Sign in to use this feature.

Years

Between: -

Subjects

remove_circle_outline
remove_circle_outline
remove_circle_outline
remove_circle_outline
remove_circle_outline
remove_circle_outline
remove_circle_outline

Journals

Article Types

Countries / Regions

Search Results (22)

Search Parameters:
Keywords = hip osteosynthesis

Order results
Result details
Results per page
Select all
Export citation of selected articles as:
12 pages, 1256 KB  
Article
Cementless Transtrochanteric Bipolar Hemiarthroplasty vs. Proximal Femoral Nailing for Unstable Intertrochanteric Fractures in the Elderly: A Retrospective Comparative Study
by Yusuf Polat, Tolga Keçeci, Murat Alparslan, Abdullah Alper Şahin, Alper Çıraklı and Serkan Sipahioğlu
J. Clin. Med. 2026, 15(1), 151; https://doi.org/10.3390/jcm15010151 - 25 Dec 2025
Viewed by 287
Abstract
Background/Objectives: Unstable intertrochanteric femur fractures (IFFs) in geriatric patients are associated with high rates of morbidity and mortality due to poor bone quality, multiple comorbidities, and limited functional capacity. This study aimed to compare the clinical outcomes of cementless bipolar hemiarthroplasty (BHA) [...] Read more.
Background/Objectives: Unstable intertrochanteric femur fractures (IFFs) in geriatric patients are associated with high rates of morbidity and mortality due to poor bone quality, multiple comorbidities, and limited functional capacity. This study aimed to compare the clinical outcomes of cementless bipolar hemiarthroplasty (BHA) performed via a transtrochanteric approach and proximal femoral nailing (PFN) in elderly patients with unstable IFFs. Methods: This retrospective comparative study included 131 patients aged ≥70 years who underwent surgery for AO/OTA 31-A2 and 31-A3 unstable fractures between January 2021 and July 2025 were retrospectively reviewed. 64 patients received cementless BHA and 67 underwent PFN. Eligible patients were ambulatory prior to fracture (independently or with a cane/walker); patients with pathological fractures/malignancy, alternative procedures (cemented or posterolateral BHA, total hip arthroplasty, tumor prosthesis, or other osteosynthesis methods), incomplete records, or <6 months of follow-up were excluded. Demographics, perioperative variables, mechanical complications, revision requirement, time to mobilization, and 1- and 6-month mortality rates were analyzed. Primary outcomes were mortality and perioperative clinical parameters. Results: The two groups were comparable in age, sex, ASA scores, and fracture patterns. Intraoperative blood loss and transfusion requirements were significantly higher in the BHA group (both p < 0.001). Mobilization was observed earlier in patients treated with BHA (1 [1,2] vs. 3 [2,3] days; p < 0.001). Mechanical complications were more frequently observed after PFN, which was associated with a higher revision requirement (17.9% vs. 4.7%; p = 0.018). Operative time, hospital stay, and 1- and 6-month mortality rates showed no significant differences between the groups. Conclusions: In geriatric patients with unstable IFFs, cementless BHA performed via a transtrochanteric approach may be considered a viable surgical option with appropriate patient selection, taking into account its association with earlier mobilization and the observed mechanical complication profile. PFN offers advantages of reduced blood loss and lower transfusion needs. Surgical decision-making should be individualized based on fracture morphology, bone quality, and the patient’s overall medical condition. Given the heterogeneity of unstable fractures within the AO/OTA classification and the retrospective nature of the present study, larger, multicenter prospective investigations incorporating functional outcomes are warranted to further clarify optimal treatment strategies. Full article
(This article belongs to the Special Issue Hip Fracture and Surgery: Clinical Updates and Challenges)
Show Figures

Figure 1

15 pages, 560 KB  
Article
Quality of Life Following Vancouver Type B Periprosthetic Femoral Fractures: A Cross-Sectional Study
by Nemanja Gvozdenović, Miodrag Vranješ, Igor Lekić, Sveto Bjelan and Andrijana Ćorić
Medicina 2025, 61(12), 2159; https://doi.org/10.3390/medicina61122159 - 4 Dec 2025
Viewed by 416
Abstract
Background and Objectives: Total hip arthroplasty (THA) is a common orthopedic procedure. It helps restore mobility and reduce pain in patients with hip joint disorders. Periprosthetic femoral fracture (PFF) is an acute complication that may occur after primary THA. The rate of [...] Read more.
Background and Objectives: Total hip arthroplasty (THA) is a common orthopedic procedure. It helps restore mobility and reduce pain in patients with hip joint disorders. Periprosthetic femoral fracture (PFF) is an acute complication that may occur after primary THA. The rate of PFFs after primary total hip replacement is approximately 1%. The aim of this study was to assess the overall quality of life of patients following PFF surgery. Materials and Methods: This cross-sectional study included 60 patients with PFFs of Vancouver type B (32 females and 28 males, respectively), with a mean age of 73.02 ± 8.97 years and 30 controls who underwent primary THA. Quality of life was assessed at least 12 months postoperatively using the validated Serbian SF-36 questionnaire and clinical examination. Results: Older age correlated with declines in Physical and Emotional functioning, Vitality (Energy/fatigue), and Social activities (overall SF-36: r = −0.619, p < 0.01). Patients who underwent femoral stem revision with osteosynthesis (B2 and B3) showed better quality of life compared to those who underwent osteosynthesis alone (B1) in General health perceptions (t = −2.266, p = 0.027) and Physical functioning (t = 2.526, p = 0.014). Patients after PFF surgery had lower postoperative quality of life compared to those who underwent primary THA (overall SF-36: 66.68 ± 15.60 vs. 84.10 ± 14.65, t = −5.092, p < 0.0005). Conclusions: Patients with PFF have a lower quality of life than those after primary THA, while combined stem revision and osteosynthesis yield better outcomes than osteosynthesis alone. Full article
(This article belongs to the Section Orthopedics)
Show Figures

Figure 1

15 pages, 751 KB  
Article
Kinesiological Analysis Using Inertial Sensor Systems: Methodological Framework and Clinical Applications in Pathological Gait
by Danelina Emilova Vacheva and Atanas Kostadinov Drumev
Sensors 2025, 25(14), 4435; https://doi.org/10.3390/s25144435 - 16 Jul 2025
Viewed by 852
Abstract
Accurate gait assessment is essential for managing pathological locomotion, especially in elderly patients recovering from hip joint surgeries. Inertial measurement units (IMUs) provide real-time, objective data in clinical settings. This study examined pelvic oscillations in sagittal, frontal, and transverse planes using a wearable [...] Read more.
Accurate gait assessment is essential for managing pathological locomotion, especially in elderly patients recovering from hip joint surgeries. Inertial measurement units (IMUs) provide real-time, objective data in clinical settings. This study examined pelvic oscillations in sagittal, frontal, and transverse planes using a wearable IMU system in two groups: Group A (n = 15, osteosynthesis metallica) and Group B (n = 34, arthroplasty), all over age 65. Gait analysis was conducted during assisted and unassisted walking. In the frontal plane, both groups showed statistically significant improvements: Group A from 46.4% to 75.2% (p = 0.001) and Group B from 52.6% to 72.2% (p = 0.001), reflecting enhanced lateral stability. In the transverse plane, Group A improved significantly from 47.7% to 80.2% (p = 0.001), while Group B showed a non-significant increase from 73.0% to 80.5% (p = 0.068). Sagittal plane changes were not statistically significant (Group A: 68.8% to 71.1%, p = 0.313; Group B: 76.4% to 69.1%, p = 0.065). These improvements correspond to better pelvic symmetry and postural control, which are critical for a safe and stable gait. Improvements were more pronounced during unassisted walking, indicating better pelvic control. These results confirm the clinical utility of IMUs in capturing subtle gait asymmetries and monitoring recovery progress. The findings support their use in tailoring rehabilitation strategies, particularly for enhancing frontal and transverse pelvic stability in elderly orthopedic patients. Full article
(This article belongs to the Special Issue Sensor Technologies for Gait Analysis: 2nd Edition)
Show Figures

Figure 1

15 pages, 981 KB  
Article
Are Tip–Apex Distance and Surgical Delay Associated with Increased Risk of Complications and Mortality Within the First Two Years After Surgery for Femoral Neck Fractures?
by Jacob Schade Engbjerg, Rune Dall Jensen, Michael Tjørnild, Daniel Wæver, Rikke Thorninger and Jan Duedal Rölfing
J. Clin. Med. 2025, 14(14), 4991; https://doi.org/10.3390/jcm14144991 - 15 Jul 2025
Viewed by 1079
Abstract
Background: Femoral neck fractures (FNF) have high mortality rates. Surgical delay likely contributes. Dynamic hip screw (DHS) fixation is common for FNF, and the tip–apex distance (TAD) measures screw position in the femoral head. A TAD >20–25 mm is considered a risk factor [...] Read more.
Background: Femoral neck fractures (FNF) have high mortality rates. Surgical delay likely contributes. Dynamic hip screw (DHS) fixation is common for FNF, and the tip–apex distance (TAD) measures screw position in the femoral head. A TAD >20–25 mm is considered a risk factor for screw cut-out. This study investigated the association between (1) surgical delay and complication/mortality rates within two years post-surgery and (2) TAD and postoperative complications following DHS in FNF. Methods: This retrospective study included 325 FNF patients who underwent DHS osteosynthesis at Regional Hospital Randers, Denmark from 2015–2021. The primary composite outcome included complications measured on radiographs (e.g., screw cut-out, avascular necrosis), reoperation, or death within 2 years. Radiographs were evaluated for TAD and postoperative complications/reoperations. Surgical delay was defined as the time from the diagnostic radiograph to the start of the operation. TAD was measured based on radiographs. Electronic patient journals and national SSN registers were used to assess reoperation and death rates. Results: The mortality rate was 16% within 1 year and 26% within 2 years. The complication rate was 16% within 2 years. The median surgical delay was 7.9 h (IQR 5; 14). Surgical delay was significantly associated with the 1-year mortality rate (p < 0.01), but not with the 1-year complication rate (p = 0.77). Surgical delay was associated with complication rates 2 years post-surgery only for undisplaced fractures, p = 0.046. The median TAD was 16.3 mm (13.8; 18.7); no association with complications <1 year (p = 0.56) or <2 years (p = 0.99) was observed. There were 59/325 patients with TAD >20 mm, six of whom had complications, and 6/59 with TAD >25 mm, none of whom had complications. Conclusions: We report a significant association between surgical delay and mortality rates in FNF, despite surgical delays <24 h. Additionally, there was a significant association between surgical delay and risk of complication/reoperation 2 years post-surgery for undisplaced fractures. No association was found between TAD and complication rates following DHS fixation for FNF; however, only a few TAD outliers were observed. Full article
(This article belongs to the Section Orthopedics)
Show Figures

Figure 1

8 pages, 586 KB  
Article
Hip Replacement Following Intertrochanteric Osteosynthesis Failure: Is It Possible to Restore Normal Hip Biomechanics?
by Davide Bizzoca, Giorgio Giannini, Francesco Domenico Cannito, Giulia Colasuonno, Giuseppe De Giosa and Giuseppe Solarino
Prosthesis 2025, 7(3), 50; https://doi.org/10.3390/prosthesis7030050 - 8 May 2025
Viewed by 1195
Abstract
Introduction: Intertrochanteric femoral fractures (IFFs) are the most common traumatic injuries in elderly people and significantly impact the patient’s health status. The current evidence indicates that short intramedullary nails may be a better choice than dynamic hip screws in IFF management, being less [...] Read more.
Introduction: Intertrochanteric femoral fractures (IFFs) are the most common traumatic injuries in elderly people and significantly impact the patient’s health status. The current evidence indicates that short intramedullary nails may be a better choice than dynamic hip screws in IFF management, being less invasive and biomechanically superior, providing a buttress to limit fracture collapse. On the other hand, an unstable fracture may collapse even after adequate reduction and fixation. This paper aims to describe the surgical complexity of the nail-to-total hip arthroplasty (THA) conversion, focusing on the restoration of normal hip geometry. Material and Methods: Patients referred to our level I trauma center with failed cephalomedullary nailing following IFFs and managed with the nail-to-THA conversion were retrospectively recruited. The anteroposterior postoperative pelvis radiographs were analyzed to establish whether the normal biomechanics of the involved hip were restored. The following radiographic parameters were recorded and compared to the contralateral unaffected side: hip offset, cervical–diaphyseal angle, and limb length discrepancy. Clinical assessment was performed using the following scores: the Harris hip score (HHS) and the visual analog scale for pain (VAS). The independent samples t-test and the Pearson correlation test were performed. The tests were two-tailed; a p < 0.05 was considered significant. Results: A total of 31 patients met the inclusion and exclusion criteria (10 males and 21 females; mean age: 76.2 years; range: 66–90 years) and were included in this study. The modes of trochanteric nail failure included the following: cut-out in 22 cases (70.97%), non-union in 4 cases (12.9%), peri-implant fracture in 1 case (3.23%), cut-through in 2 cases (6.45%), and femoral head avascular necrosis (HAN) in 2 cases (6.45%). Long stems were used in 21 patients out of 31 (67.74%), while dual-mobility cups were implanted in 24 patients out of 31 (77.41%). A significant mean neck shaft angle (NSA) increase (p < 0.001) and a significant mean femoral offset reduction (FO, p 0.001) compared to the contralateral hip were recorded; a mean limb length discrepancy (LLD) of 8.35 mm was observed. A significant correlation between HHS and ∆NSA (p = 0.01) and ∆FO (p = 0.003) was recorded. Conclusions: Conversion from a cephalomedullary nail to THA is a complex procedure that should be considered a revision surgery, rather than a primary surgery. Surgeons must be aware that normal hip geometry may not be obtained during this surgical procedure; thus, a patient undergoing the nail-to-THA conversion for intertrochanteric fixation failure may have an increased risk of implant-related complications. Full article
(This article belongs to the Special Issue State of Art in Hip, Knee and Shoulder Replacement (Volume 2))
Show Figures

Figure 1

13 pages, 276 KB  
Article
Risk Factors for Therapeutic Failure and One-Year Mortality in Patients with Intramedullary Nail-Associated Infection after Trochanteric and Subtrochanteric Hip Fracture Repair
by Bernadette Pfang, Marco A. Villegas García, Antonio Blanco García, Álvaro Auñón Rubio, Jaime Esteban and Joaquín García Cañete
Antibiotics 2024, 13(5), 463; https://doi.org/10.3390/antibiotics13050463 - 18 May 2024
Cited by 2 | Viewed by 2410
Abstract
Despite the implications of trochanteric and subtrochanteric intramedullary (IM) nail infection for patients with hip fracture, little is known about risk factors for therapeutic failure and mortality in this population. We performed a retrospective observational analysis including patients diagnosed with trochanteric and subtrochanteric [...] Read more.
Despite the implications of trochanteric and subtrochanteric intramedullary (IM) nail infection for patients with hip fracture, little is known about risk factors for therapeutic failure and mortality in this population. We performed a retrospective observational analysis including patients diagnosed with trochanteric and subtrochanteric IM nail infection at a Spanish academic hospital during a 10-year period, with a minimum follow-up of 22 months. Of 4044 trochanteric and subtrochanteric IM nail implants, we identified 35 cases of infection during the study period (0.87%), 17 of which were chronic infections. Patients with therapeutic failure (n = 10) presented a higher average Charlson Comorbidity Index (CCI) (5.40 vs. 4.21, p 0.015, CI 0.26–2.13) and higher rates of polymicrobial (OR 5.70, p 0.033, CI 1.14–28.33) and multidrug-resistant (OR 7.00, p 0.027, CI 1.24–39.57) infections. Upon multivariate analysis, polymicrobial infection and the presence of multidrug-resistant pathogens were identified as independent risk factors for therapeutic failure. Implant retention was associated with an increased risk of failure in chronic infection and was found to be an independent risk factor for overall one-year mortality in the multivariate analysis. Our study highlights the importance of broad-spectrum empirical antibiotics as initial treatment of trochanteric and subtrochanteric IM nail-associated infection while awaiting microbiological results. It also provides initial evidence for the importance of implant removal in chronic IM-nail infection. Full article
(This article belongs to the Special Issue Antibiotic Therapy in Implant Related Orthopedic Infections)
11 pages, 2288 KB  
Article
The Effects of the Pericapsular Nerve Group Block on Postoperative Pain in Patients with Hip Fracture: A Multicenter Study
by Carmine Iacovazzo, Rosario Sara, Pasquale Buonanno, Maria Vargas, Antonio Coviello, Roberta Punzo, Vincenzo Maffei and Annachiara Marra
Diagnostics 2024, 14(8), 827; https://doi.org/10.3390/diagnostics14080827 - 17 Apr 2024
Cited by 5 | Viewed by 3305
Abstract
Background: An adequate early mobilization followed by an effective and pain-free rehabilitation are critical for clinical and functional recovery after hip and proximal femur fracture. A multimodal approach is always recommended so as to reduce the administered dose of analgesics, drug interactions, and [...] Read more.
Background: An adequate early mobilization followed by an effective and pain-free rehabilitation are critical for clinical and functional recovery after hip and proximal femur fracture. A multimodal approach is always recommended so as to reduce the administered dose of analgesics, drug interactions, and possible side effects. Peripheral nerve blocks should always be considered in addition to spinal or general anesthesia to prolong postoperative analgesia. The pericapsular nerve group (PENG) block appears to be a less invasive and more effective analgesia technique compared to other methods. Methods: We conducted multicenter retrospective clinical research, including 98 patients with proximal femur fracture undergoing osteosynthesis surgery within 48 h of occurrence of the fracture. Thirty minutes before performing spinal anesthesia, 49 patients underwent a femoral nerve (FN) block plus a lateral femoral cutaneous nerve (LCFN) block, and the other 49 patients received a PENG block. A non-parametric Wilcoxon–Mann–Whitney (α = 0.05) test was performed to evaluate the difference in resting and dynamic numerical rating scale (NRS) at 30 min, 6 h, 12 h, and 24 h. Results: the PENG block administration was more effective in reducing pain intensity compared to the FN block in association with the LFCN block, as seen in the resting and dynamic NRS at thirty minutes and 12 h follow-up. Conclusion: the PENG block was more effective in reducing pain intensity than the femoral nerve block associated with the lateral femoral cutaneous nerve block in patients with proximal femur fracture undergoing to osteosynthesis. Full article
(This article belongs to the Special Issue Updates in Interventional Ultrasonography)
Show Figures

Figure 1

16 pages, 6298 KB  
Article
Bactericidal Activity of Silver-Doped Chitosan Coatings via Electrophoretic Deposition on Ti6Al4V Additively Manufactured Substrates
by Arash Ghalayani Esfahani, Maria Sartori, Chiara Bregoli, Jacopo Fiocchi, Carlo Alberto Biffi, Ausonio Tuissi, Gianluca Giavaresi, Alessandro Presentato, Rosa Alduina, Angela De Luca, Alessia Cabrini, Cristina De Capitani, Milena Fini, Emanuele Gruppioni, Marino Lavorgna and Alfredo Ronca
Polymers 2023, 15(20), 4130; https://doi.org/10.3390/polym15204130 - 18 Oct 2023
Cited by 7 | Viewed by 2010
Abstract
Prosthetic reconstruction can serve as a feasible alternative, delivering both functional and aesthetic benefits to individuals with hand and finger injuries, frequent causes of emergency room visits. Implant-related infections pose significant challenges in arthroplasty and osteosynthesis procedures, contributing to surgical failures. As a [...] Read more.
Prosthetic reconstruction can serve as a feasible alternative, delivering both functional and aesthetic benefits to individuals with hand and finger injuries, frequent causes of emergency room visits. Implant-related infections pose significant challenges in arthroplasty and osteosynthesis procedures, contributing to surgical failures. As a potential solution to this challenge, this study developed a new class of silver (Ag)-doped chitosan (CS) coatings via electrophoretic deposition (EPD) on osseointegrated prostheses for infection therapy. These coatings were successfully applied to additively manufactured Ti6Al4V ELI samples. In the initial phase, the feasibility of the composite coating was assessed using the Thermogravimetric Analysis (TGA) and Attenuated Total Reflection (ATR) techniques. The optimized structures exhibited impressive water uptake in the range of 300–360%. Codeposition with an antibacterial agent proved effective, and scanning electron microscopy (SEM) was used to examine the coating morphology. Biologically, CS coatings demonstrated cytocompatibility when in direct contact with a fibroblast cell line (L929) after 72 h. When exposed to the Staphylococcus epidermidis strain (ATCC 12228), these coatings inhibited bacterial growth and biofilm formation within 24 h. These findings underscore the significant potential of this approach for various applications, including endoprostheses like hip implants, internal medical devices, and transcutaneous prostheses such as osseointegrated limb prosthetics for upper and lower extremities. Full article
Show Figures

Figure 1

11 pages, 591 KB  
Article
Rate of Complications after Hip Fractures Caused by Prolonged Time-to-Surgery Depends on the Patient’s Individual Type of Fracture and Its Treatment
by Alina Daginnus, Jan Schmitt, Jan Adriaan Graw, Christian Soost and Rene Burchard
J. Pers. Med. 2023, 13(10), 1470; https://doi.org/10.3390/jpm13101470 - 8 Oct 2023
Cited by 3 | Viewed by 2310
Abstract
Introduction: Hip fractures are common injuries in the elderly and are usually treated with timely surgery. While severe postoperative complications are reported for up to 10% of patients, many studies identified predictive factors for the occurrence of complications postoperatively. A controversially discussed factor [...] Read more.
Introduction: Hip fractures are common injuries in the elderly and are usually treated with timely surgery. While severe postoperative complications are reported for up to 10% of patients, many studies identified predictive factors for the occurrence of complications postoperatively. A controversially discussed factor is “time-to-surgery”. The aim of the study was to examine if time-to-surgery was associated with the occurrence of complications and if the complication rate differed between the patient individual fracture types of intracapsular on the one hand and extracapsular hip fractures on the other hand. We hypothesized that time-to-surgery had less impact on complications in intracapsular hip fractures compared to extracapsular ones, and therefore, guidelines should pay attention to the patient individual case scenario. Materials and Methods: All patients who were admitted to the Department of Trauma and Orthopaedic Surgery of an academic teaching hospital for hip fracture surgery (n = 650) over a five-year period were included in the study. After the application of the exclusion criteria, such as periprosthetic or pathologic fractures, cases needed immediate surgical treatment, and after outlier adjustment, 629 cases remained in the study. Hip fractures were classified into intracapsular fractures (treated by hip arthroplasty) and extracapsular fractures (treated by intramedullary nailing osteosynthesis). The occurrence of severe complications in patients treated within 24 h was compared with patients treated later than 24 h after injury. For statistical evaluation, a multivariate logistic regression analysis was performed to investigate the impact of time-to-surgery interval on the occurrence of complications. Results: Patients with an extracapsular fracture, which was treated with intramedullary nailing (44.5%), rarely suffered a serious complication when surgery was performed within 24 h after injury. However, when the interval of the time-to-surgery was longer than 24 h, the complication rate increased significantly (8.63% vs. 25.0%, p = 0.002). In contrast to this finding in patients with intracapsular fractures (55.5%), which were treated with cemented arthroplasty, complication rates did not depend on the 24 h interval (26.17% vs. 20.83%, p = 0.567). Conclusions: The occurrence of complications after surgical treatment of hip fractures is associated with the time interval between injury and surgery. A 24 h time interval between injury and surgical procedure seems to play a major role only in extracapsular fractures treated with osteosynthesis but not in intracapsular fractures treated with arthroplasty. Therefore, guidelines should take notice of the patient individual case scenario and, in particular, the individual hip fracture type. Full article
Show Figures

Figure 1

10 pages, 1634 KB  
Article
Less Is More for Non-Dislocated Femoral Neck Fractures: Similar Results for Two versus Three Cannulated Hip Screws
by Hilde Schutte, Lorenzo Hulshof, Ger van Olden, Paul van Koperen, Tim Timmers and Wouter Kluijfhout
Surgeries 2023, 4(4), 493-502; https://doi.org/10.3390/surgeries4040048 - 22 Sep 2023
Viewed by 4375
Abstract
Cannulated hip screws (CHS) can be used for the minimally invasive fixation of non-dislocated femoral neck fractures. Usually, three screws are inserted. This study aims to determine whether fixation by two CHS leads to similar results as fixation by three CHS. Since January [...] Read more.
Cannulated hip screws (CHS) can be used for the minimally invasive fixation of non-dislocated femoral neck fractures. Usually, three screws are inserted. This study aims to determine whether fixation by two CHS leads to similar results as fixation by three CHS. Since January 2019, all patients with an indication for internal fixation by CHS were treated with two CHS and followed prospectively. Results were compared to an equal-sized control group of patients who underwent fixation by three CHS (before 2019). The primary outcome was reoperation, while the secondary outcome was screw dislocation. Since January 2019, 50 patients were treated by two CHS. Of these, 14 patients (28%) underwent reoperation versus 13 patients (26%) in the control group (p = 1.000). Reoperations included screw replacement, hemiarthroplasty, and total hip prosthesis. Three major reasons for reoperation were pain due to osteosynthesis material (n = 15), coxarthrosis (n = 4), and screw cut out (n = 3). Six weeks postoperative X-rays showed a screw dislocation of 2 mm for the two CHS group and 1 mm for the three CHS group (p = 0.330). Clinical outcomes were very similar between the groups. The overall results were good; however, the reoperation rate varied from 26 to 28%. The majority of reoperations were screw replacements. Screw dislocation seems to be more prominent in patients treated with two screws (2 mm versus 1 mm). Fixation by two cannulated hip screws is an acceptable treatment method for non-dislocated femoral neck fractures, and the insertion of a third screw does not lead to superior clinical results. Full article
Show Figures

Figure 1

14 pages, 1068 KB  
Article
Orthogeriatric Assessment of the Elderly Patient with Fragility Hip Fracture: Preliminary Results of a Prospective Study
by Francesco Salis, Benedetta Puxeddu, Veronica Piras, Maristella Belfiori, Giuseppe Marongiu, Antonio Capone and Antonella Mandas
J. Pers. Med. 2023, 13(7), 1138; https://doi.org/10.3390/jpm13071138 - 14 Jul 2023
Cited by 8 | Viewed by 2506
Abstract
Nowadays, more studies deal with “OrthoGeriatrics”, for the co-management of elderly patients suffering fractures, from the admission to the discharge and beyond. For the first time at Cagliari University Hospital, we introduced an orthogeriatric service, in which trained geriatricians stay in orthopedic unit [...] Read more.
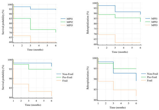
Nowadays, more studies deal with “OrthoGeriatrics”, for the co-management of elderly patients suffering fractures, from the admission to the discharge and beyond. For the first time at Cagliari University Hospital, we introduced an orthogeriatric service, in which trained geriatricians stay in orthopedic unit alongside trained orthopedics. The primary aim of the study was to analyze the rate of death and rehospitalization in elderly femur-fractured people of 65 or more years of age, identifying possible predictive factors. The secondary aim of the study was to analyze the recovery of daily living autonomies during the months following surgery. To reach the aim, we designed a prospective study, which is currently ongoing. We evaluated femur-fractured patients aged 65 years or more with a comprehensive geriatric assessment before surgery. The most common fractures were lateral hip ones, treated with osteosynthesis. Cognitive–affective, functional, and nutritional status, mood, and comorbidities were less impaired than in the outpatient service of the same hospital devoted to frail elderly. Pain control was excellent. A significantly low delirium incidence was found. More than a third of the sample were recognized as frail (according to the Survey of Health, Ageing and Retirement in Europe—Frailty Instrument (SHARE-FI)), and over a third of the sample were identified as a moderate-high risk of hospitalization and death (according to Multidimensional Prognostic Index (MPI)). Overall mortality rate was 13.87%, and rehospitalization rate was 11.84%. Frail people were more likely to die than non-frail (HR: 5.64), and pre-frail ones (HR: 3.97); similarly, high-risk patients were more likely to die than low-risk (HR: 8.04), and moderate-risk ones (HR: 5.46). Conversely, neither SHARE-FI nor MPI predicted rehospitalization. Creatinine (OR: 2.66, p = 0.003) and folate (OR: 0.75, p = 0.03) levels were independently associated with death and rehospitalization, respectively. Finally, the patients did recover the lost autonomies later, 6 months after surgery. Our study demonstrated that SHARE-FI and MPI are reliable tools to predict mortality in an orthogeriatric setting, and that creatinine and folate levels should also be measured given their independent association with negative outcomes. Full article
Show Figures

Figure 1

13 pages, 749 KB  
Article
Intertrochanteric Femoral Fractures: A Comparison of Clinical and Radiographic Results with the Proximal Femoral Intramedullary Nail (PROFIN), the Anti-Rotation Proximal Femoral Nail (A-PFN), and the InterTAN Nail
by Mustafa Yalın, Fatih Golgelioglu and Sefa Key
Medicina 2023, 59(3), 559; https://doi.org/10.3390/medicina59030559 - 13 Mar 2023
Cited by 13 | Viewed by 17024
Abstract
Background and Objectives: The aim of this study was to evaluate retrospectively the radiological and functional outcomes of closed reduction and internal fixation for intertrochanteric femoral fractures (IFF) using three different proximal femoral nails (PFN). Materials and Methods: In total, 309 individuals (143 [...] Read more.
Background and Objectives: The aim of this study was to evaluate retrospectively the radiological and functional outcomes of closed reduction and internal fixation for intertrochanteric femoral fractures (IFF) using three different proximal femoral nails (PFN). Materials and Methods: In total, 309 individuals (143 males and 166 females) who underwent surgery for IFF using a PFN between January 2018 and January 2021 were included in the study. Our surgical team conducted osteosynthesis using the A-PFN® (TST, Istanbul, Turkey) nail, the PROFIN® (TST, Istanbul, Turkey), and the Trigen InterTAN (Smith & Nephew, Memphis, TN, USA) nail. The PFNs were compared based on age, gender, body mass index (BMI), length of stay (LOS) in intensive care, whether to be admitted to intensive care, mortality in the first year, amount of transfusion, preoperative time to surgery, hospitalisation time, duration of surgery and fluoroscopy, fracture type and reduction quality, complication ratio, and clinical and radiological outcomes. The patients’ function was measured with the Harris Hip Score (HHS) and the Katz Index of Independence in Activities of Daily Living (ADL). Results: Pain in the hip and thigh is the most common complication, followed by the V-effect. The Z-effect was seen in 5.7% of PROFIN patients. A-PFN was shown to have longer surgical and fluoroscopy durations, lower HHS values, and much lower Katz ADL Index values compared to the other two PFNs. The V-effect occurrence was significantly higher in the A-PFN group (36.7%) than in the InterTAN group. The V-effect was seen in 33.1% of 31A2-type fractures but in none of the 31A3-type fractures. Conclusions: InterTAN nails are the best choice for IFFs because they have high clinical scores after surgery, there is no chance of Z-effect, and the rate of V-effect is low. Full article
Show Figures

Figure 1

10 pages, 1166 KB  
Article
What Is the Best Treatment Choice for Concomitant Ipsilateral Femoral Neck and Intertrochanteric Fracture? A Retrospective Comparative Analysis of 115 Consecutive Patients
by Han Soul Kim, Dong Keun Lee, Ki Uk Mun, Dou Hyun Moon and Chul-Ho Kim
J. Pers. Med. 2022, 12(11), 1908; https://doi.org/10.3390/jpm12111908 - 16 Nov 2022
Cited by 7 | Viewed by 5190
Abstract
Purpose: Although a concomitant ipsilateral femoral neck and intertrochanteric fracture has been considered to be a rare type of injury, its incidence has been increasing, especially among elderly hip fracture patients. However, there is limited evidence on the optimal treatment option. This study [...] Read more.
Purpose: Although a concomitant ipsilateral femoral neck and intertrochanteric fracture has been considered to be a rare type of injury, its incidence has been increasing, especially among elderly hip fracture patients. However, there is limited evidence on the optimal treatment option. This study surveys surgical outcomes of different implants in order to assist in selecting the best possible implant for a combined femoral neck and intertrochanteric fracture. Methods: The postoperative complications after the treatment of a concomitant ipsilateral femoral neck and intertrochanteric fracture via cephalomedullary nail (CMN), dynamic hip screw (DHS), and hip arthroplasty groups were analyzed by retrospectively reviewing the electronic medical records of 115 consecutive patients. Results: The patient demographics and perioperative details showed no significant discrepancies amongst different surgical groups, except for the operative time; a CMN had the shortest mean operative time (standard deviation) of 85.6 min (31.1), followed by 94.7 min (22.3) during a DHS, and 107.3 min (37.2) during an HR (p = 0.021). Of the 84 osteosynthesis patients, 77 (91.7%) achieved a fracture union. Only one (3.2%) of the 31 HR cases had a dislocation. The sub-analysis of the different osteosynthesis methods showed a higher incidence of excessive sliding and the nonunion of the fracture fragment in the DHS group than that in the CMN group (p = 0.004 and p = 0.022, respectively). The different surgical methods did not significantly vary in other outcome variables, such as the re-operation rate, mortality, and hip function. Conclusions: For the surgical treatment of combined femoral neck and trochanteric fractures, osteosynthesis did not differ significantly from an HR in terms of the overall postoperative complications, reoperation and mortality rate, and hip function, however, the risk of nonunion and more mechanical complications should be considered when choosing a DHS. Our suggestion for the treatment of a femoral neck and ipsilateral trochanteric fracture is that a surgeon should choose wisely between an HR and a CMN depending on the patient’s age, the displacement of the femoral neck, and one’s expertise. Full article
(This article belongs to the Special Issue Personalized Management in Orthopedics and Traumatology)
Show Figures

Graphical abstract

15 pages, 1952 KB  
Article
Holistic Symmetry Assessment Using Pedobarography after Treatment of Pertrochanteric Fractures in Elderly Patients
by Karolina Gawronska and Jacek Lorkowski
Symmetry 2022, 14(9), 1798; https://doi.org/10.3390/sym14091798 - 30 Aug 2022
Viewed by 2002
Abstract
Pertrochanteric fractures (PFs) are life threatening due to the prolonged immobilization of the elderly patient that affects, indirectly, the function of most organs. PFs may have an impact on the symmetry of the human body and contribute to poor global alignment. The aim [...] Read more.
Pertrochanteric fractures (PFs) are life threatening due to the prolonged immobilization of the elderly patient that affects, indirectly, the function of most organs. PFs may have an impact on the symmetry of the human body and contribute to poor global alignment. The aim of the study is to evaluate the functional, pedobarographic and radiological outcomes in a group of subjects with PFs treated with either a dynamic hip screw (DHS) or an intramedullary gamma nail fixation. A study group of 40 patients, admitted to hospital for pertrochanteric fractures between 2015 and 2019, at a mean age of 74.87 (range 65–99), were enrolled. A control group included 20 subjects free from significant disorders of the musculoskeletal system and any other disorders that might induce a compensatory abnormal gait pattern. Functional results were assessed by the Harris Hip Score, and the plantar pressure distribution and arch index were measured with a pedobarographic examination. Radiographic parameters were assessed based on the preoperative and postoperative standing AP pelvic radiographs and axial projection of the hip. The obtained results were evaluated at 9-month follow-up. The obtained results showed no significant difference between both study groups within the scope of the variables under study. To sum up, surgical treatment, either with DHS or intramedullary gamma nail fixation, and rehabilitation treatment support the symmetry of the musculoskeletal system. However, the full return of symmetry was not achieved at 9-month follow-up compared to the control group. Full article
(This article belongs to the Special Issue Biology and Symmetry/Asymmetry:Feature Papers 2022)
Show Figures

Figure 1

15 pages, 1100 KB  
Article
Determinants of Lack of Recovery from Dependency and Walking Ability Six Months after Hip Fracture in a Population of People Aged 65 Years and Over
by Enrique González Marcos, Enrique González García, Josefa González-Santos, Jerónimo J. González-Bernal, Adoración del Pilar Martín-Rodríguez and Mirian Santamaría-Peláez
J. Clin. Med. 2022, 11(15), 4467; https://doi.org/10.3390/jcm11154467 - 31 Jul 2022
Cited by 8 | Viewed by 2616
Abstract
Background: Hip fracture in the elderly means that between a quarter and a half of patients do not regain the levels of independence and walking ability that they previously had, according to the literature, after the fracture. Material and methods: Retrospective study of [...] Read more.
Background: Hip fracture in the elderly means that between a quarter and a half of patients do not regain the levels of independence and walking ability that they previously had, according to the literature, after the fracture. Material and methods: Retrospective study of 537 patients aged ≥65 years who survived at the sixth month after fracturing their hip, of which the age, sex, type of fracture, surgical risk, independence (BI), walking ability, cognitive level (PS), comorbidities, indicated drugs, complications, surgical delay, hospital stay, and surgical technique are known. Using Pearson’s χ2 test, all the variables were contrasted with respect to the limitation or not, at the sixth month of the recovery of both independence and pre-admission walking ability. Multivariate analysis provides the necessary adjustment to the previous contrast. Results: We have found that age and PS ≥ 5 at admission limit recovery from both dependency and walking ability. Surgical risk, independence (BI) upon admission, anemia, and constipation during the hospital stay limit the recovery of the BI. Worsening of walking ability during the hospital stay and the type of extra-articular fracture, which was surgically treated by osteosynthesis, limit the recovery of walking ability. Conclusions: The factors previously exposed, and perhaps the fact that patients with hip fractures are not routinely referred to rehabilitation, explain the high proportion of patients who do not recover their previous independency (36%) or walking ability (45%) to the fact of fracturing. Full article
(This article belongs to the Special Issue Orthopedic Treatment of Diseases and Fractures in Elderly)
Show Figures

Figure 1

Back to TopTop