Sign in to use this feature.

Years

Between: -

Subjects

remove_circle_outline
remove_circle_outline
remove_circle_outline
remove_circle_outline
remove_circle_outline
remove_circle_outline
remove_circle_outline
remove_circle_outline
remove_circle_outline

Journals

remove_circle_outline
remove_circle_outline
remove_circle_outline
remove_circle_outline
remove_circle_outline
remove_circle_outline
remove_circle_outline
remove_circle_outline
remove_circle_outline
remove_circle_outline
remove_circle_outline
remove_circle_outline
remove_circle_outline
remove_circle_outline
remove_circle_outline

Article Types

Countries / Regions

remove_circle_outline
remove_circle_outline
remove_circle_outline
remove_circle_outline
remove_circle_outline

Search Results (912)

Search Parameters:
Keywords = image and video analysis

Order results
Result details
Results per page
Select all
Export citation of selected articles as:
18 pages, 4976 KB  
Article
Detection of Cholesteatoma Residues in Surgical Videos Using Artificial Intelligence
by Wataru Miyazawa, Masahiro Takahashi, Katsuhiko Noda, Kaname Yoshida, Kazuhisa Yamamoto, Yutaka Yamamoto and Hiromi Kojima
Appl. Sci. 2025, 15(20), 11248; https://doi.org/10.3390/app152011248 - 21 Oct 2025
Abstract
Surgical treatment is the only option for cholesteatoma; however, the recurrence rate is high, and the incidence of residual cholesteatoma recurrence largely depends on the surgeon’s skill. Training deep neural network (DNN) models typically requires large datasets, but the prevalence of cholesteatoma is [...] Read more.
Surgical treatment is the only option for cholesteatoma; however, the recurrence rate is high, and the incidence of residual cholesteatoma recurrence largely depends on the surgeon’s skill. Training deep neural network (DNN) models typically requires large datasets, but the prevalence of cholesteatoma is low (1 in 25,000 people). It also remains difficult to treat. Developing analytical methods to improve accuracy with limited datasets remains a significant challenge in medical artificial intelligence (AI) research. This study introduces an AI-based system for detecting residual cholesteatoma in surgical field videos. A retrospective analysis was conducted on 144 cases from 88 patients who underwent surgery. The training dataset comprised videos of cholesteatoma lesions recorded during surgery and intact middle ear mucosa after lesion removal. These videos were captured using both an endoscope and a surgical microscope for AI model development. The diagnostic accuracy was approximately 80% for both endoscopic and microscopic images. Although the diagnostic accuracy for microscopic images was slightly lower, focusing on the lesion center improved the accuracy to a level comparable to that of endoscopic images. This study demonstrates the diagnostic feasibility of AI-based cholesteatoma detection despite a limited sample size, highlighting the value of proof-of-concept studies in clarifying technical requirements for future clinical systems. To our knowledge, this is the first AI study to use videos from both modalities. Full article
(This article belongs to the Special Issue AI-Based Biomedical Signal and Image Processing)
Show Figures

Figure 1

16 pages, 255 KB  
Article
Hamas’s Hostage Videos as a Tool of Strategic Communication
by Moran Yarchi
Journal. Media 2025, 6(4), 180; https://doi.org/10.3390/journalmedia6040180 - 17 Oct 2025
Viewed by 472
Abstract
Terror organizations increasingly utilize the media and especially digital platforms to disseminate strategic messages, particularly during conflicts. This study examines how Hamas employed hostage videos and other related publications as a form of strategic communication during the first 20 months of the 2023–2025 [...] Read more.
Terror organizations increasingly utilize the media and especially digital platforms to disseminate strategic messages, particularly during conflicts. This study examines how Hamas employed hostage videos and other related publications as a form of strategic communication during the first 20 months of the 2023–2025 war with Israel. Drawing on qualitative content analysis of 166 media outputs published on Hamas’s official Telegram channel, including videos, infographics, and a few text-based posts, the study identifies five distinct genres: proof of life, revealing the hostages’ fate, rage or call for help, messages to hostage families or the Israeli public, and hostage release videos. Each genre reflects a specific communicative strategy, varying in tone, target audience, emotional appeal, and timing. The findings reveal that Hamas’s media operations are characterized by a high degree of intentionality, with different genres employed to advance political objectives, ranging from negotiation pressure and public mobilization to projecting legitimacy and resilience. The study contributes to the growing literature on terrorism and strategic communication, illustrating how non-state actors leverage visual media and emotional narratives to wage parallel battles over image, perception, and legitimacy. Full article
32 pages, 30808 KB  
Article
Deep Learning for Automated Sewer Defect Detection: Benchmarking YOLO and RT-DETR on the Istanbul Dataset
by Mustafa Oğurlu, Bülent Bayram, Bahadır Kulavuz and Tolga Bakırman
Appl. Sci. 2025, 15(20), 11096; https://doi.org/10.3390/app152011096 - 16 Oct 2025
Viewed by 246
Abstract
The inspection and maintenance of urban sewer infrastructure remain critical challenges for megacities, where conventional manual inspection approaches are labor-intensive, time-consuming, and prone to human error. Although deep learning has been increasingly applied to sewer inspection, the field lacks both a publicly available [...] Read more.
The inspection and maintenance of urban sewer infrastructure remain critical challenges for megacities, where conventional manual inspection approaches are labor-intensive, time-consuming, and prone to human error. Although deep learning has been increasingly applied to sewer inspection, the field lacks both a publicly available large-scale dataset and a systematic evaluation of CNN and transformer-based models on real sewer footage. The primary aim of this study is to systematically evaluate and compare state-of-the-art deep learning architectures for automated sewer defect detection using a newly introduced dataset. We present the Istanbul Sewer Defect Dataset (ISWDS), comprising 13,491 expert-annotated images collected from Istanbul’s wastewater network and covering eight defect categories that account for approximately 90% of reported failures. The scientific novelty of this work lies in both the introduction of the ISWDS and the first systematic benchmarking of YOLO (v8/11/12) and RT-DETR (v1/v2) architectures under identical protocols on real sewer inspection footage. Experimental results demonstrate that RT-DETR v2 achieves the best performance (F1: 79.03%, Recall: 81.10%), significantly outperforming the best YOLO variant. While transformer-based architectures excel in detecting partially occluded defects and complex operational conditions, YOLO models provide computational efficiency advantages for resource-constrained deployments. Furthermore, a QGIS-based inspection tool integrating the best-performing models was developed to enable real-time video analysis and automated reporting. Overall, this study highlights the trade-offs between accuracy and efficiency, demonstrating that RT-DETR v2 is most suitable for server-based processing. In contrast, compact YOLO variants are more appropriate for edge deployment. Full article
Show Figures

Figure 1

15 pages, 2931 KB  
Article
Low Poisson’s Ratio Measurement on Composites Based on DIC and Frequency Analysis on Tensile Tests
by Luis Felipe-Sesé, Andreas Kenf, Sebastian Schmeer, Elías López-Alba and Francisco Alberto Díaz
J. Compos. Sci. 2025, 9(10), 570; https://doi.org/10.3390/jcs9100570 - 16 Oct 2025
Viewed by 272
Abstract
Accurate determination of elastic properties, especially Poisson’s ratio, is crucial for the design and modeling of composite materials. Traditional methods often struggle with low strain measurements and non-uniform strain distributions inherent in these anisotropic materials. This research work introduces a novel methodology that [...] Read more.
Accurate determination of elastic properties, especially Poisson’s ratio, is crucial for the design and modeling of composite materials. Traditional methods often struggle with low strain measurements and non-uniform strain distributions inherent in these anisotropic materials. This research work introduces a novel methodology that integrates Digital Image Correlation (DIC) with frequency analysis techniques to improve the precision of Poisson’s ratio determination during tensile tests, particularly at low strain ranges. The focus is on the evaluation of two distinct frequency-based approaches: Phase-Based Motion Magnification (PBMM) and Lock-in filtering. DIC + PBMM, while promising for motion amplification, encountered specific challenges in this application, particularly at very low strain amplitudes, leading to increased variability and computational demands. In contrast, the DIC + Lock-in filtering method proved highly effective. It provided stable, filtered strain distributions, significantly reducing measurement uncertainty compared to traditional DIC and other conventional methods like strain gauges and Video Extensometers. This study demonstrates the robust potential of Lock-in filtering for characterizing subtle periodic mechanical behaviors leading to a reduction of approximately 70% in the standard deviation of the measurement. This work lays a strong foundation for more precise and reliable material characterization, crucial for advancing composite design and engineering applications. Full article
Show Figures

Figure 1

22 pages, 3532 KB  
Article
Dual Weakly Supervised Anomaly Detection and Unsupervised Segmentation for Real-Time Railway Perimeter Intrusion Monitoring
by Donghua Wu, Yi Tian, Fangqing Gao, Xiukun Wei and Changfan Wang
Sensors 2025, 25(20), 6344; https://doi.org/10.3390/s25206344 - 14 Oct 2025
Viewed by 282
Abstract
The high operational velocities of high-speed trains present constraints on their onboard track intrusion detection systems for real-time capture and analysis, encompassing limited computational resources and motion image blurring. This emphasizes the critical necessity of track perimeter intrusion monitoring systems. Consequently, an intelligent [...] Read more.
The high operational velocities of high-speed trains present constraints on their onboard track intrusion detection systems for real-time capture and analysis, encompassing limited computational resources and motion image blurring. This emphasizes the critical necessity of track perimeter intrusion monitoring systems. Consequently, an intelligent monitoring system employing trackside cameras is constructed, integrating weakly supervised video anomaly detection and unsupervised foreground segmentation, which offers a solution for monitoring foreign objects on high-speed train tracks. To address the challenges of complex dataset annotation and unidentified target detection, weakly supervised learning detection is proposed to track foreign object intrusions based on video. The pretraining of Xception3D and the integration of multiple attention mechanisms have markedly enhanced the feature extraction capabilities. The Top-K sample selection alongside the amplitude score/feature loss function effectively discriminates abnormal from normal samples, incorporating time-smoothing constraints to ensure detection consistency across consecutive frames. Once abnormal video frames are identified, a multiscale variational autoencoder is proposed for the positioning of foreign objects. A downsampling/upsampling module is optimized to increase feature extraction efficiency. The pixel-level background weight distribution loss function is engineered to jointly balance background authenticity and noise resistance. Ultimately, the experimental results indicate that the video anomaly detection model achieved an AUC of 0.99 on the track anomaly detection dataset and processes 2 s video segments in 0.41 s. The proposed foreground segmentation algorithm achieved an F1 score of 0.9030 in the track anomaly dataset and 0.8375 on CDnet2014, with 91 Frames per Second, confirming its efficacy. Full article
(This article belongs to the Section Sensing and Imaging)
Show Figures

Figure 1

7 pages, 786 KB  
Proceeding Paper
Enhancing the Precision of Eye Detection with EEG-Based Machine Learning Models
by Masroor Ahmad, Tahir Muhammad Ali and Nunik Destria Arianti
Eng. Proc. 2025, 107(1), 128; https://doi.org/10.3390/engproc2025107128 - 13 Oct 2025
Viewed by 263
Abstract
Achieving a dataset of eye detection comprises a critical task in computer vision and image processing. The primary goal of this dataset is to accurately locate and identify the position of eyes in image or video frames. This process can firstly detect the [...] Read more.
Achieving a dataset of eye detection comprises a critical task in computer vision and image processing. The primary goal of this dataset is to accurately locate and identify the position of eyes in image or video frames. This process can firstly detect the face region and then focus on the eye regions. In this study, 14,980 examples of physiological signal recordings, most likely from EEG or similar sensors, were included in this dataset, which was created for the analysis of neural or sensor-based movement. The constant signals from specific sensor channels are represented by 14 numerical features (AF3, F7, F3, O1, O2, P7, P8, T8, FC5, FC6, etc.). These characteristics record complex changes in signal designs over time, which could suggest shifts in sensor or neuronal activity. Also, the dataset involves a binary target variable called eye detection, and this shows if an eye-related event—such as turning or an open/closed state—is identified during an individual case. The basic label of this dataset is eye detection in human beings, which has instances of (0,1). The eye detection dataset has 14 features and 14,980 instances that can be utilized for training a model. Full article
Show Figures

Figure 1

29 pages, 5509 KB  
Article
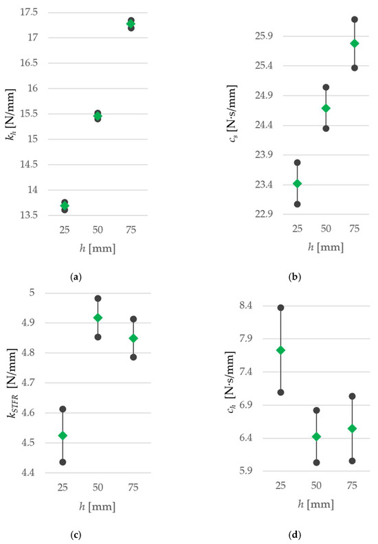
Image-Analysis-Based Validation of the Mathematical Framework for the Representation of the Travel of an Accelerometer-Based Texture Testing Device
by Harald Paulsen, Margit Gföhler, Johannes Peter Schramel and Christian Peham
Sensors 2025, 25(20), 6307; https://doi.org/10.3390/s25206307 - 12 Oct 2025
Viewed by 286
Abstract
Texture testing is applied in various industries. Recently, a simple, accelerometer-equipped texture testing device (Surface Tester of Food Resilience; STFR) has been developed, and we elaborated formulae describing the movement of the probe. In this paper, we describe the validation of said formulae, [...] Read more.
Texture testing is applied in various industries. Recently, a simple, accelerometer-equipped texture testing device (Surface Tester of Food Resilience; STFR) has been developed, and we elaborated formulae describing the movement of the probe. In this paper, we describe the validation of said formulae, relying on video image analysis of the travel of the spherical probe. This allowed us to select the best-fit mathematical models. We elaborated formulae for accurate calculation of specimen surface characteristics and present an application integrating these formulae in the test procedure. The impact of correct height adjustment and specimen height was found to be critical for reproducibility of measurements and thus needs attendance. These findings form the basis for future comparative studies with established texture analyzers. Full article
(This article belongs to the Section Sensing and Imaging)
Show Figures

Figure 1

37 pages, 2115 KB  
Article
Experimental Analysis of Fractured Human Bones: Brief Review and New Approaches
by Ioan Száva, Iosif Șamotă, Teofil-Florin Gălățanu, Dániel-Tamás Száva and Ildikó-Renáta Száva
Prosthesis 2025, 7(5), 126; https://doi.org/10.3390/prosthesis7050126 - 9 Oct 2025
Viewed by 262
Abstract
Long bone fractures are breaks or cracks in a long bone of the body typically caused by trauma like a fall, sport injury, accidents etc. This study investigates the effectiveness of experimental methods for fast and safe healing of long bone fractures in [...] Read more.
Long bone fractures are breaks or cracks in a long bone of the body typically caused by trauma like a fall, sport injury, accidents etc. This study investigates the effectiveness of experimental methods for fast and safe healing of long bone fractures in humans, highlighting both their advantages and disadvantages, respectively finding the most effective and safe methods for evaluating the types of fixators that can be used in the consolidation of fractured long bones. As for the preliminary data, numerical methods and applied mathematics were used to address this problem. After collecting of preliminary data there were performed a series of experimental analysis as follows: Electrical Strain Gauges (ESGs); the Moiré Fringes method; Photo-Elasticity, with the particular technique thereof, the so-called Photo-Stress method; Holographic Interferometry (HI); Speckle Pattern Interferometry (ESPI) and Shearography; and Video Image Correlation (VIC), which is also called Digital Image Correlation (DIC). By analyzing different methods, the following two methods resulted to be widely applicable, namely, ESG and DIC/VIC. The findings highlight the net advantages regarding the objective choice of these types of fixators, thereby contributing to a possible extension of these approaches for the benefit of medical surgical practice Full article
15 pages, 5568 KB  
Article
Development of Projection Optical Microscopy and Direct Observation of Various Nanoparticles
by Toshihiko Ogura
Optics 2025, 6(4), 50; https://doi.org/10.3390/opt6040050 - 9 Oct 2025
Viewed by 301
Abstract
The optical microscope is an indispensable observation instrument that has fundamentally contributed to progress in science and technology. Dark-field microscopy and scattered light imaging techniques enable high-contrast observation of nanoparticles in water. However, the scattered light is focused by the optical lenses, resulting [...] Read more.
The optical microscope is an indispensable observation instrument that has fundamentally contributed to progress in science and technology. Dark-field microscopy and scattered light imaging techniques enable high-contrast observation of nanoparticles in water. However, the scattered light is focused by the optical lenses, resulting in a blurred image of the nanoparticle structure. Here, we developed a projection optical microscope (PROM), which directly observes the scattered light from the nanoparticles without optical lenses. In this method, the sample is placed below the focus position of the microscope’s objective lens and the projected light is detected by an image sensor. This enables direct observation of the sample with a spatial resolution of approximately 20 nm. Using this method, changes in the aggregation state of nanoparticles in solution can be observed at a speed faster than the video frame rate. Moreover, the mechanism of such high-resolution observation may be related to the quantum properties of light, making it an interesting phenomenon from the perspective of optical engineering. We expect this method to be applicable to the observation and analysis of samples in materials science, biology and applied physics, and thus to contribute to a wide range of scientific, technological and industrial fields. Full article
(This article belongs to the Section Engineering Optics)
Show Figures

Figure 1

23 pages, 6989 KB  
Article
Images Versus Videos in Contrast-Enhanced Ultrasound for Computer-Aided Diagnosis
by Marina Adriana Mercioni, Cătălin Daniel Căleanu and Mihai-Eronim-Octavian Ursan
Sensors 2025, 25(19), 6247; https://doi.org/10.3390/s25196247 - 9 Oct 2025
Viewed by 376
Abstract
The background of the article refers to the diagnosis of focal liver lesions (FLLs) through contrast-enhanced ultrasound (CEUS) based on the integration of spatial and temporal information. Traditional computer-aided diagnosis (CAD) systems predominantly rely on static images, which limits the characterization of lesion [...] Read more.
The background of the article refers to the diagnosis of focal liver lesions (FLLs) through contrast-enhanced ultrasound (CEUS) based on the integration of spatial and temporal information. Traditional computer-aided diagnosis (CAD) systems predominantly rely on static images, which limits the characterization of lesion dynamics. This study aims to assess the effectiveness of Transformer-based architectures in enhancing CAD performance within the realm of liver pathology. The methodology involved a systematic comparison of deep learning models for the analysis of CEUS images and videos. For image-based classification, a Hybrid Transformer Neural Network (HTNN) was employed. It combines Vision Transformer (ViT) modules with lightweight convolutional features. For video-based tasks, we evaluated a custom spatio-temporal Convolutional Neural Network (CNN), a CNN with Long Short-Term Memory (LSTM), and a Video Vision Transformer (ViViT). The experimental results show that the HTNN achieved an outstanding accuracy of 97.77% in classifying various types of FLLs, although it required manual selection of the region of interest (ROI). The video-based models produced accuracies of 83%, 88%, and 88%, respectively, without the need for ROI selection. In conclusion, the findings indicate that Transformer-based models exhibit high accuracy in CEUS-based liver diagnosis. This study highlights the potential of attention mechanisms to identify subtle inter-class differences, thereby reducing the reliance on manual intervention. Full article
Show Figures

Figure 1

12 pages, 15620 KB  
Protocol
A Simple Method for Imaging and Quantifying Respiratory Cilia Motility in Mouse Models
by Richard Francis
Methods Protoc. 2025, 8(5), 113; https://doi.org/10.3390/mps8050113 - 1 Oct 2025
Viewed by 304
Abstract
A straightforward ex vivo approach has been developed and refined to enable high-resolution imaging and quantitative assessment of motile cilia function in mouse airway epithelial tissue, allowing critical insights into cilia motility and cilia generated flow using different mouse models or following different [...] Read more.
A straightforward ex vivo approach has been developed and refined to enable high-resolution imaging and quantitative assessment of motile cilia function in mouse airway epithelial tissue, allowing critical insights into cilia motility and cilia generated flow using different mouse models or following different sample treatments. In this method, freshly excised mouse trachea is cut longitudinally through the trachealis muscle which is then sandwiched between glass coverslips within a thin silicon gasket. By orienting the tissue along its longitudinal axis, the natural curling of the trachealis muscle helps maintain the sample in a configuration optimal for imaging along the full tracheal length. High-speed video microscopy, utilizing differential interference contrast (DIC) optics and a fast digital camera capturing at >200 frames per second is then used to record ciliary motion. This enables detailed measurement of both cilia beat frequency (CBF) and waveform characteristics. The application of 1 µm microspheres to the bathing media during imaging allows for additional analysis of fluid flow generated by ciliary activity. The entire procedure typically takes around 40 min to complete per animal: ~30 min for tissue harvest and sample mounting, then ~10 min for imaging samples and acquiring data. Full article
(This article belongs to the Section Biomedical Sciences and Physiology)
Show Figures

Figure 1

21 pages, 4285 KB  
Article
Spatiotemporal Modeling and Intelligent Recognition of Sow Estrus Behavior for Precision Livestock Farming
by Kaidong Lei, Bugao Li, Hua Yang, Hao Wang, Di Wang and Benhai Xiong
Animals 2025, 15(19), 2868; https://doi.org/10.3390/ani15192868 - 30 Sep 2025
Viewed by 291
Abstract
Accurate recognition of estrus behavior in sows is of great importance for achieving scientific breeding management, improving reproductive efficiency, and reducing labor costs in modern pig farms. However, due to the evident spatiotemporal continuity, stage-specific changes, and ambiguous category boundaries of estrus behaviors, [...] Read more.
Accurate recognition of estrus behavior in sows is of great importance for achieving scientific breeding management, improving reproductive efficiency, and reducing labor costs in modern pig farms. However, due to the evident spatiotemporal continuity, stage-specific changes, and ambiguous category boundaries of estrus behaviors, traditional methods based on static images or manual observation suffer from low efficiency and high misjudgment rates in practical applications. To address these issues, this study follows a video-based behavior recognition approach and designs three deep learning model structures: (Convolutional Neural Network combined with Long Short-Term Memory) CNN + LSTM, (Three-Dimensional Convolutional Neural Network) 3D-CNN, and (Convolutional Neural Network combined with Temporal Convolutional Network) CNN + TCN, aiming to achieve high-precision recognition and classification of four key behaviors (SOB, SOC, SOS, SOW) during the estrus process in sows. In terms of data processing, a sliding window strategy was adopted to slice the annotated video sequences, constructing image sequence samples with uniform length. The training, validation, and test sets were divided in a 6:2:2 ratio, ensuring balanced distribution of behavior categories. During model training and evaluation, a systematic comparative analysis was conducted from multiple aspects, including loss function variation (Loss), accuracy, precision, recall, F1-score, confusion matrix, and ROC-AUC curves. Experimental results show that the CNN + TCN model performed best overall, with validation accuracy exceeding 0.98, F1-score approaching 1.0, and an average AUC value of 0.9988, demonstrating excellent recognition accuracy and generalization ability. The 3D-CNN model performed well in recognizing short-term dynamic behaviors (such as SOC), achieving a validation F1-score of 0.91 and an AUC of 0.770, making it suitable for high-frequency, short-duration behavior recognition. The CNN + LSTM model exhibited good robustness in handling long-duration static behaviors (such as SOB and SOS), with a validation accuracy of 0.99 and an AUC of 0.9965. In addition, this study further developed an intelligent recognition system with front-end visualization, result feedback, and user interaction functions, enabling local deployment and real-time application of the model in farming environments, thus providing practical technical support for the digitalization and intelligentization of reproductive management in large-scale pig farms. Full article
Show Figures

Figure 1

13 pages, 1800 KB  
Article
Molten Dripping of Crosslinked Polyethylene Cable Insulation Under Electrical Overload
by Shu Zhang, Yang Li and Qingwen Lin
Fire 2025, 8(10), 387; https://doi.org/10.3390/fire8100387 - 29 Sep 2025
Viewed by 757
Abstract
Under electrical overload conditions, the molten dripping of thermoplastic wire insulation materials—particularly crosslinked polyethylene (XLPE)—poses a severe fire hazard and significantly complicates fire prevention and control. This study systematically investigated the formation mechanism, periodic characteristics, and flame interaction behavior of molten dripping in [...] Read more.
Under electrical overload conditions, the molten dripping of thermoplastic wire insulation materials—particularly crosslinked polyethylene (XLPE)—poses a severe fire hazard and significantly complicates fire prevention and control. This study systematically investigated the formation mechanism, periodic characteristics, and flame interaction behavior of molten dripping in XLPE-insulated wires subjected to varying overload currents (0–80 A). Experiments were conducted using a custom-designed test platform equipped with precise current regulation and high-resolution video imaging systems. Key dripping parameters—including the initial dripping time, dripping frequency, and period—were extracted and analyzed. The results indicate that increased current intensifies Joule heating within the conductor, accelerating the softening and pyrolysis of the insulation, thus resulting in earlier and more frequent dripping. A thermodynamic prediction model was developed to reveal the nonlinear coupling relationships between the dripping frequency, period, and current, which showed strong agreement with the experimental data, especially at high current levels. Further flame morphology analysis showed that molten dripping induced pronounced vertical flame disturbances, while the lateral flame spread remained relatively unchanged. This phenomenon promotes vertical flame propagation and can trigger multiple ignition points, thereby increasing the fire complexity and hazard. The study enhances our understanding of the coupling mechanisms between electrical loading and molten dripping behavior and provides theoretical and experimental foundations for fire-safe wire design and early-stage risk assessment. Full article
(This article belongs to the Special Issue State of the Art in Combustion and Flames)
Show Figures

Figure 1

14 pages, 3002 KB  
Communication
Interpretability of Deep High-Frequency Residuals: A Case Study on SAR Splicing Localization
by Edoardo Daniele Cannas, Sara Mandelli, Paolo Bestagini and Stefano Tubaro
J. Imaging 2025, 11(10), 338; https://doi.org/10.3390/jimaging11100338 - 28 Sep 2025
Viewed by 215
Abstract
Multimedia Forensics (MMF) investigates techniques to automatically assess the integrity of multimedia content, e.g., images, videos, or audio clips. Data-driven methodologies like Neural Networks (NNs) represent the state of the art in the field. Despite their efficacy, NNs are often considered “black boxes” [...] Read more.
Multimedia Forensics (MMF) investigates techniques to automatically assess the integrity of multimedia content, e.g., images, videos, or audio clips. Data-driven methodologies like Neural Networks (NNs) represent the state of the art in the field. Despite their efficacy, NNs are often considered “black boxes” due to their lack of transparency, which limits their usage in critical applications. In this work, we assess the interpretability properties of Deep High-Frequency Residuals (DHFRs), i.e., noise residuals extracted from images by NNs for forensic purposes, that nowadays represent a powerful tool for image splicing localization. Our research demonstrates that DHFRs not only serve as a visual aid in identifying manipulated regions in the image but also reveal the nature of the editing techniques applied to tamper with the sample under analysis. Through extensive experimentation on spliced amplitude Synthetic Aperture Radar (SAR) images, we establish a correlation between the appearance of the DHFRs in the tampered-with zones and their high-frequency energy content. Our findings suggest that, despite the deep learning nature of DHFRs, they possess significant interpretability properties, encouraging further exploration in other forensic applications. Full article
Show Figures

Figure 1

22 pages, 759 KB  
Review
From Routine to Risk: Medical Liability and the Legal Implications of Cataract Surgery in the Age of Trivialization
by Matteo Nioi, Pietro Emanuele Napoli, Domenico Nieddu, Alberto Chighine, Antonio Carai and Ernesto d’Aloja
J. Clin. Med. 2025, 14(19), 6838; https://doi.org/10.3390/jcm14196838 - 26 Sep 2025
Viewed by 564
Abstract
Cataract surgery is the most common eye operation worldwide and is regarded as one of the safest procedures in medicine. Yet, despite its low complication rates, it generates a disproportionate share of litigation. The gap between excellent safety profiles and rising medico-legal claims [...] Read more.
Cataract surgery is the most common eye operation worldwide and is regarded as one of the safest procedures in medicine. Yet, despite its low complication rates, it generates a disproportionate share of litigation. The gap between excellent safety profiles and rising medico-legal claims is driven less by surgical outcomes than by patient expectations, often shaped by healthcare marketing and the promise of risk-free recovery. This narrative review explores the clinical and legal dimensions of cataract surgery, focusing on complications, perioperative risk factors, and medico-legal concepts of predictability and preventability. Particular emphasis is given to European frameworks, with the Italian Gelli-Bianco Law (Law No. 24/2017) providing a model of accountability that balances innovation and patient safety. Analysis shows that liability exposure spans all phases of surgery: preoperative (inadequate consent, poor documentation), intraoperative (posterior capsule rupture, zonular instability), and postoperative (endophthalmitis, poor follow-up). Practical strategies for risk reduction include advanced imaging such as macular OCT, rigorous adherence to updated guidelines, systematic video recording, and transparent perioperative communication. Patient-reported outcomes further highlight that satisfaction depends more on visual quality and dialogue than on spectacle independence. By translating legal principles into clinical strategies, this review offers surgeons actionable “surgical–legal pearls” to improve outcomes, strengthen patient trust, and reduce medico-legal vulnerability in high-volume cataract surgery. Full article
(This article belongs to the Section Ophthalmology)
Show Figures

Figure 1

Back to TopTop