Sign in to use this feature.

Years

Between: -

Subjects

remove_circle_outline
remove_circle_outline
remove_circle_outline
remove_circle_outline
remove_circle_outline
remove_circle_outline
remove_circle_outline

Journals

Article Types

Countries / Regions

Search Results (15)

Search Parameters:
Keywords = hydrogen-like electron orbital

Order results
Result details
Results per page
Select all
Export citation of selected articles as:
15 pages, 9756 KB  
Article
Interaction of Oxygen Molecules with Fe Atom-Doped γ-Graphyne Surfaces: First-Principles Calculations
by Bin Zhao, Jiayi Yin, Zhuoting Xiong, Wentao Yang, Peng Guo, Meng Li, Haoxian Zeng and Jianjun Wang
Nanomaterials 2025, 15(19), 1479; https://doi.org/10.3390/nano15191479 - 27 Sep 2025
Viewed by 525
Abstract
The activation and dissociation of O2 molecules play a key role in the oxidation of toxic gas molecules and the oxygen reduction reaction (ORR) in hydrogen–oxygen fuel cells. The interactions between O2 molecules and the surfaces of Fe-doped γ-graphyne were systematically [...] Read more.
The activation and dissociation of O2 molecules play a key role in the oxidation of toxic gas molecules and the oxygen reduction reaction (ORR) in hydrogen–oxygen fuel cells. The interactions between O2 molecules and the surfaces of Fe-doped γ-graphyne were systematically explored, mainly adopting the combined method of the density functional theory with dispersion correction (DFT-D3) and the climbing image nudged elastic band (CI-NEB) method. The order of the formation energy values of these defective systems is Ef(FeC2) < Ef(FeC1) < Ef(FeD1) < Ef(VC1) < Ef(VD1) < Ef(VC2) < Ef(FeD2) < Ef(VD2), which indicates that the process of Fe dopant atoms substituting single-carbon atoms/double-carbon atoms is relatively easier than the formation of vacancy-like defects. The results of ab initio molecular dynamics (AIMD) simulations confirm that the doped systems can maintain structural stability at room temperature conditions. Fe-doped atoms transfer a certain amount of electrons to the adsorbed O2 molecules, thereby causing an increase in the O-O bond length of the adsorbed O2 molecules. The electrons obtained by the anti-bonding 2π* orbitals of the adsorbed O2 molecules are mainly derived from the 3d orbitals of Fe atoms. There is a competitive relationship between the substrate’s carbon atoms and the adsorbed O2 molecules for the charges transferred from Fe atoms. In the C1 and C2 systems, O2 molecules have a greater advantage in electron accepting ability compared to the substrate’s carbon atoms. The elongation of O-O bonds and the amount of charge transfer exhibit a positive relationship. More electrons are transferred from Fe-3d orbitals to adsorbed O2 molecules, occupying the 2π* orbitals of adsorbed O2 molecules, further elongating the O-O chemical bond until it breaks. The dissociation process of adsorbed O2 molecules on the surfaces of GY-Fe systems (C2 and D2 sites) involves very low energy barriers (0.016 eV for C2 and 0.12 eV for D2). Thus, our studies may provide useful insights for designing catalyst materials for oxidation reactions and the oxygen reduction reaction. Full article
Show Figures

Graphical abstract

10 pages, 2393 KB  
Article
Density Functional Theory Simulations of Skaergaardite (CuPd) with a Self-Consistent Hubbard U-Correction
by Martino Napoli and Assimo Maris
Chemistry 2025, 7(2), 56; https://doi.org/10.3390/chemistry7020056 - 2 Apr 2025
Viewed by 1098
Abstract
The electronic and phonon bands of Skaergaardite are investigated using density functional theory (DFT) as implemented in Quantum ESPRESSO. Skaergaardite is a copper palladium mineral (CuPd) found in the Skaergaard intrusion with a CsCl-type (B2) structure. Due to its porous structure, it presents [...] Read more.
The electronic and phonon bands of Skaergaardite are investigated using density functional theory (DFT) as implemented in Quantum ESPRESSO. Skaergaardite is a copper palladium mineral (CuPd) found in the Skaergaard intrusion with a CsCl-type (B2) structure. Due to its porous structure, it presents a large surface area available for interactions, which makes it a promising catalyst. The PBE-GGA functional with a Hubbard-like localized term (DFT+U) is combined with ultrasoft and norm-conserving pseudopotentials, and a conventional approach with a dense Monkhorst–Pack grid of k-points 12 × 12 × 12 is applied. The electronic valence bands are mainly constituted by 3d orbitals of Cu and 4d orbitals of Pd and a pseudo-gap can be recognized. With respect to DFT, DFT+U causes a general downward shift in the valence band. The acoustic and optical phonon branches are separated by a few cm−1 gap at about 150 cm−1 and show a density of state curve typical of ordered materials. These results highlight the reliability of DFT+U in studying bimetallic systems with scarce experimental benchmarks, offering insights into the behavior of Skaergaardite and its potential applications in material science such as reduction reactions and hydrogen storage. Full article
(This article belongs to the Section Chemistry of Materials)
Show Figures

Figure 1

24 pages, 1486 KB  
Article
Finite Nuclear Size Effect on the Relativistic Hyperfine Splittings of 2s and 2p Excited States of Hydrogen-like Atoms
by Katharina Lorena Franzke and Uwe Gerstmann
Foundations 2024, 4(4), 513-536; https://doi.org/10.3390/foundations4040034 - 1 Oct 2024
Cited by 2 | Viewed by 3358
Abstract
Hyperfine splittings play an important role in quantum information and spintronics applications. They allow for the readout of the spin qubits, while at the same time providing the dominant mechanism for the detrimental spin decoherence. Their exact knowledge is thus of prior relevance. [...] Read more.
Hyperfine splittings play an important role in quantum information and spintronics applications. They allow for the readout of the spin qubits, while at the same time providing the dominant mechanism for the detrimental spin decoherence. Their exact knowledge is thus of prior relevance. In this work, we analytically investigate the relativistic effects on the hyperfine splittings of hydrogen-like atoms, including finite-size effects of the nucleis’ structure. We start from exact solutions of Dirac’s equation using different nuclear models, where the nucleus is approximated by (i) a point charge (Coulomb potential), (ii) a homogeneously charged full sphere, and (iii) a homogeneously charged spherical shell. Equivalent modelling has been done for the distribution of the nuclear magnetic moment. For the 1s ground state and 2s excited state of the one-electron systems H1, H2, H3, and He+3, the calculated finite-size related hyperfine shifts are quite similar for the different structure models and in excellent agreement with those estimated by comparing QED and experiment. This holds also in a simplified approach where relativistic wave functions from a Coulomb potential combined with spherical-shell distributed nuclear magnetic moments promises an improved treatment without the need for an explicit solution of Dirac’s equation within the nuclear core. Larger differences between different nuclear structure models are found in the case of the anisotropic 2p3/2 orbitals of hydrogen, rendering these excited states as promising reference systems for exploring the proton structure. Full article
(This article belongs to the Section Physical Sciences)
Show Figures

Figure 1

22 pages, 3955 KB  
Review
Exploring the Multifaceted Potential of 2D Bismuthene Multilayered Materials: From Synthesis to Environmental Applications and Future Directions
by Amauri Serrano-Lázaro, Karina Portillo-Cortez, Aldo Ríos-Soberanis, Rodolfo Zanella and Juan C. Durán-Álvarez
Catalysts 2024, 14(8), 500; https://doi.org/10.3390/catal14080500 - 1 Aug 2024
Cited by 4 | Viewed by 3142
Abstract
Two-dimensional (2D) materials have emerged as a frontier in materials science, offering unique properties due to their atomically thin nature. Among these materials, bismuthene stands out due to its exceptional optical, electronic, and catalytic characteristics. Bismuthene exhibits high charge carrier mobility, stability, and [...] Read more.
Two-dimensional (2D) materials have emerged as a frontier in materials science, offering unique properties due to their atomically thin nature. Among these materials, bismuthene stands out due to its exceptional optical, electronic, and catalytic characteristics. Bismuthene exhibits high charge carrier mobility, stability, and a tunable bandgap (0.3–1.0 eV), making it highly suitable for applications in transistors, spintronics, biomedicine, and photocatalysis. This work explores the so far reported synthesis methods for obtaining 2D bismuthene, including bottom-up approaches like chemical vapor deposition and molecular beam epitaxy, and top-down methods such as liquid-phase exfoliation and mechanical exfoliation. Recent advancements in understanding 2D bismuthene structural phases, electronic properties modulated by spin-orbit coupling, and its potential applications in next-generation photocatalysts are also reviewed. As is retrieved by our literature review, 2D bismuthene shows great promise for addressing significant environmental challenges. For instance, in CO2 reduction, integrating bismuthene into 2D/2D heterostructures enhances electron transfer efficiency, thereby improving selectivity toward valuable products, such as CH4 and formic acid. In organic pollutant degradation, bismuth subcarbonate (Bi2O2CO3) nanosheets, obtained from 2D bismuthene, have demonstrated high photocatalytic degradation of antibiotics under visible light irradiation, due to their increased surface area and efficient generation of reactive species. Moreover, bismuthene-based materials exhibit potential in the photocatalytic water-splitting process for hydrogen production, overcoming issues associated with UV-light dependence and sacrificial agent usage. This review underscores the versatile applications of 2D bismuthene in advancing photocatalytic technologies, offering insights into future research directions and potential industrial applications. Full article
(This article belongs to the Special Issue Advances in Catalysis for a Sustainable Future)
Show Figures

Graphical abstract

11 pages, 351 KB  
Article
Electron Capture from Molecular Hydrogen by Metastable Sn2+* Ions
by Klaas Bijlsma, Lamberto Oltra, Emiel de Wit, Luc Assink, Ismanuel Rabadán, Luis Méndez and Ronnie Hoekstra
Atoms 2024, 12(2), 9; https://doi.org/10.3390/atoms12020009 - 1 Feb 2024
Cited by 4 | Viewed by 2804
Abstract
Over a wide and partly overlapping energy range, the single-electron capture cross-sections for collisions of metastable Sn2+(5s5p Po3) (Sn2+) ions with H2 molecules were measured (0.1–10 [...] Read more.
Over a wide and partly overlapping energy range, the single-electron capture cross-sections for collisions of metastable Sn2+(5s5p Po3) (Sn2+) ions with H2 molecules were measured (0.1–10 keV) and calculated (0.3–1000 keV). The semi-classical calculations use a close-coupling method on a basis of electronic wavefunctions of the (SnH2)2+ system. The experimental cross-sections were extracted from double collisions in a crossed-beam experiment of Sn3+ with H2. The measured capture cross-sections for Sn2+ show good agreement with the calculations between 2 and 10 keV, but increase toward lower energies, whereas the calculations decrease. Additional Landau–Zener calculations were performed and show that the inclusion of spin-orbit splitting cannot explain the large cross-sections at the lowest energies which we now assume to be likely due to vibrational effects in the molecular hydrogen target. Full article
(This article belongs to the Section Atomic, Molecular and Nuclear Spectroscopy and Collisions)
Show Figures

Figure 1

16 pages, 6076 KB  
Article
Docking and Electronic Structure of Rutin, Myricetin, and Baicalein Targeting 3CLpro
by Sergio A. de S. Farias, Kelvyn M. L. Rocha, Érica C. M. Nascimento, Rafael do C. C. de Jesus, Paulo R. Neres and João B. L. Martins
Int. J. Mol. Sci. 2023, 24(20), 15113; https://doi.org/10.3390/ijms242015113 - 12 Oct 2023
Cited by 5 | Viewed by 2577
Abstract
Understanding the role of 3CLpro protease for SARS-CoV-2 replication and knowing the potential of flavonoid molecules like rutin, myricetin, and baicalein against 3CLpro justify an investigation into their inhibition. This study investigates possible bonds and reactivity descriptors of rutin, myricetin, and baicalein through [...] Read more.
Understanding the role of 3CLpro protease for SARS-CoV-2 replication and knowing the potential of flavonoid molecules like rutin, myricetin, and baicalein against 3CLpro justify an investigation into their inhibition. This study investigates possible bonds and reactivity descriptors of rutin, myricetin, and baicalein through conformational and electronic properties. Density functional theory was used to determine possible interactions. Analyses were carried out through the molecular electrostatic potential, electron localization function, Fukui function descriptors based on frontier orbitals, and non-covalent interactions. A docking study was performed using a resolution of 1.55 Å for 3CLpro to analyze the interactions of rutin, myricetin, and baicalein. Scores of structures showed that rutin is the best ligand, followed by myricetin and baicalein. Docking studies showed that baicalein and rutin can establish effective interactions with residues of the catalytic dyad (Cys145 and His41), but just rutin forms a hydrogen bond. Myricetin, in turn, could not establish an effective interaction with Cys145. Baicalein interaction arose with active residues such as Arg188, Val186, Gln189, and Gln192. Interactions of rutin and myricetin with Arg188 and Gln189 were also found. A critical interaction was observed only for rutin with the hydroxyls of ring A with His41, and also for Cys145 with rings B and C, which is probably related to the highest score of rutin. Full article
(This article belongs to the Section Biochemistry)
Show Figures

Figure 1

18 pages, 3001 KB  
Article
Ga···C Triel Bonds—Why They Are Not Strong Enough to Change Trigonal Configuration into Tetrahedral One: DFT Calculations on Dimers That Occur in Crystal Structures
by Sławomir J. Grabowski
Int. J. Mol. Sci. 2023, 24(15), 12212; https://doi.org/10.3390/ijms241512212 - 30 Jul 2023
Cited by 1 | Viewed by 2076
Abstract
Structures characterized by the trigonal coordination of the gallium center that interacts with electron rich carbon sites are described. These interactions may be classified as Ga···C triel bonds. Their properties are analyzed in this study since these interactions may be important in numerous [...] Read more.
Structures characterized by the trigonal coordination of the gallium center that interacts with electron rich carbon sites are described. These interactions may be classified as Ga···C triel bonds. Their properties are analyzed in this study since these interactions may be important in numerous chemical processes including catalytical activities; additionally, geometrical parameters of corresponding species are described. The Ga···C triel bonds discussed here, categorized also as the π-hole bonds, do not change the trigonal configuration of the gallium center into the tetrahedral one despite total interactions in dimers being strong; however, the main contribution to the stabilization of corresponding structures comes from the electrostatic forces. The systems analyzed theoretically here come from crystal structures since the Cambridge Structural Database, CSD, search was performed to find structures where the gallium center linked to CC bonds of Lewis base units occurs. The majority structures found in CSD are characterized by parallel, stacking-like arrangements of species containing the Ga-centers. The theoretical results show that interactions within dimers are not classified as the three-centers links as in a case of typical hydrogen bonds and numerous other interactions. The total interactions in dimers analyzed here consist of several local intermolecular atom–atom interactions; these are mainly the Ga···C links. The DFT results are supported in this study by calculations with the use of the quantum theory of atoms in molecules, QTAIM, the natural bond orbital, NBO, and the energy decomposition analysis, EDA, approaches. Full article
Show Figures

Figure 1

11 pages, 2902 KB  
Communication
Reversible Hydrogen Storage Media by g-CN Monolayer Decorated with NLi4: A First-Principles Study
by Xihao Chen, Wenjie Hou, Fuqiang Zhai, Jiang Cheng, Shuang Yuan, Yihan Li, Ning Wang, Liang Zhang and Jie Ren
Nanomaterials 2023, 13(4), 647; https://doi.org/10.3390/nano13040647 - 7 Feb 2023
Cited by 17 | Viewed by 2622
Abstract
A two-dimensional graphene-like carbon nitride (g-CN) monolayer decorated with the superatomic cluster NLi4 was studied for reversible hydrogen storage by first-principles calculations. Molecular dynamics simulations show that the g-CN monolayer has good thermal stability at room temperature. The NLi4 is firmly [...] Read more.
A two-dimensional graphene-like carbon nitride (g-CN) monolayer decorated with the superatomic cluster NLi4 was studied for reversible hydrogen storage by first-principles calculations. Molecular dynamics simulations show that the g-CN monolayer has good thermal stability at room temperature. The NLi4 is firmly anchored on the g-CN monolayer with a binding energy of −6.35 eV. Electronic charges are transferred from the Li atoms of NLi4 to the g-CN monolayer, mainly due to the hybridization of Li(2s), C(2p), and N(2p) orbitals. Consequently, a spatial local electrostatic field is formed around NLi4, leading to polarization of the adsorbed hydrogen molecules and further enhancing the electrostatic interactions between the Li atoms and hydrogen. Each NLi4 can adsorb nine hydrogen molecules with average adsorption energies between −0.152 eV/H2 and −0.237 eV/H2. This range is within the reversible hydrogen storage energy window. Moreover, the highest achieved gravimetric capacity is up to 9.2 wt%, which is superior to the 5.5 wt% target set by the U.S. Department of Energy. This study shows that g-CN monolayers decorated with NLi4 are a good candidate for reversible hydrogen storage. Full article
(This article belongs to the Special Issue Carbon Nanostructures as Promising Future Materials: 2nd Edition)
Show Figures

Figure 1

15 pages, 4029 KB  
Article
Minimal Active Space for Diradicals Using Multistate Density Functional Theory
by Jingting Han, Ruoqi Zhao, Yujie Guo, Zexing Qu and Jiali Gao
Molecules 2022, 27(11), 3466; https://doi.org/10.3390/molecules27113466 - 27 May 2022
Cited by 2 | Viewed by 3404
Abstract
This work explores the electronic structure as well as the reactivity of singlet diradicals, making use of multistate density functional theory (MSDFT). In particular, we show that a minimal active space of two electrons in two orbitals is adequate to treat the relative [...] Read more.
This work explores the electronic structure as well as the reactivity of singlet diradicals, making use of multistate density functional theory (MSDFT). In particular, we show that a minimal active space of two electrons in two orbitals is adequate to treat the relative energies of the singlet and triplet adiabatic ground state as well as the first singlet excited state in many cases. This is plausible because dynamic correlation is included in the first place in the optimization of orbitals in each determinant state via block-localized Kohn–Sham density functional theory. In addition, molecular fragment, i.e., block-localized Kohn–Sham orbitals, are optimized separately for each determinant, providing a variational diabatic representation of valence bond-like states, which are subsequently used in nonorthogonal state interactions (NOSIs). The computational procedure and its performance are illustrated on some prototypical diradical species. It is shown that NOSI calculations in MSDFT can be used to model bond dissociation and hydrogen-atom transfer reactions, employing a minimal number of configuration state functions as the basis states. For p- and s-types of diradicals, the closed-shell diradicals are found to be more reactive than the open-shell ones due to a larger diabatic coupling with the final product state. Such a diabatic representation may be useful to define reaction coordinates for electron transfer, proton transfer and coupled electron and proton transfer reactions in condensed-phase simulations. Full article
(This article belongs to the Special Issue A Commemorative Special Issue Honoring Professor Donald Truhlar)
Show Figures

Figure 1

29 pages, 6922 KB  
Article
Tuning Photophysical Properties by p-Functional Groups in Zn(II) and Cd(II) Complexes with Piperonylic Acid
by Francisco Sánchez-Férez, Joaquim Mª Rius-Bartra, José A. Ayllón, Teresa Calvet, Mercè Font-Bardia and Josefina Pons
Molecules 2022, 27(4), 1365; https://doi.org/10.3390/molecules27041365 - 17 Feb 2022
Cited by 17 | Viewed by 3534
Abstract
Aggregation between discrete molecules is an essential factor to prevent aggregation-caused quenching (ACQ). Indeed, functional groups capable of generating strong hydrogen bonds are likely to assemble and cause ACQ and photoinduced electron transfer processes. Thus, it is possible to compare absorption and emission [...] Read more.
Aggregation between discrete molecules is an essential factor to prevent aggregation-caused quenching (ACQ). Indeed, functional groups capable of generating strong hydrogen bonds are likely to assemble and cause ACQ and photoinduced electron transfer processes. Thus, it is possible to compare absorption and emission properties by incorporating two ligands with a different bias toward intra- and intermolecular interactions that can induce a specific structural arrangement. In parallel, the π electron-donor or electron-withdrawing character of the functional groups could modify the Highest Ocuppied Molecular Orbital (HOMO)–Lowest Unocuppied Molecular Orbital (LUMO) energy gap. Reactions of M(OAc)2·2H2O (M = Zn(II) and Cd(II); OAc = acetate) with 1,3-benzodioxole-5-carboxylic acid (Piperonylic acid, HPip) and 4-acetylpyridine (4-Acpy) or isonicotinamide (Isn) resulted in the formation of four complexes. The elucidation of their crystal structure showed the formation of one paddle-wheel [Zn(μ-Pip)2(4-Acpy)]2 (1); a mixture of one dimer and two monomers [Zn(µ-Pip)(Pip)(Isn)2]2·2[Zn(Pip)2(HPip)(Isn)]·2MeOH (2); and two dimers [Cd(μ-Pip)(Pip)(4-Acpy)2]2 (3) and [Cd(μ-Pip)(Pip)(Isn)2]2·MeOH (4). They exhibit bridged (1, µ211), bridged, chelated and monodentated (2, µ211, µ111 and µ11), or simultaneously bridged and chelated (3 and 4, µ221) coordination modes. Zn(II) centers accommodate coordination numbers 5 and 6, whereas Cd(II) presents coordination number 7. We have related their photophysical properties and fluorescence quantum yields with their geometric variations and interactions supported by TD-DFT calculations. Full article
(This article belongs to the Special Issue Nitrogen Ligands)
Show Figures

Graphical abstract

28 pages, 556 KB  
Article
How to Calculate Condensed Matter Electronic Structure Based on Multi-Electron Atom Semi-Classical Model
by Levan Chkhartishvili
Condens. Matter 2021, 6(4), 46; https://doi.org/10.3390/condmat6040046 - 25 Nov 2021
Cited by 2 | Viewed by 3885
Abstract
Atoms are proved to be semi-classical electronic systems in the sense of closeness of their exact quantum electron energy spectrum with that calculated within semi-classical approximation. Introduced semi-classical model of atom represents the wave functions of bounded in atom electrons in form of [...] Read more.
Atoms are proved to be semi-classical electronic systems in the sense of closeness of their exact quantum electron energy spectrum with that calculated within semi-classical approximation. Introduced semi-classical model of atom represents the wave functions of bounded in atom electrons in form of hydrogen-like atomic orbitals with explicitly defined effective charge numbers. The hydrogen-like electron orbitals of constituting condensed matter atoms are used to calculate the matrix elements of the secular equation determining the condensed matter electronic structure in the linear-combination-of-atomic-orbitals (LCAO) approach. Preliminary test calculations are conducted for boron B atom and diboron B2 molecule electron systems. Full article
Show Figures

Figure 1

8 pages, 413 KB  
Communication
Classical Dynamics of Rydberg States of Muonic-Electronic Helium and Helium-Like Ions in a Weak Electric Field: Counter-Intuitive Linear Stark Effect
by Eugene Oks
Dynamics 2021, 1(1), 1-8; https://doi.org/10.3390/dynamics1010001 - 23 Mar 2021
Viewed by 2896
Abstract
According to the existing paradigm, helium atoms and helium-like ions (hereafter, heliumic systems) in a relatively weak external static electric field do not exhibit the linear Stark effect—in distinction to hydrogen atoms and hydrogen-like ions. In the present paper we consider the classical [...] Read more.
According to the existing paradigm, helium atoms and helium-like ions (hereafter, heliumic systems) in a relatively weak external static electric field do not exhibit the linear Stark effect—in distinction to hydrogen atoms and hydrogen-like ions. In the present paper we consider the classical dynamics of a muonic-electronic heliumic system in Rydberg states–starting from the concept from our previous paper. We show that there are two states of the system where the averaged electric dipole moment is non-zero. Consequently, in these states the heliumic system should exhibit the linear Stark effect even in a vanishingly small electric field, which is a counter-intuitive result. We also demonstrate the possibility of controlling the overall precession of the electronic orbit by an external electric field. In particular, we show the existence of a critical value of the external electric field that would “kill” the precession and make the electronic orbit stationary. This is another counter-intuitive result. We calculate analytically the value of the critical field and show that it is typically smaller or even much smaller than 1 V/cm. Full article
Show Figures

Figure 1

14 pages, 2564 KB  
Article
Mechanistic Studies of Hydrogen Evolution Reaction on Donor-Acceptor Conjugated Polymer Photocatalysts
by Yves Ira A. Reyes, Li-Yu Ting, Xin Tu, Hsin-Yi Tiffany Chen, Ho-Hsiu Chou and Carmine Coluccini
Appl. Sci. 2020, 10(20), 7017; https://doi.org/10.3390/app10207017 - 9 Oct 2020
Cited by 7 | Viewed by 4741
Abstract
The application of donor-acceptor (D-A) conjugated polymer catalysts for hydrogen evolution reaction (HER) has shown great promise because of the tunability of such catalysts to have desired properties. Herein, we synthesized two polymer catalysts: poly[4,4′-(9-(4-aminophenyl)-9H-carbazole-3,6-diamine-alt-5-oxido-5-phenylbenzo[b]phosphindole-3,7-diyl)dibenzaldehyde] (PCzPO) and poly[N1,N1 [...] Read more.
The application of donor-acceptor (D-A) conjugated polymer catalysts for hydrogen evolution reaction (HER) has shown great promise because of the tunability of such catalysts to have desired properties. Herein, we synthesized two polymer catalysts: poly[4,4′-(9-(4-aminophenyl)-9H-carbazole-3,6-diamine-alt-5-oxido-5-phenylbenzo[b]phosphindole-3,7-diyl)dibenzaldehyde] (PCzPO) and poly[N1,N1-bis(4-amino-2-fluorophenyl)-2-fluorobenzene-1,4-diamine-alt-5-oxido-5-phenylbenzo[b]phosphindole-3,7-diyl)dibenzaldehyde] (PNoFPO). The UV-vis absorption spectra showed that the less planar structure and the presence of electronegative fluorine atoms in the donor group of PNoFPO led to a higher optical gap compared to PCzPO, leading to almost five times faster HER rate using PCzPO compared to PNoFPO. However, density functional theory (DFT) calculations show that the frontier orbitals and the highest occupied molecular orbitals – lowest unoccupied molecular orbitals (HOMO-LUMO) gaps of PCzPO and PNoFPO D-A moiety models are very similar, such that, during light absorption, electrons move from donor to acceptor group where proton binding is preferred to happen thereafter. For both PCzPO and PNoFPO D-A moieties, H2 formation through an intramolecular reaction with a barrier of 0.6–0.7 eV, likely occurs at the acceptor group atoms where protons bind through electrostatic interaction. The intermolecular reaction has nearly zero activation energy but is expected to occur only when the repulsion is low between separate polymers chains. Finally, experimental and DFT results reveal the importance of extended configurations of D-A polymers on HER rate. Full article
(This article belongs to the Special Issue Nano Hydrogen Production and Storage)
Show Figures

Graphical abstract

21 pages, 3246 KB  
Article
Flavones’ and Flavonols’ Antiradical Structure–Activity Relationship—A Quantum Chemical Study
by Maciej Spiegel, Tadeusz Andruniów and Zbigniew Sroka
Antioxidants 2020, 9(6), 461; https://doi.org/10.3390/antiox9060461 - 27 May 2020
Cited by 97 | Viewed by 9158
Abstract
Flavonoids are known for their antiradical capacity, and this ability is strongly structure-dependent. In this research, the activity of flavones and flavonols in a water solvent was studied with the density functional theory methods. These included examination of flavonoids’ molecular and radical structures [...] Read more.
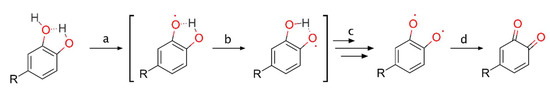
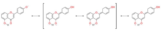
Flavonoids are known for their antiradical capacity, and this ability is strongly structure-dependent. In this research, the activity of flavones and flavonols in a water solvent was studied with the density functional theory methods. These included examination of flavonoids’ molecular and radical structures with natural bonding orbitals analysis, spin density analysis and frontier molecular orbitals theory. Calculations of determinants were performed: specific, for the three possible mechanisms of action—hydrogen atom transfer (HAT), electron transfer–proton transfer (ETPT) and sequential proton loss electron transfer (SPLET); and the unspecific—reorganization enthalpy (RE) and hydrogen abstraction enthalpy (HAE). Intramolecular hydrogen bonding, catechol moiety activity and the probability of electron density swap between rings were all established. Hydrogen bonding seems to be much more important than the conjugation effect, because some structures tends to form more intramolecular hydrogen bonds instead of being completely planar. The very first hydrogen abstraction mechanism in a water solvent is SPLET, and the most privileged abstraction site, indicated by HAE, can be associated with the C3 hydroxyl group of flavonols and C4’ hydroxyl group of flavones. For the catechol moiety, an intramolecular reorganization to an o-benzoquinone-like structure occurs, and the ETPT is favored as the second abstraction mechanism. Full article
Show Figures

Graphical abstract

29 pages, 861 KB  
Article
3D QSAR Pharmacophore Modeling, in Silico Screening, and Density Functional Theory (DFT) Approaches for Identification of Human Chymase Inhibitors
by Mahreen Arooj, Sundarapandian Thangapandian, Shalini John, Swan Hwang, Jong Keun Park and Keun Woo Lee
Int. J. Mol. Sci. 2011, 12(12), 9236-9264; https://doi.org/10.3390/ijms12129236 - 12 Dec 2011
Cited by 67 | Viewed by 12573
Abstract
Human chymase is a very important target for the treatment of cardiovascular diseases. Using a series of theoretical methods like pharmacophore modeling, database screening, molecular docking and Density Functional Theory (DFT) calculations, an investigation for identification of novel chymase inhibitors, and to specify [...] Read more.
Human chymase is a very important target for the treatment of cardiovascular diseases. Using a series of theoretical methods like pharmacophore modeling, database screening, molecular docking and Density Functional Theory (DFT) calculations, an investigation for identification of novel chymase inhibitors, and to specify the key factors crucial for the binding and interaction between chymase and inhibitors is performed. A highly correlating (r = 0.942) pharmacophore model (Hypo1) with two hydrogen bond acceptors, and three hydrophobic aromatic features is generated. After successfully validating “Hypo1”, it is further applied in database screening. Hit compounds are subjected to various drug-like filtrations and molecular docking studies. Finally, three structurally diverse compounds with high GOLD fitness scores and interactions with key active site amino acids are identified as potent chymase hits. Moreover, DFT study is performed which confirms very clear trends between electronic properties and inhibitory activity (IC50) data thus successfully validating “Hypo1” by DFT method. Therefore, this research exertion can be helpful in the development of new potent hits for chymase. In addition, the combinational use of docking, orbital energies and molecular electrostatic potential analysis is also demonstrated as a good endeavor to gain an insight into the interaction between chymase and inhibitors. Full article
(This article belongs to the Section Biochemistry)
Show Figures

Graphical abstract

Back to TopTop