how energy harvesting efficiency and relay cooperation directly translate into higher achievable rates for far users. The achievable data rate of SIC-performing users in the SWIPT-CWNOMA system is given by:
R k = 1 2 log 2 1 + α k ( 1 ϕ k ) ρ w G w , k | h k | 2 1 + ( 1 ϕ k ) ρ w | h k | 2 j > k α j + m < k β m k α m , k = 2 , , U .
According to (44), the numerator contains the allocated PF scaled by G w , while the denominator collects the residual interference from users with lower power levels. Thus, the achievable rate of an SIC-performing user is governed by the tradeoff between the assigned power and the interference that remains after imperfect cancellation. The factor ( 1 ϕ k ) further emphasizes the SWIPT constraint: each user must divide the received signal between energy harvesting and information decoding, so greater energy harvesting reduces the effective SNR. At high SNR, the achievable rate of user k can be approximated as:
R k High - SNR = 1 2 log 2 1 + α k G w , k j > k α j + m < k β m k α m .
Unlike the low-to-moderate SNR region where additive noise dominates, here the rate saturates to a finite ceiling determined solely by the multiuser interference structure and SIC performance. G w k highlights the role of wavelet-domain processing in enhancing adequate channel strength, while the denominator captures the penalty from residual interference cancellation errors. This result demonstrates that in SWIPT-CWNOMA, system capacity at high SNR is constrained not by noise but by residual interference and power-allocation imbalance, thereby underscoring the critical importance of accurate SIC design and optimized resource allocation. In SWIPT-CWNOMA, the SIC receiver at user k attempts to decode and cancel out the signals of far users (those with higher power). At high SNR, noise becomes negligible, so the only limiting factor is how effectively the interference from those users is removed. At a perfect SIC where the normalized residual error is 0, the expression for SINR becomes:
R k m a x = 1 2 log 2 1 + α k ( 1 ϕ k ) ρ w G w k | h k | 2 .
This gives the best-case scenario for rate analysis. Since SIC is perfect, there is no interference, and user k experiences only the desired signal attenuated by channel effects and power splitting. This rate helps to benchmark the upper limit of system performance. For the worst-case scenario, β = 1 the equation becomes:
R k m i n = 1 2 log 2 1 + α k ( 1 ϕ k ) ρ w G w k | h k | 2 1 + j > k α j ( 1 ϕ k ) ρ w | h k | 2 + m < k α m ( 1 ϕ k ) ρ w | h k | 2 .
The numerator with the residual error will dominate the fraction and will decrease the achievable rate of the user. This helps evaluate the system’s robustness. In real-world deployments, especially with imperfect hardware or channel estimation errors, some SIC failures are expected. Thus, this model helps ensure QoS guarantees under such adverse scenarios.

4.3. Energy Efficiency Analysis

The total power of the simple PD NOMA system is represented as in [27],
P s = ζ k = 1 U P k + P c .
in which ζ is the reciprocal of the efficiency of the power amplifier, P c is the power consumed by the system hardware, and is usually taken as a fixed value for simulations. The total power consumption of the SWIPT CWNOMA is compensated by the EH at the receivers and is modeled as:
P s SWIPT = ζ k P k + P c P H ,
in which P H is the harvested power (23). The minus sign indicates that the receiving nodes or users can harvest a portion of the power from the transmitter. The EE is the ratio of the sum rate and the total power of the system. So, the EE of the system is expressed as:
EE = B k = 1 U 1 2 log 2 1 + SINR k ζ k = 1 U P k + P c E k = 2 U η ϕ k P G E , k | h k | 2 .
The authors evaluate (50) using average harvested power under normalized Rayleigh fading, i.e., E [ | h k | 2 ] = 1 and P k = α k P , where B is the bandwidth of the NOMA network. The EE expression captures the trade-off between the total achievable throughput and the consumed power. The numerator represents the overall system throughput, accounting for the spectral efficiency of each user under realistic decoding conditions with imperfect SIC. The denominator models the effective power consumption, incorporating both the actual transmission and circuit power, while also deducting the energy recovered through wireless energy harvesting. This comprehensive formulation reflects a practical energy-aware communication environment, where users not only decode information but also harvest part of the received energy. The expression enables performance evaluation under both ideal and non-ideal conditions, allowing for system optimization in terms of throughput per unit of energy consumed.
As P , R i saturates, the transmit power increases linearly. As the transmit power requirement increases, the denominator dominates:
E E h i g h S N R 0 ,
So, EE decreases at high SNR, a fundamental trade-off in power-limited systems, as in the case of SWIPT-CWNOMA. Hence, optimizing power levels is crucial for maintaining a balance between throughput and energy consumption, particularly in energy-constrained applications. This research defines the DWT versus FFT baseline gains as:
G w = SINR DWT SINR FFT , G E = P H DWT P H FFT .
For the FFT baseline, the harvested power at relay i is:
P H FFT = η ϕ i P | h i | 2 ,
where P H FFT and SINR FFT represent the harvested power and SINR, respectively, for FFT-based SWIPT-NOMA system.

4.4. Computational Complexity Analysis

Computational complexity is an important consideration in system design. In conventional FFT-based NOMA, the fast Fourier transform exhibits a computational cost of O ( N log N ) , where N denotes the number of modulated symbols. In contrast, WNOMA utilizes the DWT, which performs multi-resolution signal decomposition through filter banks and requires only O ( N ) operations [28]. Since the prototype filter length in DWT implementations is typically much smaller than N, the associated overhead is negligible. Therefore, WNOMA achieves a lower overall computational burden compared to FFT-based NOMA schemes. The SIC process required for user detection in CNOMA contributes a complexity of O ( U 2 M ) , where U represents the number of users and M is the number of data symbols per frame. The channel estimation further adds a complexity of O ( S ) that is proportional to the number of pilot sub-bands S. The SWIPT functionality introduces additional operations associated with power-splitting (PS) control, EH estimation, and relay power computation. The EH estimation is lightweight, typically O ( S EH ) where S EH is the number of pilot samples used for energy measurement. If joint optimization of power factors and PS ratios is executed, the complexity may increase up to O ( U 3 ) per optimization run, but this is usually performed at a slower timescale and amortized over several frames. Consequently, the total per-frame complexity can be expressed as,
O total = O ( N ) + O ( U 2 M ) + O ( S ) + O ( S EH ) + O opt .
Since the DWT and SIC dominate the arithmetic load, the additional SWIPT operations have a negligible impact on the overall computational cost; however, their processing energy is accounted for in the total circuit power when evaluating the system’s energy efficiency.

5. Results and Discussion

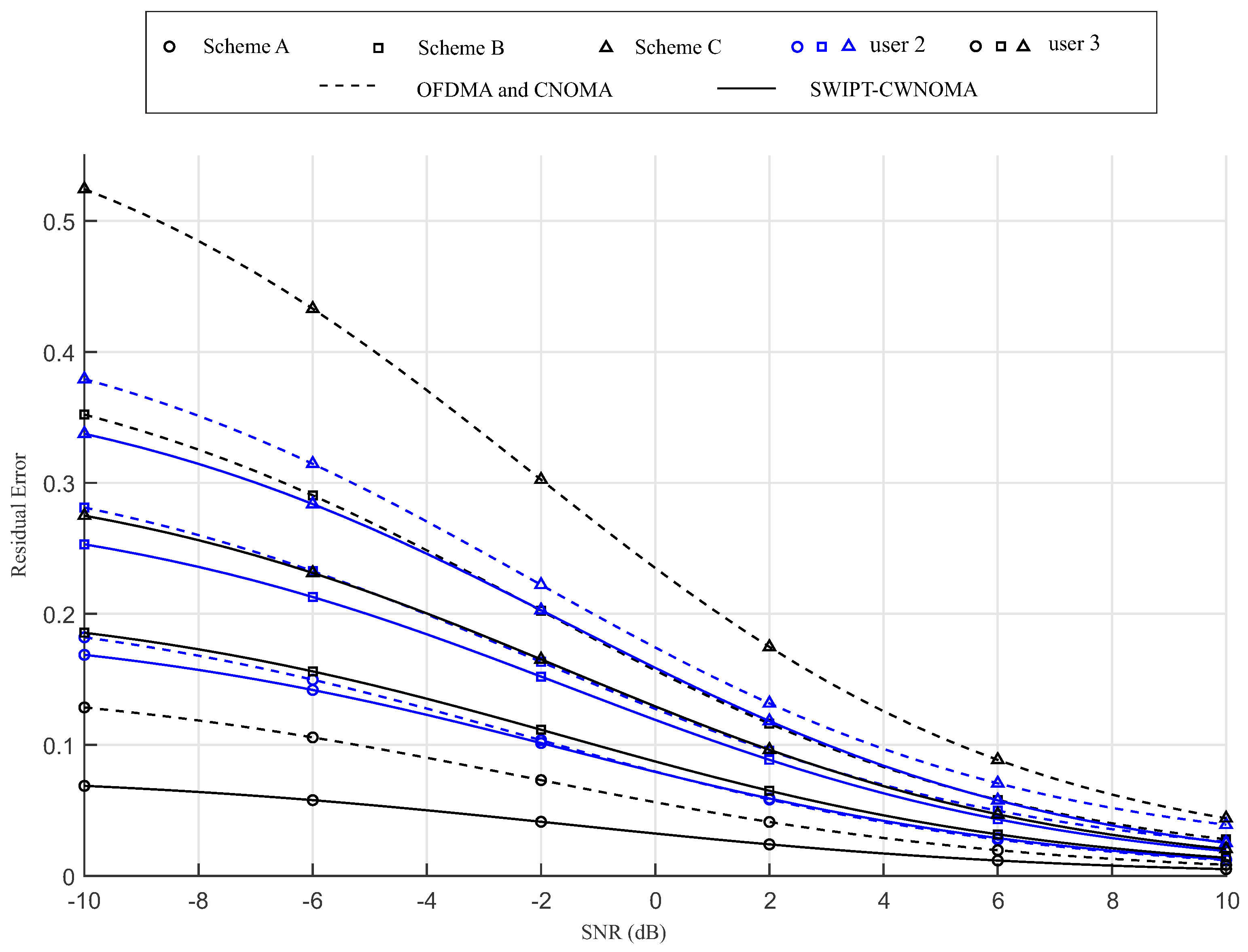
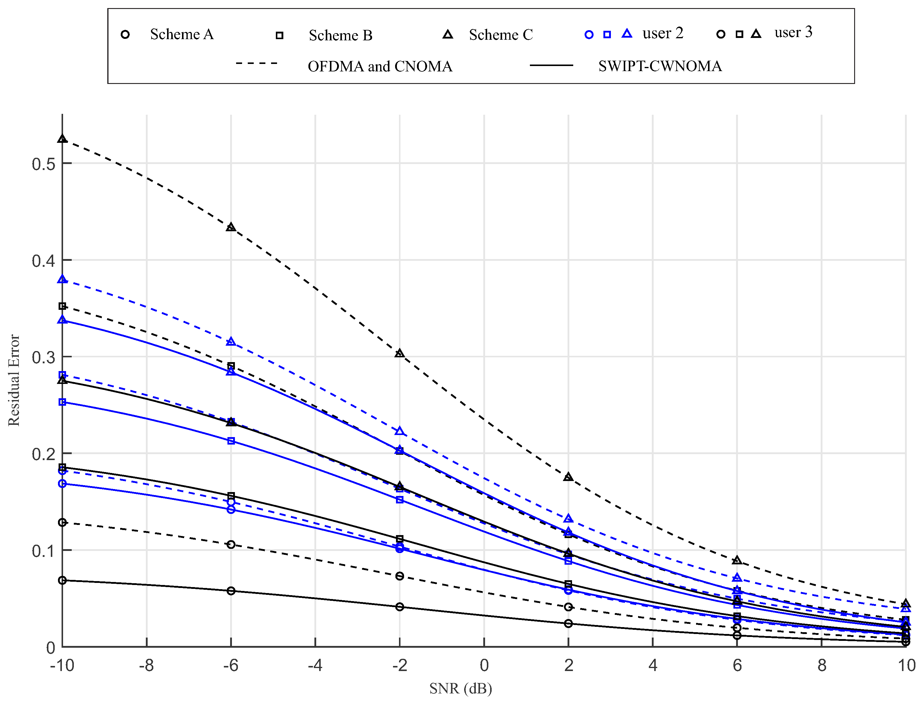
This section discusses the simulation results of SWIPT-CWNOMA using OMA and CNOMA as benchmarks. The simulation parameters for the scenarios presented are given in Table 2. The simulation parameters for OMA and CNOMA are kept consistent with the SWIPT-CWNOMA scheme to ensure a fair comparison across the mentioned schemes. Figure 6 shows the SIC error versus SNR for user 2 and user 3 for OFDMA, CNOMA, and SWIPT-CWNOMA. The simulations are run on MATLAB for residual error under three different power allocation schemes (A, B, C) with varying levels of SNR.
Considering the case that the transmit power increases, the SNR improves, which is evident from the fact that the quality of the received signal improves relative to noise and interference. This leads to improved performance in decoding the desired signal and mitigating interference during SIC; however, the rate of decay and absolute values vary significantly with the PF settings. Consequently, the SIC error of user 2 and user 3 is expected to decrease with increasing transmit power. Higher SNR levels in the context of SIC improve the reliability of the received signals, making it easier for users 2 and 3 to cancel interference and accurately decode their signals. However, the value of SIC error is less for user 3 than for user 2 because user 3 is the closest user and has good channel conditions compared to the other two users.
The PF for different schemes is shown in Table 3. This setup enables the investigation of how PF allocation affects the efficiency of SIC. A higher power gap, as in Scheme A, leads to more effective interference cancellation and thus lower residual errors, especially for users with weaker channels. This approach helps quantify the trade-off between efficiency and fairness, showing that while fairer allocations (Schemes B and C) may enhance user equity, they can significantly degrade SIC performance. Figure 6 shows that Scheme C has a lower residual error in the low-SNR region. This behavior is due to the nonlinear relation between power allocation and interference cancellation. At lower values of SNR, Scheme C provides each user with sufficient received power to ensure more reliable detection, thereby reducing the residual error propagated during imperfect SIC. Conversely, in Scheme A, the weaker users receive lower power, resulting in detection uncertainty and increasing the cumulative SIC error at the receiver. As the SNR increases, however, this trend reverses. The dominant-power user in Scheme A benefits from higher instantaneous SINR, enabling more accurate decoding and less interference to subsequent users. Thus, at high SNR, the residual error of Scheme A decreases more sharply than that of Scheme C. This highlights that SIC error is not solely a function of SNR but also strongly depends on the relative power allocation for the users, as in [50]. Moreover, the results highlight the advantage of CWNOMA over CNOMA, as wavelet-domain processing consistently yields lower residual errors across all schemes and SNR levels. Overall, this analysis underscores the pivotal role of optimized power allocation and advanced signal processing in enhancing the reliability and energy efficiency of future SWIPT-NOMA systems.
Residual error because of imperfect SIC for user 2 and user 3 at 5 dB is 6.2 × 10 3 and 2.6 × 10 3 , respectively, for OFDMA and CNOMA, while for SWIPT-CWNOMA the values for user 2 and user 3 are 5.8 × 10 3 and 6.9 × 10 5 , respectively, at the same SNR for Scheme A. This validates that allocating a higher PF to a user 1 (a strong user) and smaller shares to weaker users minimizes mutual interference and yields a lower residual SIC error. This property of filter banks can be used in an FD-NOMA system to decrease spectral leakage due to self-interference. In contrast, Schemes B and C, which distribute PFs more evenly, exhibit noticeably higher error floors, especially for user 3. This highlights a fundamental trade-off: while fair PF allocation may improve fairness in data rates, it can increase decoding complexity and degrade SIC performance due to tighter power margins among users.
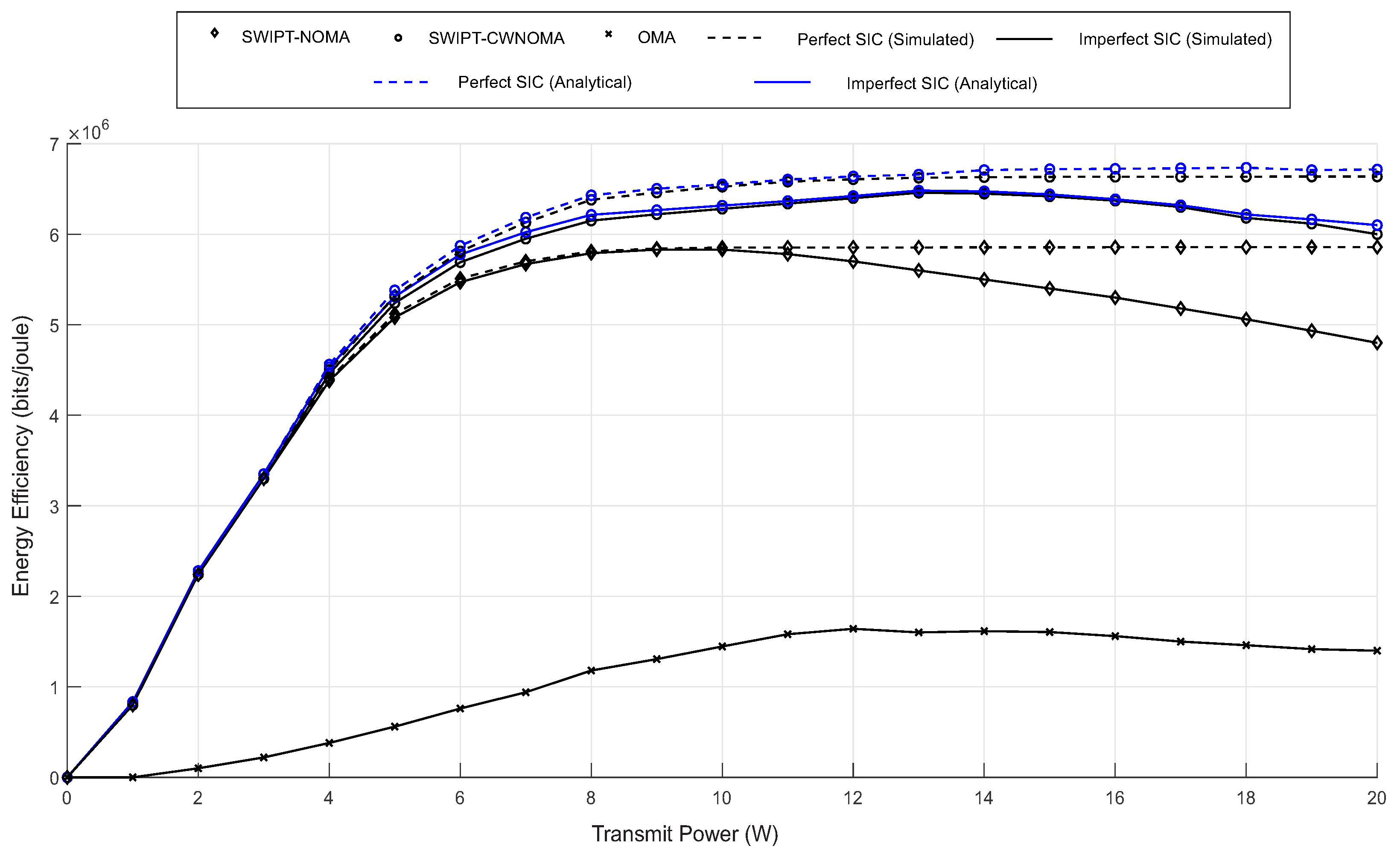
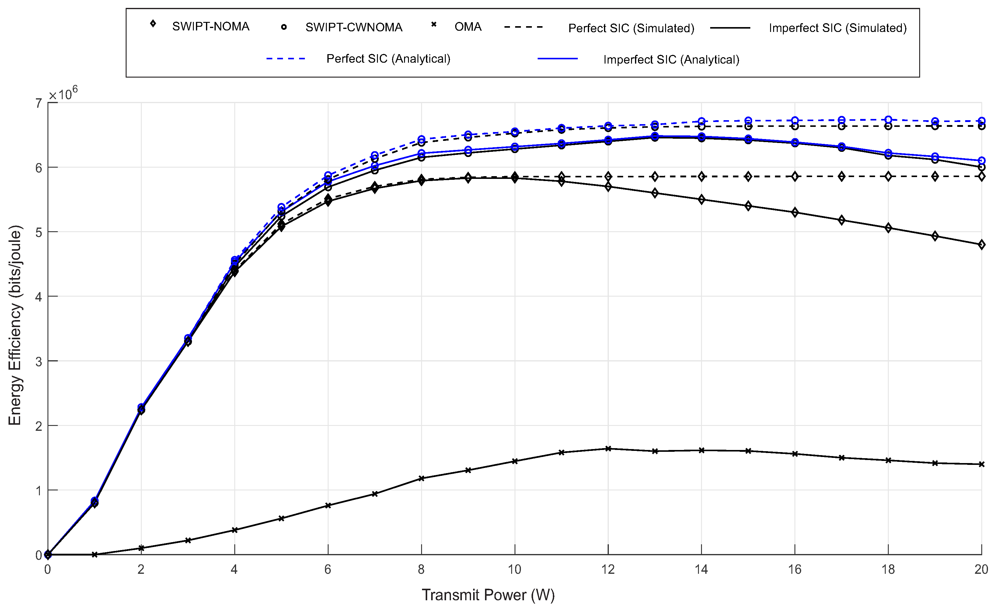
Figure 7 represents the EE versus the transmit power curves for different approaches under both perfect and imperfect SIC. We have applied the constraint for P m a x = 20 W, the minimum target rate for the user as 1 Mbps, the drain efficiency of the power amplifier is taken as 38 % , and the terminals are assigned the power to obtain the maximum data rate [27]. The EE for the perfect SIC case in all the schemes is higher than that of the imperfect SIC, highlighting the critical role of effective interference cancellation. EE increases with transmitted power until a certain level, beyond which it saturates or declines. The trend is consistent with the analytical EE expression in Section 4.3. It can be observed that although the EE increases with SNR, the SINR and rate expressions converge to constant values at high SNR. Due to the presence of residual interference from imperfect SIC, the SINR of SIC users saturates and no longer increases with SNR, as derived in (45). Consequently, the achievable rates and EE decline at high transmit powers. This asymptotic behavior highlights a fundamental limit in CNOMA systems, especially under practical imperfections, and justifies the use of wavelet filtering to mitigate residual leakage. The graph shows that for both cooperative NOMA schemes, the energy efficiency initially increases. After a certain power level, it decreases as the entire transmit power is allocated to maximize the data rate. The curve for SWIPT-CWNOMA has higher values for the EE as compared to other approaches, as the use of the wavelet transform decreases the SIC error and efficiently recovers the signal, hence increasing the signal power compared to noise.
Figure 8a shows the simulation findings for EE of the system against the number of users. As the number of users in the system increases, the interference between users increases, and the power allocation factor for users becomes less distinct, which in turn increases the SIC error [27]. This trend is the result of the combined effects of power imbalance, increased interference, and processing overhead. As more users share the fixed total transmit power, the per-user SNR decreases, leading to higher decoding and residual interference errors. In addition, the SIC complexity grows nonlinearly with the number of users, which raises the circuit and processing energy consumption. Furthermore, the finite resolution of the wavelet filter bank limits the number of effectively separable sub-bands, and when user density exceeds this limit, inter-sub-band leakage and interference further degrade performance. Consequently, the power consumption of the system is much larger than the harvested energy; hence, the EE of the system with limited power constraints decreases significantly. The EE for SWIPT-CWNOMA drops to 4.5 × 10 6 bits/joule for the number of users exceeding six. For the case of CNOMA and OMA systems, the same drop in EE is observed for the number of users exceeding five and six, respectively. The high-SNR saturation behavior in Figure 8 arises from the quasi-concave nature of the energy efficiency (EE) function, defined as EE ( P ) = B log 2 ( 1 + γ P ) P + P c , where B denotes the system bandwidth, γ is the effective SINR coefficient, P is the transmit power, and P c represents the circuit (static) power consumption. The function is quasi-concave with respect to P; as P , the numerator log 2 ( 1 + γ P ) grows logarithmically, whereas the denominator ( P + P c ) increases linearly, resulting in a saturation of EE at high transmit powers. The optimal transmit power P * that maximizes EE ( P ) satisfies the stationary condition γ 1 + γ P * = ln 2 B · log 2 ( 1 + γ P * ) P * + P c , which can be solved numerically for P * . Moreover, as the number of users U increases, the level of inter-user interference rises, effectively reducing γ . This reduction shifts the EE curve downward and moves the saturation point toward a lower P * , indicating a decrease in the maximum achievable energy efficiency.
Figure 8b represents the EE of the system corresponding to the required values of harvested energy. As the demanded harvested energy increases, the EE decreases, which leads to a decrease in the value of ϕ (due to the increased ratio of harvested energy time). In addition, to meet the QoS requirements, extra transmit power is required, which creates the imbalance between the data rate and power requirement of the EE equation. If the value of the harvested energy coefficient becomes zero, then the energy efficiency of the system declines rapidly under the given constraints. If the required harvested power is increased by 40 % , the EE for the SWIPT-CWNOMA decreases by 12 % . The EE of the CNOMA and OMA system decreases by 20 % and 29 % , respectively, for the same increase in harvested power requirement.
Figure 9 compares SWIPT–CWNOMA with OFDMA and CNOMA over a Rayleigh fading channel. A distance-dependent path-loss model with an exponent n = 4 is used to reflect a cluttered NLoS environment, so the received power follows P r ( d ) d n . For Figure 9a the BER–SNR curves for each user were generated in MATLAB for all schemes. In SWIPT–CWNOMA, the far user is assigned a larger power share and benefits from MRC combining, which drives its BER below that of the other schemes. For the near users, imperfect SIC and residual interference increase the error rate: user 2 is mainly affected by residuals from user 1, while user 3 experiences residuals from both users 1 and 2. Even so, the wavelet-domain processing in SWIPT–CWNOMA provides an SNR advantage, yielding a lower BER for user 2 than in OFDMA and CNOMA. For user 3, proximity to the BS together with the wavelet gain improves reliability, giving a lower BER than conventional NOMA variants.
Figure 9a shows the BER value user 1 is 0.68 × 10 3 at 19 dB, while the same is offered for CNOMA at 26 dB and OFDMA at 24 dB. The BER for user 2 for SWIPT-CWNOMA is 8.02 × 10 3 at 19 dB, while the same is offered for CNOMA and OFDMA at 22 dB and 23 dB, respectively. Similarly, the BER value of user 3 for SWIPT-CWNOMA is 2.6 × 10 2 at 19 dB, while the same BER is offered for CNOMA at 22 dB and OFDMA at 23 dB. Hence, SWIPT-CWNOMA provides a gain of 7 dB, 3 dB, and 4 dB under Wavelet transformation for user 1, user 2, and user 3, respectively, as it reduces the interference due to the property of wavelets to impart greater resilience to signal distortion due to reduced OOB radiation as compared to OFDMA and CNOMA.
With more power allocated and the cooperation from near users, user 1 achieves a higher data rate than the other users, as illustrated in Figure 9b. For users 2 and 3, the use of imperfect SIC leaves residual interference, which reduces their achievable rates. In practice, imperfect SIC means that not all interference from stronger users is fully canceled, so users 2 and 3 must cope with the residual components when decoding. At high SNR, as expressed in (45), the achievable rate saturates rather than grows logarithmically with SNR, owing to both imperfect SIC and the leakage-suppression effect of the wavelet transform. Despite these challenges, the combined benefits of DWT processing and power allocation allow users 2 and 3 to sustain reasonable data rates. At 21 dB, the SWIPT–CWNOMA system improves capacity over CNOMA by approximately 1.7, 0.8, and 2.1 bps/Hz for users 1, 2, and 3, respectively, and by 1.9, 1.03, and 2.7 bps/Hz compared with OFDMA.

6. Conclusions

This paper presents a novel multi-user SWIPT-CWNOMA framework that integrates wavelet-based signal processing with cooperative non-orthogonal multiple access and energy harvesting to enhance the efficiency of wireless communication systems. The incorporation of the DWT in CNOMA networks effectively mitigates the impact of imperfect SIC, resulting in improved BER, throughput, and energy efficiency. The proposed system operates in two cooperative phases: first, implementing DWT-based NOMA with SWIPT-enabled transmission, and second, enabling near users to serve as DF relays that assist the far user, who applies MRC for reliable decoding. While conventional CNOMA architectures primarily improve far-user performance, near users often experience performance loss due to low power allocation and residual SIC errors. The proposed SWIPT-assisted CWNOMA model addresses these shortcomings through energy-harvesting relays and wavelet-domain interference suppression, providing significant gains in spectral efficiency, capacity, and error robustness under imperfect SIC conditions. Future research directions include extending this framework first to multi-antenna systems to study spatial diversity and combining gains, and subsequently to massive MIMO architectures, where hybrid beamforming and wavelet-domain processing can be jointly optimized for scalable and energy-efficient communication across various communication channels. Furthermore, future work will investigate dynamic user grouping, adaptive power allocation, and optimized energy harvesting policies to meet SIC-related energy demands, along with hybrid energy-efficient interference management strategies for robust next-generation multiuser systems.

Author Contributions

Conceptualization, U.M.; Formal analysis, U.M. and M.A.; Investigation, U.M. and M.A.; Methodology, U.M.; Resources, M.A. and M.V.R.; Supervision, A.A.K., S.B. and M.V.R.; Validation, S.B.; Visualization, U.M. and S.B.; Writing—review and editing, U.M. All authors have read and agreed to the published version of the manuscript.

Funding

This research received no external funding.

Institutional Review Board Statement

Not applicable.

Informed Consent Statement

Not applicable.

Data Availability Statement

Data are contained within the article.

Conflicts of Interest

The authors declare no conflicts of interest.

References

  1. Shah, A.F.M.S.; Karabulut, M.A.; Rabie, K. Multiple Access Schemes for 6G Enabled NTN-Assisted IoT Technologies: Recent Developments, Prospects and Challenges. IEEE Int. Things Mag. 2024, 7, 48–54. [Google Scholar] [CrossRef]
  2. Sarkar, D.; Yogita; Yadav, S.S.; Pal, V.; Kumar, N.; Patra, S.K. A Comprehensive Survey On IRS-Assisted NOMA-Based 6G Wireless Network: Design Perspectives, Challenges and Future Directions. IEEE Trans. Netw. Ser. Manag. 2024, 21, 2539–2562. [Google Scholar] [CrossRef]
  3. Yeom, J.S.; Kim, Y.B.; Jung, B.C. Spectrally Efficient Uplink Cooperative NOMA with Joint Decoding for Relay-Assisted IoT Networks. IEEE Int. Things Mag. 2023, 10, 210–223. [Google Scholar] [CrossRef]
  4. Kim, J.B.; Lee, I.H. Capacity Analysis of Cooperative Relaying Systems Using Non-Orthogonal Multiple Access. IEEE Commun. Lett. 2015, 19, 1949–1952. [Google Scholar] [CrossRef]
  5. Xu, M.; Ji, F.; Wen, M.; Duan, W. Novel Receiver Design for the Cooperative Relaying System with Non-Orthogonal Multiple Access. IEEE Commun. Lett. 2016, 20, 1679–1682. [Google Scholar] [CrossRef]
  6. Zeng, M.; Hao, W.; Dobre, O.A.; Ding, Z. Cooperative NOMA: State of the Art, Key Techniques, and Open Challenges. IEEE Netw. 2020, 34, 205–211. [Google Scholar] [CrossRef]
  7. Yu, Z.; Zhai, C.; Liu, J.; Xu, H. Cooperative Relaying Based Non-Orthogonal Multiple Access (NOMA) with Relay Selection. IEEE Trans. Veh. Technol. 2018, 67, 11606–11618. [Google Scholar] [CrossRef]
  8. Guo, N.; Ge, J.; Bu, Q.; Zhang, C. Multi-User Cooperative Non-Orthogonal Multiple Access Scheme with Hybrid Full/Half-Duplex User-Assisted Relaying. IEEE Access 2019, 7, 39207–39226. [Google Scholar] [CrossRef]
  9. Prashar, A.; Sood, N. Performance Analysis of MIMO-NOMA and SISO-NOMA in Downlink Communication Systems. In Proceedings of the 2nd International Conference on Intelligent Technologies, Hubli, India, 24–26 June 2022. [Google Scholar]
  10. Huang, R.; Wan, D.; Ji, F.; Qing, H.; Li, J.; Yu, H.; Chen, F. Performance Analysis of NOMA-based Cooperative Networks with Relay Selection. China Commun. 2020, 17, 111–119. [Google Scholar] [CrossRef]
  11. Kader, M.F.; Shin, S.Y.; Leung, V.C.M. Full-Duplex Non-Orthogonal Multiple Access in Cooperative Relay Sharing for 5G Systems. IEEE Trans. Veh. Technol. 2018, 67, 5831–5840. [Google Scholar] [CrossRef]
  12. Zhang, S.; Di, B.; Song, L.; Li, Y. Sub-Channel and Power Allocation for Non-Orthogonal Multiple Access Relay Networks with Amplify-and-Forward Protocol. IEEE Trans. Wirel. Commun. 2017, 16, 2249–2261. [Google Scholar] [CrossRef]
  13. Palitharathna, K.W.; Suraweera, H.A.; Godaliyadda, R.I.; Herath, V.R.; Ding, Z. Impact of Receiver Orientation on Full-Duplex Relay Aided NOMA Underwater Optical Wireless Systems. In Proceedings of the ICC 2020—2020 IEEE International Conference on Communications (ICC), Dublin, Ireland, 7–11 June 2020; pp. 1–7. [Google Scholar]
  14. Deepan, N.; Rebekka, B. Outage Performance of Full duplex Cooperative NOMA with Energy harvesting over Nakagami-m fading channels. In Proceedings of the TEQIP III Sponsored International Conference on Microwave Integrated Circuits, Photonics and Wireless Networks, Tiruchirappalli, India, 22–24 May 2019. [Google Scholar]
  15. Sreenu, S.; Naidu, K. Resource optimization for cooperative SWIPT-NOMA systems with imperfect SIC. AEU Int. J. Electron. Commun. 2024, 187, 155517. [Google Scholar] [CrossRef]
  16. Hussein, A.; Rosenberg, C.; Mitran, P. Hybrid NOMA in Multi-Cell Networks: From a Centralized Analysis to Practical Schemes. IEEE Trans. Netw. 2021, 30, 1268–1282. [Google Scholar] [CrossRef]
  17. Tran, H.Q.; Vien, Q.T. SWIPT-based cooperative NOMA for Two Way Relay Communications: PSR versus TSR. Wirel. Commun. Mob. Comput. 2023, 2023, 3069999. [Google Scholar] [CrossRef]
  18. Le-Thanh, T.; Ho-Van, K. Secured NOMA Full-Duplex Transmission with Energy Harvesting. IEEE Access 2024, 12, 91342–91356. [Google Scholar] [CrossRef]
  19. Philip, W.E.; Mishra, A.K. Impact of Residual Hardware Impairments on Joint Transmission-CoMP-Cooperative NOMA Networks. IEEE Access 2024, 12, 66363–66372. [Google Scholar] [CrossRef]
  20. Gu, X.; Zhang, G.; Zhuo, B.; Duan, W.; Wang, J.; Wen, M.; Ho, P.H. On the Performance of Cooperative NOMA Downlink: A RIS-Aided D2D Perspective. IEEE Trans. Cogn. Commun. Netw. 2023, 9, 1610–1624. [Google Scholar] [CrossRef]
  21. Muhammad, A.; Elhattab, M.; Arfaoui, M.A.; Assi, C. Optimizing Age of Information in RIS-Empowered Uplink Cooperative NOMA Networks. IEEE Trans. Netw. Serv. Manag. 2024, 21, 897–907. [Google Scholar] [CrossRef]
  22. Zhang, G.; Gu, X.; Duan, W.; Wen, M.; Choi, J.; Gao, F.; Ho, P.H. Hybrid Time-Switching and Power-Splitting EH Relaying for RIS-NOMA Downlink. IEEE Trans. Cogn. Commun. Netw. 2023, 9, 146–158. [Google Scholar] [CrossRef]
  23. Zhai, Q.; Dong, L.; Liu, C.; Li, Y.; Cheng, W. Resource Management for Active RIS Aided Multi-Cluster SWIPT Cooperative NOMA Networks. IEEE Trans. Netw. Serv. Manag. 2024, 21, 4421–4434. [Google Scholar] [CrossRef]
  24. Ding, Z.; Peng, M.; Poor, H.V. Cooperative Non-Orthogonal Multiple Access in 5G Systems. IEEE Commun. Lett. 2015, 19, 1462–1465. [Google Scholar] [CrossRef]
  25. Liu, J.; He, J. Design and analysis of CP-free OFDM PDMA transmission system. EURASIP J. Adv. Signal Process. 2024, 2024, 68. [Google Scholar] [CrossRef]
  26. Suma, M.N.; Narasimhan, S.V.; Kanmani, B. The OFDM system based on Discrete Cosine Harmonic Wavelet transform. In Proceedings of the National Conference on Communications, Kharagpur, India, 3–5 February 2012. [Google Scholar]
  27. Tang, J.; Luo, J.; Liu, M.; So, D.K.C.; Alsusa, E.; Chen, G.; Wong, K.K.; Chambers, J.A. Energy Efficiency Optimization for NOMA With SWIPT. IEEE J. Sel. Top. Signal Process. 2019, 13, 452–466. [Google Scholar] [CrossRef]
  28. Khan, A.; Shin, S.Y. Wavelet OFDM-Based Non-orthogonal Multiple Access Downlink Transceiver for Future Radio Access. IETE Tech. Rev. 2018, 35, 17–27. [Google Scholar] [CrossRef]
  29. Sirvi, S.; Tharani, L. Wavelet based OFDM system over flat fading channel using NLMS equalization. In Proceedings of the International Conference on Computing, Communication and Automation, Greater Noida, India, 29–30 April 2016. [Google Scholar]
  30. Baig, S.; Ali, U.; Asif, H.M.; Khan, A.A.; Mumtaz, S. Closed-Form BER Expression for Fourier and Wavelet Transform-Based Pulse-Shaped Data in Downlink NOMA. IEEE Commun. Lett. 2019, 23, 592–595. [Google Scholar] [CrossRef]
  31. Baig, S.; Ahmad, M.; Asif, H.M.; Shehzad, M.N.; Jaffery, M.H. Dual PHY Layer for Non-Orthogonal Multiple Access Transceiver in 5G Networks. IEEE Access 2018, 6, 3130–3139. [Google Scholar] [CrossRef]
  32. Wang, Q.; Xu, S.; Yan, X.; Wu, H.C.; Wu, Y. Innovative Modulation Scheme Using Multiwavelets for Non-orthogonal Multiple-Access Downlink Transceiver. In Proceedings of the 2020 IEEE International Symposium on Broadband Multimedia Systems and Broadcasting (BMSB), Paris, France, 27–29 October 2020. [Google Scholar]
  33. Ahmad, M.; Baig, S.; Asif, H.M.; Raahemifar, K.; Rajbhandari, S. Mitigation of Imperfect Successive Interference Cancellation and Wavelet-Based Nonorthogonal Multiple Access in the 5G Multiuser Downlink Network. Wirel. Commun. Mob. Comput. 2021, 2021, 8876026. [Google Scholar] [CrossRef]
  34. Ahmad, M.; Shin, S. Massive MIMO NOMA with Wavelet Pulse Shaping to Minimize Undesired Channel Interference. ICT Express 2023, 9, 635–641. [Google Scholar] [CrossRef]
  35. Khennoufa, F.; Khelil, A.; Beddiaf, S.; Kara, F.; Rabie, K.; Kaya, H.; Emir, A.; Ikki, S.; Yanikomeroglu, H. Wireless Powered Cooperative Communication Network for Dual-hop Uplink NOMA with IQI and SIC Imperfections. IEEE Access 2023, 11, 76506–76523. [Google Scholar] [CrossRef]
  36. Hwang, D.; Yang, J.; Nam, S.S.; Joung, J.; Song, H.K. Cooperative Non-Orthogonal Multiple Access Transmission Through Full-Duplex and Half-Duplex Relays. IEEE Wirel. Commun. Lett. 2023, 12, 351–355. [Google Scholar] [CrossRef]
  37. Al-Dweik, A.; Bedoui, A.; Iraqi, Y. On the BER Analysis of NOMA Systems. IEEE Wirel. Commun. Lett. 2024, 13, 786–790. [Google Scholar] [CrossRef]
  38. Magalhães, S.R.C.; Bayhan, S.; Heijenk, G. Power Allocation for Multi-Cell Non-Orthogonal Multiple Access Networks: Energy efficiency vs. Throughput vs. Power Consumption. In Proceedings of the Joint European Conference on Networks and Communications and 6G Summit, Gothenburg, Sweden, 6–9 June 2023. [Google Scholar]
  39. Doan, T.B.; Nguyen, T.H. Exploiting SWIPT for Coordinated-NOMA Systems Under Nakagami-m Fading. IEEE Access 2024, 12, 19216–19228. [Google Scholar] [CrossRef]
  40. Chafii, M.; Harbi, Y.J.; Burr, A.G. Wavelet-OFDM vs. OFDM: Performance Comparison. In Proceedings of the 23rd International Conference on Telecommunications (ICT), Thessaloniki, Greece, 16–18 May 2016. [Google Scholar]
  41. Yin, H.; Luo, J.; Wang, B.; Zhang, B.; Luo, S.; Kong, D. Novel Waveform Design with a Reduced Cyclic Prefix in MIMO Systems. Electronics 2024, 13, 1968. [Google Scholar] [CrossRef]
  42. Jaber, A.; Fadhil, A. Enhanced Model of the Wireless Multicarrier Communication OFDM Systems Applied on the FPGA Platform Based on Steganography system. Ind. J. Comp. Sci. 2025, 14. [Google Scholar] [CrossRef]
  43. Lee, J.; Ryu, H.G. Performance comparison between wavelet-based OFDM system and iFFT-based OFDM system. In Proceedings of the 2017 International Conference on Information and Communication Technology Convergence (ICTC), Jeju, Republic of Korea, 18–20 October 2017; pp. 957–960. [Google Scholar]
  44. Zhang, J.; Wang, W.; Tang, J.; Zhao, N.; Wong, K.; Wang, X. Robust Secure Transmission for IRS-Aided NOMA Networks with Hybrid Beamforming. IEEE Trans. Wirel. Commun. 2024, 23, 3086–3101. [Google Scholar] [CrossRef]
  45. Mahmood, A.; Marey, M.; Nasralla, M.; Esmail, M.; Zeeshan, M. Optimal Power Allocation and Cooperative Relaying under Fuzzy Inference System (FIS) Based Downlink PD-NOMA. Electronics 2022, 11, 1338. [Google Scholar] [CrossRef]
  46. Mabumba, M.; Tembo, S.; Phiri, L. Cooperative Relaying in a Three User Downlink NOMA System Using Dynamic Power Allocation. Semicond. Sci. Inf. Devices 2023, 5, 26–32. [Google Scholar] [CrossRef]
  47. Khennoufa, F.; Khelil, A.; Rabie, K.; Kaya, H.; Li, X. An efficient hybrid energy harvesting protocol for cooperative NOMA systems: Error and outage performance. Phys. Commun. 2023, 58, 102061. [Google Scholar] [CrossRef]
  48. Zhang, Z.; Ye, Y.; Luo, B.; Chen, G.; Meng, W. Investigation of microseismic signal denoising using an improved wavelet adaptive thresholding method. Sci. Rep. 2022, 12, 22186. [Google Scholar] [CrossRef]
  49. Ilyas, D.; Hassan, S.A.; Mahmood, A.; Gidlund, M. Performance of STBC Cooperative NOMA with Imperfect Successive Interference Cancellation. In Proceedings of the IEEE International Conference on Communications Workshops, Montreal, QC, Canada, 14–23 June 2021. [Google Scholar]
  50. Liu, Y.; Qin, Z.; Elkashlan, M.; Ding, Z.; Nallanathan, A.; Hanzo, L. Nonorthogonal Multiple Access for 5G and Beyond. Proc. IEEE 2017, 105, 2347–2381. [Google Scholar] [CrossRef]
Figure 1. Two-user NOMA scheme with and without the use of a cooperative relay.
Figure 1. Two-user NOMA scheme with and without the use of a cooperative relay.
Electronics 14 04390 g001
Figure 2. Transmission scheme for (a) half duplex (HD), (b) full duplex (FD), and relays in CNOMA.
Figure 2. Transmission scheme for (a) half duplex (HD), (b) full duplex (FD), and relays in CNOMA.
Electronics 14 04390 g002
Figure 3. Transmission scheme for multi-user SWIPT-CWNOMA. Phase 1 (direct phase): base station transmits signals to all the users and near users act as SWIPT relays to harvest energy. Phase 2 (cooperative phase): the harvested energy is used to relay the decoded signal of the far user.
Figure 3. Transmission scheme for multi-user SWIPT-CWNOMA. Phase 1 (direct phase): base station transmits signals to all the users and near users act as SWIPT relays to harvest energy. Phase 2 (cooperative phase): the harvested energy is used to relay the decoded signal of the far user.
Electronics 14 04390 g003
Figure 4. Performance comparison of energy efficiency versus transmit power for conventional OFDMA and SWIPT-OFDMA under perfect SIC conditions [27].
Figure 4. Performance comparison of energy efficiency versus transmit power for conventional OFDMA and SWIPT-OFDMA under perfect SIC conditions [27].
Electronics 14 04390 g004
Figure 5. System model for multi-user SWIPT-CWNOMA.
Figure 5. System model for multi-user SWIPT-CWNOMA.
Electronics 14 04390 g005
Figure 6. SIC error versus transmit SNR for user 2 and user 3 in the three-user case for SWIPT–CWNOMA.
Figure 6. SIC error versus transmit SNR for user 2 and user 3 in the three-user case for SWIPT–CWNOMA.
Electronics 14 04390 g006
Figure 7. Energy efficiency versus the transmit power (P) for the three-user cases.
Figure 7. Energy efficiency versus the transmit power (P) for the three-user cases.
Electronics 14 04390 g007
Figure 8. (a) Energy efficiency versus the number of users ( P c = 10 W). (b) Energy efficiency versus required harvested power (normalized) for a system with limited power constraints.
Figure 8. (a) Energy efficiency versus the number of users ( P c = 10 W). (b) Energy efficiency versus required harvested power (normalized) for a system with limited power constraints.
Electronics 14 04390 g008
Figure 9. (a) BER for three users, (b) achievable capacity of three users (path loss exponent = 4 ).
Figure 9. (a) BER for three users, (b) achievable capacity of three users (path loss exponent = 4 ).
Electronics 14 04390 g009
Table 1. Comparison of recent techniques.
Table 1. Comparison of recent techniques.
Ref., YearNOMA TypeKey FeaturesKPIs
RelaySWIPTDWTMulti-
User
RECEEiSICSINRAch.
Rate
BER/
SER
[30], 2019WNOMA
[32], 2020WNOMA
[33], 2021WNOMA
[35], 2023DF CNOMA
[34], 2023WNOMA
[36], 2023HD DF CNOMA
[37], 2023DF NOMA
[38], 2023PD NOMA
[15], 2024DF CNOMA
[39], 2024DF CNOMA
This work,
2025
SWIPT-CWNOMA
Imperfect SIC (iSIC), residual error computation (REC), achievable rate (Ach. Rate).
Table 2. Simulation parameters for multi-user SWIPT-CWNOMA.
Table 2. Simulation parameters for multi-user SWIPT-CWNOMA.
ParametersValues
Wavelets Level2
Wavelet FamilyDaubechies
Signal Bandwidth1000 kHz
Modulation Schemequadrature phase shift keying (QPSK)
Sub Carriers128
Channel ModelRayleigh Fading Channel
Path Loss Exponent4
PF0.8, 0.15, 0.05
Antenna Configuration1Tx and 1Rx
Interference CancellationSIC
SICPerfect and Imperfect
Energy Harvesting Efficiency0.10
Energy Harvesting Gain0.7
Relay SchemeDF
Table 3. Power allocation factors under scheme A, B, and C for the residual error versus SNR graph (Figure 6).
Table 3. Power allocation factors under scheme A, B, and C for the residual error versus SNR graph (Figure 6).
UsersPower Factor Allocation
User 1User 2User 3
Scheme A0.80.150.05
Scheme B0.60.250.15
Scheme C0.50.30.2
Disclaimer/Publisher’s Note: The statements, opinions and data contained in all publications are solely those of the individual author(s) and contributor(s) and not of MDPI and/or the editor(s). MDPI and/or the editor(s) disclaim responsibility for any injury to people or property resulting from any ideas, methods, instructions or products referred to in the content.

Share and Cite

MDPI and ACS Style

Mushtaq, U.; Khan, A.A.; Baig, S.; Ahmad, M.; Ribeiro, M.V. SWIPT Enabled Wavelet Cooperative NOMA: Energy-Efficient Design Under Imperfect SIC. Electronics 2025, 14, 4390. https://doi.org/10.3390/electronics14224390

AMA Style

Mushtaq U, Khan AA, Baig S, Ahmad M, Ribeiro MV. SWIPT Enabled Wavelet Cooperative NOMA: Energy-Efficient Design Under Imperfect SIC. Electronics. 2025; 14(22):4390. https://doi.org/10.3390/electronics14224390

Chicago/Turabian Style

Mushtaq, Uzma, Asim Ali Khan, Sobia Baig, Muneeb Ahmad, and Moisés V. Ribeiro. 2025. "SWIPT Enabled Wavelet Cooperative NOMA: Energy-Efficient Design Under Imperfect SIC" Electronics 14, no. 22: 4390. https://doi.org/10.3390/electronics14224390

APA Style

Mushtaq, U., Khan, A. A., Baig, S., Ahmad, M., & Ribeiro, M. V. (2025). SWIPT Enabled Wavelet Cooperative NOMA: Energy-Efficient Design Under Imperfect SIC. Electronics, 14(22), 4390. https://doi.org/10.3390/electronics14224390

Note that from the first issue of 2016, this journal uses article numbers instead of page numbers. See further details here.

Article Metrics

Back to TopTop