Polymeric Matrix Mini-Tablets Based on Eudragit® S 100 and HPMC for Controlled Release of Pantoprazole
Abstract
1. Introduction
2. Materials and Methods
2.1. Raw Materials
2.2. Blend Preparation and Pre-Compression Studies
2.2.1. Bulk and Tapped Densities
2.2.2. Compressibility and Flowability
2.2.3. Angle of Repose ()
2.3. Drug–Excipient Compatibility
2.3.1. Differential Scanning Calorimetry (DSC)
2.3.2. Fourier-Transform Infrared Spectroscopy (FT-IR)
2.3.3. Powder X-Ray Diffraction (PXRD)
2.3.4. Scanning Electron Microscopy (SEM)
2.4. Tablet Preparation
2.5. Post-Compression Parameters
2.5.1. Physical Characteristics
2.5.2. Mass Variation
2.5.3. Hardness
2.5.4. Friability
2.5.5. Disintegration Time
2.5.6. Content Uniformity Analysis
2.6. Analytical Method Validation and Drug–Polymer Compatibility
2.6.1. Derivation of Drug Spectrum
2.6.2. In Vitro Dissolution (Drug-Release) Studies
2.7. Release Kinetics Evaluation
3. Results and Discussion
3.1. Pre-Compression Studies of the Powder Blend
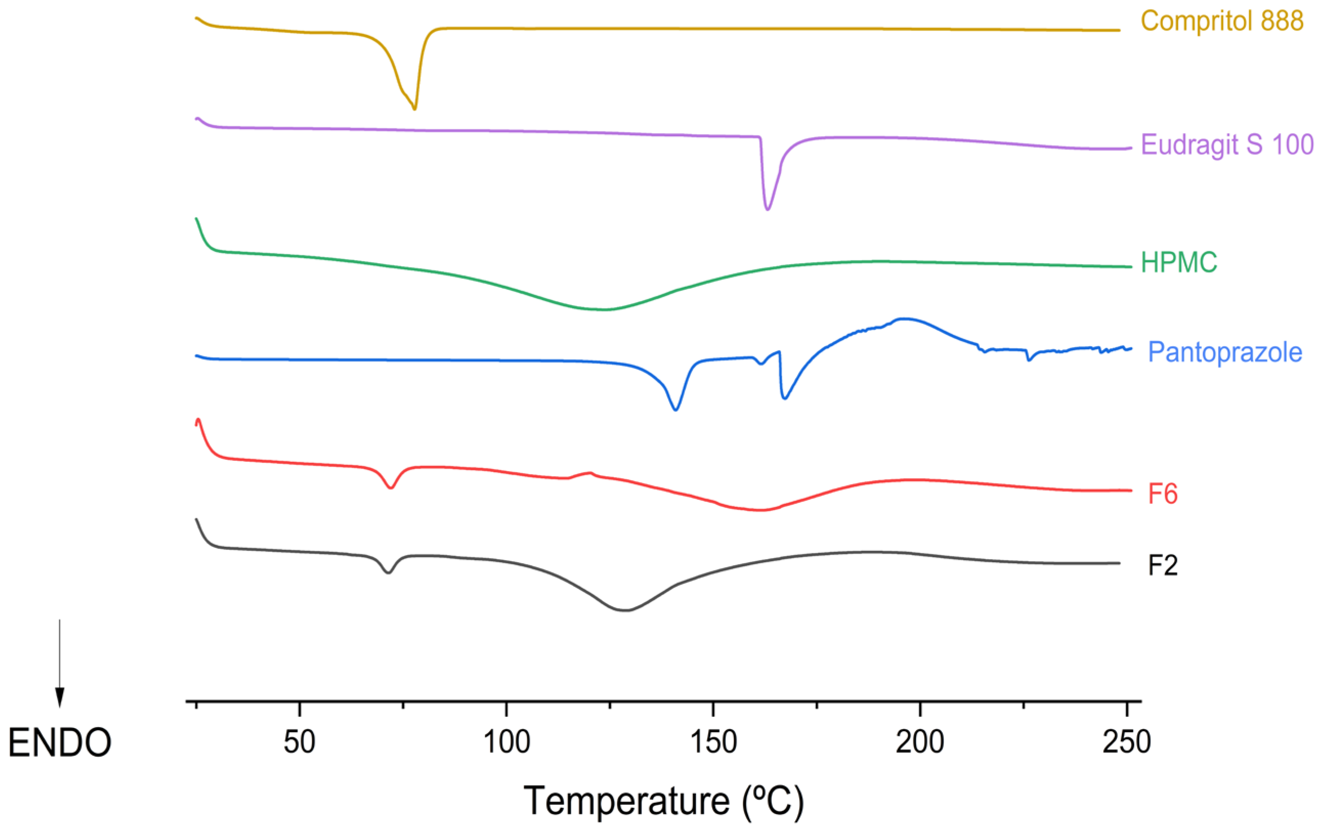
3.2. Differential Scanning Calorimetry (DSC)
3.3. Fourier-Transform Infrared Absorption Spectroscopy (FT-IR)
3.4. Powder X-Ray Diffraction (PXRD)
3.5. Morphological Characterisation by Scanning Electron Microscopy (SEM)
3.6. Mini-Tablet Physical Properties
3.7. Multivariate Statistical Analysis of Formulation Performance (PCA and K-Means Clustering)
3.8. Drug Dissolution Profiles and Mathematical Kinetic Modelling of Matrix-Based Formulations
3.9. Future Prospects
4. Conclusions
Author Contributions
Funding
Informed Consent Statement
Data Availability Statement
Conflicts of Interest
References
- Blynskaya, E.V.; Tishkov, S.V.; Vinogradov, V.P.; Alekseev, K.V.; Marakhova, A.I.; Vetcher, A.A. Polymeric Excipients in the Technology of Floating Drug Delivery Systems. Pharmaceutics 2022, 14, 2779. [Google Scholar] [CrossRef]
- Grund, J.; Koerber, M.; Walther, M.; Bodmeier, R. The effect of polymer properties on direct compression and drug release from water-insoluble controlled release matrix tablets. Int. J. Pharm. 2014, 469, 94–101. [Google Scholar] [CrossRef] [PubMed]
- Vemula, S.K. A Novel Approach to Flurbiprofen Pulsatile Colonic Release: Formulation and Pharmacokinetics of Double-Compression-Coated Mini-Tablets. AAPS PharmSciTech 2015, 16, 1465–1473. [Google Scholar] [CrossRef] [PubMed][Green Version]
- Varma, M.V.S.; Kaushal, A.M.; Garg, A.; Garg, S. Factors affecting mechanism and kinetics of drug release from matrix-based oral controlled drug delivery systems. Am. J. Drug Deliv. 2004, 2, 43–57. [Google Scholar] [CrossRef]
- Mondal, N. The role of matrix tablet in drug delivery system. Int. J. Appl. Pharm. 2018, 10, 1–6. [Google Scholar] [CrossRef]
- Ólafsdóttir, S.Á.; Magnúsdóttir, A.V.; Geirsdóttir, J.B.; Sigurðardóttir, M.S. Development of Caffeine Tablets with Dual Burst Release. Bachelor’s Thesis, The University of Iceland, Reykjavik, Iceland, 2025. [Google Scholar]
- Hirun, N.; Kraisit, P. Drug-polymers composite matrix tablets: Effect of hydroxypropyl methylcellulose (hpmc) k-series on porosity, compatibility, and release behavior of the tablet containing a BCS Class I drug. Polymers 2022, 14, 3406. [Google Scholar] [CrossRef]
- Trisopon, K.; Saokham, P.; Kittipongpatana, N.; Chomchoei, N.; Kittipongpatana, O.S. Synergistic co-processing of heat-moisture treated resistant rice starch with HPMC and Eudragit® S100: A novel multifunctional excipient for direct compression and colon-targeted delivery. Eur. J. Pharm. Biopharm. 2025, 218, 114913. [Google Scholar] [CrossRef]
- Veerareddy, P.R.; Vemula, S.K. Formulation, evaluation and pharmacokinetics of colon targeted pulsatile system of flurbiprofen. J. Drug Target. 2012, 20, 703–714. [Google Scholar] [CrossRef]
- Obeidat, W.M.; Nokhodchi, A.; Alkhatib, H. Evaluation of matrix tablets based on Eudragit®E100/Carbopol®971P combinations for controlled release and improved compaction properties of water soluble model drug paracetamol. AAPS PharmSciTech 2015, 16, 1169–1179. [Google Scholar] [CrossRef]
- Jayantilal, K.; Baliram, R.; Janrao, M. Formulation and evaluation of sustained release tablets of metformin hydrochloride by solid dispersion technique using ph dependent and ph independent Eudragit Polymers. Ars Pharm. 2012, 53, 28–36. [Google Scholar]
- Wilson, B.; Babubhai, P.P.; Sajeev, M.S.; Jenita, J.L.; Priyadarshini, S.R.B. Sustained release enteric coated tablets of pantoprazole: Formulation, in vitro and in vivo evaluation. Acta Pharm. 2013, 63, 131–140. [Google Scholar] [CrossRef]
- Mamani, P.L.; Ruiz-Caro, R.; Veiga, M.D. Matrix Tablets: The effect of hydroxypropyl methylcellulose/anhydrous dibasic calcium phosphate ratio on the release rate of a water-soluble drug through the gastrointestinal tract I. In vitro Tests. AAPS PharmSciTech 2012, 13, 1073–1083. [Google Scholar] [CrossRef]
- Patra, C.N.; Priya, R.; Swain, S.; Jena, G.K.; Panigrahi, K.C.; Ghose, D. Pharmaceutical significance of Eudragit: A review. Futur. J. Pharm. Sci. 2017, 3, 33–45. [Google Scholar] [CrossRef]
- Moussa, E.; Siepmann, F.; Flament, M.; Benzine, Y.; Penz, F.; Siepmann, J.; Karrout, Y. Controlled release tablets based on HPMC:lactose blends. J. Drug Deliv. Sci. Technol. 2019, 52, 607–617. [Google Scholar] [CrossRef]
- Verma, A.; Dubey, J.; Hegde, R.R.; Rastogi, V.; Pandit, J.K. Helicobacter pylori: Past, current and future treatment strategies with gastroretentive drug delivery systems. J. Drug Target. 2016, 24, 897–915. [Google Scholar] [CrossRef]
- Step, “ICH Guideline Q9 (R1) on Quality Risk Management.” [Online]. Available online: https://www.ema.europa.eu/en/ich-q9-quality-risk-management-scientific-guideline (accessed on 15 January 2026).
- Real Academia de Medicina. 2.9.34. Densidad aparente y densidad después de asentamiento de los polvos. In Real Farmacopea Española, 5th ed.; Ministerio de Sanidad y Consumo: Madrid, Spain, 2023. [Google Scholar]
- Real Academia de Medicina. 2.9.36. Flujo de polvo. In Real Farmacopea Española, 5th ed.; Ministerio de Sanidad y Consumo: Madrid, Spain, 2023. [Google Scholar]
- Real Academia de Medicina. 2.9.5 Uniformidad de masa de las preparaciones presentadas en dosis únicas. In Real Farmacopea Española, 5th ed.; Ministerio de Sanidad y Consumo: Madrid, Spain, 2023. [Google Scholar]
- Real Academia de Medicina. 2.9.7. Friabilidad de los comprimidos no recubiertos. In Real Farmacopea Española, 5th ed.; Ministerio de Sanidad y Consumo: Madrid, Spain, 2023. [Google Scholar]
- Real Academia de Medicina. 2.9.1. Disgregación de comprimidos y cápsulas. In Real Farmacopea Española, 5th ed.; Ministerio de Sanidad y Consumo: Madrid, Spain, 2023. [Google Scholar]
- Nokhodchi, A.; Raja, S.; Patel, P.; Asare-Addo, K. The role of oral controlled release matrix tablets in drug delivery systems. BioImpacts 2012, 2, 175–187. [Google Scholar] [CrossRef][Green Version]
- Real Academia de Medicina. 2.9.6. Uniformidad de contenido de las preparaciones unidosis. In Real Farmacopea Española, 5th ed.; Ministerio de Sanidad y Consumo: Madrid, Spain, 2023. [Google Scholar]
- Step. Committee for Human Medicinal Products ICH Guideline Q8 (R2) on Pharmaceutical Development. 2017. [Online]. Available online: https://www.ema.europa.eu/en/ich-q8-r2-pharmaceutical-development-scientific-guideline (accessed on 15 January 2026).
- Real Academia de Medicina. 2.9.3. Ensayo de disolución de las formas farmacéuticas sólidas. In Real Farmacopea Española, 6th ed.; Ministerio de Sanidad y Consumo: Madrid, Spain, 2023. [Google Scholar]
- Ahmed, T.A.; Suhail, M.A.A.; Hosny, K.M.; Abd-Allah, F.I. Clinical pharmacokinetic study for the effect of glimepiride matrix tablets developed by quality by design concept. Drug Dev. Ind. Pharm. 2017, 44, 66–81. [Google Scholar] [CrossRef] [PubMed]
- Mujtaba, A.; Kohli, K. In vitro/in vivo evaluation of HPMC/alginate based extended-release matrix tablets of cefpodoxime proxetil. Int. J. Biol. Macromol. 2016, 89, 434–441. [Google Scholar] [CrossRef] [PubMed]
- Karvekar, M.; Khan, A.B. A Brief Review on Sustained Release Matrix Type Drug Delivery System. J. Pharm. Res. 2017, 16, 282. [Google Scholar] [CrossRef]
- Cho, J.; Kim, D.; Yi, J.S.; Park, S. Microarchitecture of polyvinylidene fluoride-bound self-standing microporous layer and its implication to water management in fuel cells. J. Power Sources 2021, 506, 230129. [Google Scholar] [CrossRef]
- Malik, F.D.; Singh, I. Formulation and evaluation of press coated tablets of esomeprazole for colonic delivery. Asian J. Pharm. 2012, 6, 252. [Google Scholar] [CrossRef]
- Hadi, M.A.; Rao, N.G.R.; Rao, A.S. Formulation and evaluation of pH-responsive mini-tablets for ileo-colonic targeted drug delivery. Trop. J. Pharm. Res. 2014, 13, 1021. [Google Scholar] [CrossRef]
- Piao, Z.Z.; Lee, K.-H.; Kim, D.-J.; Lee, H.-G.; Lee, J.; Oh, K.T.; Lee, B.-J. Comparison of release-controlling efficiency of polymeric coating materials using matrix-type casted films and diffusion-controlled coated tablet. AAPS PharmSciTech 2010, 11, 630–636. [Google Scholar] [CrossRef] [PubMed]
- Barmpalexis, P.; Kachrimanis, K.; Malamataris, S. Statistical moments in modelling of swelling, erosion and drug release of hydrophilic matrix-tablets. Int. J. Pharm. 2018, 540, 1–10. [Google Scholar] [CrossRef]
- Mustafa, W.W.; Fletcher, J.; Khoder, M.; Alany, R.G. Solid Dispersions of Gefitinib Prepared by Spray Drying with Improved Mucoadhesive and Drug Dissolution Properties. AAPS PharmSciTech 2022, 23, 48. [Google Scholar] [CrossRef]
- Sonar, G.S.; Rawat, S. Formulation and design of Multiunit particulate system (MUPS) tablet of Pantoprazole by QbD: Effect of compression variables on the finished product. J. Appl. Pharm. Sci. 2015, 5, 91–100. [Google Scholar] [CrossRef]
- El Gamal, S.S.; Naggar, V.F.; Allam, A.N. Optimization of acyclovir oral tablets based on gastroretention technology: Factorial design analysis and physicochemical characterization studies. Drug Dev. Ind. Pharm. 2011, 37, 855–867. [Google Scholar] [CrossRef]









| Formulations | Composition (% w/w) | |||
|---|---|---|---|---|
| Pantoprazole | HPMC | Eudragit® S 100 | Compritol® 888 ATO | |
| F1 | 16 | 65 | 15 | 4 |
| F2 | 16 | 60 | 20 | 4 |
| F3 | 16 | 55 | 25 | 4 |
| F4 | 16 | 50 | 30 | 4 |
| F5 | 16 | 45 | 35 | 4 |
| F6 | 16 | 40 | 40 | 4 |
| F7 | 16 | 30 | 50 | 4 |
| F8 | 16 | 20 | 60 | 4 |
| F9 | 16 | 15 | 65 | 4 |
| Kinetics Model | Main Equation | Linear Graphical Representation | Refs. |
|---|---|---|---|
| Zero-Order | Qt = k0⋅t | Qt vs. t | [27,28,29] |
| First-Order | log(Qr) = log(Q0) − 2.303k1⋅t | log(Qr) vs. t | [29] |
| Higuchi | Qt = kH⋅t | Qt vs. t | [5,29] |
| Hixson–Crowell | 3Qr vs. t | [30] | |
| Korsmeyer–Peppas | log(M∞Mt) vs. log(t) | [12,30] |
| Formulation | Angle of Repose | Bulk Density (g/mL) | Tapped Density (g/mL) | Carr’s Index (%) | Hausner’s Ratio |
|---|---|---|---|---|---|
| F1 | 17.62 ± 0.07 | 0.48 ± 0.05 | 0.535 ± 0.01 | 9.52 ± 0.15 | 1.10 ±0.05 |
| F2 | 24.56 ± 0.09 | 0.45 ± 0.03 | 0.568 ± 0.04 | 20.00 ± 0.14 | 1.25 ± 0.03 |
| F3 | 20.56 ± 0.10 | 0.73 ± 0.09 | 0.97 ± 0.06 | 24.39 ± 0.14 | 1.32 ± 0.03 |
| F4 | 20.03 ± 0.07 | 0.45 ± 0.03 | 0.55 ± 0.07 | 18.40 ± 0.11 | 1.22 ± 0.03 |
| F5 | 21,91 ± 0.19 | 0.45 ± 0.04 | 0.50 ± 0.02 | 11.11 ± 0.13 | 1.125 ± 0.01 |
| F6 | 26.97 ± 0.08 | 0.48 + 0.04 | 0.55 ± 0.02 | 11.36 ± 0.15 | 1.13 ± 0.06 |
| F7 | 16.02 ± 0.08 | 0.43 ± 0.01 | 0.49 ± 0.05 | 12.00 ± 0.15 | 1.13 ± 0.04 |
| F8 | 17.56 ± 0.05 | 0.36 + 0.02 | 0.47 ± 0.02 | 23.81 ± 0.12 | 1.31 ± 0.01 |
| F9 | 13.30 ± 0.06 | 0.44 ± 0.05 | 0.55 ± 0.09 | 21.15 ± 0.13 | 1.26 ± 0.05 |
| Samples | Tonset (fusion)/C° | Tpeak(fusion)/C° | ∆Hfusion/Jg−1 | Reported Melting Point |
|---|---|---|---|---|
| Pantoprazole | 136.22 | 140.49 | 88.99 | [25] |
| HPMC | 125.79 | 119.79 | 66.75 | [26] |
| Eudragit® S 100 | 161.35 | 162.72 | 47.28 | [1] |
| Compritol® 888 ATO | 69.98 | 75.86 | 115.51 | [24] |
| Formulation | Hardness (kg/cm2) ± SD | Friability (%) | Weight Variation (mg) ± SD | Thickness ± SD | Diameter ± SD |
|---|---|---|---|---|---|
| F1 | 82.8 ± 5.6 a | 0.17 ± 0.09 a | 128.1 ± 4.14 a | 6.026 ± 0.010 | 4.27 ± 0.110 |
| F2 | 87.08 ± 6.2 a | 0.31 ± 0.08 ab | 126.15 ± 5.19 a | 6.022 ± 0.038 | 4.27 ± 0.110 |
| F3 | 85.35 ± 8.02 a | 0.16 ± 0.10 bc | 126.65 ± 3.21 a | 6.028 ± 0.037 | 4.26 ± 0.085 |
| F4 | 84.57 ± 7.95 a | 0.09 ± 0.11 c | 127.1 ± 3.85 a | 5.99 ± 0.009 | 4.14 ± 0.150 |
| F5 | 96.95 ± 4.52 b | 0.22 ± 0.07 c | 124.2 ± 3.02 a | 5.99 ± 0.017 | 4.13 ± 0.144 |
| F6 | 76.57 ± 6.58 a | 0.15 ± 0.08 c | 127.2 ± 2.78 a | 6.05 ± 0.007 | 4.16 ± 0.133 |
| F7 | 87.25 ± 8.09 a | 0.15 ± 0.09 c | 124.3 ± 3.31 a | 6.00 ± 0.013 | 4.14 ± 0.020 |
| F8 | 76.88 ± 8.61 a | 0.56 ± 0.12 c | 124.45± 2.85 a | 6.00 ± 0.002 | 4.17 ± 0.13 |
| F9 | 94.46 ± 10.17 c | 0.66 ± 0.14 c | 126.05 ± 3.79 a | 6.00 ± 0.007 | 4.15 ± 0.013 |
| Formulation | Zero-Order Kinetics | First-Order Kinetics | Higuchi | Hixson–Crowell | Korsmeyer–Peppas | |||||
|---|---|---|---|---|---|---|---|---|---|---|
| K1 | R2 | K1 | R2 | Kh | R2 | Khc | R2 | n | R2 | |
| F1 | 1.78 | 0.91 | 0.01 | 0.99 | 11.49 | 0.98 | 0.04 | 0.99 | 0.43 | 1.00 |
| F2 | 2.94 | 0.92 | 0.03 | 0.88 | 17.36 | 0.96 | 0.09 | 0.99 | 0.6 | 0.98 |
| F3 | 1.36 | 0.73 | 0.01 | 0.80 | 9.29 | 0.87 | 0.03 | 0.78 | 0.37 | 0.93 |
| F4 | 39.54 | - | 0.23 | - | 95.38 | - | 0.88 | - | 1.53 | - |
| F5 | 24.80 | - | 0.21 | - | 59.87 | - | 0.59 | - | 0.78 | - |
| F6 | 12.82 | 0.95 | 0.13 | 0.94 | 39.13 | 0.95 | 0.30 | 0.93 | 0.68 | 0.97 |
| F7 | 21.86 | - | 0.01 | - | 12.94 | - | 0.09 | - | 0.77 | - |
| F8 | 1.51 | 0.5 | 0.07 | 0.86 | 10.57 | 0.62 | 0.05 | 0.61 | 0.31 | 0.70 |
| F9 | 1.62 | 0.59 | 0.02 | 0.81 | 11.1 | 0.71 | 0.05 | 0.74 | 0.28 | 0.78 |
Disclaimer/Publisher’s Note: The statements, opinions and data contained in all publications are solely those of the individual author(s) and contributor(s) and not of MDPI and/or the editor(s). MDPI and/or the editor(s) disclaim responsibility for any injury to people or property resulting from any ideas, methods, instructions or products referred to in the content. |
© 2026 by the authors. Licensee MDPI, Basel, Switzerland. This article is an open access article distributed under the terms and conditions of the Creative Commons Attribution (CC BY) license.
Share and Cite
Pardo, H.; Peña, M.Á.; Martínez-Alonso, B.; Torrado-Salmerón, C.; Guarnizo-Herrero, V. Polymeric Matrix Mini-Tablets Based on Eudragit® S 100 and HPMC for Controlled Release of Pantoprazole. Pharmaceutics 2026, 18, 327. https://doi.org/10.3390/pharmaceutics18030327
Pardo H, Peña MÁ, Martínez-Alonso B, Torrado-Salmerón C, Guarnizo-Herrero V. Polymeric Matrix Mini-Tablets Based on Eudragit® S 100 and HPMC for Controlled Release of Pantoprazole. Pharmaceutics. 2026; 18(3):327. https://doi.org/10.3390/pharmaceutics18030327
Chicago/Turabian StylePardo, Hugo, Mª Ángeles Peña, Borja Martínez-Alonso, Carlos Torrado-Salmerón, and Víctor Guarnizo-Herrero. 2026. "Polymeric Matrix Mini-Tablets Based on Eudragit® S 100 and HPMC for Controlled Release of Pantoprazole" Pharmaceutics 18, no. 3: 327. https://doi.org/10.3390/pharmaceutics18030327
APA StylePardo, H., Peña, M. Á., Martínez-Alonso, B., Torrado-Salmerón, C., & Guarnizo-Herrero, V. (2026). Polymeric Matrix Mini-Tablets Based on Eudragit® S 100 and HPMC for Controlled Release of Pantoprazole. Pharmaceutics, 18(3), 327. https://doi.org/10.3390/pharmaceutics18030327

