Calm by Design: Nature-Inspired Rooms Reduce Electrodermal Activity Levels
Abstract
1. Introduction
- (1)
- In line with the literature, we expect rooms with close-to-nature characteristics to be evaluated more positively and induce lower levels of EDA (i.e., relaxation) compared to rooms with more urban characteristics.
- (2)
- Considering the role of sounds in environmental evaluation, we expect rooms to be evaluated more positively when accompanied by natural sounds, especially for environments evocative of urban settings.
- (3)
- Finally, we hypothesise that natural sounds lead to a decrease in EDA levels (e.g., [15]).
2. Materials and Methods
- Participants
- Immersive virtual reality equipment
- Visual Stimuli
- Acoustic Stimuli
- Multisensory scenarios
- Subjective emotional/mood state questionnaire
- EDA recording and data treatment
- Procedure
- Data Analysis
- (1)
- Two separate one-way ANOVAs on the mean of the three positive adjectives (calm, energetic, happy; positive dimension) and on the mean of the three negative adjectives (nervous, weak, sad; negative dimension) with Rooms (five levels: Basic, Modern, Comfort, Nature, Comfort-nature) as a factor.
- (2)
- A one-way ANOVA on the percentage variation of EDA levels from its baseline (Δ%) with Rooms (five levels: Basic, Modern, Comfort, Nature, Comfort-nature) as a factor. Then, to further explore the effect of sounds on participants’ subjective evaluations and EDA levels, we planned the following analyses distinguishing the rooms accompanied by natural sounds from those accompanied by urban sounds.
- (3)
- Four one-way ANOVAs on the mean of the three positive adjectives (calm, energetic, happy; positive dimension) and on the mean of the three negative adjectives (nervous, weak, sad; negative dimension) with Rooms (five levels: Basic, Modern, Comfort, Nature, Comfort-nature) as a factor were performed considering the multisensory scenarios with natural sounds and urban sounds separately.
- (4)
- Two one-way ANOVAs on the percentage variation of EDA level from its baseline (Δ%) with Rooms (five levels: Basic, Modern, Comfort, Nature, Comfort-nature) as factor were performed considering the multisensory scenarios with natural sounds and urban sounds separately.
3. Results
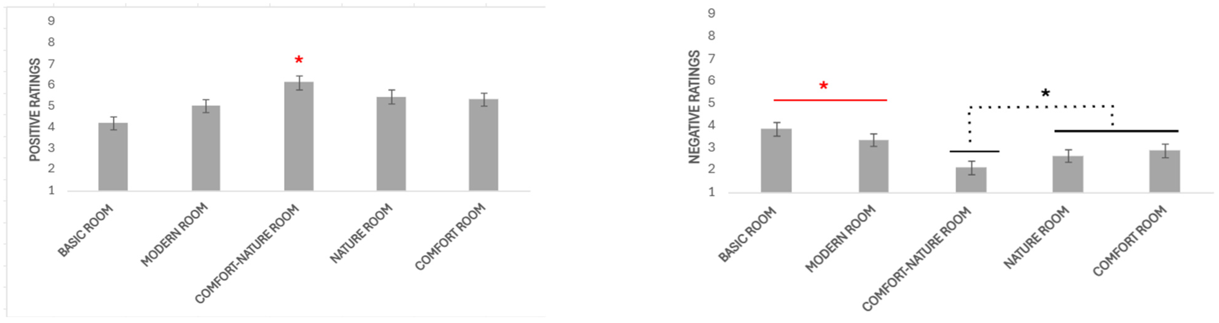
- Effect of nature-like and urban-like interior features on subjective evaluations of environments
- Effect of nature-like and urban-like interior features of environments on EDA levels
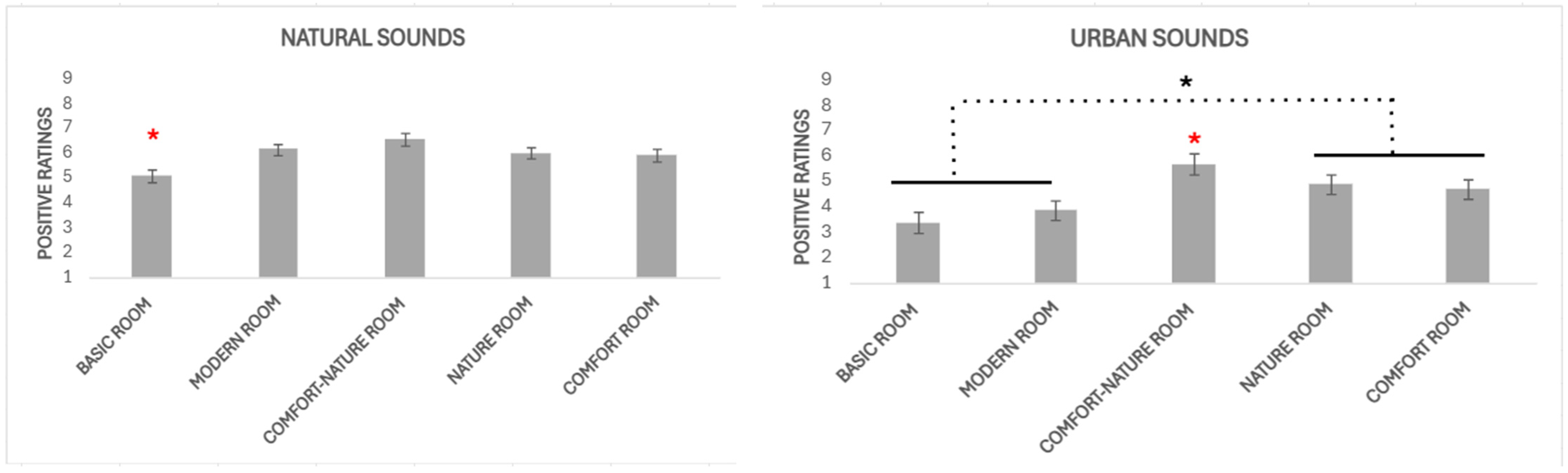
- Effect of sounds on subjective evaluations of environments
- EDA levels
4. Discussion
5. Conclusions
6. Limitations
Author Contributions
Funding
Data Availability Statement
Conflicts of Interest
References
- Galvez-Pol, A.; Nadal, M.; Kilner, J.M. Emotional representations of space vary as a function of peoples’ affect and interoceptive sensibility. Sci. Rep. 2021, 11, 16150. [Google Scholar] [CrossRef] [PubMed]
- Jiang, B.; Xu, W.; Ji, W.; Kim, G.; Pryor, M.; Sullivan, W.C. Impacts of nature and built acoustic-visual environments on human’s multidimensional mood states: A cross-continent experiment. J. Environ. Psychol. 2021, 77, 101659. [Google Scholar] [CrossRef]
- Rapuano, M.; Ruotolo, F.; Ruggiero, G.; Masullo, M.; Maffei, L.; Galderisi, A.; Palmieri, A.; Iachini, T. Spaces for relaxing, spaces for recharging: How parks affect people’s emotions. J. Environ. Psychol. 2022, 81, 101809. [Google Scholar] [CrossRef]
- Rapuano, M.; Sarno, M.; Ruotolo, F.; Ruggiero, G.; Iuliano, S.; Masullo, M.; Maffei, L.; Cioffi, F.; Iachini, T. Emotional reactions to different indoor solutions: The role of age. Buildings 2023, 13, 1737. [Google Scholar] [CrossRef]
- Ruotolo, F.; Rapuano, M.; Masullo, M.; Maffei, L.; Ruggiero, G.; Iachini, T. Well-being and multisensory urban parks at different ages: The role of interoception and audiovisual perception. J. Environ. Psychol. 2024, 93, 102219. [Google Scholar] [CrossRef]
- Zhang, J.W.; Howell, R.T.; Iyer, R. Engagement with natural beauty moderates the positive relation between connectedness with nature and psychological well-being. J. Environ. Psychol. 2014, 38, 55–63. [Google Scholar] [CrossRef]
- Ellard, C. Neuroscience, wellbeing, and urban design: Our universal attraction to vitality. Psychol. Res. Urban Soc. 2020, 3. [Google Scholar] [CrossRef]
- Mowen, A.J.; Hickerson, B.D.; Kaczynski, A.T. Beyond the Ribbon Cutting: Evaluating the Behavioral and Experiential Impacts of a Neighborhood Park Renovation. J. Park Recreat. Adm. 2013, 31, 57–77. [Google Scholar]
- Spence, C. Senses of place: Architectural design for the multisensory mind. Cogn. Res. Princ. Implic. 2020, 5, 46. [Google Scholar] [CrossRef] [PubMed]
- Kupfer, J.A. Theory in landscape ecology and its relevance to biogeography. In Handbook of Biogeography; SAGE: London, UK, 2011; pp. 57–74. [Google Scholar]
- Uzzell, D.; Romice, O. Analysing Environmental Experiences1. In Espaces de vie: Aspects de la Relation Homme-Environnement; Moser, G., Weiss, K., Eds.; Armand Colin: Paris, France, 2003; pp. 49–83. [Google Scholar]
- Nilsson, K.; Sangster, M.; Konijnendijk, C.C. Forests, trees and human health and well-being: Introduction. In Forests, Trees and Human Health; Springer: Dordrecht, The Netherlands, 2010; pp. 1–19. [Google Scholar]
- Van den Berg, M.; Van Poppel, M.; Van Kamp, I.; Andrusaityte, S.; Balseviciene, B.; Cirach, M.; Danileviciute, A.; Ellis, N.; Hurst, G.; Masterson, D.; et al. Visiting green space is associated with mental health and vitality: A cross-sectional study in four european cities. Health Place 2016, 38, 8–15. [Google Scholar] [CrossRef]
- Zhang, J.; Yu, Z.; Zhao, B.; Sun, R.; Vejre, H. Links between green space and public health: A bibliometric review of global research trends and future prospects from 1901 to 2019. Environ. Res. Lett. 2020, 15, 063001. [Google Scholar] [CrossRef]
- Alvarsson, J.J.; Wiens, S.; Nilsson, M.E. Stress recovery during exposure to nature sound and environmental noise. Int. J. Environ. Res. Public Health 2010, 7, 1036–1046. [Google Scholar] [CrossRef]
- Knaust, T.; Felnhofer, A.; Kothgassner, O.D.; Höllmer, H.; Gorzka, R.J.; Schulz, H. Exposure to virtual nature: The impact of different immersion levels on skin conductance level, heart rate, and perceived relaxation. Virtual Real. 2022, 26, 925–938. [Google Scholar] [CrossRef]
- Rapuano, M.; Ruotolo, F.; Ruggiero, G.; Cannito, L.; Capitelli, F.; Cioffi, F.; Masullo, M.; Maffei, L.; Iachini, T. Affective Evaluations of Rooms in Immersive Virtual Reality: The Effect of Naturalistic Elements. In Proceedings of the 2023 IEEE International Conference on Metrology for eXtended Reality, Artificial Intelligence and Neural Engineering (MetroXRAINE), Milano, Italy, 25–27 October 2023; pp. 933–938. [Google Scholar]
- Roe, J.J.; Aspinall, P.A.; Ward Thompson, C. Coping with stress in deprived urban neighborhoods: What is the role of green space according to life stage? Front. Psychol. 2017, 8, 1760. [Google Scholar] [CrossRef]
- Ward Thompson, C.; Aspinall, P.A. Natural environments and their impact on activity, health, and quality of life. Appl. Psychol. Health Well-Being 2011, 3, 230–260. [Google Scholar] [CrossRef]
- Ward Thompson, C. Landscape and Health special issue. Landsc. Res. 2016, 41, 591–597. [Google Scholar] [CrossRef]
- Kellert, S.; Wilson, E.O. The Biophilia Hypothesis; Island Press: Washington, DC, USA, 1993. [Google Scholar]
- Kellert, S.R. Biodiversity, quality of life, and evolutionary psychology. In Biodiversity Change and Human Health: From Ecosystem Services to Spread of Disease; Sala, O.E., Meyerson, L.A., Parmesan, C., Eds.; Island Press: Washington, DC, USA, 2009; pp. 98–128. [Google Scholar]
- Wilson, E.O. Biophilia; Harvard University Press: Cambridge, UK, 1984. [Google Scholar]
- Gaekwad, J.S.; Sal Moslehian, A.; Roös, P.B.; Walker, A. A meta-analysis of emotional evidence for the biophilia hypothesis and implications for biophilic design. Front. Psychol. 2022, 13, 750245. [Google Scholar] [CrossRef]
- Ekkel, E.D.; de Vries, S. Nearby green space and human health: Evaluating accessibility metrics. Landsc. Urban Plan. 2017, 157, 214–220. [Google Scholar] [CrossRef]
- Depledge, M.H.; Stone, R.J.; Bird, W.J. Can natural and virtual environments be used to promote improved human health and wellbeing? Environ. Sci. Technol. 2011, 45, 4660–4665. [Google Scholar] [CrossRef]
- Kaplan, R. The nature of the view from home: Psychological benefits. Environ. Behav. 2001, 33, 507–542. [Google Scholar] [CrossRef]
- Schweitzer, M.; Gilpin, L.; Frampton, S. Healing spaces: Elements of environmental design that make an impact on health. J. Altern. Complement. Med. 2004, 10 (Suppl. S1), S-71. [Google Scholar] [CrossRef]
- Sang Å, O.; Knez, I.; Gunnarsson, B.; Hedblom, M. The effects of naturalness, gender, and age on how urban green space is perceived and used. Urban For. Urban Green. 2016, 18, 268–276. [Google Scholar] [CrossRef]
- Mostajeran, F.; Krzikawski, J.; Steinicke, F.; Kühn, S. Effects of exposure to immersive videos and photo slideshows of forest and urban environments. Sci. Rep. 2021, 11, 3994. [Google Scholar] [CrossRef] [PubMed]
- Orr, J.E.; Ayappa, I.; Eckert, D.J.; Feldman, J.L.; Jackson, C.L.; Javaheri, S.; Khayat, R.N.; Martin, J.L.; Mehra, R.; Naughton, M.Y.; et al. Research priorities for patients with heart failure and central sleep apnea. An official American Thoracic Society research statement. American J. Respir. Crit. Care Med. 2021, 203, e11–e24. [Google Scholar]
- Kaplan, S. The restorative benefits of nature: Toward an integrative framework. J. Environ. Psychol. 1995, 15, 169–182. [Google Scholar] [CrossRef]
- Scopelliti, M.; Carrus, G.; Bonaiuto, M. Is it really nature that restores people? A comparison with historical sites with high restorative potential. Front. Psychol. 2019, 9, 2742. [Google Scholar] [CrossRef]
- Calvert, G.; Spence, C.; Stein, B.E. (Eds.) The Handbook of Multisensory Processes; MIT Press: Cambridge, MA, USA, 2004. [Google Scholar]
- Ernst, M.O.; Bülthoff, H.H. Merging the senses into a robust percept. Trends Cogn. Sci. 2004, 8, 162–169. [Google Scholar] [CrossRef]
- Frassinetti, F.; Bolognini, N.; Làdavas, E. Enhancement of visual perception by crossmodal visuo-auditory interaction. Exp. Brain Res. 2002, 147, 332–343. [Google Scholar] [CrossRef]
- Watkins, S.; Shams, L.; Josephs, O.; Rees, G. Activity in human V1 follows multisensory perception. NeuroImage 2007, 37, 572–578. [Google Scholar] [CrossRef]
- Ruotolo, F.; Maffei, L.; Di Gabriele, M.; Iachini, T.; Masullo, M.; Ruggiero, G.; Senese, V.P. Immersive virtual reality and environmental noise assessment: An innovative audio–visual approach. Environ. Impact Assess. Rev. 2013, 41, 10–20. [Google Scholar] [CrossRef]
- Viollon, S.; Lavandier, C.; Drake, C. Influence of visual setting on sound ratings in an urban environment. Appl. Acoust. 2002, 63, 493–511. [Google Scholar] [CrossRef]
- Banks, S.J.; Ng, V.; Jones-Gotman, M. Does good+ good= better? A pilot study on the effect of combining hedonically valenced smells and images. Neurosci. Lett. 2012, 514, 71–76. [Google Scholar] [CrossRef]
- Bhattacharya, J.; Lindsen, J.P. Music for a brighter world: Brightness judgment bias by musical emotion. PLoS ONE 2016, 11, e0148959. [Google Scholar] [CrossRef]
- Masullo, M.; Maffei, L.; Pascale, A.; Senese, V.P.; De Stefano, S.; Chau, C.K. Effects of evocative audio-visual installations on the restorativeness in urban parks. Sustainability 2021, 13, 8328. [Google Scholar] [CrossRef]
- Iachini, T.; Coello, Y.; Frassinetti, F.; Senese, V.P.; Galante, F.; Ruggiero, G. Peripersonal and interpersonal space in virtual and real environments: Effects of gender and age. J. Environ. Psychol. 2016, 45, 154–164. [Google Scholar] [CrossRef]
- Riva, G.; Baños, R.M.; Botella, C.; Mantovani, F.; Gaggioli, A. Transforming experience: The potential of augmented reality and virtual reality for enhancing personal and clinical change. Front. Psychiatry 2016, 7, 164. [Google Scholar] [CrossRef]
- Slater, M.; Steed, A.; Chrysanthou, Y. Computer Graphics and Virtual Environments: From Realism to Real-Time; Pearson Education: London, UK, 2002. [Google Scholar]
- Parsons, T.D. Virtual reality for enhanced ecological validity and experimental control in the clinical, affective and social neurosciences. Front. Hum. Neurosci. 2015, 9, 660. [Google Scholar] [CrossRef] [PubMed]
- Masullo, M.; Maffei, L.; Cioffi, F.; Palmieri, A.; Galderisi, A.; Li, J.; Pascale, A.; Ianchini, T.; Ruggiero, G.; Ruotolo, F.; et al. Preliminary qualification of a small audio-visual dataset for a multisensory study on urban parks. In Proceedings of the INTER-NOISE and NOISE-CON Congress and Conference Proceedings, Online, 16–20 November 2020; Volume 261, pp. 2967–2977. [Google Scholar]
- Masullo, M.; Maffei, L.; Iachini, T.; Rapuano, M.; Cioffi, F.; Ruggiero, G.; Ruotolo, F. A questionnaire investigating the emotional salience of sounds. Appl. Acoust. 2021, 182, 108281. [Google Scholar] [CrossRef]
- Boucsein, W. Electrodermal Activity; Springer Science & Business Media: Basel, Switzerland, 2012. [Google Scholar]
- Braithwaite, J.J.; Watson, D.G.; Jones, R.; Rowe, M. A guide for analysing electrodermal activity (EDA) & skin conductance responses (SCRs) for psychological experiments. Psychophysiology 2013, 49, 1017–1034. [Google Scholar]
- Boucsein, W. Electrodermal Activity, 2nd ed.; Springer: New York, NY, USA, 2007. [Google Scholar]
- Kreibig, S.D. Autonomic nervous system activity in emotion: A review. Biol. Psychol. 2010, 84, 394–421. [Google Scholar] [CrossRef]
- Sandler, H.; Fendel, U.; Buße, P.; Rose, M.; Bösel, R.; Klapp, B.F. Relaxation–induced by vibroacoustic stimulation via a body monochord and via relaxation music–is associated with a decrease in tonic electrodermal activity and an increase of the salivary cortisol level in patients with psychosomatic disorders. PLoS ONE 2017, 12, e0170411. [Google Scholar] [CrossRef]
- Faul, F.; Erdfelder, E.; Lang, A.G.; Buchner, A. G* Power 3: A flexible statistical power analysis program for the social, behavioral, and biomedical sciences. Behav. Res. Methods 2007, 39, 175–191. [Google Scholar] [CrossRef]
- Cohen, J. Statistical Power Analysis for the Behavioral Sciences; Routledge: London, UK, 2013. [Google Scholar]
- Perugini, M.; Gallucci, M.; Costantini, G. A practical primer to power analysis for simple experimental designs. Rev. Int. Psychol. Soc. 2018, 31, 1–23. [Google Scholar] [CrossRef]
- World Medical Association. World Medical Association Declaration of Helsinki: Ethical principles for medical research involving human subjects. JAMA 2013, 310, 2191–2194. [Google Scholar] [CrossRef]
- Maseda, A.; Sanchez, A.; Marante, M.P.; Gonzalez-Abraldes, I.; de Labra, C.; Millan-Calenti, J.C. Multisensory stimulation on mood, behavior, and biomedical parameters in people with dementia: Is it more effective than conventional one-toone stimulation? Am. J. Alzheimer’s Dis. Other Dement. 2014, 29, 637–647. [Google Scholar] [CrossRef] [PubMed]
- Enwin, A.D.; Ikiriko, T.D.; Jonathan-Ihua, G.O. The role of colours in interior design of liveable spaces. Eur. J. Theor. Appl. Sci. 2023, 1, 242–262. [Google Scholar] [CrossRef] [PubMed]
- Dazkir, S.S.; Read, M.A. Furniture forms and their influence on our emotional responses toward interior environments. Environ. Behav. 2012, 44, 722–732. [Google Scholar] [CrossRef]
- Gil, S.; Le Bigot, L. Seeing life through positive-tinted glasses: Color–meaning associations. PLoS ONE 2014, 9, e104291. [Google Scholar] [CrossRef]
- Mccormick, I.A.; Walkey, F.H.; Taylor, A.J.W. The stress arousal checklist: An independent analysis. Educ. Psychol. Meas. 1985, 45, 143–146. [Google Scholar] [CrossRef]
- McNair, D.M.; Lorr, M.; Droppleman, L.F. Profile of Mood States; Educational and Industrial Testing Service: San Diego, CA, USA, 1981. [Google Scholar]
- Osgood, C.E. The nature and measurement of meaning. Psychol. Bull. 1952, 49, 197–237. [Google Scholar] [CrossRef]
- Russell, J.A.; Lanius, U.F. Adaptation level and the affective appraisal of environments. J. Environ. Psychol. 1984, 4, 119–135. [Google Scholar] [CrossRef]
- Geršak, G. Electrodermal activity-a beginner’s guide. Electrotech. Rev./Elektrotehniski Vestn. 2020, 87, 175–182. [Google Scholar]
- Barry, R. Preliminary process theory: Towards an integrated account of the psychophysiology of cognitive processes. Acta Neurobiol. Exp. 1996, 56, 469–484. [Google Scholar] [CrossRef]
- Hartig, T. Restorative environments. Encycl. Appl. Psychol. 2004, 3, 273–279. [Google Scholar]
- Reyes-Riveros, R.; Altamirano, A.; De La Barrera, F.; Rozas, D.; Vieli, L.; Meli, P. Linking public urban green spaces and human well-being: A systematic review. Urban For. Urban Green. 2021, 61, 127105. [Google Scholar] [CrossRef]
- Ulrich, R.S.; Simons, R.F.; Losito, B.D.; Fiorito, E.; Miles, M.A.; Zelson, M. Stress recovery during exposure to natural and urban environments. J. Environ. Psychol. 1991, 11, 201–230. [Google Scholar] [CrossRef]
- McGee, B.; Park, N.K. Colour, light, and materiality: Biophilic interior design presence in research and practice. Interiority 2022, 5, 27–52. [Google Scholar] [CrossRef]
- Hartig, T.; Evans, G.W.; Jamner, L.D.; Davis, D.S.; Gärling, T. Tracking restoration in natural and urban field settings. J. Environ. Psychol. 2003, 23, 109–123. [Google Scholar] [CrossRef]
- Ulrich, R.S. Nature versus urban scenes: Some psychophysiological effects. J. Environ. Behav. 1981, 13, 523–556. [Google Scholar] [CrossRef]
- Shuda, Q.; Bougoulias, M.E.; Kass, R. Effect of nature exposure on perceived and physiologic stress: A systematic review. Complement. Ther. Med. 2020, 53, 102514. [Google Scholar] [CrossRef]
- Fallon, V.T.; Rubenstein, S.; Warfield, R.; Ennerfelt, H.; Hearn, B.; Leaver, E. Stress reduction from a musical intervention. Psychomusicology Music. Mind Brain 2020, 30, 20. [Google Scholar] [CrossRef]
- Correia, P.; Quaresma, C.; Morais, P.; Fonseca, M.; Vigário, R.; Quintao, C. Effects of mindfulness-based stress reduction meditation on the emotional reaction to affective pictures assessed by electrodermal activity. Biomed. Signal Process. Control 2023, 86, 105314. [Google Scholar] [CrossRef]
- Setz, C.; Arnrich, B.; Schumm, J.; La Marca, R.; Tröster, G.; Ehlert, U. Discriminating stress from cognitive load using a wearable EDA device. IEEE Trans. Inf. Technol. Biomed. 2009, 14, 410–417. [Google Scholar] [CrossRef] [PubMed]
- Dawson, M.E.; Schell, A.M.; Filion, D.L. The electrodermal system. Handb. Psychophysiol. 2007, 2, 200–223. [Google Scholar]
- Gray, T.; Birrell, C. Are biophilic-designed site office buildings linked to health benefits and high performing occupants? Int. J. Environ. Res. Public Health 2014, 11, 12204–12222. [Google Scholar] [CrossRef] [PubMed]
- Al Khatib, I.; Samara, F.; Ndiaye, M. A systematic review of the impact of therapeutical biophilic design on health and wellbeing of patients and care providers in healthcare services settings. Front. Built Environ. 2024, 10, 1467692. [Google Scholar] [CrossRef]
- Miola, L.; Boldrini, A.; Pazzaglia, F. The Healing Power of Nature. Biophilic Design Applied to Healthcare Facilities. Curr. Opin. Psychol. 2025, 64, 102049. [Google Scholar] [CrossRef]
- Chan, S.H.M.; Qiu, L.; Esposito, G.; Mai, K.P.; Tam, K.P.; Cui, J. Nature in virtual reality improves mood and reduces stress: Evidence from young adults and senior citizens. Virtual Real. 2023, 27, 3285–3300. [Google Scholar] [CrossRef]
- Clemente, D.; Romano, L.; Russo, C.; Carrus, G.; Panno, A. 3D built virtual arctic environment increase vigor through connectedness in older people. Sci. Rep. 2024, 14, 23432. [Google Scholar] [CrossRef]
- Şansal, K.E.; Şimşek, A.C.; Aktan, S.; Özbey, F.; Paksoy, A. Restorative effects of virtual nature on the emotional well-being of community-dwelling older adults. Eur. J. Geriatr. Gerontol. 2024, 6, 12–18. [Google Scholar] [CrossRef]
- Pardini, S.; Gabrielli, S.; Gios, L.; Dianti, M.; Mayora-Ibarra, O.; Appel, L.; Olivetto, S.; Torres, A.; Rigatti, P.; Trentini, E.; et al. Customized virtual reality naturalistic scenarios promoting engagement and relaxation in patients with cognitive impairment: A proof-of-concept mixed-methods study. Sci. Rep. 2023, 13, 20516. [Google Scholar] [CrossRef] [PubMed]
- Sadowski, I.; Meilleur-Bédard, M.; Khoury, B. A novel virtual reality-based nature meditation program for older adults’ mental health: Results from a pilot randomized controlled trial. Clin. Gerontol. 2025, 1–21. [Google Scholar] [CrossRef] [PubMed]
- Kalantari, S.; Bill Xu, T.; Mostafavi, A.; Lee, A.; Barankevich, R.; Boot, W.R.; Czaja, S.J. Using a nature-based virtual reality environment for improving mood states and cognitive engagement in older adults: A mixed-method feasibility study. Innov. Aging 2022, 6. [Google Scholar] [CrossRef] [PubMed]






Disclaimer/Publisher’s Note: The statements, opinions and data contained in all publications are solely those of the individual author(s) and contributor(s) and not of MDPI and/or the editor(s). MDPI and/or the editor(s) disclaim responsibility for any injury to people or property resulting from any ideas, methods, instructions or products referred to in the content. |
© 2025 by the authors. Licensee MDPI, Basel, Switzerland. This article is an open access article distributed under the terms and conditions of the Creative Commons Attribution (CC BY) license (https://creativecommons.org/licenses/by/4.0/).
Share and Cite
Rapuano, M.; Ruotolo, F.; Cannito, L.; Masullo, M.; Cioffi, F.; Ruggiero, G.; Maffei, L.; Capitelli, F.; Iachini, T. Calm by Design: Nature-Inspired Rooms Reduce Electrodermal Activity Levels. Buildings 2025, 15, 3466. https://doi.org/10.3390/buildings15193466
Rapuano M, Ruotolo F, Cannito L, Masullo M, Cioffi F, Ruggiero G, Maffei L, Capitelli F, Iachini T. Calm by Design: Nature-Inspired Rooms Reduce Electrodermal Activity Levels. Buildings. 2025; 15(19):3466. https://doi.org/10.3390/buildings15193466
Chicago/Turabian StyleRapuano, Mariachiara, Francesco Ruotolo, Loreta Cannito, Massimiliano Masullo, Federico Cioffi, Gennaro Ruggiero, Luigi Maffei, Fabiola Capitelli, and Tina Iachini. 2025. "Calm by Design: Nature-Inspired Rooms Reduce Electrodermal Activity Levels" Buildings 15, no. 19: 3466. https://doi.org/10.3390/buildings15193466
APA StyleRapuano, M., Ruotolo, F., Cannito, L., Masullo, M., Cioffi, F., Ruggiero, G., Maffei, L., Capitelli, F., & Iachini, T. (2025). Calm by Design: Nature-Inspired Rooms Reduce Electrodermal Activity Levels. Buildings, 15(19), 3466. https://doi.org/10.3390/buildings15193466

