Not Only Severe Events: Moderate Dry Periods Impact the Hydraulic Functioning and Survival of Planted Ponderosa Pine Seedlings
Abstract
:1. Introduction
2. Methods
2.1. Site Description
2.2. Experimental Design and Implementation
2.3. Rainfall Treatments
2.4. Climate and Environmental Characteristics
2.5. Seedling Transpiration, Stress, and Inferred Mortality
2.6. Statistical Analysis
3. Results
3.1. Experimental Environments
3.2. Seedling Transpiration
| Number of Events | Total P (mm) | 5 cm (Days 1–12) | 12 cm (Days 1–12) | 5 cm (Days 13–45) | 12 cm (Days 13–45) | Daytime Air Temp (°C) | Daytime Soil Temp (°C) | Daytime Canopy Temp (°C) | Night Canopy Temp (°C) | Daytime PAR (mol s−1 m−2) | Daytime VPD (kPa) | |
|---|---|---|---|---|---|---|---|---|---|---|---|---|
| Shaded | 0.12 ↓ | 0.14 ↓ | 0.05 ↑ | 0.07 ↑ | 18.95 | 17.38 * | 19.53 * | 5.54 * | 354 * | 1.76 | ||
| NR | 0 | 0 | 0.12 | 0.15 | 0.02 | 0.05 | 17.12 | |||||
| C | 4 | 16 | 0.10 | 0.15 | 0.03 | 0.07 | 19.67 e | 20.67 | 6.06 | |||
| M | 4 | 24 | 0.10 | 0.10 | 0.05 | 0.06 | 17.30 | 19.26 | 5.43 | |||
| T | 6 | 24 | 0.12 | 0.13 | 0.06 | 0.06 | 16.89 | 19.81 | 5.61 | |||
| TM | 6 | 36 | 0.15 | 0.16 | 0.06 | 0.09 | 16.49 | 19.24 | 5.75 | |||
| Unshaded | 0.12 ↑ | 0.14 ↑ | 0.04 ↓ | 0.06 ↓ | 19.26 | 21.94 * | 22.84 * | 4.11 * | 741 * | 1.80 | ||
| NR | 0 | 0 | 0.11 | 0.17 | 0.01 | 0.06 | 21.10 | |||||
| C | 4 | 16 | 0.10 | 0.12 | 0.03 | 0.05 | 20.71 | 23.50 | 4.65 | |||
| M | 4 | 24 | 0.12 | 0.15 | 0.04 | 0.06 o | 23.27 | 23.61 | 4.05 | |||
| T | 6 | 24 | 0.11 | 0.15 | 0.02 | 0.06 | 21.37 | 22.50 | 4.41 | |||
| TM | 6 | 36 | 0.14 e | 0.13 | 0.05 | 0.06 | 23.95 | 22.89 | 4.06 |
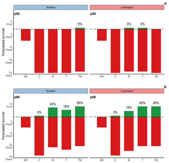
3.3. Stress and Mortality
4. Discussion
4.1. Environmental Effects Shaping Dry Period Severity
4.2. Seedling Functioning and Inferred Mortality
4.3. Climate Change: Severe Pulse as Well as Moderate Press?
5. Conclusions
Supplementary Materials
Author Contributions
Funding
Institutional Review Board Statement
Informed Consent Statement
Data Availability Statement
Acknowledgments
Conflicts of Interest
References
- Davis, K.T.; Dobrowski, S.Z.; Higuera, P.E.; Holden, Z.A.; Veblen, T.T.; Rother, M.T.; Parks, S.A.; Sala, A.; Maneta, M.P. Wildfires and climate change push low-elevation forests across a critical climate threshold for tree regeneration. Proc. Natl. Acad. Sci. USA 2019, 116, 6193–6198. [Google Scholar] [CrossRef] [PubMed] [Green Version]
- Petrie, M.D.; Bradford, J.B.; Hubbard, R.M.; Lauenroth, W.K.; Andrews, C.M.; Schlaepfer, D.R. Climate change may restrict dryland forest regeneration in the 21st century. Ecology 2017, 98, 1548–1559. [Google Scholar] [CrossRef]
- Bradford, J.B.; Schlaepfer, D.R.; Lauenroth, W.K.; Palmquist, K.A. Robust ecological drought projections for drylands in the 21st century. Glob. Chang. Biol. 2020, 26, 3906–3919. [Google Scholar] [CrossRef]
- Rodman, K.C.; Veblen, T.T.; Battaglia, M.A.; Chambers, M.E.; Fornwalt, P.J.; Holden, Z.A.; Kolb, T.E.; Ouzts, J.R.; Rother, M.T. A changing climate is snuffing out post-fire recovery in montane forests. Glob. Ecol. Biogeogr. 2020, 29, 2039–2051. [Google Scholar] [CrossRef]
- Stevens-Rumann, C.S.; Kemp, K.B.; Higuera, P.E.; Harvey, B.J.; Rother, M.T.; Donato, D.C.; Morgan, P.; Veblen, T.T. Evidence for declining forest resilience to wildfires under climate change. Ecol. Lett. 2018, 21, 243–252. [Google Scholar] [CrossRef]
- Minott, J.A.; Kolb, T.E. Regeneration patterns reveal contraction of ponderosa forests and little upward migration of pinyon-juniper woodlands. For. Ecol. Manag. 2020, 458, 117640. [Google Scholar] [CrossRef]
- Ouzts, J.; Kolb, T.; Huffman, D.; Sánchez Meador, A. Post-fire ponderosa pine regeneration with and without planting in Arizona and New Mexico. For. Ecol. Manag. 2015, 354, 281–290. [Google Scholar] [CrossRef] [Green Version]
- Rother, M.T.; Veblen, T.T.; Furman, L.G. A field experiment informs expected patterns of conifer regeneration after disturbance under changing climate conditions. Can. J. For. Res. 2015, 45, 1607–1616. [Google Scholar] [CrossRef]
- Kolb, T.E.; Flathers, K.; Bradford, J.B.; Andrews, C.; Asherin, L.A.; Moser, W.K. Stand density, drought, and herbivory constrain ponderosa pine regeneration pulse. Can. J. For. Res. 2020, 50, 862–871. [Google Scholar] [CrossRef]
- Stein, S.J.; Kimberling, D.N. Germination, establishment, and mortality of naturally seeded southwestern ponderosa pine. West. J. Appl. For. 2003, 18, 109–114. [Google Scholar] [CrossRef] [Green Version]
- Bailey, J.D.; Covington, W.W. Evaluating ponderosa pine regeneration rates following ecological restoration treatments in northern Arizona, USA. For. Ecol. Manag. 2002, 155, 271–278. [Google Scholar] [CrossRef]
- White, A.S. Presettlement regeneration patterns in a southwestern ponderosa pine stand. Ecology 1985, 66, 589–594. [Google Scholar] [CrossRef]
- Pirtel, N.L.; Hubbard, R.M.; Bradford, J.B.; Kolb, T.E.; Litvak, M.E.; Abella, S.R.; Porter, S.L.; Petrie, M.D. The aboveground and belowground growth characteristics of juvenile conifers in the southwestern United States. Ecosphere 2021, 12, e03839. [Google Scholar] [CrossRef]
- Hankin, L.E.; Higuera, P.E.; Davis, K.T.; Dobrowski, S.Z. Impacts of growing-season climate on tree growth and post-fire regeneration in ponderosa pine and Douglas-fir forests. Ecosphere 2019, 10, e02679. [Google Scholar] [CrossRef] [Green Version]
- Notaro, M.; Liu, Z.; Gallimore, R.G.; Williams, J.W.; Gutzler, D.S.; Collins, S. Complex seasonal cycle of ecohydrology in the Southwest United States. J. Geophys. Res. Biogeosci. 2010, 115, G04034. [Google Scholar] [CrossRef]
- McDowell, N.G.; Allen, C.D.; Marshall, L. Growth, carbon-isotope discrimination, and drought-associated mortality across a pinus ponderosa elevational transect. Glob. Chang. Biol. 2010, 16, 399–415. [Google Scholar] [CrossRef]
- Romme, W.H.; Clement, J.; Hicke, J.; Kulakowski, D.; MacDonald, L.H.; Schoennagel, T.L.; Veblen, T.T. Recent Forest Insect Outbreaks and Fire Risk in Colorado Forests: A Brief Synthesis of Relevant Research; Tech. Rep.; Colorado Forest Research Institute: Fort Collins, CO, USA, 2006. [Google Scholar]
- Loik, M.E.; Breshears, D.D.; Lauenroth, W.K.; Belnap, J. A multi-scale perspective of water pulses in dryland ecosystems: Climatology and ecohydrology of the western USA. Oecologia 2004, 141, 269–281. [Google Scholar] [CrossRef]
- Koehn, C.R.; Petrie, M.D.; Bradford, J.B.; Litvak, M.E.; Strachan, S. Seasonal precipitation and soil moisture relationships across forests and woodlands in the southwestern united states. J. Geophys. Res. Biogeosci. 2021, 126, e2020JG005986. [Google Scholar] [CrossRef]
- League, K.; Veblen, T. Climatic variability and episodic Pinus ponderosa establishment along the forest-grassland ecotones of Colorado. For. Ecol. Manag. 2006, 228, 98–107. [Google Scholar] [CrossRef]
- Petrie, M.D.; Wildeman, A.M.; Bradford, J.B.; Hubbard, R.M.; Lauenroth, W.K. A review of precipitation and temperature control on seedling emergence and establishment for ponderosa and lodgepole pine forest regeneration. For. Ecol. Manag. 2016, 361, 328–338. [Google Scholar] [CrossRef]
- Kolb, P.F.; Robberecht, R. High temperature and drought stress effects on survival of Pinus ponderosa seedlings. Tree Physiol. 1996, 16, 665–672. [Google Scholar] [CrossRef] [PubMed] [Green Version]
- Delucia, E.H.; Maherali, H.; Carey, E.V. Climate-driven changes in biomass allocation in pines. Glob. Chang. Biol. 2000, 6, 587–593. [Google Scholar] [CrossRef]
- Keyes, C.R.; Maguire, D.A.; Tappeiner, J.C. Recruitment of ponderosa pine seedlings in the Cascade Range. For. Ecol. Manag. 2009, 257, 495–501. [Google Scholar] [CrossRef]
- Gray, A.N.; Spies, T.A. Microsite Controls on Tree Seeling Establishment in Conifer Forest Canopy Gaps. Ecology 1997, 78, 2458–2473. [Google Scholar] [CrossRef]
- Puhlick, J.J.; Laughlin, D.C.; Moore, M.M. Factors influencing ponderosa pine regeneration in the southwestern USA. For. Ecol. Manag. 2012, 264, 10–19. [Google Scholar] [CrossRef]
- Cregg, B.M. Carbon allocation, gas exchange, and needle morphology of Pinus ponderosa genotypes known to differ in growth and survival under imposed drought. Tree Physiol. 1994, 14, 883–898. [Google Scholar] [CrossRef] [Green Version]
- Domec, J.; Warren, J.; Meinzer, F.; Lachenbruch, B. Safety factors for xylem failure by implosion and air-seeding within roots, trunks and branches of young and old conifer trees. IAWA J. 2009, 30, 101–120. [Google Scholar] [CrossRef] [Green Version]
- Domec, J.-C.; Gartner, B.L. Relationship between growth rates and xylem hydraulic characteristics in young, mature and old-growth ponderosa pine trees. Plant Cell Environ. 2003, 26, 471–483. [Google Scholar] [CrossRef] [Green Version]
- Anderegg, L.; HilleRisLambers, J. Drought stress limits the geographic ranges of two tree species via different physiological mechanisms. Glob. Chang. Biol. 2016, 22, 1029–1045. [Google Scholar] [CrossRef]
- Augustine, S.P.; Reinhardt, K. Differences in morphological and physiological plasticity in two species of first-year conifer seedlings exposed to drought result in distinct survivorship patterns. Tree Physiol. 2019, 39, 1446–1460. [Google Scholar] [CrossRef]
- Veblen, T.T.; Lorenz, D.C. The Colorado Front Range: A Century of Ecological Change; University of Utah Press: Salt Lake City, UT, USA, 1991. [Google Scholar]
- Potter, K.M.; Hipkins, V.D.; Mahalovich, M.F.; Means, R.E. Mitochondrial DNA haplotype distribution patterns in Pinus ponderosa (Pinaceae): Range-wide evolutionary history and implications for conservation. Am. J. Bot. 2013, 100, 1562–1579. [Google Scholar] [CrossRef] [PubMed] [Green Version]
- Pinto, J.R.; Marshall, J.D.; Dumroese, R.K.; Davis, A.S.; Cobos, D.R. Photosynthetic response, survival, and growth of three ponderosa pine stocktypes under water stress enhanced by vegetative competition. Can. J. For. Res. 2012, 42, 333–344. [Google Scholar] [CrossRef]
- Love, L.D.; Johnson, W.M. The Manitou Experimental Forest—Its Work and Aims; Station Paper 7; U.S. Forest Service, Rocky Mountain Forest and Range Experiment Station: Fort Collins, CO, USA, 1952. [Google Scholar]
- Soil Survey Staff; Natural Resources Conservation Service; United States Department of Agriculture. Web Soil Survey. 2020. Available online: http://websoilsurvey.sc.egov.usda.gov (accessed on 3 March 2021).
- PRISM Climate Group at Oregon State University. Prism Time Series Data. February 2004. Available online: http://prism.oregonstate.edu (accessed on 1 June 2020).
- Petrie, M.D.; Pockman, W.T.; Pangle, R.E.; Limousin, J.M.; Plaut, J.A.; McDowell, N.G. Winter climate change promotes altered spring growing season in piñon pine-juniper woodlands. Agric. For. Meteorol. 2015, 214–215, 357–368. [Google Scholar] [CrossRef] [Green Version]
- Martinez-Vilalta, J.; Anderegg, W.R.L.; Sapes, G.; Sala, A. Greater focus on water pools may improve our ability to understand and anticipate drought-induced mortality in plants. New Phytol. 2019, 223, 22–32. [Google Scholar] [CrossRef] [PubMed] [Green Version]
- Hietz, P.; Rosner, S.; Sorz, J.; Mayr, S. Comparison of methods to quantify loss of hydraulic conductivity in Norway spruce. Ann. For. Sci. 2008, 65, 502. [Google Scholar] [CrossRef]
- Rosner, S.; Johnson, D.M.; Voggeneder, K.; Domec, J.-C. The conifer-curve: Fast prediction of hydraulic conductivity loss and vulnerability to cavitation. Ann. For. Sci. 2019, 76, 82. [Google Scholar] [CrossRef] [Green Version]
- Pammenter, N.W.; Van der Willigen, C. A mathematical and statistical analysis of the curves illustrating vulnerability of xylem to cavitation. Tree Physiol. 1998, 18, 589–593. [Google Scholar] [CrossRef] [Green Version]
- R Core Team. R: A Language and Environment for Statistical Computing; R Foundation for Statistical Computing: Vienna, Austria, 2019; Available online: https://www.R-project.org/ (accessed on 1 June 2020).
- Barton, K. MuMIn: Multi-Model Inference. R Package Version 1.43.17. 2020. Available online: https://CRAN.R-project.org/package=MuMIn (accessed on 1 October 2020).
- Sapes, G.; Sala, A. Relative water content consistently predicts drought mortality risk in seedling populations with different morphology, physiology and times to death. Plant Cell Environ. 2021, 44, 3322–3335. [Google Scholar] [CrossRef]
- Keyes, C.R.; Acker, S.A.; Greene, S.E. Overstory and shrub influences on seedling recruitment patterns in an old-growth ponderosa pine stand. Northwest Sci. 2001, 75, 204–210. [Google Scholar]
- Remke, M.J.; Hoang, T.; Kolb, T.; Gehring, C.; Johnson, N.C.; Bowker, M.A. Familiar soil conditions help pinus ponderosa seedlings cope with warming and drying climate. Restor. Ecol. 2020, 28, S344–S354. [Google Scholar] [CrossRef]
- Shepperd, W.D.; Edminster, C.B.; Mata, S.A. Long-Term Seedfall, Establishment, Survival, and Growth of Natural and Planted Ponderosa Pine in the Colorado Front Range. West. J. Appl. For. 2006, 21, 19–26. [Google Scholar] [CrossRef] [Green Version]
- Rother, M.T.; Veblen, T.T. Limited conifer regeneration following wildfires in dry ponderosa pine forests of the Colorado Front Range. Ecosphere 2016, 7, e01594. [Google Scholar] [CrossRef]
- Thompson, J.R.; Spies, T.A.; Ganio, L.M. Reburn severity in managed and unmanaged vegetation in a large wildfire. Proc. Natl. Acad. Sci. USA 2007, 104, 10743–10748. [Google Scholar] [CrossRef] [Green Version]
- Welch, K.R.; Safford, H.D.; Young, T.P. Predicting conifer establishment post wildfire in mixed conifer forests of the North American Mediterranean-climate zone. Ecosphere 2016, 7, e01609. [Google Scholar] [CrossRef]
- Boag, A.E.; Ducey, M.J.; Palace, M.W.; Hartter, J. Topography and fire legacies drive variable post-fire juvenile conifer regeneration in eastern Oregon, USA. For. Ecol. Manag. 2020, 474, 118312. [Google Scholar] [CrossRef]
- Martin, D.A.; Moody, J.A. Comparison of soil infiltration rates in burned and unburned mountainous watersheds. Hydrol. Process. 2001, 15, 2893–2903. [Google Scholar] [CrossRef]
- DeBano, L.F. The role of fire and soil heating on water repellency in wildland environments: A review. J. Hydrol. 2000, 231, 195–206. [Google Scholar] [CrossRef]
- Tubbesing, C.L.; York, R.A.; Stephens, S.L.; Battles, J.J. Rethinking fire-adapted species in an altered fire regime. Ecosphere 2020, 11, e03091. [Google Scholar] [CrossRef]
- Adams, H.D.; Barron-Gafford, G.A.; Minor, R.L.; Gardea, A.A.; Bentley, L.P.; Law, D.J.; Breshears, D.D.; McDowell, N.G.; Huxman, T.E. Temperature response surfaces for mortality risk of tree species with future drought. Environ. Res. Lett. 2017, 12, 115014. [Google Scholar] [CrossRef]
- Hammond, W.M.; Yu, K.; Wilson, L.A.; Will, R.E.; Anderegg, W.R.; Adams, H.D. Dead or dying? Quantifying the point of no return from hydraulic failure in drought-induced tree mortality. New Phytol. 2019, 223, 1834–1843. [Google Scholar] [CrossRef] [Green Version]
- McDonald, P.M.; Fiddler, G.; Ritchie, M.; Anderson, P. Naturally seeded versus planted ponderosa pine seedlings in group-selection openings. West. J. Appl. For. 2009, 24, 48–54. [Google Scholar] [CrossRef] [Green Version]
- Santos, M.J.; Greenberg, J.A.; Ustin, S.L. Using hyperspectral remote sensing to detect and quantify southeastern pine senescence effects in red-cockaded woodpecker (Picoides borealis) habitat. Remote Sens. Environ. 2010, 114, 1242–1250. [Google Scholar] [CrossRef]
- Grulke, N.; Maxfield, J.; Riggan, P.; Schrader-Patton, C. Pre-emptive detection of mature pine drought stress using multispectral aerial imagery. Remote Sens. 2020, 12, 2338. [Google Scholar] [CrossRef]
- Huang, C.-Y.; Anderegg, W.R.L.; Asner, G.P. Remote sensing of forest die-off in the Anthropocene: From plant ecophysiology to canopy structure. Remote Sens. Environ. 2019, 231, 111233. [Google Scholar] [CrossRef]
- Gamon, J.A.; Bond, B. Effects of irradiance and photosynthetic downregulation on the photochemical reflectance index in Douglas-fir and ponderosa pine. Remote Sens. Environ. 2013, 135, 141–149. [Google Scholar] [CrossRef]
- Sapes, G.; Roskilly, B.; Dobrowski, S.; Maneta, M.; Anderegg, W.R.L.; Martinez-Vilalta, J.; Sala, A. Plant water content integrates hydraulics and carbon depletion to predict drought-induced seedling mortality. Tree Physiol. 2019, 39, 1300–1312. [Google Scholar] [CrossRef]
- Allen, C.D.; Breshears, D.D.; McDowell, N.G. On underestimation of global vulnerability to tree mortality and forest die-off from hotter drought in the Anthropocene. Ecosphere 2015, 6, 1–55. [Google Scholar] [CrossRef]
- Latimer, C.E.; Zuckerberg, B. How extreme is extreme? Demographic approaches inform the occurrence and ecological relevance of extreme events. Ecol. Monogr. 2019, 89, e01385. [Google Scholar] [CrossRef]
- Jentsch, A.; Beierkuhnlein, C. Research frontiers in climate change: Effects of extreme meteorological events on ecosystems. Comptes Rendus Geosci. 2008, 340, 621–628. [Google Scholar] [CrossRef]
- Petrie, M.D.; Bradford, J.B.; Lauenroth, W.K.; Schlaepfer, D.R.; Andrews, C.M.; Bell, D.M. Non-analog increases to air, surface, and belowground temperature extreme events due to climate change. Clim. Chang. 2020, 163, 2233–2256. [Google Scholar] [CrossRef]
- Gao, Y.; Leung, L.R.; Lu, J.; Liu, Y.; Huang, M.; Qian, Y. Robust spring drying in the southwestern US and seasonal migration of wet/dry patterns in a warmer climate. Geophys. Res. Lett. 2014, 41, 1745–1751. [Google Scholar] [CrossRef]
- Harris, R.M.; Beaumont, L.J.; Vance, T.R.; Tozer, C.R.; Remenyi, T.A.; Perkins-Kirkpatrick, S.E.; Mitchell, P.J.; Nicotra, A.; McGregor, S.; Andrew, N.; et al. Biological responses to the press and pulse of climate trends and extreme events. Nat. Clim. Chang. 2018, 8, 579–587. [Google Scholar] [CrossRef]
- Cayan, D.R.; Das, T.; Pierce, D.W.; Barnett, T.P.; Tyree, M.; Gershunov, A. Future dryness in the southwest US and the hydrology of the early 21st century drought. Proc. Natl. Acad. Sci. USA 2010, 107, 21271–21276. [Google Scholar] [CrossRef] [Green Version]
- Wu, Z.; Dijkstra, P.; Koch, G.W.; Hungate, B.A. Biogeochemical and ecological feedbacks in grassland responses to warming. Nat. Clim. Chang. 2012, 2, 458–461. [Google Scholar] [CrossRef]
- Will, R.E.; Wilson, S.M.; Zou, C.B.; Hennessey, T.C. Increased vapor pressure deficit due to higher temperature leads to greater transpiration and faster mortality during drought for tree seedlings common to the forest–grassland ecotone. New Phytol. 2013, 200, 366–374. [Google Scholar] [CrossRef]
- VanMantgem, P.J.; Stephenson, N.L.; Byrne, J.C.; Daniels, L.D.; Franklin, J.F.; Fulé, P.Z.; Harmon, M.E.; Larson, A.J.; Smith, J.M.; Taylor, A.H.; et al. Widespread increase of tree mortality rates in the western United States. Science 2009, 323, 521–524. [Google Scholar] [CrossRef] [Green Version]






| Needle Browning [avg %] | 24-h Transpiration [g] | ||||||
|---|---|---|---|---|---|---|---|
| Day 12 | Day 45 | Days 3–8 | Days 13–30 | Day 45 | RWL [avg %] | Trees RWL < p50 | |
| Shaded | 5.42 | 11.97 * | 14.27 * | 6.02 | 1.45 | 53.6 | 1 |
| NR | 7.78 | 17.22 | - | - | - | 69.5 | 0 |
| C | 5.15 | 12.06 | 10.43 | 5.37 | 1.03 | 62.9 | 0 |
| M | 6.47 | 12.79 | 16.67 | 6.30 | 1.07 | 47.0 | 0 |
| T | 6.32 | 12.50 | 16.37 | 5.13 | 1.20 | 48.9 | 0 |
| TM | 2.35 | 9.12 | 13.03 | 7.07 | 2.49 | 51.6 | 1 |
| Unshaded | 7.69 | 16.21 * | 16.71 * | 6.45 | 1.79 | 55.3 | 2 |
| NR | 6.67 | 24.44 | - | - | - | 71.9 | 0 |
| C | 7.79 | 16.62 | 17.79 | 5.16 | 1.23 | 64.2 | 0 |
| M | 8.53 | 14.71 | 16.95 | 6.92 | 1.45 | 55.2 | 1 |
| T | 9.12 | 16.32 | 15.29 | 6.02 | 1.85 | 49.0 | 1 |
| TM | 5.59 | 15.00 | 17.35 | 7.41 | 2.63 | 48.6 | 0 |
| Needle Browning [avg %] | 24-h Transpiration [g] | ||||||
|---|---|---|---|---|---|---|---|
| Day 12 | Day 45 | Days 3–8 | Days 13–30 | Day 45 | RWL [avg %] | Trees RWL < p50 | |
| Shaded | 5.42 | 11.97 * | 14.27 * | 6.02 | 1.45 | 53.6 | 1 |
| AR | 3.33 | 10.10 | 13.75 | 5.83 | 1.30 | 52.1 | 1 |
| PS | 1.76 | 9.22 | 14.61 | 6.07 | 1.49 | 53.1 | 0 |
| SR | 12.17 | 17.44 | 14.47 | 6.17 | 1.51 | 56.0 | 0 |
| Unshaded | 7.69 | 16.21 * | 16.71 * | 6.45 | 1.79 | 55.3 | 2 |
| AR | 5.10 | 13.33 | 15.65 | 6.15 | 1.71 | 54.2 | 0 |
| PS | 4.12 | 13.14 | 16.82 | 6.17 | 1.82 | 53.3 | 2 |
| SR | 15.00 | 23.26 | 17.71 | 7.20 | 1.84 | 59.1 | 0 |
Publisher’s Note: MDPI stays neutral with regard to jurisdictional claims in published maps and institutional affiliations. |
© 2022 by the authors. Licensee MDPI, Basel, Switzerland. This article is an open access article distributed under the terms and conditions of the Creative Commons Attribution (CC BY) license (https://creativecommons.org/licenses/by/4.0/).
Share and Cite
Koehn, C.R.; Petrie, M.D.; Hubbard, R.M. Not Only Severe Events: Moderate Dry Periods Impact the Hydraulic Functioning and Survival of Planted Ponderosa Pine Seedlings. Forests 2022, 13, 370. https://doi.org/10.3390/f13030370
Koehn CR, Petrie MD, Hubbard RM. Not Only Severe Events: Moderate Dry Periods Impact the Hydraulic Functioning and Survival of Planted Ponderosa Pine Seedlings. Forests. 2022; 13(3):370. https://doi.org/10.3390/f13030370
Chicago/Turabian StyleKoehn, Carolyn R., Matthew D. Petrie, and Robert M. Hubbard. 2022. "Not Only Severe Events: Moderate Dry Periods Impact the Hydraulic Functioning and Survival of Planted Ponderosa Pine Seedlings" Forests 13, no. 3: 370. https://doi.org/10.3390/f13030370
APA StyleKoehn, C. R., Petrie, M. D., & Hubbard, R. M. (2022). Not Only Severe Events: Moderate Dry Periods Impact the Hydraulic Functioning and Survival of Planted Ponderosa Pine Seedlings. Forests, 13(3), 370. https://doi.org/10.3390/f13030370

