Sign in to use this feature.

Years

Between: -

Subjects

remove_circle_outline
remove_circle_outline
remove_circle_outline
remove_circle_outline
remove_circle_outline
remove_circle_outline
remove_circle_outline
remove_circle_outline
remove_circle_outline

Journals

Article Types

Countries / Regions

Search Results (59)

Search Parameters:
Keywords = hyper-entropy (He)

Order results
Result details
Results per page
Select all
Export citation of selected articles as:
22 pages, 3789 KB  
Article
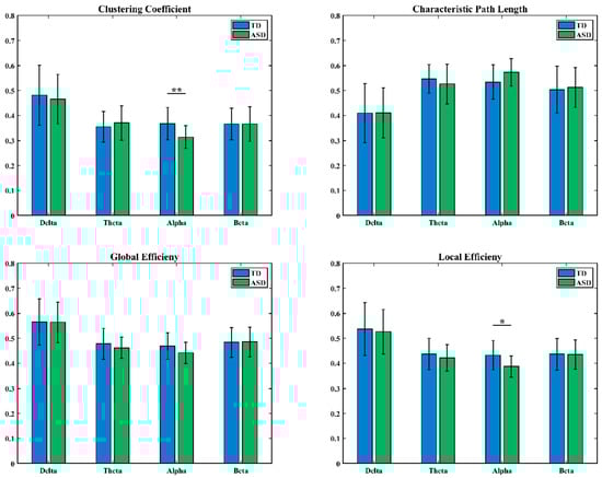
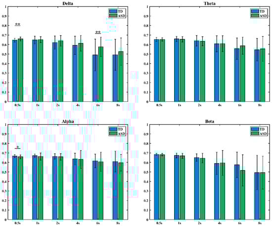
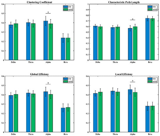
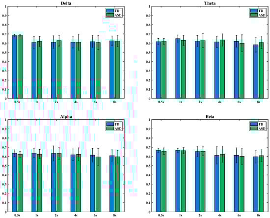
Alterations in Multidimensional Functional Connectivity Architecture in Preschool Children with Autism Spectrum Disorder
by Jiannan Kang, Xiangyu Zhang, Zongbing Xiao, Zhiyuan Fan, Xiaoli Li, Tianyi Zhou and He Chen
Brain Sci. 2026, 16(1), 91; https://doi.org/10.3390/brainsci16010091 - 15 Jan 2026
Abstract
Background: Autism Spectrum Disorder (ASD) is a type of neurodevelopmental disorder, and its exact causes are currently unknown. Neuroimaging research suggests that its clinical features are closely linked to alterations in brain functional network connectivity, yet the specific patterns and mechanisms underlying these [...] Read more.
Background: Autism Spectrum Disorder (ASD) is a type of neurodevelopmental disorder, and its exact causes are currently unknown. Neuroimaging research suggests that its clinical features are closely linked to alterations in brain functional network connectivity, yet the specific patterns and mechanisms underlying these abnormalities require further clarification. Methods: We recruited 36 children with ASD and 36 age- and sex-matched typically developing (TD) controls. Resting-state EEG data were used to construct static and dynamic low- and high-order functional networks across four frequency bands (δ, θ, α, β). Graph-theoretical metrics (clustering coefficient, characteristic path length, global efficiency, local efficiency) and state entropy were applied to characterize network topology and dynamic transitions between integration and segregation. Additionally, between-frequency networks were built for six band pairs (δ-θ, δ-α, δ-β, θ-α, θ-β, α-β), and network global measures quantified cross-frequency interactions. Results: Low-order networks in ASD showed increased δ and β connectivity but decreased θ and α connectivity. High-order networks demonstrated increased δ connectivity, reduced α connectivity, and mixed alterations in θ and β. Graph-theoretical analysis revealed pronounced α-band topological disruptions in ASD, reflected by a lower clustering coefficient and efficiency and higher characteristic path length in both low- and high-order networks. Dynamic analysis showed no significant entropy changes in low-order networks, while high-order networks exhibited time- and frequency-specific abnormalities, particularly in δ and α (0.5 s window) and δ (6 s window). Between-frequency analysis showed enhanced β-related coupling in low-order networks but widespread reductions across all band pairs in high-order networks. Conclusions: Young children with ASD exhibit coexisting hypo- and hyper-connectivity, disrupted network topology, and abnormal temporal dynamics. Integrating hierarchical, dynamic, and cross-frequency analyses offers new insights into ASD neurophysiology and potential biomarkers. Full article
(This article belongs to the Section Neural Engineering, Neuroergonomics and Neurorobotics)
Show Figures

Figure 1

27 pages, 6495 KB  
Article
Optimization Method for Robustness of Hypernetwork Communication with Integrated Structural Features
by Lei Chen, Xiujuan Ma and Fuxiang Ma
Entropy 2026, 28(1), 75; https://doi.org/10.3390/e28010075 - 9 Jan 2026
Viewed by 69
Abstract
The ultimate objective of research on hypernetwork robustness is to enhance its capability to withstand external attacks and natural disasters. For hypernetworks such as telecommunication networks, public safety networks, and military networks—where security requirements are extremely high—achieving higher communication robustness is essential. This [...] Read more.
The ultimate objective of research on hypernetwork robustness is to enhance its capability to withstand external attacks and natural disasters. For hypernetworks such as telecommunication networks, public safety networks, and military networks—where security requirements are extremely high—achieving higher communication robustness is essential. This study integrates the structural characteristics of hypernetworks with an optimization method for communication robustness by combining four key indicators: hyper-betweenness centrality, hyper-centrality of feature subgraph, hyper-centrality of Fiedler, and hyperdistance entropy. Using the best improvement performance (BIP_T) as the evaluation metric, simulation experiments were conducted to comparatively analyze the effectiveness of these four indicators in enhancing the communication robustness of Barabási–Albert (BA), Erdos–Renyi (ER), and Newman–Watts (NW) hypernetworks, and theoretically derives the hyperedge addition threshold θ. The results show that all four indicators effectively improve the communication robustness of hypernetworks, although with varying degrees of optimization. Among them, hyper-betweenness centrality demonstrates the most significant optimization effect, followed by hyper-centrality of feature subgraph and hyper-centrality of Fiedler, while hyperdistance entropy exhibits a relatively weaker effect. Furthermore, these four indicators and the proposed communication robustness optimization method exhibit strong generalizability and have been effectively applied to the WIKI-VOTE social hypernetwork. Full article
(This article belongs to the Special Issue Robustness and Resilience of Complex Networks)
Show Figures

Figure 1

25 pages, 2563 KB  
Article
Tailoring the Ideal Customer: A Methodological Framework for Buyer Persona Design in the Tailoring Industry
by Juan Camilo Ospina-Agudelo, Carlos Hernán Suárez-Rodríguez, Esteban Largo-Avila, Alba Mery Garzón-García and Laura Suárez-Naranjo
Adm. Sci. 2026, 16(1), 9; https://doi.org/10.3390/admsci16010009 - 25 Dec 2025
Viewed by 465
Abstract
Amid rapid digital transformation and shifting consumption models, the tailoring industry faces a dual challenge: preserving its artisanal essence while adapting to the expectations of an increasingly digital-oriented clientele. This study introduces a methodological framework for designing buyer personas suited to the contemporary [...] Read more.
Amid rapid digital transformation and shifting consumption models, the tailoring industry faces a dual challenge: preserving its artisanal essence while adapting to the expectations of an increasingly digital-oriented clientele. This study introduces a methodological framework for designing buyer personas suited to the contemporary artisanal tailoring ecosystem, offering a structured approach to understanding modern consumer behavior within hybrid physical–digital environments. Using a mixed-methods design and Sastrería Jorge Ospina (Caicedonia, Colombia) as a case study, 378 online surveys—117 from current clients and 261 from potential clients—were analyzed using descriptive and inferential statistical techniques (Pearson’s χ2, p < 0.05). Managerial priorities were concurrently assessed using a multi-criteria decision-making model (TOPSIS) with entropy-based weighting. The analysis identified two consumer archetypes: (1) the Classic Segment—mature clients motivated by tradition, loyalty, and reliability, who value tangible elegance and experiential craftsmanship; and (2) the Digital Segment—young consumers driven by aesthetic trends, convenience, and immediacy, who prioritize online interaction and personalized digital consumption. TOPSIS results highlighted older men (Cᵢ = 1.000) and young women (Cᵢ = 0.870) as the most strategically valuable customer groups. These findings redefine the post-digital tailoring consumer as a hybrid entity guided by artisanal value, hyper-personalization, and digital engagement. Full article
Show Figures

Graphical abstract

22 pages, 4884 KB  
Article
Integrating Microtopographic Engineering with Native Plant Functional Diversity to Support Restoration of Degraded Arid Ecosystems
by Yassine Fendane, Mohamed Djamel Miara, Hassan Boukcim, Sami D. Almalki, Shauna K. Rees, Abdalsamad Aldabaa, Ayman Abdulkareem and Ahmed H. Mohamed
Land 2025, 14(12), 2445; https://doi.org/10.3390/land14122445 - 18 Dec 2025
Viewed by 342
Abstract
Active restoration structures such as microtopographic water-harvesting designs are widely implemented in dryland ecosystems to improve soil moisture, reduce erosion, and promote vegetation recovery. We assessed the combined effects of planted species identity, planting diversity (mono-, bi- and multi-species mixtures), and micro-catchment (half-moon) [...] Read more.
Active restoration structures such as microtopographic water-harvesting designs are widely implemented in dryland ecosystems to improve soil moisture, reduce erosion, and promote vegetation recovery. We assessed the combined effects of planted species identity, planting diversity (mono-, bi- and multi-species mixtures), and micro-catchment (half-moon) structures on seedling performance and spontaneous natural regeneration in a hyper-arid restoration pilot site in Sharaan National Park, northwest Saudi Arabia. Thirteen native plant species, of which four—Ochradenus baccatus, Haloxylon persicum, Haloxylon salicornicum, and Acacia gerrardii—formed the dominant planted treatments, were established in 18 half-moons and monitored for survival, growth, and natural recruitment. Seedling survival after 20 months differed significantly among planting treatments, increasing from 58% in mono-plantings to 69% in bi-plantings and 82% in multi-plantings (binomial GLMM, p < 0.001), indicating a positive effect of planting diversity on establishment. Growth traits (height, collar diameter, and crown dimensions) were synthesized into an Overall Growth Index (OGI) and an entropy-weighted OGI (EW-OGI). Mixed-effects models revealed strong species effects on both indices (F12,369 ≈ 7.2, p < 0.001), with O. baccatus and H. persicum outperforming other taxa and cluster analysis separating “fast expanders”, “moderate growers”, and “decliners”. Trait-based modeling showed that lateral crown expansion was the main driver of overall performance, whereas stem thickening and fruit production contributed little. Between 2022 and 2024, half-moon soils exhibited reduced electrical conductivity and exchangeable Na, higher organic carbon, and doubled available P, consistent with emerging positive soil–plant feedbacks. Spontaneous recruits were dominated by perennials (≈67% of richness), with perennial dominance increasing from mono- to multi-plantings, although Shannon diversity differences among treatments were small and non-significant. The correlation between OGI and spontaneous richness was positive but weak (r = 0.29, p = 0.25), yet plots dominated by O. baccatus hosted nearly two additional spontaneous species relative to other plantings, highlighting its strong facilitative role. Overall, our results show that half-moon micro-catchments, especially when combined with functionally diverse native plantings, can simultaneously improve soil properties and promote biotic facilitation, fostering a transition from active intervention to passive, self-sustaining restoration in hyper-arid environments. Full article
Show Figures

Figure 1

23 pages, 2488 KB  
Article
FL-Swarm MRCM: A Novel Federated Learning Framework for Cross-Site Medical Image Reconstruction
by Ailya Izhar and Syed Muhammad Anwar
Big Data Cogn. Comput. 2025, 9(11), 295; https://doi.org/10.3390/bdcc9110295 - 19 Nov 2025
Viewed by 597
Abstract
Magnetic Resonance Imaging (MRI) reconstruction is computationally heavy from under sampled data, and centralized data sharing within deep learning models was met with privacy concerns. We therefore propose FL-Swarm MRCM, a novel federated learning framework that integrates FedDyn dynamic regularization, a swarm-optimized generative [...] Read more.
Magnetic Resonance Imaging (MRI) reconstruction is computationally heavy from under sampled data, and centralized data sharing within deep learning models was met with privacy concerns. We therefore propose FL-Swarm MRCM, a novel federated learning framework that integrates FedDyn dynamic regularization, a swarm-optimized generative adversarial network (SwarmGAN), and a structure-aware cross-entropy loss to enhance cross-site MRI reconstruction without sharing raw data. The framework avoids client drift, locally adapts hyper-parameters using Particle Swarm Optimization, and preserves anatomic fidelity. Evaluations on fastMRI, BraTS-2020, and OASIS datasets under non-IID partitions show that FL-Swarm MRCM improves reconstruction quality, achieving PSNR = 29.78 dB and SSIM = 0.984, outscoring FL-MR and FL-MRCM baselines. The federated framework for adversarial training proposed here enables reproducible, privacy-preserving, and strongly multi-institutional MRI reconstruction with better cross-site generalization for clinical use. Full article
Show Figures

Figure 1

32 pages, 2788 KB  
Article
Improving Variable-Rate Learned Image Compression with Transformer-Based QR Prediction and Perceptual Optimization
by Yong-Hwan Lee and Wan-Bum Lee
Appl. Sci. 2025, 15(22), 12151; https://doi.org/10.3390/app152212151 - 16 Nov 2025
Viewed by 1407
Abstract
We present a variable-rate learned image compression (LIC) model that integrates Transformer-based quantization–reconstruction (QR) offset prediction, entropy-guided hyper-latent quantization, and perceptually informed multi-objective optimization. Unlike existing LIC frameworks that train separate networks for each bitrate, the proposed method achieves continuous rate adaptation within [...] Read more.
We present a variable-rate learned image compression (LIC) model that integrates Transformer-based quantization–reconstruction (QR) offset prediction, entropy-guided hyper-latent quantization, and perceptually informed multi-objective optimization. Unlike existing LIC frameworks that train separate networks for each bitrate, the proposed method achieves continuous rate adaptation within a single model by dynamically balancing rate, distortion and perceptual objectives. Channel-wise asymmetric quantization and a composite loss combining MSE and LPIPS further enhance reconstruction fidelity and subjective quality. Experiments on the Kodak, CLIC2020 and Tecnick datasets show gains of +1.15 dB PSNR, +0.065 MS-SSIM, and −0.32 LPIPS relative to the baselines variable-rate method, while improving bitrate-control accuracy by 62.5%. With approximately 15% computational overhead, the framework achieves competitive compression efficiency and enhanced perceptual quality, offering a practical solution for adaptive, high-quality image delivery. Full article
Show Figures

Figure 1

22 pages, 1557 KB  
Article
Capacity Configuration and Benefit Assessment of Deep-Sea Wind–Hydrogen System Considering Dynamic Hydrogen Price
by Chen Fu, Li Lan, Yanyuan Qian, Peng Chen, Zhonghao Shi, Xinghao Zhang, Chuanbo Xu and Ruoyi Dong
Energies 2025, 18(19), 5175; https://doi.org/10.3390/en18195175 - 29 Sep 2025
Viewed by 597
Abstract
Against the backdrop of the global transition towards clean energy, deep-sea wind-power hydrogen production integrates offshore wind with green hydrogen technology. Addressing the technical coupling complexity and the impact of uncertain hydrogen prices, this paper develops a capacity optimization model. The model incorporates [...] Read more.
Against the backdrop of the global transition towards clean energy, deep-sea wind-power hydrogen production integrates offshore wind with green hydrogen technology. Addressing the technical coupling complexity and the impact of uncertain hydrogen prices, this paper develops a capacity optimization model. The model incorporates floating wind turbine output, the technical distinctions between alkaline (ALK) electrolyzers and proton exchange membrane (PEM) electrolyzers, and the synergy with energy storage. Under three hydrogen price scenarios, the results demonstrate that as the price increases from 26 CNY/kg to 30 CNY/kg, the optimal ALK capacity decreases from 2.92 MW to 0.29 MW, while the PEM capacity increases from 3.51 MW to 5.51 MW. Correspondingly, the system’s Net Present Value (NPV) exhibits an upward trend. To address the limitations of traditional methods in handling multi-dimensional benefit correlations and information ambiguity, a comprehensive benefit evaluation framework encompassing economic, technical, environmental, and social synergies was constructed. Sensitivity analysis indicates that the comprehensive benefit level falls within a relatively high-efficiency interval. The numerical characteristics, an entropy value of 3.29 and a hyper-entropy of 0.85, demonstrate compact result distribution and robust stability, validating the applicability and stability of the proposed offshore wind–hydrogen benefit assessment model. Full article
Show Figures

Figure 1

20 pages, 3199 KB  
Article
Analysis of the Risk Factors for PCCP Damage via Cloud Theory
by Liwei Han, Yifan Zhang, Te Wang and Ruibin Guo
Buildings 2025, 15(18), 3363; https://doi.org/10.3390/buildings15183363 - 17 Sep 2025
Viewed by 551
Abstract
Research on prestressed concrete cylinder pipes (PCCPs) has focused primarily on their failure mechanisms, monitoring methods, and the effectiveness of repairs. However, gaps in the study of damage risks associated with PCCPs remain. Based on existing relevant research, this study focused on analysing [...] Read more.
Research on prestressed concrete cylinder pipes (PCCPs) has focused primarily on their failure mechanisms, monitoring methods, and the effectiveness of repairs. However, gaps in the study of damage risks associated with PCCPs remain. Based on existing relevant research, this study focused on analysing the uncertainties in the material production and manufacturing processes of PCCPs to assess their damage risk. The research employs onsite test data about the compressive strength of C55 concrete and the real prestressing force exerted on prestressed steel wires, utilising the measured compressive strength of the concrete core in PCCPs alongside the actual prestressing force applied to the steel wires. An inverse cloud generator was employed to obtain the expected value Ex, entropy En, and hyperentropy He of the characteristic numbers. These values are then combined with the forward cloud model in cloud theory to train random parameters. By combining cloud theory with the Monte Carlo method, a risk analysis model for PCCP pipelines was established. Using internal water pressure monitoring data from the Qiliqiao Reservoir to the Xiayi Water Supply Line in the South-to-North Water Diversion Project, along with relevant PCCP pipeline data, the failure probability of the PCCP pipeline was calculated. The reliability index of this pipeline section under 0.6 MPa loading was found to be 4.49, demonstrating the reliability of the PCCP pipeline in this section of the water supply line. Full article
(This article belongs to the Section Building Structures)
Show Figures

Figure 1

32 pages, 14643 KB  
Article
Image Encryption Algorithm Based on Dynamic Rhombus Transformation and Digital Tube Model
by Xiaoqiang Zhang, Yupeng Song and Ke Huang
Entropy 2025, 27(8), 874; https://doi.org/10.3390/e27080874 - 18 Aug 2025
Cited by 1 | Viewed by 1041
Abstract
With the rapid advancement of information technology, as critical information carriers, images are confronted with significant security risks. To ensure the image security, this paper proposes an image encryption algorithm based on a dynamic rhombus transformation and digital tube model. Firstly, a two-dimensional [...] Read more.
With the rapid advancement of information technology, as critical information carriers, images are confronted with significant security risks. To ensure the image security, this paper proposes an image encryption algorithm based on a dynamic rhombus transformation and digital tube model. Firstly, a two-dimensional hyper-chaotic system is constructed by combining the Sine map, Cubic map and May map. The analysis results demonstrate that the constructed hybrid chaotic map exhibits superior chaotic characteristics in terms of bifurcation diagrams, Lyapunov exponents, sample entropy, etc. Secondly, a dynamic rhombus transformation is proposed to scramble pixel positions, and chaotic sequences are used to dynamically select transformation centers and traversal orders. Finally, a digital tube model is designed to diffuse pixel values, which utilizes chaotic sequences to dynamically control the bit reversal and circular shift operations, and the exclusive OR operation to diffuse pixel values. The performance analyses show that the information entropy of the cipher image is 7.9993, and the correlation coefficients in horizontal, vertical, and diagonal directions are 0.0008, 0.0001, and 0.0005, respectively. Moreover, the proposed algorithm has strong resistance against noise attacks, cropping attacks, and exhaustive attacks, effectively ensuring the security of images during storage and transmission. Full article
(This article belongs to the Section Signal and Data Analysis)
Show Figures

Figure 1

47 pages, 2189 KB  
Article
The Vicious Cycle Atlas of Fragility: Mapping the Feedback Loops Between Industrial–Urban Metabolism and Earth System Collapse
by Choy Yee Keong
Urban Sci. 2025, 9(8), 320; https://doi.org/10.3390/urbansci9080320 - 14 Aug 2025
Viewed by 2725
Abstract
This study examines how Multi-Scalar Nature-Based Regenerative Solutions (M-NbRS) can realign urban–industrial systems with planetary boundaries to mitigate Earth system destabilization. Using integrated systems analysis, we document three key findings: (1) global material flows show only 9% circularity amid annual extraction of 100 [...] Read more.
This study examines how Multi-Scalar Nature-Based Regenerative Solutions (M-NbRS) can realign urban–industrial systems with planetary boundaries to mitigate Earth system destabilization. Using integrated systems analysis, we document three key findings: (1) global material flows show only 9% circularity amid annual extraction of 100 billion tons of resources; (2) Earth system diagnostics reveal 28 trillion tons of cryosphere loss since 1994 and 372 Zettajoules of oceanic heat accumulation; and (3) meta-analysis identifies accelerating biosphere integrity loss (61.56 million hectares deforested since 2001) and atmospheric CO2 concentrations reaching 424.61 ppm (2024). Our Vicious Cycle Atlas of Fragility framework maps three synergistic disintegration pathways: metabolic overload from linear resource flows exceeding sink capacity, entropic degradation through high-entropy waste driving cryospheric collapse, and planetary boundary transgression. The M-NbRS framework counters these through spatially nested interventions: hyper-local urban tree canopy expansion (demonstrating 0.4–12 °C cooling), regional initiatives like the Heart of Borneo’s 24 million-hectare conservation, and global industrial controls maintaining aragonite saturation (Ωarag > 2.75) for marine resilience. Implementation requires policy innovations including deforestation-free supply chains, sustainability-linked financing, and ecological reciprocity legislation. These findings provide an evidence base for transitioning industrial–urban systems from drivers of Earth system fragility to architects of regeneration within safe operating spaces. Collectively, these findings demonstrate that M-NbRS offer a scientifically grounded, policy-actionable framework for breaking the vicious cycles of Earth system destabilization. By operationalizing nature-based regeneration across spatial scales—from street trees to transboundary conservation—this approach provides measurable pathways to realign human systems with planetary boundaries, offering a timely blueprint for industrial–urban transformation within ecological limits. Full article
Show Figures

Figure 1

26 pages, 8709 KB  
Article
Minding Spatial Allocation Entropy: Sentinel-2 Dense Time Series Spectral Features Outperform Vegetation Indices to Map Desert Plant Assemblages
by Frederick N. Numbisi
Remote Sens. 2025, 17(15), 2553; https://doi.org/10.3390/rs17152553 - 23 Jul 2025
Cited by 1 | Viewed by 941
Abstract
The spatial distribution of ephemeral and perennial dryland plant species is increasingly modified and restricted by ever-changing climates and development expansion. At the interface of biodiversity conservation and developmental planning in desert landscapes is the growing need for adaptable tools in identifying and [...] Read more.
The spatial distribution of ephemeral and perennial dryland plant species is increasingly modified and restricted by ever-changing climates and development expansion. At the interface of biodiversity conservation and developmental planning in desert landscapes is the growing need for adaptable tools in identifying and monitoring these ecologically fragile plant assemblages, habitats, and, often, heritage sites. This study evaluates usage of Sentinel-2 time series composite imagery to discriminate vegetation assemblages in a hyper-arid landscape. Spatial predictor spaces were compared to classify different vegetation communities: spectral components (PCs), vegetation indices (VIs), and their combination. Further, the uncertainty in discriminating field-verified vegetation assemblages is assessed using Shannon entropy and intensity analysis. Lastly, the intensity analysis helped to decipher and quantify class transitions between maps from different spatial predictors. We mapped plant assemblages in 2022 from combined PCs and VIs at an overall accuracy of 82.71% (95% CI: 81.08, 84.28). A high overall accuracy did not directly translate to high class prediction probabilities. Prediction by spectral components, with comparably lower accuracy (80.32, 95% CI: 78.60, 81.96), showed lower class uncertainty. Class disagreement or transition between classification models was mainly contributed by class exchange (a component of spatial allocation) and less so from quantity disagreement. Different artefacts of vegetation classes are associated with the predictor space—spectral components versus vegetation indices. This study contributes insights into using feature extraction (VIs) versus feature selection (PCs) for pixel-based classification of plant assemblages. Emphasising the ecologically sensitive vegetation in desert landscapes, the study contributes uncertainty considerations in translating optical satellite imagery to vegetation maps of arid landscapes. These are perceived to inform and support vegetation map creation and interpretation for operational management and conservation of plant biodiversity and habitats in such landscapes. Full article
(This article belongs to the Section Remote Sensing in Agriculture and Vegetation)
Show Figures

Figure 1

15 pages, 1473 KB  
Article
HECM-Plus: Hyper-Entropy Enhanced Cloud Models for Uncertainty-Aware Design Evaluation in Multi-Expert Decision Systems
by Jiaozi Pu and Zongxin Liu
Entropy 2025, 27(5), 475; https://doi.org/10.3390/e27050475 - 27 Apr 2025
Cited by 1 | Viewed by 1096
Abstract
Uncertainty quantification in cloud models requires simultaneous characterization of fuzziness (via Entropy, En) and randomness (via Hyper-entropy, He), yet existing similarity measures often neglect the stochastic dispersion governed by He. To address this gap, we propose HECM-Plus, an algorithm integrating [...] Read more.
Uncertainty quantification in cloud models requires simultaneous characterization of fuzziness (via Entropy, En) and randomness (via Hyper-entropy, He), yet existing similarity measures often neglect the stochastic dispersion governed by He. To address this gap, we propose HECM-Plus, an algorithm integrating Expectation (Ex), En, and He to holistically model geometric and probabilistic uncertainties in cloud models. By deriving He-adjusted standard deviations through reverse cloud transformations, HECM-Plus reformulates the Hellinger distance to resolve conflicts in multi-expert evaluations where subjective ambiguity and stochastic randomness coexist. Experimental validation demonstrates three key advances: (1) Fuzziness–Randomness discrimination: HECM-Plus achieves balanced conceptual differentiation (δC1/C4 = 1.76, δC2 = 1.66, δC3 = 1.58) with linear complexity outperforming PDCM and HCCM by 10.3% and 17.2% in differentiation scores while resolving He-induced biases in HECM/ECM (C1C4 similarity: 0.94 vs. 0.99) critical for stochastic dispersion modeling; (2) Robustness in time-series classification: It reduces the mean error by 6.8% (0.190 vs. 0.204, *p* < 0.05) with lower standard deviation (0.035 vs. 0.047) on UCI datasets, validating noise immunity; (3) Design evaluation application: By reclassifying controversial cases (e.g., reclassified from a “good” design (80.3/100 average) to “moderate” via cloud model using HECM-Plus), it resolves multi-expert disagreements in scoring systems. The main contribution of this work is the proposal of HECM-Plus, which resolves the limitation of HECM in neglecting He, thereby further enhancing the precision of normal cloud similarity measurements. The algorithm provides a practical tool for uncertainty-aware decision-making in multi-expert systems, particularly in multi-criteria design evaluation under conflicting standards. Future work will extend to dynamic expert weight adaptation and higher-order cloud interactions. Full article
(This article belongs to the Special Issue Entropy Method for Decision Making with Uncertainty)
Show Figures

Figure 1

20 pages, 19302 KB  
Article
Variability Identification and Uncertainty Evolution Characteristic Analysis of Hydrological Variables in Anhui Province, China
by Xia Bai, Jinhuang Yu, Yule Li, Juliang Jin, Chengguo Wu and Rongxing Zhou
Entropy 2025, 27(3), 305; https://doi.org/10.3390/e27030305 - 14 Mar 2025
Viewed by 892
Abstract
Variability identification and uncertainty characteristic analysis, under the impacts of climate change and human activities, is beneficial for accurately predicting the future evolution trend of hydrological variables. In this study, based on the evolution trend and characteristic analyses of historical precipitation and temperature [...] Read more.
Variability identification and uncertainty characteristic analysis, under the impacts of climate change and human activities, is beneficial for accurately predicting the future evolution trend of hydrological variables. In this study, based on the evolution trend and characteristic analyses of historical precipitation and temperature sequences from monthly, annual, and interannual scales through the Linear Tendency Rate (LTR) index, as well as its variability point identification using the M–K trend test method, we further utilized three cloud characteristic parameters comprising the average Ex, entropy En, and hyper-entropy He of the Cloud Model (CM) method to quantitatively reveal the uncertainty features corresponding to the diverse cloud distribution of precipitation and temperature sample scatters. And then, through an application analysis of the proposed research framework in Anhui Province, China, the following can be summarized from the application results: (1) The annual precipitation of Anhui Province presented a remarkable decreasing trend from south to north and an annual increasing trend from 1960 to 2020, especially in the southern area, with the LTR index equaling 55.87 mm/10a, and the annual average temperature of the entire provincial area also presented an obvious increasing trend from 1960 to 2020, with LTR equaling about 0.226 °C/10a. (2) The uncertainty characteristic of the precipitation series was evidently intensified after the variability points in 2013 and 2014 in the southern and provincial areas, respectively, according to the derived values of entropy En and hyper-entropy He, which are basically to the contrary for the historical annual average temperature series in southern Anhui Province. (3) The obtained result was basically consistent with the practical statistics of historical hydrological and disaster data, indicating that the proposed research methodologies can be further applied in related variability diagnosis analyses of non-stationary hydrological variables. Full article
(This article belongs to the Section Information Theory, Probability and Statistics)
Show Figures

Figure 1

39 pages, 46922 KB  
Article
Integrated Landslide Risk Assessment via a Landslide Susceptibility Model Based on Intelligent Optimization Algorithms
by Xin Dai, Jianping Chen, Tianren Zhang and Chenli Xue
Remote Sens. 2025, 17(3), 545; https://doi.org/10.3390/rs17030545 - 5 Feb 2025
Cited by 4 | Viewed by 4514
Abstract
Accurate and objective regional landslide risk assessment is crucial for the precise prevention of regional disasters. This study proposes an integrated landslide risk assessment via a landslide susceptibility model based on intelligent optimization algorithms. By simulating the process of rime frost formation, it [...] Read more.
Accurate and objective regional landslide risk assessment is crucial for the precise prevention of regional disasters. This study proposes an integrated landslide risk assessment via a landslide susceptibility model based on intelligent optimization algorithms. By simulating the process of rime frost formation, it effectively selects features and assigns weights, overcoming the overfitting issue faced by XGBoost in handling high-dimensional features. By integrating the concepts of landslide susceptibility, dynamic landslide factors, and social vulnerability, an integrated landslide risk index was developed. Further investigation was conducted on how landslide susceptibility results influence risk, identifying regions with varying levels of landslide risk due to spatial heterogeneity in geological background, natural environment, and socio-economic conditions. This study’s results demonstrate that the RIME-XGBoost landslide susceptibility model exhibits superior stability and accuracy, achieving an AUC score of 0.947, which represents an improvement of 0.064 compared to the unoptimized XGBoost model, while the accuracy shows a maximum increase of 0.15 relative to other models. Additionally, an analysis using cloud theory indicates that the model’s expectation and hyper-entropy are minimized. High-risk-level areas, constituting only 1.26% of the total area, are predominantly located in densely populated, economically developed urban regions, where roads and rivers are the key influencing factors. In contrast, low-risk areas, which cover approximately 72% of the total area, are more broadly distributed. The landslide susceptibility predictions notably influence high-risk regions with concentrated populations. Full article
(This article belongs to the Section Remote Sensing in Geology, Geomorphology and Hydrology)
Show Figures

Figure 1

20 pages, 11023 KB  
Article
Study of Drought Characteristics and Atmospheric Circulation Mechanisms via a “Cloud Model”, Inner Mongolia Autonomous Region, China
by Sinan Wang, Henglu Miao, Yingjie Wu, Wei Li and Mingyang Li
Agronomy 2025, 15(1), 24; https://doi.org/10.3390/agronomy15010024 - 26 Dec 2024
Cited by 1 | Viewed by 1282
Abstract
Droughts are long-term natural disasters and encompass many unknown factors. Herein, yearly and seasonal standardized precipitation evapotranspiration index (SPEI) values were calculated by analyzing monthly temperature and precipitation data from 1971 to 2020. A cloud model was employed to obtain the spatiotemporal variations [...] Read more.
Droughts are long-term natural disasters and encompass many unknown factors. Herein, yearly and seasonal standardized precipitation evapotranspiration index (SPEI) values were calculated by analyzing monthly temperature and precipitation data from 1971 to 2020. A cloud model was employed to obtain the spatiotemporal variations in the yearly distribution of drought weather. The cross-wavelet transform results revealed the relationship between the SPEI and atmospheric circulations. The results indicated that the average reduction rates of the SPEI-3 and SPEI-12 in Yinshanbeilu were 0.091 and 0.065 yr−1, respectively, and the annual drought occurrence frequency reached 30.37%. The annual station ratio and drought intensity showed increasing trends, whereas the degree of drought slightly decreased. The overall drought conditions indicated an increasing trend, the entropy (En) and hyper entropy (He) values demonstrated increasing trends, and the expectation (Ex) showed a downward trend. The fuzziness and randomness of the drought distribution were relatively low, and the certainty of drought was relatively easy to measure. The variation in the drought distribution was relatively low. There were resonance cycles between the SPEI and various teleconnection factors. The Pacific Decadal Oscillation (PDO) and the El Niño–Southern Oscillation (ENSO) exhibited greater resonance interactions with the SPEI than did other teleconnection factors. The cloud model exhibits satisfactory application prospects in Yinshanbeilu and provides a systematic basis for early warning, prevention, and reduction in drought disasters in this region. Full article
(This article belongs to the Special Issue Advances in Grassland Productivity and Sustainability — 2nd Edition)
Show Figures

Figure 1

Back to TopTop