Sign in to use this feature.

Years

Between: -

Subjects

remove_circle_outline
remove_circle_outline
remove_circle_outline
remove_circle_outline
remove_circle_outline

Journals

Article Types

Countries / Regions

Search Results (13)

Search Parameters:
Keywords = hydraulic dysfunction

Order results
Result details
Results per page
Select all
Export citation of selected articles as:
23 pages, 4385 KB  
Article
Melatonin Enhances Tomato Salt Tolerance by Improving Water Use Efficiency, Photosynthesis, and Redox Homeostasis
by Chen Ru, Yuxuan Liu, Xingjiao Yu, Chuanliu Xie and Xiaotao Hu
Agronomy 2025, 15(7), 1746; https://doi.org/10.3390/agronomy15071746 - 20 Jul 2025
Viewed by 588
Abstract
Salinity stress is a primary abiotic constraint limiting global crop productivity, with progressive soil salinization inducing growth inhibition and physiological dysfunction in plants. Although melatonin (MT) has been extensively documented to enhance stress adaptation, the underlying mechanisms through which it mediates salt tolerance [...] Read more.
Salinity stress is a primary abiotic constraint limiting global crop productivity, with progressive soil salinization inducing growth inhibition and physiological dysfunction in plants. Although melatonin (MT) has been extensively documented to enhance stress adaptation, the underlying mechanisms through which it mediates salt tolerance by integrating physiological processes remain unclear. This study investigated the effects of varying MT concentrations on photosynthetic performance, plant water relations, water-use efficiency, and stress-responsive physiological parameters in tomatoes, aiming to identify the key physiological pathways for MT-mediated salt stress mitigation. The results showed that salt stress significantly reduced the leaf relative water content and root hydraulic conductivity, suppressed the photosynthetic rate, and ultimately caused significant reductions in the aboveground and root biomass. MT spraying effectively improved leaf water status and root water uptake capacity, enhancing the photosynthetic rate and water-use efficiency, thereby providing material and energy support for plant growth. Furthermore, MT spraying increased the total antioxidant capacity in leaves and promoted the synthesis of phenolic and flavonoid compounds, thereby reducing oxidative damage. Simultaneously, it stimulated the accumulation of osmolytes to enhance cellular osmotic adjustment capacity and optimized ion uptake to maintain cellular ion homeostasis. Among the tested concentrations, 100 μM MT showed the most significant alleviative effects. This concentration comprehensively enhanced the salt tolerance and growth performance of tomato plants by synergistically optimizing water use, photosynthetic function, antioxidant defense, and ion balance. In conclusion, these findings provide experimental evidence for elucidating the physiological mechanisms underlying MT-mediated salt tolerance in tomatoes and offer theoretical references for the rational application of MT in crop production under saline conditions. Full article
(This article belongs to the Section Plant-Crop Biology and Biochemistry)
Show Figures

Figure 1

13 pages, 3726 KB  
Article
Impact of Hypertension and Physical Exercise on Hemolysis Risk in the Left Coronary Artery: A Computational Fluid Dynamics Analysis
by Krystian Jędrzejczak, Wojciech Orciuch, Krzysztof Wojtas, Piotr Piasecki, Jerzy Narloch, Marek Wierzbicki, Michał Kozłowski, Malenka M. Bissell and Łukasz Makowski
J. Clin. Med. 2024, 13(20), 6163; https://doi.org/10.3390/jcm13206163 - 16 Oct 2024
Cited by 2 | Viewed by 1764
Abstract
Background and Objectives: Hypertension increases the risk of developing atherosclerosis and arterial stiffness, with secondarily enhanced wall stress pressure that damages the artery wall. The coexistence of atherosclerosis and hypertension leads to artery stenosis and microvascular angiopathies, during which the intravascular mechanical [...] Read more.
Background and Objectives: Hypertension increases the risk of developing atherosclerosis and arterial stiffness, with secondarily enhanced wall stress pressure that damages the artery wall. The coexistence of atherosclerosis and hypertension leads to artery stenosis and microvascular angiopathies, during which the intravascular mechanical hemolysis of red blood cells (RBCs) occurs, leading to increased platelet activation, dysfunction of the endothelium and smooth muscle cells due to a decrease in nitric oxide, and the direct harmful effects of hemoglobin and iron released from the red blood cells. This study analyzed the impact of hypertension and physical exercise on the risk of hemolysis in the left coronary artery. Methods: To analyze many different cases and consider the decrease in flow through narrowed arteries, a flow model was adopted that considered hydraulic resistance in the distal section, which depended on the conditions of hypertension and exercise. The commercial ANSYS Fluent 2023R2 software supplemented with user-defined functions was used for the simulation. CFD simulations were performed and compared with the FSI simulation results. Results: The differences obtained between the FSI and CFD simulations were negligible, which allowed the continuation of analyses based only on CFD simulations. The drops in pressure and the risk of hemolysis increased dramatically with increased flow associated with increased exercise. A relationship was observed between the increase in blood pressure and hypertension, but in this case, the increase in blood pressure dropped, and the risk of hemolysis was not so substantial. However, by far, the case of increased physical activity with hypertension had the highest risk of hemolysis, which is associated with an increased risk of clot formation that can block distal arteries and lead to myocardial hypoxia. Conclusions: The influence of hypertension and increased physical exercise on the increased risk of hemolysis has been demonstrated. Full article
Show Figures

Figure 1

14 pages, 1657 KB  
Review
Shoulder Proprioception: A Review
by Jake A. Fox, Lauren Luther, Eden Epner and Lance LeClere
J. Clin. Med. 2024, 13(7), 2077; https://doi.org/10.3390/jcm13072077 - 3 Apr 2024
Cited by 9 | Viewed by 5548
Abstract
The purpose of this review is to provide a comprehensive resource for shoulder proprioception assessment and its integration into clinical decision making as well as targeted rehabilitation protocols. Data for this review were acquired from peer-reviewed articles from computerized online databases, namely PubMed [...] Read more.
The purpose of this review is to provide a comprehensive resource for shoulder proprioception assessment and its integration into clinical decision making as well as targeted rehabilitation protocols. Data for this review were acquired from peer-reviewed articles from computerized online databases, namely PubMed and Medline, published between 1906 and 2021. The development of digital/smart phone goniometers can improve shoulder joint range of motion (ROM) measurements and demonstrate comparable measurement accuracy to the universal standard goniometer. The inclinometer offers a portable and cost-effective method for measuring shoulder joint angles and arcs of motion in the vertical plane. Two types of dynamometers, the computerized isokinetic machine and the handheld hydraulic dynamometer, are reliable tools for objective shoulder rotator cuff strength assessment. Motion analysis systems are highly advanced modalities that create three-dimensional models of motion arcs using a series of cameras and reflective beads, offering unparalleled precision in shoulder proprioception measurement; however, they require time-consuming calibration and skilled operators. Advancements in wearable devices and compact mobile technology such as iPhone applications may make three-dimensional motion analysis more affordable and practical for outpatient settings in the future. The complex interplay between proprioception and shoulder dysfunction is not fully understood; however, shoulder proprioception can likely both contribute to and be caused by shoulder pathology. In patients with rotator cuff tears, glenohumeral osteoarthritis, and shoulder instability, clinicians can track proprioception to understand a patient’s disease progression or response to treatment. Finally, rehabilitation programs targeting shoulder proprioception have shown promising initial results in restoring function and returning athletes to play. Full article
(This article belongs to the Special Issue Advances in Shoulder Surgery: Current Trends and Future Directions)
Show Figures

Figure 1

14 pages, 4219 KB  
Article
The Composite Physiological Response of Hydraulic and Photosynthetic Traits and Nonstructural Carbon in Masson Pine Seedlings to Drought Associated with High Temperature
by Dongming Fang, Heting Yao, Yuelai Huang, Weijiao Li, Tingting Mei and Songheng Jin
Forests 2023, 14(12), 2320; https://doi.org/10.3390/f14122320 - 26 Nov 2023
Cited by 2 | Viewed by 1537
Abstract
Masson pine (Pinus massoniana Lamb.) is a dominant coniferous species in southern China, known for its rapid growth, abundant yield, and extensive utilization. Despite the robust adaptability of Masson pine and the rich annual precipitation in its distribution areas, this species still [...] Read more.
Masson pine (Pinus massoniana Lamb.) is a dominant coniferous species in southern China, known for its rapid growth, abundant yield, and extensive utilization. Despite the robust adaptability of Masson pine and the rich annual precipitation in its distribution areas, this species still faces the mortality risk caused by the recurrent high temperatures in summer and low precipitation in subtropical regions. The mortality risk of Masson pine may increase in the future when facing a more frequent or intensive drought threat due to climate change. In this study, we conducted a manipulated drought experiment accompanying high temperature (~32.3 ± 0.7 °C in daytime and 28 °C in nighttime) to simulate a flash drought, aiming to explore the composite physiological response (hydraulic, gas exchange, and nonstructural carbon (NSC) characteristics) of Masson pine seedlings to extreme drought characterized by a high intensity and long duration. We found that, as the drought developed, the leaf water potential and gas exchange traits (net photosynthesis rate, stomatal conductance, and transpiration) significantly decreased while the percentage loss of hydraulic conductivity (PLC) significantly increased. In contrast, NSC remained a more constant trend before it was significantly reduced on day 30 after the beginning of the drought. Except for NSC, all the other traits had significant correlations between them. Additionally, hydraulic dysfunction indicated by the increasing PLC preceded the NSC depletion, which may indicate a more significant role for hydraulic failure than carbon starvation in drought-induced mortality. Conclusively, hydraulic and gas exchange traits showed a coupling response to drought, but NSC displayed an independent dynamic. The findings may improve our understanding of drought-coping strategies of Masson pine and provide some theoretical basis for Masson pine forest management. Full article
(This article belongs to the Section Forest Ecology and Management)
Show Figures

Figure 1

11 pages, 2153 KB  
Article
Influence of No-Till System with or without Cover Crops on Stomata Sensitivity of Glyphosate-Tolerant Soybeans to Vapor Pressure Deficit
by Jérôme Bernier Brillon, Matthieu Moingt and Marc Lucotte
Physiologia 2023, 3(4), 531-541; https://doi.org/10.3390/physiologia3040039 - 25 Oct 2023
Cited by 2 | Viewed by 1457
Abstract
Soybeans are vulnerable to drought and temperature increases potentially induced by climate change. Hydraulic dysfunction and stomatal closure to avoid excessive transpiration are the main problems caused by drought. The vulnerability of soybeans to drought will depend on the intensity and duration of [...] Read more.
Soybeans are vulnerable to drought and temperature increases potentially induced by climate change. Hydraulic dysfunction and stomatal closure to avoid excessive transpiration are the main problems caused by drought. The vulnerability of soybeans to drought will depend on the intensity and duration of water stress. The purpose of this study was to determine if the use of cover crops (CCs) can influence the gas exchange potential of glyphosate-tolerant soybeans when the vapor pressure deficit (Vpd) increases. This two-year study was conducted in an open experimental field comprising direct seeding plots with or without CCs. Stomatal conductance (Gs) was measured five times on the same identified leaves following glyphosate-based herbicide application. These leaves were then collected in order to observe the stomata and foliar traits with a scanning electron microscope. The Vpd was calculated concomitantly to Gs measurements at the leaf surface. The results suggest that the use of CCs promotes phenotypic change in soybean leaves (more elaborate venation and a higher abaxial stomatal density), which in turn may enhance their tolerance to drier conditions. In 2019, Gs could be up to 29% higher in plots with CCs compared to those without CCs with similar Vpd values. This study shows that the benefits of using CCs can be observed via the morphological development strategies of the crop plants and their higher tolerance to drought. Full article
Show Figures

Figure 1

18 pages, 3215 KB  
Article
Field-Measured Hydraulic Traits and Remotely Sensed NDVI of Four Subtropical Tree Species Showed Transient Declines during the Drought–Heatwave Event
by Yongkang Wang and Jia Song
Forests 2023, 14(7), 1420; https://doi.org/10.3390/f14071420 - 11 Jul 2023
Cited by 2 | Viewed by 1991
Abstract
Unpredictable drought–heatwave events occur frequently worldwide, causing low water availability (drought) and high temperatures (hot), with consequences for forest decline and mortality. Our knowledge of the potential instantaneous reactions and subsequent recovery of water-related physiological processes and vegetation indices in hot drought events [...] Read more.
Unpredictable drought–heatwave events occur frequently worldwide, causing low water availability (drought) and high temperatures (hot), with consequences for forest decline and mortality. Our knowledge of the potential instantaneous reactions and subsequent recovery of water-related physiological processes and vegetation indices in hot drought events remains unclear. Here, we investigated how the 2022 summer drought–heatwave event in the subtropical regions of China affected hydraulic traits and NDVI values in the forests of four common subtropical tree species. During the hot drought, the NDVI values of all four forests decreased (−31%~−23%), accompanied by leaf scorch and tree crown dieback. Among the four species, a hot drought event caused an instantaneous descent in hydraulic conductivity (Ks, −72%~−31%), stomatal conductance (gs, −94%~−50%), and midday water potential (−40%~−169%), with severe drought-induced stem xylem embolism. A trade-off was found between resistance and resilience in hot-drought-induced hydraulic dysfunction, as species with lower declines in Ks and gs during the hot drought had a shorter recovery in the post-stress phase. This study highlights that the 2022 hot drought event had severe negative instantaneous impacts on the forests of four subtropical tree species, which were reflected both in water-related physiological processes in the field and in remote sensing data from satellites. Full article
(This article belongs to the Section Forest Inventory, Modeling and Remote Sensing)
Show Figures

Figure 1

11 pages, 1019 KB  
Article
Better Handgrip Strength Is Related to the Lower Prevalence of Pain and Anxiety in Community-Dwelling Older Adults
by Natalia Sosowska, Agnieszka Guligowska, Bartłomiej Sołtysik, Ewa Borowiak, Tomasz Kostka and Joanna Kostka
J. Clin. Med. 2023, 12(11), 3846; https://doi.org/10.3390/jcm12113846 - 4 Jun 2023
Cited by 3 | Viewed by 2757
Abstract
Although handgrip strength (HGS) may be treated as a biomarker of many health problems, there is little evidence on the potential role of HGS in the prevention of pain or anxiety in older adults. We investigated the relationship of HGS to the presence [...] Read more.
Although handgrip strength (HGS) may be treated as a biomarker of many health problems, there is little evidence on the potential role of HGS in the prevention of pain or anxiety in older adults. We investigated the relationship of HGS to the presence of pain and anxiety among community-dwelling older adults. The study was performed in 2038 outpatients, aged 60 to 106 years. The Jamar hand-held hydraulic dynamometer was used to measure HGS. The prevalence of pain and anxiety was assessed with the Euroqol 5D questionnaire. Symptoms of depression were recorded with 15-item Geriatric Depression Scale (GDS). In the multivariate logistic regression model taking into account age, sex, BMI and concomitant diseases, the significant influence of HGS on the presence of pain (odds ratio [OR]  =  0.988) in the entire study population and among men (OR  =  0.983) was found. HGS was a significant independent predictor for the presence of anxiety in the entire study population (OR  =  0.987), in women (OR  =  0.985) and in men (OR  =  0.988). In the fully adjusted model with included GDS, 1 kg higher HGS was still associated with 1.2% and 1.3% lower probability of the presence of pain and anxiety, respectively. We conclude that low HGS is associated with the presence of pain and anxiety among older adults, independent of age, sex, depression symptoms and concomitant chronic diseases. Future research should assess whether improvement of HGS would alleviate psychological dysfunction in older adults. Full article
(This article belongs to the Special Issue Advances in Geriatric Diseases)
Show Figures

Figure 1

14 pages, 1461 KB  
Communication
Field Investigation into Tree Fates from Recent Apple Tree Decline: Abrupt Hydraulic Failure versus Gradual Hydraulic Loss
by Hao Xu, Kirsten D. Hannam, Jesse L. MacDonald and Danielle Ediger
Stresses 2023, 3(1), 256-269; https://doi.org/10.3390/stresses3010019 - 1 Feb 2023
Cited by 4 | Viewed by 2654
Abstract
In the last decade, a sporadic tree health syndrome affecting high-density apple plantings in North America has become known as Rapid Apple Decline (RAD) or Sudden Apple Decline (SAD). The affected apple trees were typically grafted on small dwarfing rootstocks, often displayed necrosis [...] Read more.
In the last decade, a sporadic tree health syndrome affecting high-density apple plantings in North America has become known as Rapid Apple Decline (RAD) or Sudden Apple Decline (SAD). The affected apple trees were typically grafted on small dwarfing rootstocks, often displayed necrosis at the graft union, and suffered from sudden mortality that occurred over 2–3 weeks amid the growing season or a gradual decline. In 2019 and 2020, we conducted a multi-site investigation in the south Okanagan, British Columbia, Canada, to assess the stem hydraulic characteristics, stomatal conductance, leaf δ13C‰, and fruit dry matter accumulation of the declining trees during disease progression. In trees that died, mortality appeared to be associated with severe disruption in xylem water transport at the damaged graft union, followed by abrupt hydraulic failure. In contrast, symptomatic trees that did not die exhibited the moderately declined plant water relations and a reduction in fruit dry matter accumulation followed by either further deterioration or eventual recovery. This pattern indicates the risk of carbohydrate depletion over gradual hydraulic decline and the importance of timely horticultural remedies. In the present study, we discuss potential horticultural practices to mitigate hydraulic dysfunctions and enhance crop tolerance. Full article
(This article belongs to the Special Issue Physiological and Molecular Mechanisms of Plant Stress Tolerance)
Show Figures

Figure 1

19 pages, 1365 KB  
Article
Not Only Severe Events: Moderate Dry Periods Impact the Hydraulic Functioning and Survival of Planted Ponderosa Pine Seedlings
by Carolyn R. Koehn, Matthew D. Petrie and Robert M. Hubbard
Forests 2022, 13(3), 370; https://doi.org/10.3390/f13030370 - 23 Feb 2022
Cited by 6 | Viewed by 2255
Abstract
Juvenile tree survival will increasingly shape the persistence of ponderosa pine forests in the western United States. In contrast to severe pulse disturbances that induce widespread adult and juvenile tree mortality, moderate periods of low rainfall and warm temperatures may reduce forest persistence [...] Read more.
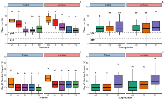
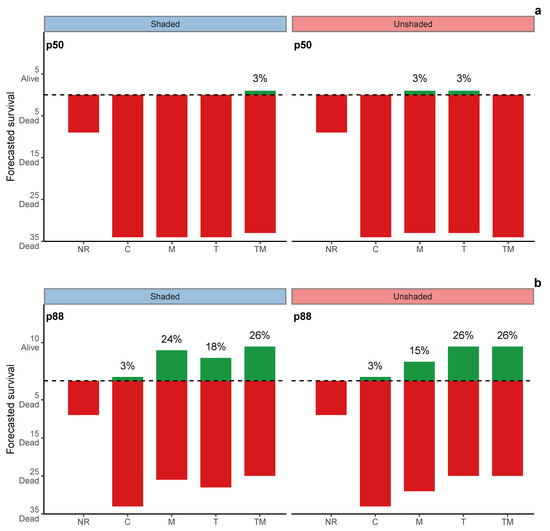
Juvenile tree survival will increasingly shape the persistence of ponderosa pine forests in the western United States. In contrast to severe pulse disturbances that induce widespread adult and juvenile tree mortality, moderate periods of low rainfall and warm temperatures may reduce forest persistence by killing juvenile trees at the seedling stage. Intensification of these periods in a changing climate could therefore increasingly restrict both natural regeneration and artificial regeneration of planted seedlings. We conducted a controlled field experiment at a single site in the Front Range of Colorado, USA, to determine the responses and survival of 3 Colorado subpopulations of <1 year old potted ponderosa pines to moderately dry conditions, variation in small rainfall events based on observed patterns, and shaded and unshaded microsite environments. Near surface soil moisture increased slightly following small rainfall events, but declined over the 45-day experimental period. Seedling transpiration and associated canopy cooling declined after ∼13 days, and further declines in transpiration and canopy cooling suggest that the majority of trees in lower rainfall treatments experienced hydraulic dysfunction between days ∼20–30. After 45 days, mortality across all subpopulations and treatments, inferred by relative water loss, exceeded 90–95%. Despite some uncertainty pertaining to the stress tolerance of nursery grown versus naturally germinated conifers, our results show that planted ponderosa pine seedlings <1 year old are unlikely to survive moderate dry periods of 20+ days relying on small rainfall events. Although microsite conditions and soil moisture availability shaped tree hydraulic functioning early in the experiment (days 1–13), later functioning was shaped predominately by the legacy of rainfall treatments. Our results illustrate the importance of moderate dry events that occur consistently as part of seasonal variation in climate, and show how their intensification may constitute a sustained press that limits opportunities for natural and artificial regeneration. Full article
(This article belongs to the Section Forest Ecology and Management)
Show Figures

Figure 1

30 pages, 1657 KB  
Review
The Right Ventricle in COVID-19
by Jean Bonnemain, Zied Ltaief and Lucas Liaudet
J. Clin. Med. 2021, 10(12), 2535; https://doi.org/10.3390/jcm10122535 - 8 Jun 2021
Cited by 22 | Viewed by 5356
Abstract
Infection with the novel severe acute respiratory coronavirus-2 (SARS-CoV2) results in COVID-19, a disease primarily affecting the respiratory system to provoke a spectrum of clinical manifestations, the most severe being acute respiratory distress syndrome (ARDS). A significant proportion of COVID-19 patients also develop [...] Read more.
Infection with the novel severe acute respiratory coronavirus-2 (SARS-CoV2) results in COVID-19, a disease primarily affecting the respiratory system to provoke a spectrum of clinical manifestations, the most severe being acute respiratory distress syndrome (ARDS). A significant proportion of COVID-19 patients also develop various cardiac complications, among which dysfunction of the right ventricle (RV) appears particularly common, especially in severe forms of the disease, and which is associated with a dismal prognosis. Echocardiographic studies indeed reveal right ventricular dysfunction in up to 40% of patients, a proportion even greater when the RV is explored with strain imaging echocardiography. The pathophysiological mechanisms of RV dysfunction in COVID-19 include processes increasing the pulmonary vascular hydraulic load and others reducing RV contractility, which precipitate the acute uncoupling of the RV with the pulmonary circulation. Understanding these mechanisms provides the fundamental basis for the adequate therapeutic management of RV dysfunction, which incorporates protective mechanical ventilation, the prevention and treatment of pulmonary vasoconstriction and thrombotic complications, as well as the appropriate management of RV preload and contractility. This comprehensive review provides a detailed update of the evidence of RV dysfunction in COVID-19, its pathophysiological mechanisms, and its therapy. Full article
(This article belongs to the Special Issue Current Status of Cardiac Anesthesiology and Intensive Care)
Show Figures

Figure 1

15 pages, 2701 KB  
Article
Differentiation in Leaf Physiological Traits Related to Shade and Drought Tolerance Underlies Contrasting Adaptations of Two Cyclobalanopsis (Fagaceae) Species at the Seedling Stage
by Ai-Ying Wang, Guang-You Hao, Jing-Jing Guo, Zhi-Hui Liu, Jiao-Lin Zhang and Kun-Fang Cao
Forests 2020, 11(8), 844; https://doi.org/10.3390/f11080844 - 4 Aug 2020
Cited by 5 | Viewed by 2880
Abstract
Adaptation and acclimation of tree seedlings to different combinations of light and water conditions can determine the species-specific patterns of distribution along environmental gradients and the underlying physiological mechanisms are fundamental to the understanding of such patterns. Seedlings of two Cyclobalanopsis species naturally [...] Read more.
Adaptation and acclimation of tree seedlings to different combinations of light and water conditions can determine the species-specific patterns of distribution along environmental gradients and the underlying physiological mechanisms are fundamental to the understanding of such patterns. Seedlings of two Cyclobalanopsis species naturally occurring in southwest China, with distinct distribution and regeneration characteristics, were grown under 100%, 50% and 4% sunlight conditions and traits related to shade and drought tolerance were studied. Particularly, we investigated whether leaf hydraulics, photosynthetic traits and their functional coordination play an important role in determining seedling environmental adaptation and acclimation of the two species. Seedlings of C. helferiana showed characteristics adapted to high irradiance while C. rex had traits adapted to partially shaded environments. Cyclobalanopsis helferiana had significantly higher maximum net photosynthetic rate (Amax), light compensation point and light saturation point than C. rex and the contrasts were particularly large when they were grown under full sunlight. Cyclobalanopsis helferiana showed the highest Amax when grown under 100% sunlight, while C. rex exhibited the highest Amax at 50% sunlight. Similarly, under full sunlight conditions C. helferiana showed significantly higher leaf hydraulic conductance (Kleaf) than C. rex, i.e., 13.37 vs. 7.09 mmol m−2 s−1 MPa−1 (p < 0.01). The correlation between Kleaf and Amax followed a unified positive correlation across different light treatments of both species. Moreover, leaves of C. helferiana showed greater resistance to drought-induced hydraulic dysfunction and to desiccation than C. rex. The contrasts in functional traits between the two Cyclobalanopsis species are consistent with the hypothesis that there is a trade-off between shade tolerance and drought tolerance. Findings of the present study contribute to a deeper understanding of mechanisms of divergence between closely related (congeneric) species with respect to key ecophysiology associated with natural regeneration. Full article
(This article belongs to the Section Forest Ecophysiology and Biology)
Show Figures

Figure 1

11 pages, 1450 KB  
Communication
A Leaf Selfie: Using a Smartphone to Quantify Leaf Vulnerability to Hydraulic Dysfunction
by Francesco Petruzzellis, Martina Tomasella, Andrea Miotto, Sara Natale, Patrizia Trifilò and Andrea Nardini
Plants 2020, 9(2), 234; https://doi.org/10.3390/plants9020234 - 11 Feb 2020
Cited by 11 | Viewed by 4515
Abstract
Accurate predictions of species distribution under current and future climate conditions require modeling efforts based on clear mechanistic relationships between climate variables and plant physiological functions. Vulnerability of leaves to xylem embolism is a key mechanistic trait that might be included in these [...] Read more.
Accurate predictions of species distribution under current and future climate conditions require modeling efforts based on clear mechanistic relationships between climate variables and plant physiological functions. Vulnerability of leaves to xylem embolism is a key mechanistic trait that might be included in these modeling efforts. Here, we propose a simple set-up to measure leaf vulnerability to embolism on the basis of the optical method using a smartphone, a light source, and a notebook. Our data show that this proposed set-up can adequately quantify the vulnerability to xylem embolism of leaf major veins in Populus nigra and Ostrya carpinifolia, producing values consistent with those obtained in temperate tree species with other methods, allowing virtually any laboratory to quantify species-specific drought tolerance on the basis of a sound mechanistic trait. Full article
(This article belongs to the Special Issue 2019 Feature Papers by Plants’ Editorial Board Members)
Show Figures

Figure 1

17 pages, 4860 KB  
Article
Tree-Ring Analysis Reveals Density-Dependent Vulnerability to Drought in Planted Mongolian Pines
by ShouJia Sun, Shuai Lei, HanSen Jia, Chunyou Li, JinSong Zhang and Ping Meng
Forests 2020, 11(1), 98; https://doi.org/10.3390/f11010098 - 13 Jan 2020
Cited by 20 | Viewed by 3655
Abstract
Population density influences tree responses to environmental stresses, such as drought and high temperature. Prolonged drought negatively affects the health of Mongolian pines in forests planted by the Three-North Shelter Forest Program in North China. To understand the relationship between stand density and [...] Read more.
Population density influences tree responses to environmental stresses, such as drought and high temperature. Prolonged drought negatively affects the health of Mongolian pines in forests planted by the Three-North Shelter Forest Program in North China. To understand the relationship between stand density and drought-induced forest decline, and to generate information regarding the development of future management strategies, we analyzed the vulnerability to drought of planted Mongolian pines at three stand densities. A tree-ring width index for trees from each density was established from tree-ring data covering the period 1988–2018 and was compared for differences in radial growth. Resistance (Rt), recovery (Rc), resilience (Rs), and relative resilience (RRs) in response to drought events were calculated from the smoothed basal area increment (BAI) curves. The high-density (HDT) group showed a consistently lower tree-ring width than the border trees (BT) and low-density (LDT) groups. The BAI curve of the HDT group started to decrease five years earlier than the LDT and BT groups. Pearson correlation analysis revealed that the radial growth of all of the groups was related to precipitation, relative humidity (RH), potential evapotranspiration (ET0), and standardized precipitation evapotranspiration index (SPEI) in the previous October and the most recent July, indicating that Mongolian pine trees of different densities had similar growth–climate relationships. Over the three decades, the trees experienced three severe drought events, each causing reduced tree-ring width and BAI. All of the groups showed similar Rc to each drought event, but the HDT group exhibited significantly lower Rt, Rs, and RRs than the BT group, suggesting that the HDT trees were more vulnerable to repeated drought stress. The RRs of the HDT group decreased progressively after each drought event and attained <0 after the third event. All of the groups showed similar trends regarding water consumption under varying weather conditions, but the HDT group showed significantly reduced whole-tree hydraulic capability compared with the other two groups. From these results, HDT trees exhibit ecophysiological memory effects from successive droughts, including sap flux dysfunction and higher competition index, which may prevent recovery of pre-drought growth rates. HDT trees may be at greater risk of mortality under future drought disturbance. Full article
(This article belongs to the Special Issue Forest Adaptation and Restoration in a Changing Environment)
Show Figures

Figure 1

Back to TopTop