Sign in to use this feature.

Years

Between: -

Subjects

remove_circle_outline
remove_circle_outline
remove_circle_outline
remove_circle_outline
remove_circle_outline
remove_circle_outline
remove_circle_outline
remove_circle_outline
remove_circle_outline

Journals

Article Types

Countries / Regions

Search Results (33)

Search Parameters:
Keywords = hydrogen selenide

Order results
Result details
Results per page
Select all
Export citation of selected articles as:
19 pages, 3082 KB  
Review
Nickel Selenides in Electrocatalysis: Coupled Formate and Hydrogen Production Through Methanol Oxidation Reaction
by Hong Tu, Yan Zhong, Zhihao Yang, Caihong Zhang, Yi Ma, Yong Zhang, Ning Jian, Huan Ge and Junshan Li
Catalysts 2025, 15(6), 516; https://doi.org/10.3390/catal15060516 - 23 May 2025
Cited by 2 | Viewed by 1162
Abstract
The hydrogen economy, associated with electrochemical water splitting, represents a promising pathway to mitigate reliance on fossil fuels. However, the efficiency of this process is constrained by the sluggish oxygen evolution reaction (OER) at the anode, with low commercial interests of the produced [...] Read more.
The hydrogen economy, associated with electrochemical water splitting, represents a promising pathway to mitigate reliance on fossil fuels. However, the efficiency of this process is constrained by the sluggish oxygen evolution reaction (OER) at the anode, with low commercial interests of the produced oxygen. As a promising solution, OER can be replaced with the methanol oxidation reaction (MOR), which not only accelerates the hydrogen evolution reaction (HER) but also yields valuable formate as a product, depending on the nature of the anode electrocatalysts. In this context, nickel selenides have emerged as highly efficient and cost-effective electrocatalysts due to their rich compositional diversity, tunable electronic structures, and superior conductivity. Additionally, nickel selenides exist in multiple stoichiometric and nonstoichiometric phases, and also in the engineering versatility for optimizing catalytic MOR performance. This review comprehensively presents the design principles of electrocatalysts, provides a strategy for the optimization of performance, and discusses the mechanistic understanding of nickel selenide-based electrocatalysts for coupled HER and MOR systems, particularly focusing on the MOR. By bridging fundamental insights with practical applications, it additionally highlights the latest advancements in their catalytic MOR performance, offering insights into their potential for future energy and chemical applications. Full article
(This article belongs to the Special Issue Catalysis for Energy Storage and Batteries)
Show Figures

Figure 1

29 pages, 7442 KB  
Review
MoSe2 as Electrode Material for Super-Capacitor, Hydrogen Evolution, and Electrochemical Sensing Applications: A Review
by Shanmugam Vignesh, Ramya Ramkumar, Sanjeevamuthu Suganthi, Praveen Kumar, Khursheed Ahmad, Woo Kyoung Kim and Tae Hwan Oh
Crystals 2025, 15(3), 238; https://doi.org/10.3390/cryst15030238 - 28 Feb 2025
Cited by 1 | Viewed by 1515
Abstract
In the past few years, metal chalcogenides have received extensive consideration because of their excellent physicochemical belongings. Particularly, molybdenum selenide (MoSe2) is a promising metal dichalcogenide which possesses decent optical, electrical, and chemical properties and can be explored for a variety [...] Read more.
In the past few years, metal chalcogenides have received extensive consideration because of their excellent physicochemical belongings. Particularly, molybdenum selenide (MoSe2) is a promising metal dichalcogenide which possesses decent optical, electrical, and chemical properties and can be explored for a variety of applications. MoSe2 has been extensively used for several applications such as energy storage and sensing. Since the energy crisis is one of the major challenges of today’s world, super-capacitors and hydrogen evolution are promising energy technologies that may benefit the global world in the future. Thus, researchers have been motivated towards the strategy and fabrication of electrode materials for super-capacitors and hydrogen evolution applications. MoSe2 is a multifunctional material, and previous years have witnessed the rapid growth in the publication of MoSe2-based electrode materials for super-capacitors, hydrogen evolution, and electrochemical sensing applications. Thus, it is of great significance to merge the previous reports into a single review article on MoSe2-based modified electrode materials for super-capacitors, hydrogen evolution, and electrochemical sensing applications. Therefore, we have compiled the previous reports on the design and fabrication of MoSe2 and electrodes based on its composites for super-capacitors, hydrogen evolution, and electrochemical sensing applications. It is believed that this article may benefit the researchers working in the research field of super-capacitors, hydrogen evolution, and electrochemical sensing applications. Full article
(This article belongs to the Section Materials for Energy Applications)
Show Figures

Figure 1

12 pages, 2231 KB  
Article
An In-Plane Heterostructure Ni3N/MoSe2 Loaded on Nitrogen-Doped Reduced Graphene Oxide Enhances the Catalyst Performance for Hydrogen Oxidation Reaction
by Abrar Qadir, Peng-Peng Guo, Yong-Zhi Su, Kun-Zu Yang, Xin Liu, Ping-Jie Wei and Jin-Gang Liu
Molecules 2025, 30(3), 488; https://doi.org/10.3390/molecules30030488 - 22 Jan 2025
Viewed by 1398
Abstract
Non-noble metal electrocatalysts for the hydrogen oxidation reaction (HOR) that are both highly active and low-cost are essential for the widespread use of fuel cells. Herein, a simple two-step method for creating an in-plane heterostructure of Ni3N/MoSe2 loaded on N-doped [...] Read more.
Non-noble metal electrocatalysts for the hydrogen oxidation reaction (HOR) that are both highly active and low-cost are essential for the widespread use of fuel cells. Herein, a simple two-step method for creating an in-plane heterostructure of Ni3N/MoSe2 loaded on N-doped reduced graphene oxide (Ni3N/MoSe2@N-rGO) as an effective electrocatalyst for the HOR is described. The process involves hydrothermal treatment of the Ni and Mo precursors with N-doped reduced graphene oxide, followed by the annealing with urea. The Ni3N/MoSe2@N-rGO catalyst exhibits high activities for the HOR, with current densities of 2.15 and 3.06 mA cm−2 at 0.5 V vs. the reversible hydrogen electrode (RHE) in H2-saturated 0.1 M KOH and 0.1 M HClO4 electrolytes, respectively, which is comparable to a commercial 20% Pt/C catalyst under similar experimental conditions. Furthermore, the catalyst demonstrates excellent durability, maintaining its performance during accelerated degradation tests for 5000 cycles. This work offers a practical framework for the designing and preparing of non-precious metal electrocatalysts for the HOR in fuel cells. Full article
Show Figures

Graphical abstract

23 pages, 3377 KB  
Review
A Review of Hydrogen Production via Seawater Electrolysis: Current Status and Challenges
by Yixin Zhang, Yu Zhang, Zhichuan Li, Ende Yu, Haibin Ye, Zihang Li, Xinshu Guo, Daojin Zhou, Cheng Wang, Qihao Sha and Yun Kuang
Catalysts 2024, 14(10), 691; https://doi.org/10.3390/catal14100691 - 4 Oct 2024
Cited by 21 | Viewed by 11492
Abstract
Seawater electrolysis represents a promising green energy technology with significant potential for efficient energy conversion. This study provides an in-depth examination of the key scientific challenges inherent in the seawater-electrolysis process and their potential solutions. Initially, it analyzes the potential issues of precipitation [...] Read more.
Seawater electrolysis represents a promising green energy technology with significant potential for efficient energy conversion. This study provides an in-depth examination of the key scientific challenges inherent in the seawater-electrolysis process and their potential solutions. Initially, it analyzes the potential issues of precipitation and aggregation at the cathode during hydrogen evolution, proposing strategies such as self-cleaning cathodes and precipitate removal to ensure cathode stability in seawater electrolysis. Subsequently, it addresses the corrosion challenges faced by anode catalysts in seawater, introducing several anti-corrosion strategies to enhance anode stability, including substrate treatments such as sulfidation, phosphidation, selenidation, and LDH (layered double hydroxide) anion intercalation. Additionally, this study explores the role of regulating the electrode surface microenvironment and forming unique coordination environments for active atoms to enhance seawater electrolysis performance. Regulating the surface microenvironment provides a novel approach to mitigating seawater corrosion. Contrary to the traditional understanding that chloride ions accelerate anode corrosion, certain catalysts benefit from the unique coordination environment of chloride ions on the catalyst surface, potentially enhancing oxygen evolution reaction (OER) performance. Lastly, this study presents the latest advancements in the industrialization of seawater electrolysis, including the in situ electrolysis of undiluted seawater and the implementation of three-chamber dual anion membranes coupled with circulating electrolyte systems. The prospects of seawater electrolysis are also explored. Full article
(This article belongs to the Special Issue Recent Advances in Energy-Related Materials in Catalysts, 2nd Edition)
Show Figures

Figure 1

28 pages, 7112 KB  
Review
Tuning the Electronic Structures of Mo-Based Sulfides/Selenides with Biomass-Derived Carbon for Hydrogen Evolution Reaction and Sodium-Ion Batteries
by Hongying Pan, Kaiyang Zheng, Zihan Chen, Yuexin Wang, Yajun Tan, Jian Wang, Luye Yao, Lixin Wang, Chencheng Sun and Jun Yang
Catalysts 2024, 14(9), 627; https://doi.org/10.3390/catal14090627 - 17 Sep 2024
Cited by 2 | Viewed by 1883
Abstract
A key research focus at present is the exploration and innovation of electrode materials suitable for energy storage and conversion. Molybdenum-based sulfides/selenides (primarily MoS2 and MoSe2) have garnered attention in recent years due to their intrinsic two-dimensional structures, which are [...] Read more.
A key research focus at present is the exploration and innovation of electrode materials suitable for energy storage and conversion. Molybdenum-based sulfides/selenides (primarily MoS2 and MoSe2) have garnered attention in recent years due to their intrinsic two-dimensional structures, which are conducive to ion/electron transfer or insertion/extraction, making them promising candidates in electrocatalytic hydrogen production and sodium-ion battery applications. However, their inherently poor electronic structures have led most research efforts to concentrate on modifications aimed at enhancing their performance in hydrogen evolution reactions (HERs) and sodium-ion batteries (SIBs). Owing to their remarkable chemical inertness, expansive specific surface areas, and tunable pore architectures, carbon-based materials have garnered significant attention in research. The utilization of biomass as a renewable and environmentally sustainable precursor offers considerable benefits, including abundant availability, ecological compatibility, and cost-effectiveness. Consequently, recent scholarly endeavors have concentrated intensively on the synthesis of valuable carbon materials derived from renewable biomass sources. This review addresses the scientific challenges related to the development of electrode materials for HERs and SIBs in electrochemical energy storage and conversion. It delves into the recent focus on the two-dimensional transition-metal chalcogenides, particularly MoS2 and MoSe2, and the difficulties encountered in modulating their electronic structures when applied to HERs and SIBs. The review proposes the use of eco-friendly and widely sourced biomass-derived carbon (BMC) as a supporting matrix combined with MoS2 and MoSe2 to regulate their structures and enhance their electrocatalytic activity and sodium storage performance. Additionally, it highlights the existing challenges faced by these BMC/MoS2 and BMC/MoSe2 composites and offers insights into future developments. Full article
Show Figures

Figure 1

20 pages, 3986 KB  
Review
An Examination of Chemical Tools for Hydrogen Selenide Donation and Detection
by Rynne A. Hankins and John C. Lukesh
Molecules 2024, 29(16), 3863; https://doi.org/10.3390/molecules29163863 - 15 Aug 2024
Cited by 2 | Viewed by 2372
Abstract
Hydrogen selenide (H2Se) is an emerging biomolecule of interest with similar properties to that of other gaseous signaling molecules (i.e., gasotransmitters that include nitric oxide, carbon monoxide, and hydrogen sulfide). H2Se is enzymatically generated in humans where it serves [...] Read more.
Hydrogen selenide (H2Se) is an emerging biomolecule of interest with similar properties to that of other gaseous signaling molecules (i.e., gasotransmitters that include nitric oxide, carbon monoxide, and hydrogen sulfide). H2Se is enzymatically generated in humans where it serves as a key metabolic intermediate in the production of selenoproteins and other selenium-containing biomolecules. However, beyond its participation in biosynthetic pathways, its involvement in cellular signaling or other biological mechanisms remains unclear. To uncover its true biological significance, H2Se-specific chemical tools capable of functioning under physiological conditions are required but lacking in comparison to those that exist for other gasotransmitters. Recently, researchers have begun to fill this unmet need by developing new H2Se-releasing compounds, along with pioneering methods for selenide detection and quantification. In combination, the chemical tools highlighted in this review have the potential to spark groundbreaking explorations into the chemical biology of H2Se, which may lead to its branding as the fourth official gasotransmitter. Full article
(This article belongs to the Special Issue Organosulfur and Organoselenium Chemistry)
Show Figures

Graphical abstract

14 pages, 7837 KB  
Article
Exploring Selenide Synthesis Pathways for Optimizing Energy Conversion
by Anna Kusior, Fabian Wieczorek, Jakub Dechnik and Andrzej Mikuła
Molecules 2024, 29(14), 3310; https://doi.org/10.3390/molecules29143310 - 13 Jul 2024
Viewed by 1480
Abstract
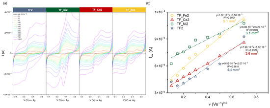
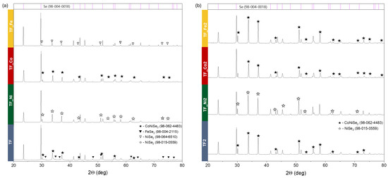
This study investigated the structural and electrochemical characteristics of binary and quaternary systems comprising nickel, cobalt, and iron selenides. The powders were obtained via a solvothermal route. X-ray diffraction (XRD) and Raman spectroscopy revealed significant phase diversity. It was observed that increasing the [...] Read more.
This study investigated the structural and electrochemical characteristics of binary and quaternary systems comprising nickel, cobalt, and iron selenides. The powders were obtained via a solvothermal route. X-ray diffraction (XRD) and Raman spectroscopy revealed significant phase diversity. It was observed that increasing the proportion of d-block metals in quaternary systems enhances structural entropy, potentially leading to more homogeneous and stable structures dominated by energetically preferred components such as nickel. The electrochemical analysis indicated that the binary system exhibited a reversible redox reaction, with nickel selenide-based samples demonstrating the highest electrochemically active surface area. Quaternary systems display varying degrees of electrochemical stability. An equal contribution of nickel, cobalt, and iron appears beneficial in achieving stable electrodes. This research contributes to understanding the relationship between transition metal selenides’ structural, morphological, and electrochemical properties, providing insights into their potential applications in hydrogen generation. Full article
Show Figures

Figure 1

13 pages, 3460 KB  
Article
Quantum Dots Mediated Heterojunction Coupling MoSe2 Photoanode for Photoelectrochemical Water Splitting
by Lin Zhang, Jiana Sun, Mengmeng Zhao, Yuxuan Wei, Taigang Luo, Zhengping Zhao and Yibo Yan
Molecules 2024, 29(5), 1070; https://doi.org/10.3390/molecules29051070 - 29 Feb 2024
Cited by 5 | Viewed by 2047
Abstract
Graphene quantum dots (GQDs) possess the photosensitive absorption for photoelectrochemical hydrogen evolution owing to special band structures, whereas they usually confront with photo-corrosion or undesired charge recombination during photoelectrochemical reactions. Hence, we establish the heterojunction between GQDs and MoSe2 sheets via a [...] Read more.
Graphene quantum dots (GQDs) possess the photosensitive absorption for photoelectrochemical hydrogen evolution owing to special band structures, whereas they usually confront with photo-corrosion or undesired charge recombination during photoelectrochemical reactions. Hence, we establish the heterojunction between GQDs and MoSe2 sheets via a hydrothermal process for improved stability and performance. Photoanodic water splitting with hydrogen evolution boosted by the heteroatom doped N,S-GQDs/MoSe2 heterojunction has been attained due to the abundant active sites, promoted charge separation and transfer kinetics with reduced energy barriers. Diphasic 1T and 2H MoSe2 sheet-hybridized quantum dots contribute to the Schottky heterojunction, which can play a key role in expedited carrier transport to inhibit accumulative photo-corrosion and increase photocurrent. Heteroatom dopants lead to favored energy band matching, bandgap narrowing, stronger light absorption and high photocurrent density. The external quantum efficiency of the doped heterojunction has been elevated twofold over that of the non-doped pristine heterojunction. Modification of the graphene quantum dots and MoSe2 heterojunction demonstrate a viable and adaptable platform toward photoelectrochemical hydrogen evolution processes. Full article
(This article belongs to the Special Issue New Sights in Nanomaterials for Photoelectrochemistry)
Show Figures

Graphical abstract

13 pages, 6627 KB  
Article
Carbon Nanotube Composites with Bimetallic Transition Metal Selenides as Efficient Electrocatalysts for Oxygen Evolution Reaction
by Shamas Riaz, Muhammad Shafiq Anjum, Abid Ali, Yasir Mehmood, Muhammad Ahmad, Norah Alwadai, Munawar Iqbal, Salih Akyürekli, Noor Hassan and Rizwan Shoukat
Sustainability 2024, 16(5), 1953; https://doi.org/10.3390/su16051953 - 27 Feb 2024
Cited by 6 | Viewed by 2507
Abstract
Hydrogen fuel is a clean and versatile energy carrier that can be used for various applications, including transportation, power generation, and industrial processes. Electrocatalytic water splitting could be the most beneficial and facile approach for producing hydrogen. In this work, transition metal selenide [...] Read more.
Hydrogen fuel is a clean and versatile energy carrier that can be used for various applications, including transportation, power generation, and industrial processes. Electrocatalytic water splitting could be the most beneficial and facile approach for producing hydrogen. In this work, transition metal selenide composites with carbon nanotubes (CNTs) have been investigated for electrocatalytic water splitting. The synthesis process involved the facile one-step hydrothermal growth of transition metal nanoparticles over the CNTs and acted as an efficient electrode toward electrochemical water splitting. Scanning electron microscopy and XRD patterns reveal that nanoparticles were firmly anchored on the CNTs, resulting in the formation of composites. The electrochemical measurements reveal that CNT composite with nickel–cobalt selenides (NiCo-Se/CNTs@NF) display remarkable oxygen evolution reaction (OER) activity in basic media, which is an important part of hydrogen production. It demonstrates the lowest overpotential (η10mAcm−2) of 0.560 V vs. RHE, a reduced Tafel slope of 163 mV/dec, and lower charge transfer impedance for the OER process. The multi-metallic selenide composite with CNTs demonstrating unique nanostructure and synergistic effects offers a promising platform for enhancing electrocatalytic OER performance and opens up new avenues for efficient energy conversion and storage applications. Full article
Show Figures

Figure 1

13 pages, 1875 KB  
Article
Water Splitting Reaction Mechanism on Transition Metal (Fe-Cu) Sulphide and Selenide Clusters—А DFT Study
by Ellie Uzunova, Ivelina Georgieva and Tsvetan Zahariev
Materials 2024, 17(1), 56; https://doi.org/10.3390/ma17010056 - 22 Dec 2023
Cited by 1 | Viewed by 1789
Abstract
The tetracarbonyl complexes of transition metal chalcogenides M2X2(CO)4, where M = Fe, Co, Ni, Cu and X = S, Se, are examined by density functional theory (DFT). The M2X2 core is cyclic with either [...] Read more.
The tetracarbonyl complexes of transition metal chalcogenides M2X2(CO)4, where M = Fe, Co, Ni, Cu and X = S, Se, are examined by density functional theory (DFT). The M2X2 core is cyclic with either planar or non-planar geometry. As a sulfide, it is present in natural enzymes and has a selective redox capacity. The reduced forms of the selenide and sulfide complexes are relevant to the hydrogen evolution reaction (HER) and they provide different positions of hydride ligand binding: (i) at a chalcogenide site, (ii) at a particular cation site and (iii) in a midway position forming equal bonds to both cation sites. The full pathway of water decomposition to molecular hydrogen and oxygen is traced by transition state theory. The iron and cobalt complexes, cobalt selenide, in particular, provide lower energy barriers in HER as compared to the nickel and copper complexes. In the oxygen evolution reaction (OER), cobalt and iron selenide tetracarbonyls provide a low energy barrier via OOH* intermediate. All of the intermediate species possess favorable excitation transitions in the visible light spectrum, as evidenced by TD-DFT calculations and they allow photoactivation. In conclusion, cobalt and iron selenide tetracarbonyl complexes emerge as promising photocatalysts in water splitting. Full article
Show Figures

Figure 1

11 pages, 4224 KB  
Article
Facile Synthesis of Microsphere-like Co0.85Se Structures on Nickel Foam for a Highly Efficient Hydrogen Evolution Reaction
by John Anthuvan Rajesh, Jae-Young Kim, Soon-Hyung Kang and Kwang-Soon Ahn
Micromachines 2023, 14(10), 1905; https://doi.org/10.3390/mi14101905 - 5 Oct 2023
Cited by 3 | Viewed by 1741
Abstract
Microsphere-shaped cobalt selenide (Co0.85Se) structures were efficiently synthesized via a two-step hydrothermal process. Initially, cobalt hydroxide fluoride (Co(OH)F) microcrystals were prepared using a hydrothermal method. Subsequently, Co0.85Se microsphere-like structures were obtained through selenization. Compared to Co(OH)F, the microsphere-like Co [...] Read more.
Microsphere-shaped cobalt selenide (Co0.85Se) structures were efficiently synthesized via a two-step hydrothermal process. Initially, cobalt hydroxide fluoride (Co(OH)F) microcrystals were prepared using a hydrothermal method. Subsequently, Co0.85Se microsphere-like structures were obtained through selenization. Compared to Co(OH)F, the microsphere-like Co0.85Se structure exhibited outstanding catalytic activity for the hydrogen evolution reaction (HER) in a 1.0 M KOH solution. Electrocatalytic experiments demonstrated an exceptional HER performance by the Co0.85Se microspheres, characterized by a low overpotential of 148 mV and a Tafel slope of 55.7 mV dec−1. Furthermore, the Co0.85Se electrocatalyst displayed remarkable long-term stability, maintaining its activity for over 24 h. This remarkable performance is attributed to the excellent electrical conductivity of selenides and the highly electroactive sites present in the Co0.85Se structure compared to Co(OH)F, emphasizing its promise for advanced electrocatalytic applications. Full article
Show Figures

Figure 1

25 pages, 5108 KB  
Article
A Comprehensive and Sustainable Recycling Process for Different Types of Blended End-of-Life Solar Panels: Leaching and Recovery of Valuable Base and Precious Metals and/or Elements
by Maryam Kavousi and Eskandar Keshavarz Alamdari
Metals 2023, 13(10), 1677; https://doi.org/10.3390/met13101677 - 30 Sep 2023
Cited by 11 | Viewed by 3945
Abstract
The production of photovoltaic modules is increasing to reduce greenhouse gas emissions. However, this results in a significant amount of waste at the end of their lifespan. Therefore, recycling these solar panels is important for environmental and economic reasons. However, collecting and separating [...] Read more.
The production of photovoltaic modules is increasing to reduce greenhouse gas emissions. However, this results in a significant amount of waste at the end of their lifespan. Therefore, recycling these solar panels is important for environmental and economic reasons. However, collecting and separating crystalline silicon, cadmium telluride, and copper–indium–gallium–selenide panels can be challenging, especially in underdeveloped countries. The innovation in this work is the development of a process to recycle all solar panel waste. The dissolution of all metals through the leaching process is studied as the main step of the flowchart. In the first step of leaching, 98% of silver can be recovered by 0.5 M nitric acid. Then, the second and third step involves the use of glycine for base metal dissolution, followed by the leaching of valuable metals with hydrochloric acid. The effect of parameters such as the initial pH, acid concentration, solid/liquid ratio, and hydrogen peroxide concentration is studied. The results show that up to 100% of Cu, Pb, Sn, Zn, Cd, In, Ga, and Se can be recovered under optimal conditions. The optimal conditions for the dissolution of Cu, Zn, and Cd were a glycine concentration of 0.5 M, a temperature of 25 °C, a solid/liquid ratio of 10 gr/L, and 1% of hydrogen peroxide. The optimized glycine concentration for the leaching of lead and tin was 1.5 M. Indium and gallium were recovered at 100% by the use of 5 M hydrochloric acid, S/L ratio = 10 gr/L, and T = 45 °C. Separation of selenium and tellurium occurred using 0.5 M HCl at a temperature of 60 °C. Additionally, for the first time, a general outlook for the recycling of various end-of-life solar panels is suggested. Full article
(This article belongs to the Special Issue Selective Separation and Comprehensive Recovery of Valuable Metals)
Show Figures

Graphical abstract

11 pages, 3104 KB  
Article
MOF-Derived CoSe2@NiFeOOH Arrays for Efficient Oxygen Evolution Reaction
by Yulong Tang, Jiangning Li, Zhiyi Lu, Yunan Wang, Kai Tao and Yichao Lin
Nanomaterials 2023, 13(19), 2621; https://doi.org/10.3390/nano13192621 - 22 Sep 2023
Cited by 4 | Viewed by 2570
Abstract
Water electrolysis is a compelling method for the production of environmentally friendly hydrogen, minimizing carbon emissions. The electrolysis of water heavily relies on an effective and steady oxygen evolution reaction (OER) taking place at the anode. Herein, we introduce a highly promising catalyst [...] Read more.
Water electrolysis is a compelling method for the production of environmentally friendly hydrogen, minimizing carbon emissions. The electrolysis of water heavily relies on an effective and steady oxygen evolution reaction (OER) taking place at the anode. Herein, we introduce a highly promising catalyst for OER called CoSe2@NiFeOOH arrays, which are supported on nickel foam. This catalyst, referred to as CoSe2@NiFeOOH/NF, is fabricated through a two-step process involving the selenidation of a Co-based porous metal organic framework and subsequent electrochemical deposition on nickel foam. The CoSe2@NiFeOOH/NF catalyst demonstrates outstanding activity for the OER in an alkaline electrolyte. It exhibits a low overpotential (η) of 254 mV at 100 mA cm−2, a small Tafel slope of 73 mV dec−1, and excellent high stability. The good performance of CoSe2@NiFeOOH/NF can be attributed to the combination of the high conductivity of the inner layer and the synergistic effect between CoSe2 and NiFeOOH. This study offers an effective method for the fabrication of highly efficient catalysts for an OER. Full article
Show Figures

Figure 1

20 pages, 32235 KB  
Article
Iron-Containing Nickel Cobalt Sulfides, Selenides, and Sulfoselenides as Active and Stable Electrocatalysts for the Oxygen Evolution Reaction in an Alkaline Solution
by Soheil Abdpour, Lars Rademacher, Marcus N. A. Fetzer, Thi Hai Yen Beglau and Christoph Janiak
Solids 2023, 4(3), 181-200; https://doi.org/10.3390/solids4030012 - 16 Jul 2023
Cited by 10 | Viewed by 4800
Abstract
Iron-containing nickel sulfides, selenides, and sulfoselenides were synthesized via a simple two-step hydrothermal reaction (temperature ≤ 160 °C) for their application as electrocatalysts in the oxygen evolution reaction (OER) in an alkaline solution (1 mol L−1 KOH). The study demonstrated that iron-containing [...] Read more.
Iron-containing nickel sulfides, selenides, and sulfoselenides were synthesized via a simple two-step hydrothermal reaction (temperature ≤ 160 °C) for their application as electrocatalysts in the oxygen evolution reaction (OER) in an alkaline solution (1 mol L−1 KOH). The study demonstrated that iron-containing nickel cobalt sulfides and selenides exhibit superior OER performance with lower overpotentials compared to iron-free nickel cobalt sulfide and selenide, which highlights the significant role of iron in enhancing OER nickel cobalt electrocatalysts: Fe0.1Ni1.4Co2.9(S0.87O0.13)4, η50 = 318 mV; Fe0.2Ni1.5Co2.8(S0.9O0.1)4, η50 = 310 mV; Fe0.3Ni1.2Co2.5(S0.9O0.1)4, η50 = 294 mV; Fe0.6Ni1.2Co2.5(S0.83O0.17)4, η50 = 294 mV; Fe0.4Ni0.7Co1.6(Se0.81O0.19)4, η50 = 306 mV compared to Ni1.0Co2.1(S0.9O0.1)4, η50 = 346 mV; and Ni0.7Co1.4(Se0.85O0.15)4, η50 = 355 mV (all values at current densities η50 of 50 mA cm−2). Furthermore, the iron-containing nickel cobalt sulfoselenide Fe0.5Ni1.0Co2.0(S0.57Se0.25O0.18)4 displayed exceptional OER performance with η50 = 277 mV, surpassing the benchmark RuO2 electrode with η50 = 299 mV. The superior performance of the sulfoselenide was attributed to its low charge transfer resistance (Rct) of 0.8 Ω at 1.5 V vs. the reversible hydrogen electrode (RHE). Moreover, the sulfoselenide demonstrated remarkable stability, with only a minimal increase in overpotential (η50) from 277 mV to 279 mV after a 20 h chronopotentiometry test. These findings suggest that trimetallic iron, nickel and cobalt sulfide, selenide, and especially sulfoselenide materials hold promise as high-performance, cost-effective, and durable electrocatalysts for sustainable OER reactions. This study provides a valuable approach for the development of efficient electrocatalytic materials, contributing to the advancement of renewable energy technologies. Full article
Show Figures

Graphical abstract

22 pages, 2986 KB  
Review
New Insights into Oxidative and Reductive Stress Responses and Their Relation to the Anticancer Activity of Selenium-Containing Compounds as Hydrogen Selenide Donors
by Agnieszka Krakowiak and Sylwia Pietrasik
Biology 2023, 12(6), 875; https://doi.org/10.3390/biology12060875 - 17 Jun 2023
Cited by 24 | Viewed by 3836
Abstract
Redox balance is important for the homeostasis of normal cells, but also for the proliferation, progression, and survival of cancer cells. Both oxidative and reductive stress can be harmful to cells. In contrast to oxidative stress, reductive stress and the therapeutic opportunities underlying [...] Read more.
Redox balance is important for the homeostasis of normal cells, but also for the proliferation, progression, and survival of cancer cells. Both oxidative and reductive stress can be harmful to cells. In contrast to oxidative stress, reductive stress and the therapeutic opportunities underlying the mechanisms of reductive stress in cancer, as well as how cancer cells respond to reductive stress, have received little attention and are not as well characterized. Therefore, there is recent interest in understanding how selective induction of reductive stress may influence therapeutic treatment and disease progression in cancer. There is also the question of how cancer cells respond to reductive stress. Selenium compounds have been shown to have chemotherapeutic effects against cancer, and their anticancer mechanism is thought to be related to the formation of their metabolites, including hydrogen selenide (H2Se), which is a highly reactive and reducing molecule. Here, we highlight recent reports on the molecular mechanism of how cells recognize and respond to oxidative and reductive stress (1) and the mechanisms through which different types of selenium compounds can generate H2Se (2) and thus selectively affect reductive stress under controlled conditions, which may be important for their anticancer effects. Full article
(This article belongs to the Section Cell Biology)
Show Figures

Figure 1

Back to TopTop