Sign in to use this feature.

Years

Between: -

Subjects

remove_circle_outline
remove_circle_outline
remove_circle_outline
remove_circle_outline
remove_circle_outline
remove_circle_outline
remove_circle_outline
remove_circle_outline
remove_circle_outline

Journals

remove_circle_outline
remove_circle_outline
remove_circle_outline
remove_circle_outline
remove_circle_outline
remove_circle_outline
remove_circle_outline
remove_circle_outline
remove_circle_outline
remove_circle_outline

Article Types

Countries / Regions

Search Results (250)

Search Parameters:
Keywords = human physiology in space

Order results
Result details
Results per page
Select all
Export citation of selected articles as:
33 pages, 9239 KB  
Article
From Sensory Experience to Community Activation: The Impact and Enhancement Pathways of Sensory Stimulation in Public Art on Residents’ Participation
by Yitong Shen, Ran Tan and Shengju Li
Buildings 2025, 15(19), 3535; https://doi.org/10.3390/buildings15193535 - 1 Oct 2025
Abstract
Within the context of urban sustainability, the renewal and activation of communities have received growing attention. Public art, as a common approach to community revitalization, has long been regarded as an effective means of addressing urban and community issues. Basic human senses serve [...] Read more.
Within the context of urban sustainability, the renewal and activation of communities have received growing attention. Public art, as a common approach to community revitalization, has long been regarded as an effective means of addressing urban and community issues. Basic human senses serve as a bridge between residents and community spaces, offering an effective entry point for creating human-oriented spaces. This study addresses the challenge of insufficient spatial vitality in community spaces by examining how sensory interventions can enhance residents’ participation in public art and thereby contribute to the revitalization of communities. To guide this inquiry, a theoretical framework was constructed based on sensory marketing theory and the Stimulus–Organism–Response (SOR) model, focusing on three core dimensions: sensory stimuli, perceptual responses, and behavioral intention. The study further investigated the relationship between public art and residents’ willingness to participate through five types of sensory stimuli, using a measurement scale and Structural Equation Modeling (SEM), with eight public art installations in Shanghai serving as case references. It also assessed the relative strength of each effect. Participant interviews and non-participatory observations were subsequently conducted for validation and supplementary analysis. The results show that residents’ participation willingness in community public art is directly influenced by perceptual responses (emotional fluctuations, cognitive memory, and physiological responses), and indirectly influenced by different sensory stimuli. Cognitive memory, shaped mainly by olfactory and visual stimuli, emerged as the most important factor in encouraging participation. Participation willingness also varies across generations, and different sensory stimuli are associated with distinct participation patterns. Based on empirical data from Shanghai’s community activation practices, the study proposes implementation strategies guided by the Theory of Planned Behavior (TPB) to enhance spatial vitality, promote community activation, and support sustainable development. Full article
17 pages, 1475 KB  
Systematic Review
Exploring Neuroscientific Approaches to Architecture: Design Strategies of the Built Environment for Improving Human Performance
by Erminia Attaianese, Morena Barilà and Mariangela Perillo
Buildings 2025, 15(19), 3524; https://doi.org/10.3390/buildings15193524 - 1 Oct 2025
Abstract
Since the 1960s, theories on the relationship between people and their environment have explored how elements of the built environment may directly or indirectly influence human behavior. In this context, neuroarchitecture is emerging as an interdisciplinary field that integrates neuroscience, architecture, environmental psychology, [...] Read more.
Since the 1960s, theories on the relationship between people and their environment have explored how elements of the built environment may directly or indirectly influence human behavior. In this context, neuroarchitecture is emerging as an interdisciplinary field that integrates neuroscience, architecture, environmental psychology, and cognitive science, with the aim of providing empirical evidence on how architectural spaces affect the human brain. This study investigates the potential of neuroarchitecture to inform environmental design by clarifying its current conceptual framework, examining its practical applications, and identifying the context in which it is being implemented. Beginning with an in-depth analysis of the definition of neuroarchitecture, its theoretical foundations, and the range of interpretations within the academic community, the study then offers a critical review of its practical applications across various design fields. By presenting a comprehensive overview of this emerging discipline, the study also summarizes the measurement techniques commonly employed in related research and critically evaluates design criteria based on observed human responses. Ultimately, neuroarchitecture represents a promising avenue for creating environments that deliberately enhance psychological and physiological well-being, paving the way toward truly human-centered design. Nevertheless, neuroarchitecture is still an emerging experimental field, which entails significant limitations. The experiments conducted are still limited to virtual reality and controlled experimental contexts. In addition, small and heterogeneous population samples have been tested, without considering human variability. Full article
Show Figures

Figure 1

16 pages, 950 KB  
Article
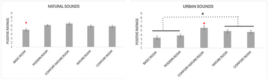
Calm by Design: Nature-Inspired Rooms Reduce Electrodermal Activity Levels
by Mariachiara Rapuano, Francesco Ruotolo, Loreta Cannito, Massimiliano Masullo, Federico Cioffi, Gennaro Ruggiero, Luigi Maffei, Fabiola Capitelli and Tina Iachini
Buildings 2025, 15(19), 3466; https://doi.org/10.3390/buildings15193466 - 25 Sep 2025
Abstract
In the study of person-environment interaction, a well-established research field provided evidence on the power of natural environments and natural built spaces to improve human well-being. However, urban life or certain health conditions may make access to natural environments more difficult. This begs [...] Read more.
In the study of person-environment interaction, a well-established research field provided evidence on the power of natural environments and natural built spaces to improve human well-being. However, urban life or certain health conditions may make access to natural environments more difficult. This begs the question: is it possible to replicate the positive effects of green environments in interior spaces? To answer the question, here we manipulated the acoustic and visual features of five rooms to have nature-inspired indoor environments and urban-like indoor environments. To test the effect of these environmental features on people’s well-being two measures were taken into account: participants’ emotional state and participants’ physiological states (i.e., electrodermal activity levels). The results showed that nature-inspired rooms evoked more positive emotional states and led to decreased levels of electrodermal activity (i.e., relaxation) in participants. The findings align with so-called biophilia interior design, a practical perspective focused on the importance of bringing nature (e.g., colours and materiality) into built environments for optimising people’s health and well-being. Full article
(This article belongs to the Section Building Energy, Physics, Environment, and Systems)
Show Figures

Figure 1

32 pages, 2128 KB  
Article
Stochastic Biomechanical Modeling of Human-Powered Electricity Generation: A Comprehensive Framework with Advanced Monte Carlo Uncertainty Quantification
by Qirui Ding and Weicheng Cui
Energies 2025, 18(18), 4821; https://doi.org/10.3390/en18184821 - 10 Sep 2025
Viewed by 338
Abstract
Human-powered electricity generation (HPEG) systems offer promising sustainable energy solutions, yet existing deterministic models fail to capture the inherent variability in human biomechanical performance. This study develops a comprehensive stochastic framework integrating advanced Monte Carlo uncertainty quantification with multi-component fatigue modeling and Pareto [...] Read more.
Human-powered electricity generation (HPEG) systems offer promising sustainable energy solutions, yet existing deterministic models fail to capture the inherent variability in human biomechanical performance. This study develops a comprehensive stochastic framework integrating advanced Monte Carlo uncertainty quantification with multi-component fatigue modeling and Pareto optimization. The framework incorporates physiological parameter vectors, kinematic variables, and environmental factors through multivariate distributions, addressing the complex stochastic nature of human power generation. A novel multi-component efficiency function integrates biomechanical, coordination, fatigue, thermal, and adaptation effects, while advanced fatigue dynamics distinguish between peripheral muscular, central neural, and substrate depletion mechanisms. Experimental validation (623 trials, 7 participants) demonstrates RMSE of 3.52 W and CCC of 0.996. Monte Carlo analysis reveals mean power output of 97.6 ± 37.4 W (95% CI: 48.4–174.9 W) with substantial inter-participant variability (CV = 37.6%). Pareto optimization identifies 19 non-dominated solutions across force-cadence space, with maximum power configuration achieving 175.5 W at 332.7 N and 110.4 rpm. This paradigm shift provides essential foundations for next-generation HPEG implementations across emergency response, off-grid communities, and sustainable infrastructure applications. The framework thus delivers dual contributions: advancing stochastic uncertainty quantification methodologies for complex biomechanical systems while enabling resilient decentralized energy solutions critical for sustainable development and climate adaptation strategies. Full article
Show Figures

Figure 1

17 pages, 2861 KB  
Article
High-Accuracy Lower-Limb Intent Recognition: A KPCA-ISSA-SVM Approach with sEMG-IMU Sensor Fusion
by Kaiyang Yin, Pengchao Hao, Huanli Zhao, Pengyu Lou and Yi Chen
Biomimetics 2025, 10(9), 609; https://doi.org/10.3390/biomimetics10090609 - 10 Sep 2025
Viewed by 407
Abstract
Accurately decoding human locomotion intention from physiological signals remains a significant hurdle for the seamless control of advanced rehabilitation devices like exoskeletons and intelligent prosthetics. Conventional recognition methods often falter, exhibiting limited accuracy and struggling to capture the complex, nonlinear dynamics inherent in [...] Read more.
Accurately decoding human locomotion intention from physiological signals remains a significant hurdle for the seamless control of advanced rehabilitation devices like exoskeletons and intelligent prosthetics. Conventional recognition methods often falter, exhibiting limited accuracy and struggling to capture the complex, nonlinear dynamics inherent in biological data streams. Addressing these critical limitations, this study introduces a novel framework for lower-limb motion intent recognition, integrating Kernel Principal Component Analysis (KPCA) with a Support Vector Machine (SVM) optimized via an Improved Sparrow Search Algorithm (ISSA). Our approach commences by constructing a comprehensive high-dimensional feature space from synchronized surface electromyography (sEMG) and inertial measurement unit (IMU) data—a potent combination reflecting both muscle activation and limb kinematics. Critically, KPCA is employed for nonlinear dimensionality reduction; leveraging the power of kernel functions, it transcends the linear constraints of traditional PCA to extract low-dimensional principal components that retain significantly more discriminative information. Furthermore, the Sparrow Search Algorithm (SSA) undergoes three strategic enhancements: chaotic opposition-based learning for superior population diversity, adaptive dynamic weighting to adeptly balance exploration and exploitation, and hybrid mutation strategies to effectively mitigate premature convergence. This enhanced ISSA meticulously optimizes the SVM hyperparameters, ensuring robust classification performance. Experimental validation, conducted on a challenging 13-class lower-limb motion dataset, compellingly demonstrates the superiority of the proposed KPCA-ISSA-SVM architecture. It achieves a remarkable recognition accuracy of 95.35% offline and 93.3% online, substantially outperforming conventional PCA-SVM (91.85%) and standalone SVM (89.76%) benchmarks. This work provides a robust and significantly more accurate solution for intention perception in human–machine systems, paving the way for more intuitive and effective rehabilitation technologies by adeptly handling the nonlinear coupling characteristics of sEMG-IMU data and complex motion patterns. Full article
Show Figures

Figure 1

31 pages, 1804 KB  
Review
Immune System–Tumor Crosstalk Under Microgravity: Mechanistic Insights, Challenges, and Translational Perspectives
by Seyedesomaye Jasemi, Elena Rita Simula, Yao Lin, Rosanna Rita Satta, Corrado Rubino, Antonio Cossu, Milena Fais, Marta Noli and Leonardo A. Sechi
Cancers 2025, 17(17), 2737; https://doi.org/10.3390/cancers17172737 - 23 Aug 2025
Cited by 1 | Viewed by 812
Abstract
Despite notable progress in cancer therapy, immune evasion remains a major obstacle to effective treatment outcomes. In the context of spaceflight, astronauts are exposed to unique environmental stressors—particularly microgravity and radiation—that profoundly affect cellular and immune homeostasis. Emerging evidence suggests that microgravity alters [...] Read more.
Despite notable progress in cancer therapy, immune evasion remains a major obstacle to effective treatment outcomes. In the context of spaceflight, astronauts are exposed to unique environmental stressors—particularly microgravity and radiation—that profoundly affect cellular and immune homeostasis. Emerging evidence suggests that microgravity alters key cellular processes, including proliferation, apoptosis, adhesion, and oncogenic signaling pathways such as NF-κB and ERK1/2. Concurrently, microgravity (µg) disrupts immune regulation, potentially facilitating both tumor progression and treatment resistance. Of particular concern is the upregulation of human endogenous retroviruses (HERVs), especially HERV-K and HERV-W, under µg conditions, which may exacerbate inflammatory responses and immune system dysregulation. While some studies indicate that µg may impair tumor growth, others reveal enhanced immune evasion and reduced antitumor immunity. Importantly, insights from µg research extend beyond space medicine and provide translational opportunities for terrestrial oncology, including the development of physiologically relevant 3D tumor models for drug screening, the identification of mechano-sensitive pathways (FAK/RhoA, YAP/TAZ) as therapeutic targets, and novel immunotherapeutic strategies involving epigenetic modulation and checkpoint inhibition. This review critically examines the dual role of µg in modulating cancer progression and immune function. We synthesize findings on how µg shapes immune responses, alters tumor–immune system interactions, and impacts the efficacy of immunotherapeutic approaches. Finally, we highlight translational opportunities and challenges for optimizing cancer immunotherapy and precision oncology in both spaceflight and Earth-based environments. Full article
(This article belongs to the Special Issue Cancer-Therapy-Related Adverse Events (2nd Edition))
Show Figures

Figure 1

32 pages, 2403 KB  
Article
Beyond Storytime: Oklahoma Public Libraries’ Comprehensive Approach to the Resilience of Refugee Children and Their Families Support
by Salma Akter and Suchismita Bhattacharjee
Int. J. Environ. Res. Public Health 2025, 22(8), 1298; https://doi.org/10.3390/ijerph22081298 - 19 Aug 2025
Viewed by 1121
Abstract
Public libraries serve as vital community hubs that foster engagement, empowerment, and education, particularly for vulnerable populations, including refugee children and families. This study examines how Oklahoma’s public libraries contribute to refugee resilience and identifies challenges they face in providing these essential services. [...] Read more.
Public libraries serve as vital community hubs that foster engagement, empowerment, and education, particularly for vulnerable populations, including refugee children and families. This study examines how Oklahoma’s public libraries contribute to refugee resilience and identifies challenges they face in providing these essential services. Using a qualitative method approach, including 20 semi-structured interviews with library staff, questionnaire surveys, and observations conducted across three Oklahoma library systems (Metropolitan, Pioneer, and Tulsa City-County) the study explored programs, services, and strategies that support refugee adaptation and integration. Findings reveal that libraries excel in three key areas: cognitive services (language literacy, digital access, educational resources), socio-cultural services (community building, cultural exchange), and physiological services (safe spaces, welcoming environments). These services contribute to building human, social, and economic capital, with human capital consistently ranked as most crucial for refugee resilience. However, libraries face significant challenges, with language barriers, program gaps, and outreach limitations being the most prevalent obstacles. Additional barriers include facility constraints, transportation difficulties, resource limitations, and privacy concerns. The study proposes nine comprehensive guidelines for creating sustainable pathways to refugee resilience through enhanced library services, emphasizing proactive community engagement, staff training, multilingual resources, advocacy, strategic partnerships, tailored programming, transportation solutions, cultural competence, and welcoming environments. This study contributes to understanding how public libraries can function as inclusive institutions that support refugee children’s successful integration and development in their new communities. Full article
Show Figures

Figure 1

34 pages, 2311 KB  
Review
Decoding Stress Responses in Farmed Crustaceans: Comparative Insights for Sustainable Aquaculture Management
by Fitriska Hapsari, Muhammad Agus Suprayudi, Dean M. Akiyama, Julie Ekasari, Parisa Norouzitallab and Kartik Baruah
Biology 2025, 14(8), 920; https://doi.org/10.3390/biology14080920 - 23 Jul 2025
Viewed by 1499
Abstract
Aquaculture is a crucial food-producing sector that can supply more essential nutrients to nourish the growing human population. However, it faces challenges, including limited water quality and space competition. These constraints have led to the intensification of culture systems for more efficient resource [...] Read more.
Aquaculture is a crucial food-producing sector that can supply more essential nutrients to nourish the growing human population. However, it faces challenges, including limited water quality and space competition. These constraints have led to the intensification of culture systems for more efficient resource use while maintaining or increasing production levels. However, intensification introduces stress risks to cultured organisms by, for instance, overcrowding, waste accumulation, and water quality deterioration, which can negatively affect the growth, health, and immunity of animals and cause diseases. Additionally, environmental changes due to climate and anthropogenic activities further intensify the environmental stress for aquaculture organisms, including crustaceans. Shrimp are one of the most widely cultured and consumed farmed crustacea. Relative to aquatic vertebrates such as fish, the physiology of crustaceans has simpler physiological structures, as they lack a spinal cord. Consequently, their stress response mechanisms follow a single pathway, resulting in less complex responses to stress exposure compared to those of fish. While stress is considered a primary factor influencing the growth, health, and immunity of shrimp, comprehensive research on crustacean stress responses remains limited. Understanding the stress response at the organismal and cellular levels is essential to identify sensitive and effective stress biomarkers which can inform the development of targeted intervention strategies to mitigate stress. This review provides a comprehensive overview of the physiological changes that occur in crustaceans under stress, including hormonal, metabolic, hematological, hydromineral, and phenotypic alterations. By synthesizing current knowledge, this article aims to bridge existing gaps and provide insights into the stress response mechanisms, paving the way for advancements in crustacean health management. Full article
(This article belongs to the Section Marine Biology)
Show Figures

Figure 1

13 pages, 634 KB  
Review
Microgravity Therapy as Treatment for Decelerated Aging and Successful Longevity
by Nadine Mozalbat, Lital Sharvit and Gil Atzmon
Int. J. Mol. Sci. 2025, 26(13), 6544; https://doi.org/10.3390/ijms26136544 - 7 Jul 2025
Viewed by 1584
Abstract
Aging is a complex biological process marked by a progressive decline in cellular function, leading to age-related diseases such as neurodegenerative disorders, cancer, and cardiovascular diseases. Despite significant advancements in aging research, finding effective interventions to decelerate aging remains a challenge. This review [...] Read more.
Aging is a complex biological process marked by a progressive decline in cellular function, leading to age-related diseases such as neurodegenerative disorders, cancer, and cardiovascular diseases. Despite significant advancements in aging research, finding effective interventions to decelerate aging remains a challenge. This review explores microgravity as a novel therapeutic approach to combat aging and promote healthy longevity. The hallmarks of aging, including genomic instability, telomere shortening, and cellular senescence, form the basis for understanding the molecular mechanisms behind aging. Interestingly, microgravity has been shown to accelerate aging-like processes in model organisms and human tissues, making it an ideal environment for studying aging mechanisms in an accelerated manner. Spaceflight studies, such as NASA’s Twins Study and experiments aboard the International Space Station (ISS), reveal striking parallels between the physiological changes induced by microgravity and those observed in aging populations, including muscle atrophy, bone density loss, cardiovascular deconditioning, and immune system decline in a microgravity environment. However, upon microgravity recovery, cellular behavior, gene expression, and tissue regeneration were seen, providing vital insights into aging mechanisms and prospective therapeutic approaches. This review examines the potential of microgravity-based technologies to pioneer novel strategies for decelerating aging and enhancing healthspan under natural gravity, paving the way for breakthroughs in longevity therapies. Full article
(This article belongs to the Section Molecular Endocrinology and Metabolism)
Show Figures

Figure 1

25 pages, 5011 KB  
Review
Mapping Soundscape Research: Authors, Institutions, and Collaboration Networks
by Andy W. L. Chung and Wai Ming To
Acoustics 2025, 7(2), 38; https://doi.org/10.3390/acoustics7020038 - 19 Jun 2025
Cited by 1 | Viewed by 1962
Abstract
Soundscape is the sonic environment that a living being, like a human or animal, experiences in a certain setting. It affects how a space functions and how the being perceives its quality. Consequently, the soundscape is crucial in ecosystems globally. In recent decades, [...] Read more.
Soundscape is the sonic environment that a living being, like a human or animal, experiences in a certain setting. It affects how a space functions and how the being perceives its quality. Consequently, the soundscape is crucial in ecosystems globally. In recent decades, researchers have explored soundscapes using various methodologies across different disciplines. This study aims to provide a brief overview of the soundscape research history, pinpoint key authors, institutions, and collaboration networks, and identify trends and main themes through a bibliometric analysis. A search in the Scopus database on 26 February 2025 found 5825 articles, reviews, and conference papers on soundscape published from 1985 to 2024. The analysis indicated a significant increase in soundscape publications, rising from 1 in 1985 to 19 in 2002, and reaching 586 in 2024. J. Kang was the most prolific author with 265 publications, while University College London emerged as the most productive institution. Co-citation analysis revealed three research groups: one focused on urban soundscapes, another on aquatic soundscapes, and a third on soundscapes in landscape ecology. The keyword co-occurrence analysis identified three themes: “soundscape(s), acoustic environment, and urban planning”, “noise, animal(s), bioacoustics, biodiversity, passive acoustic monitoring, fish, and bird(s)”, and “human(s), sound, perception, and physiology”. Full article
Show Figures

Figure 1

24 pages, 5980 KB  
Article
Performance Evaluation and Simulation Optimization of Outdoor Environmental Space in Communities Based on Subjective Comfort: A Case Study of Minhe Community in Qian’an City
by Yuefang Rong, Jian Song, Zhuofan Xu, Haoxi Lin, Jiakun Liu, Baiyi Yang and Shuhan Guo
Buildings 2025, 15(12), 2078; https://doi.org/10.3390/buildings15122078 - 17 Jun 2025
Viewed by 519
Abstract
With the continual expansion of global urbanization and population growth, urban energy demands have intensified, and anthropogenic activities have precipitated profound shifts in the global climate. These climatic changes directly alter urban environmental conditions, which in turn exert indirect effects on human physiological [...] Read more.
With the continual expansion of global urbanization and population growth, urban energy demands have intensified, and anthropogenic activities have precipitated profound shifts in the global climate. These climatic changes directly alter urban environmental conditions, which in turn exert indirect effects on human physiological function. Consequently, the comfort of outdoor community environments has emerged as a critical metric for assessing the quality of human habitation. Although existing studies have focused on improving singular environmental factors—such as wind or thermal comfort—they often lack an integrated, multi-factor coupling mechanism, and adaptive strategy systems tailored to hot-summer, cold-winter regions remain underdeveloped. This study examines the Minhe Community in Qian’an City to develop a performance evaluation framework for outdoor spaces grounded in subjective comfort and to close the loop from theoretical formulation to empirical validation via an interdisciplinary approach. We first synthesized 25 environmental factors across eight categories—including wind, thermal, and lighting parameters—and applied the Analytic Hierarchy Process (AHP) to establish factor weights, thereby constructing a comprehensive model that encompasses both physiological and psychological requirements. Field surveys, meteorological data collection, and ENVI-met (V5.1.1) microclimate simulations revealed pronounced issues in the community’s wind distribution, thermal comfort, and acoustic environment. In response, we proposed adaptive interventions—such as stratified vegetation design and permeable pavement installations—and validated their efficacy through further simulation. Post-optimization, the community’s overall comfort score increased from 4.64 to 5.62, corresponding to an efficiency improvement of 21.3%. The innovative contributions of this research are threefold: (1) transcending the limitations of single-factor analyses by establishing a multi-dimensional, coupled evaluation framework; (2) integrating AHP with ENVI-met simulation to realize a fully quantified “evaluation–simulation–optimization” workflow; and (3) proposing adaptive strategies with broad applicability for the retrofit of communities in hot-summer, cold-winter climates, thereby offering a practical technical pathway for urban microclimate enhancement. Full article
Show Figures

Figure 1

25 pages, 12268 KB  
Article
Modeling Growth Dynamics of Lemna minor: Process Optimization Considering the Influence of Plant Density and Light Intensity
by Jannis von Salzen, Finn Petersen, Andreas Ulbrich and Stefan Streif
Plants 2025, 14(11), 1722; https://doi.org/10.3390/plants14111722 - 5 Jun 2025
Viewed by 1064
Abstract
The production of duckweed (Lemnaceae) as a novel protein source could make a valuable contribution to human nutrition. The greatly reduced habitus of duckweed enables simple cultivation with extremely low space requirements, making this free-floating freshwater plant ideal for substrate-free and vertical cultivation [...] Read more.
The production of duckweed (Lemnaceae) as a novel protein source could make a valuable contribution to human nutrition. The greatly reduced habitus of duckweed enables simple cultivation with extremely low space requirements, making this free-floating freshwater plant ideal for substrate-free and vertical cultivation in controlled environment agriculture. Of particular importance in the design of a plant-producing Indoor Vertical Farming process is the determination of light intensity, as artificial lighting is generally the most energy-intensive feature of daylight-independent cultivation systems. In order to make the production process both cost-effective and low emission in the future, it is, therefore, crucial to understand and mathematically describe the primary metabolism, in particular the light utilization efficiency. To achieve this, a growth model was developed that mathematically describes the combined effects of plant density and light intensity on the growth rate of Lemna minor L. and physiologically explains the intraspecific competition of plants for light through mutual shading. Furthermore, the growth model can be utilized to derive environmental and process parameters, including optimum harvest quantities and efficiency-optimized light intensities to improve the production process. Full article
(This article belongs to the Special Issue Duckweed: Research Meets Applications—2nd Edition)
Show Figures

Figure 1

22 pages, 332 KB  
Review
Circadian Disruption and Sleep Disorders in Astronauts: A Review of Multi-Disciplinary Interventions for Long-Duration Space Missions
by Hongjie Zong, Yifei Fei and Ningang Liu
Int. J. Mol. Sci. 2025, 26(11), 5179; https://doi.org/10.3390/ijms26115179 - 28 May 2025
Cited by 1 | Viewed by 1698
Abstract
As humanity advances into deep space exploration, astronauts on long-duration missions face significant challenges posed by circadian rhythm disruptions and sleep disorders, which arise from extreme environmental stressors such as microgravity, ionizing radiation, and operational workload. These disruptions not only compromise physiological and [...] Read more.
As humanity advances into deep space exploration, astronauts on long-duration missions face significant challenges posed by circadian rhythm disruptions and sleep disorders, which arise from extreme environmental stressors such as microgravity, ionizing radiation, and operational workload. These disruptions not only compromise physiological and psychological health but also impair cognitive function and mission-critical performance. In this review, we summarized established countermeasures encompassing pharmacological interventions, light-based circadian regulation, and work–rest schedule optimization alongside innovative approaches such as gut microbiota modulation and traditional Chinese medicine. Full article
(This article belongs to the Special Issue The Importance of Molecular Circadian Rhythms in Health and Disease)
24 pages, 6031 KB  
Article
Control Method in Coordinated Balance with the Human Body for Lower-Limb Exoskeleton Rehabilitation Robots
by Li Qin, Zhanyi Xing, Jianghao Wang, Guangtong Lu and Houzhao Ji
Biomimetics 2025, 10(5), 324; https://doi.org/10.3390/biomimetics10050324 - 16 May 2025
Viewed by 608
Abstract
Ground walking training using a floating-base lower-limb exoskeleton rehabilitation robot improves patients’ dynamic balance function, thereby increasing their motor and daily life activity capabilities. We propose a balance-directed motion generator (BDMG) based on the principles of deep reinforcement learning. The reward function sub-components [...] Read more.
Ground walking training using a floating-base lower-limb exoskeleton rehabilitation robot improves patients’ dynamic balance function, thereby increasing their motor and daily life activity capabilities. We propose a balance-directed motion generator (BDMG) based on the principles of deep reinforcement learning. The reward function sub-components pertaining to physiological guidance and compliant assistance were designed to explore motion instructions that are harmoniously aligned with the human body’s balance correction mechanisms. To address the sparse rewards resulting from the above design, we introduce a stepwise training method that adjusts the reward function to control the model’s training direction and exploration difficulty. Based on the aforementioned generator, we construct a training and evaluation process database and design an abnormal command recognizer by extracting samples with diverse feature characteristics. Furthermore, we develop a sample generation optimizer to search for the optimal action combination within a closed space defined by abnormal commands and extremum points of physiological trajectories, thereby enabling the design of an abnormal instruction corrector. To validate the proposed approach, we implement a training simulation environment in MuJoCo and conduct experiments on the developed lower-limb exoskeleton system. Full article
(This article belongs to the Special Issue Advanced Service Robots: Exoskeleton Robots 2025)
Show Figures

Figure 1

24 pages, 5531 KB  
Article
Assessing the Effects of Exposure to Green Rooftop Spaces on Perceived Restorativeness: A Field Study in Xiamen, China
by Zhixiong Zhuo, Ke Ran and Liang Dong
Buildings 2025, 15(9), 1427; https://doi.org/10.3390/buildings15091427 - 24 Apr 2025
Cited by 1 | Viewed by 662
Abstract
Rapid urbanization is forcing the need to build urban environments that promote healthy and sustainable human settlements with a view to reducing the risks of various diseases. Previous studies have demonstrated that green rooftop spaces may stimulate restorative benefits and enhance their livability. [...] Read more.
Rapid urbanization is forcing the need to build urban environments that promote healthy and sustainable human settlements with a view to reducing the risks of various diseases. Previous studies have demonstrated that green rooftop spaces may stimulate restorative benefits and enhance their livability. However, this potential remains without empirical research support. To investigate the restoration of green rooftop spaces on human well-being, we conducted a field experiment using psychophysiology measurements. With the help of physiological indicators (SBP, DBP, HR, HRV) and psychological indicators (PRS, BPOMS), the changes of indicators in the experiment were analyzed. We recruited a total of 35 college students who were randomly assigned to one of four rooftop spaces for a field experiment. Physiological and psychological indicators were measured before and after recovery to analyze the effects of rooftop spaces on restorative benefits. Paired sample t-test results revealed that although there were differences in the physiological and psychological measurements related to environmental restorative benefits, both confirmed that green rooftop spaces exhibited stress-reduction effects on participants. Notably, all four rooftop spaces had psychophysiological restoration to varying degrees, with spaces featuring a higher degree of naturalness demonstrating better restoration. Furthermore, a grassy environment had effects on positive psychophysiological responses. Correlation analysis indicated that subjective perception evaluations of green rooftop spaces had positive effects on psychophysiological restoration. The results of the study are conducive to increasing awareness of the restorative value and potential of green rooftop spaces, which can be constructed by designers, thereby contributing to sustainable urban development. Full article
(This article belongs to the Section Architectural Design, Urban Science, and Real Estate)
Show Figures

Figure 1

Back to TopTop