Sign in to use this feature.

Years

Between: -

Subjects

remove_circle_outline
remove_circle_outline
remove_circle_outline
remove_circle_outline

Journals

Article Types

Countries / Regions

Search Results (38)

Search Parameters:
Keywords = high entropy superalloys

Order results
Result details
Results per page
Select all
Export citation of selected articles as:
21 pages, 14803 KB  
Article
Creep Behavior and Its Influencing Factors in High-Entropy Superalloys: A Molecular Dynamics Simulation Study
by Kangning Han, Qiuju Wang, Yaxin Zhu, Shulin Yuan, Changwei Wang, Shuang Liang and Lv Zhao
Materials 2026, 19(2), 233; https://doi.org/10.3390/ma19020233 - 7 Jan 2026
Viewed by 204
Abstract
In aero-engine applications, turbine blades operate under high-temperature and high-pressure thermomechanical cyclic loading conditions, which demand exceptional mechanical performance. High-entropy superalloys, characterized by a stable dual-phase γ/γ′ microstructure, have emerged as promising candidates for high-temperature structural materials due to their superior creep resistance. [...] Read more.
In aero-engine applications, turbine blades operate under high-temperature and high-pressure thermomechanical cyclic loading conditions, which demand exceptional mechanical performance. High-entropy superalloys, characterized by a stable dual-phase γ/γ′ microstructure, have emerged as promising candidates for high-temperature structural materials due to their superior creep resistance. In this study, the creep behaviors of high-entropy superalloys are systematically investigated using molecular dynamics simulations, exploring the effects of stress, temperature, γ/γ′ lattice misfit, and γ′ volume fraction on creep deformation mechanisms. The results show that both stress and temperature significantly influence creep behavior, with temperature exerting a more dominant effect. As the applied stress increases, the dominant creep mechanism evolves from atomic diffusion to dislocation nucleation and motion, eventually leading to phase transformation. Additionally, the γ/γ′ lattice misfit and γ′ volume fraction are found to critically affect the alloy’s creep resistance. Specifically, creep resistance initially increases and then decreases with increasing lattice misfit magnitude, while a negative misfit yields better performance than a positive one. Moreover, increasing the γ′ volume fraction enhances the alloy’s ability to resist creep deformation. Microstructural analysis and atomic diffusion data further reveal that the creep resistance of high-entropy superalloys is closely associated with the structural stability of the γ/γ′ dual-phase system. These findings provide useful insights for optimizing the high-temperature performance of high-entropy superalloys through microstructural design. Full article
Show Figures

Graphical abstract

17 pages, 21162 KB  
Article
Effect of Sc/Y Co-Doping on Initial Alumina Growth of Electron Beam Physical Vapor Deposited FeCoNiCrAl High-Entropy Coating
by Dongqing Li, Shuhui Zheng, Jian Gu and Jiajun Si
Coatings 2025, 15(12), 1436; https://doi.org/10.3390/coatings15121436 - 5 Dec 2025
Viewed by 466
Abstract
FeCoNiCrAl and FeCoNiCrAlScY high-entropy coatings were fabricated via electron beam physical vapor deposition. The microstructure and short-term isothermal oxidation behavior of the coatings were compared. Sc and Y inhibited coating element diffusion to the superalloy substrate and formed co-precipitated phases during coating manufacturing. [...] Read more.
FeCoNiCrAl and FeCoNiCrAlScY high-entropy coatings were fabricated via electron beam physical vapor deposition. The microstructure and short-term isothermal oxidation behavior of the coatings were compared. Sc and Y inhibited coating element diffusion to the superalloy substrate and formed co-precipitated phases during coating manufacturing. The Sc/Y co-doped coating exhibited accelerated phase transformation from θ- to α-Al2O3 as compared to the undoped one. The effect mechanism associated with the nucleation of α-Al2O3 was discussed. The preferential formation of Sc/Y-rich oxides promoted the nucleation of α-Al2O3 beneath them, and the θ-α phase evolution process was directly skipped, which suppressed the rapid growth of θ-Al2O3 and the initial formation of cracks in the alumina film and provided the FeCoNiCrAl high-entropy coating with an improved oxidation property in the early oxidation stage. Full article
(This article belongs to the Section Corrosion, Wear and Erosion)
Show Figures

Figure 1

20 pages, 9797 KB  
Article
The Laser Welding Research of Dissimilar Materials Between AlCoCrFeNi2.1 Eutectic High-Entropy Alloy and GH3030 Nickel-Based Alloy
by Anmin Liu, Ze An, Bin Wang, Hailin Qiao, Keming Chang and Yu Fan
Materials 2025, 18(21), 4970; https://doi.org/10.3390/ma18214970 - 31 Oct 2025
Viewed by 637
Abstract
Dissimilar material welding enables the integration of the superior properties of different materials, thereby achieving optimal structural performance and economic efficiency while meeting specific service requirements. The presence of solid-solution strengthening elements such as Ti, Co, and Al, and trace elements such as [...] Read more.
Dissimilar material welding enables the integration of the superior properties of different materials, thereby achieving optimal structural performance and economic efficiency while meeting specific service requirements. The presence of solid-solution strengthening elements such as Ti, Co, and Al, and trace elements such as P and S, in GH3030 nickel-based superalloy leads to their segregation and the formation of intermetallic compounds in the welded joint, resulting in deterioration of joint performance. High-entropy alloys (HEAs), with their high-entropy effect and delayed diffusion effect working synergistically, can effectively suppress compositional segregation caused by uneven elemental diffusion and the formation of intermetallic compounds at interfaces, thereby improving the quality of welded joints and demonstrating great potential for dissimilar material joining. Therefore, in this study, fiber laser welding was used to effectively join AlCoCrFeNi2.1 eutectic high-entropy alloy and GH3030 nickel-based superalloy, with the expectation to improve welded joint element segregation, suppressing the formation of intermetallic compounds, and enhance the welded joint quality and its performance. The AlCoCrFeNi2.1/GH3030 joint exhibits an average yield strength of 1.31 GPa, which is significantly higher than that of the GH3030/GH3030 joint (1.07 GPa). In addition, the AlCoCrFeNi2.1/GH3030 joint shows a higher average work-hardening exponent of 0.337 compared with 0.30 for the GH3030/GH3030 joint, indicating improved plasticity. The results showed that under appropriate welding process parameters, the hardness of the weld zone, transitioning from the nickel-based superalloy to the eutectic high-entropy alloy, exhibited a stable increasing trend, and the joint exhibits good plasticity, with brittle fracture being unlikely. Full article
Show Figures

Figure 1

24 pages, 5129 KB  
Article
On the Solidification and Phase Stability of Re-Bearing High-Entropy Superalloys with Hierarchical Microstructures
by Wei-Che Hsu, Takuma Saito, Mainak Saha, Hideyuki Murakami, Taisuke Sasaki and An-Chou Yeh
Metals 2025, 15(8), 820; https://doi.org/10.3390/met15080820 - 22 Jul 2025
Viewed by 1550
Abstract
This study presents the design and microstructural investigation of a single-crystal (SX) Re-bearing high-entropy superalloy (HESA-X1) featuring a thermally stable γ–γ′–γ hierarchical microstructure. The alloy exhibits FCC γ nanoparticles embedded within L12-ordered γ′ precipitates, themselves distributed in a γ matrix, with [...] Read more.
This study presents the design and microstructural investigation of a single-crystal (SX) Re-bearing high-entropy superalloy (HESA-X1) featuring a thermally stable γ–γ′–γ hierarchical microstructure. The alloy exhibits FCC γ nanoparticles embedded within L12-ordered γ′ precipitates, themselves distributed in a γ matrix, with the suppression of detrimental topologically close-packed (TCP) phases. To elucidate solidification behavior and phase stability, Scheil–Gulliver and TC-PRISMA simulations were conducted alongside SEM and XRD analyses. Near-atomic scale analysis in 3D using Atom Probe Tomography (APT) revealed pronounced elemental partitioning, with Re strongly segregating to the γ matrix, while Al and Ti were preferentially enriched in the γ′ phase. Notably, Re demonstrated a unique partitioning behavior compared to conventional superalloys, facilitating the formation and stabilization of γ nanoparticles during two-step aging (Ag-2). These γ nanoparticles significantly contribute to improved mechanical properties. Long-term aging (up to 200 h) at 750–850 °C confirmed exceptional phase stability, with minimal coarsening of γ′ and retention of γ nanoparticles. The coarsening rate constant K of γ′ at 750 °C was significantly lower than that of Re-free HESA, confirming the diffusion-suppressing effect of Re. These findings highlight critical roles of Re in enhancing microstructural stability by reducing atomic mobility, enabling the development of next-generation HESAs with superior thermal and mechanical properties for high-temperature applications. Full article
(This article belongs to the Special Issue Solidification and Casting of Metals and Alloys (2nd Edition))
Show Figures

Figure 1

35 pages, 7596 KB  
Review
Iron-Based High-Temperature Alloys: Alloying Strategies and New Opportunities
by Yingjie Qiao, Yanzhao Ni, Kun Yang, Peng Wang, Xiaodong Wang, Ruiliang Liu, Bin Sun and Chengying Bai
Materials 2025, 18(13), 2989; https://doi.org/10.3390/ma18132989 - 24 Jun 2025
Cited by 3 | Viewed by 3392
Abstract
Iron-based high-temperature alloys are engineered to withstand extreme conditions, including elevated temperatures, mechanical stress, and corrosive environments. These alloys play a critical role in industries such as aerospace, power generation, and chemical processing, where materials must maintain structural integrity and performance under demanding [...] Read more.
Iron-based high-temperature alloys are engineered to withstand extreme conditions, including elevated temperatures, mechanical stress, and corrosive environments. These alloys play a critical role in industries such as aerospace, power generation, and chemical processing, where materials must maintain structural integrity and performance under demanding operational conditions. This review examines recent advancements in iron-based alloys, with a focus on alloying strategies, high-temperature performance, and applications. Traditional approaches—including alloy design, microstructure control, process optimization, and computational modeling—continue to enhance alloy performance. Furthermore, emerging technologies such as high-entropy alloy (HEA) design, additive manufacturing (AM), nanostructured design with nanophase strengthening, and machine learning/artificial intelligence (ML/AI) are revolutionizing the development of iron-based superalloys, creating new opportunities for advanced material applications. Full article
(This article belongs to the Section Metals and Alloys)
Show Figures

Graphical abstract

12 pages, 5661 KB  
Article
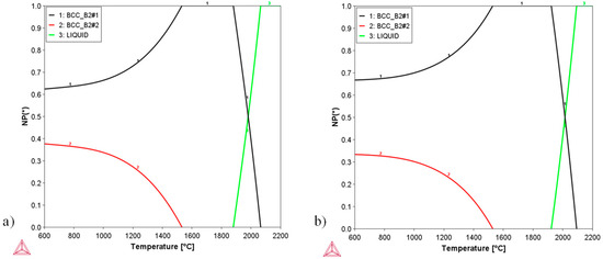
Microstructure and Phase Equilibria in BCC-B2 Nb-Ti-Ru Refractory Superalloys
by Melanie K. Moczadlo and Eric A. Lass
Materials 2024, 17(22), 5429; https://doi.org/10.3390/ma17225429 - 7 Nov 2024
Cited by 1 | Viewed by 2169
Abstract
Refractory superalloys (RSAs) are promising candidates for high-temperature, high-strength applications. Two-phase RSAs containing body-centered cubic (BCC) and ordered B2 phases are among the more promising candidates. Systems containing Ru-based B2 precipitates exhibit stable two-phase microstructures at temperatures in excess of 1600 °C. The [...] Read more.
Refractory superalloys (RSAs) are promising candidates for high-temperature, high-strength applications. Two-phase RSAs containing body-centered cubic (BCC) and ordered B2 phases are among the more promising candidates. Systems containing Ru-based B2 precipitates exhibit stable two-phase microstructures at temperatures in excess of 1600 °C. The present study experimentally investigated one potential foundational ternary system for these alloys, Nb-Ti-Ru. Two alloys, (Nb3Ti)0.85Ru0.15 and (Nb4Ti)0.85Ru0.15, were studied to determine phase equilibria and properties at temperatures between 900 °C and 1300 °C. The B2 phase was found to be dominated by RuTi ordering, although considerable Nb solubility was observed up to 18 mol %. The Nb-rich BCC matrix contained up to 15 mol % Ru and 20 mol % Ti. Although a two-phase microstructure of B2 precipitates in a BCC matrix was confirmed, the distribution of elements in the two phases resulted in a larger lattice misfit than expected. The results obtained in this investigation provide valuable information for the future development of RSAs utilizing Ru-based B2 strengthening precipitates. Full article
(This article belongs to the Section Metals and Alloys)
Show Figures

Figure 1

17 pages, 4505 KB  
Article
Temperature-Dependent Mechanical Behaviors and Deformation Mechanisms in a Si-Added Medium-Entropy Superalloy with L12 Precipitation
by Tuanwei Zhang, Tianxiang Bai, Renlong Xiong, Shunhui Luo, Hui Chang, Shiyu Du, Jinyao Ma, Zhiming Jiao, Shengguo Ma, Jianjun Wang and Zhihua Wang
Metals 2024, 14(7), 749; https://doi.org/10.3390/met14070749 - 25 Jun 2024
Cited by 1 | Viewed by 2163
Abstract
A novel Ni-Co-Cr-based medium-entropy superalloy with a high Si content (7.5 at%) strengthened by an L12 phase was developed. The pure L12 phase, characterized by an average size of 50 nm and a volume fraction of 46%, was precipitated within the [...] Read more.
A novel Ni-Co-Cr-based medium-entropy superalloy with a high Si content (7.5 at%) strengthened by an L12 phase was developed. The pure L12 phase, characterized by an average size of 50 nm and a volume fraction of 46%, was precipitated within the FCC matrix. This alloy exhibits excellent mechanical properties over a wide range of temperatures from 77 K to 1073 K. A yield strength of 1005 MPa, an ultimate tensile strength of 1620 MPa, and a tensile elongation of 36% were achieved at 77 K, with a maximum value of 4.8 GPa at the second stage of the work-hardening rate. The alloy maintains a basically consistent yield strength of approximately 800 MPa from 298 K to 973 K, showcasing significant strain-hardening capabilities, with values of 2.5 GPa, 3.7 GPa, and 4.8 GPa at 873 K, 298 K, and 77 K, respectively. Microscopic analysis revealed that at room and cryogenic temperatures, multilayer stacking faults (SFs), SF bands, and SF networks, rather than twins, effectively stored a large number of dislocations and impeded dislocation movement, thereby enhancing the work-hardening ability of the alloy. Furthermore, at 773 K, the primary deformation mechanism involved high-density dislocation walls (HDDWs) consisting of dislocation tangles and SF lines. As the temperature rose to 973 K, the work-hardening process was influenced by the APB shearing mechanism (in the form of dislocation pairs), SF lines, and microtwins generated through atomic rearrangement. This study not only provides valuable insights for the development of new oxidation-resistant superalloys but also enhances our understanding of high-temperature deformation mechanisms. Full article
Show Figures

Figure 1

34 pages, 2290 KB  
Review
A Comprehensive Understanding of Thermal Barrier Coatings (TBCs): Applications, Materials, Coating Design and Failure Mechanisms
by Maria Bogdan and Ildiko Peter
Metals 2024, 14(5), 575; https://doi.org/10.3390/met14050575 - 13 May 2024
Cited by 72 | Viewed by 22632
Abstract
This review offers a comprehensive analysis of thermal barrier coatings (TBCs) applied to metallic materials. By reviewing the recent literature, this paper reports on a collection of technical information, involving the structure and role of TBCs, various materials and coating processes, as well [...] Read more.
This review offers a comprehensive analysis of thermal barrier coatings (TBCs) applied to metallic materials. By reviewing the recent literature, this paper reports on a collection of technical information, involving the structure and role of TBCs, various materials and coating processes, as well as the mechanisms involved in the durability and failure of TBCs. Although TBCs have been successfully utilized in advanced applications for nearly five decades, they continue to be a subject of keen interest and ongoing study in the world of materials science, with overviews of the field’s evolution remaining ever relevant. Thus, this paper outlines the current requirements of the main application areas of TBCs (aerospace, power generation and the automotive and naval industries) and the properties and resistance to thermal, mechanical and chemical stress of the different types of materials used, such as zirconates, niobates, tantalates or mullite. Additionally, recent approaches in the literature, such as high-entropy coatings and multilayer coatings, are presented and discussed. By analyzing the failure processes of TBCs, issues related to delamination, spallation, erosion and oxidation are revealed. Integrating TBCs with the latest generations of superalloys, as well as examining heat transfer mechanisms, could represent key areas for in-depth study. Full article
Show Figures

Figure 1

13 pages, 4873 KB  
Article
Micro-/Meso-Structure Control of Multi-Hostmetal Alloys by Massive Nitrogen Supersaturation
by Tatsuhiko Aizawa
Materials 2024, 17(6), 1294; https://doi.org/10.3390/ma17061294 - 11 Mar 2024
Cited by 4 | Viewed by 1494
Abstract
The low-temperature plasma nitriding was utilized to describe the microscopic solid-phase separation in the austenitic stainless-steel type AISI316, induced by the nitrogen supersaturation. This nitrogen supersaturated layer with the thickness of 60 μm had a two-phase nanostructure where the nitrogen-poor and nitrogen-rich clusters [...] Read more.
The low-temperature plasma nitriding was utilized to describe the microscopic solid-phase separation in the austenitic stainless-steel type AISI316, induced by the nitrogen supersaturation. This nitrogen supersaturated layer with the thickness of 60 μm had a two-phase nanostructure where the nitrogen-poor and nitrogen-rich clusters separated from each other. Due to this microscopic solid-phase separation, iron and nickel atoms decomposed themselves from chromium atoms and nitrogen solutes in this nitrogen supersaturated AISI316 layer. These microscopic cluster separation and chemical decomposition among the constituent elements in AISI316 were induced in the multi-dimensional scale by the plastic straining along the slip lines in the (111)-orientation from the surface to the depth of matrix. The nitrogen solute diffused through the cluster boundaries into the depth. With the aid of masking technique, this nitrogen supersaturation and nanostructuring was controlled to take place only in the unmasked AISI316 matrix. The nanostructures with two separated clusters were mesoscopically embedded into AISI316 matrix after the masking micro-textures. This microscopic and mesoscopic structure control was available in surface treatment of multi-host metals such as superalloys and high entropy alloys. Full article
Show Figures

Figure 1

23 pages, 22249 KB  
Article
High-Temperature Oxidation and Microstructural Changes of Al0.75CoCrFeNi High-Entropy Alloy at 900 and 1100 °C
by Akhmad Ardian Korda, Mohamad Ali Akbar, Fadhli Muhammad, Tria Laksana Achmad, Budi Prawara, Djoko Hadi Prajitno, Bagus Hayatul Jihad, Muhamad Hananuputra Setianto and Eddy Agus Basuki
Metals 2024, 14(1), 33; https://doi.org/10.3390/met14010033 - 28 Dec 2023
Cited by 3 | Viewed by 4410
Abstract
The development of high-entropy alloys (HEAs) for high-temperature applications has been driven by the limitation of nickel-based superalloys in achieving optimal efficiency at higher temperatures for higher efficiency in power generation engines. The alloys must have high oxidation resistance and microstructural stability at [...] Read more.
The development of high-entropy alloys (HEAs) for high-temperature applications has been driven by the limitation of nickel-based superalloys in achieving optimal efficiency at higher temperatures for higher efficiency in power generation engines. The alloys must have high oxidation resistance and microstructural stability at high temperatures. Relatively equimolar multi elements involved in HEAs produce microstructure containing a single solid solution or multiphase that improves the mechanical properties and oxidation resistance resulting from sluggish diffusion and core effects. In this study, the oxidation behavior and microstructural changes of Al0.75CoCrFeNi HEA at 900, 1000, and 1100 °C in air atmosphere were investigated. Based on the XRD and SEM-EDS analysis, the mechanism of oxide scale formation and microstructural changes of the substrate are proposed. The results show that the oxidation behavior of the alloy follows a logarithmic rate law. Different oxide compounds of CoO, NiO, Cr2O3, and CrO3, θ-Al2O3, α-Al2O3, and Ni(Cr,Al)2O4 with semicontinuous oxides of Al2O3 with Cr2O3 subscale and an oxide mixture consisting of spinel of Ni(Cr,Al)2O4 and Co(Cr,Al)2O4 were found. During oxidation, Widmanstätten of FCC-A1 and BCC-B2/A2 phases in the substrate have changed. Spheroidization of B2 and a reduction in volume fraction decrease the hardness of the substrates. Full article
Show Figures

Figure 1

48 pages, 26390 KB  
Review
A Review on the Adiabatic Shear Banding Mechanism in Metals and Alloys Considering Microstructural Characteristics, Morphology and Fracture
by Konstantina D. Karantza and Dimitrios E. Manolakos
Metals 2023, 13(12), 1988; https://doi.org/10.3390/met13121988 - 7 Dec 2023
Cited by 32 | Viewed by 8926
Abstract
The current review work studies the adiabatic shear banding (ASB) mechanism in metals and alloys, focusing on its microstructural characteristics, dominant evolution mechanisms and final fracture. An ASB reflects a thermomechanical deformation instability developed under high strain and strain rates, finally leading to [...] Read more.
The current review work studies the adiabatic shear banding (ASB) mechanism in metals and alloys, focusing on its microstructural characteristics, dominant evolution mechanisms and final fracture. An ASB reflects a thermomechanical deformation instability developed under high strain and strain rates, finally leading to dynamic fracture. An ASB initially occurs under severe shear localization, followed by a significant rise in temperature due to high strain rate adiabatic conditions. That temperature increase activates thermal softening and mechanical degradation mechanisms, reacting to strain instability and facilitating micro-voiding, which, through its coalescence, results in cracking failure. This work aims to summarize and review the critical characteristics of an ASB’s microstructure and morphology, evolution mechanisms, the propensity of materials against an ASB and fracture mechanisms in order to highlight their stage-by-stage evolution and attribute them a more consecutive behavior rather than an uncontrollable one. In that way, this study focuses on underlining some ASB aspects that remain fuzzy, allowing for further research, such as research on the interaction between thermal and damage softening regarding their contribution to ASB evolution, the conversion of strain energy to internal heat, which proved to be material-dependent instead of constant, and the strain rate sensitivity effect, which also concerns whether the temperature rise reflects a precursor or a result of ASB. Except for conventional metals and alloys like steels (low carbon, stainless, maraging, armox, ultra-high-strength steels, etc.), titanium alloys, aluminum alloys, magnesium alloys, nickel superalloys, uranium alloys, zirconium alloys and pure copper, the ASB propensity of nanocrystalline and ultrafine-grained materials, metallic-laminated composites, bulk metallic glasses and high-entropy alloys is also evaluated. Finally, the need to develop a micro-/macroscopic coupling during the thermomechanical approach to the ASB phenomenon is pointed out, highlighting the interaction between microstructural softening mechanisms and macroscopic mechanical behavior during ASB evolution and fracture. Full article
(This article belongs to the Section Metal Failure Analysis)
Show Figures

Figure 1

14 pages, 7804 KB  
Article
The Effect of Yttrium Addition on Microstructure and Mechanical Properties of Refractory TiTaZrHfW High-Entropy Films
by Mohamed El Garah, Loïc Patout, Abdelhakim Bouissil, Ahmed Charai and Frederic Sanchette
Coatings 2023, 13(8), 1380; https://doi.org/10.3390/coatings13081380 - 7 Aug 2023
Cited by 10 | Viewed by 2756
Abstract
Refractory high-entropy films (RHEFs) are a new type of high-temperature material with great prospects for applications due to their superior properties. They have the potential to replace nickel-based superalloys in order to develop a new generation of materials that can be used under [...] Read more.
Refractory high-entropy films (RHEFs) are a new type of high-temperature material with great prospects for applications due to their superior properties. They have the potential to replace nickel-based superalloys in order to develop a new generation of materials that can be used under extreme conditions. (TiTaZrHf)100−xYx RHEFs are prepared using the magnetron sputtering technique. The yttrium (Y) content varies from 0 to 56 at.%. XRD analysis indicates the formation of an amorphous phase in Y-free films, while new phases are formed after the addition of Y. The results are confirmed by TEM analysis, revealing the formation of nano-grains with two phases L12 and Y-P6/mmm structure. With an increasing Y content, the grain size of the nano-grains increases, which has a significant effect on the mechanical properties of the films. Hardness decreases from 9.7 GPa to 5 GPa when the Y amount increases. A similar trend is observed for the Young’s modulus, ranging from 111.6 to 82 GPa. A smooth and featureless morphology is observed on the low Y content films, while those with a larger Y content appear columnar near the substrate. Furthermore, the phase evolution is evaluated by calculating the thermodynamic criteria ΔHmix, ΔSmix, Ω, and δ. The calculation results predict the formation of new phases and are then in good agreement with the experimental characterization. Full article
Show Figures

Figure 1

14 pages, 6687 KB  
Article
Effects of Cr Content on Microstructure and Mechanical Properties of Co-Free FeCryNiAl0.8 High-Entropy Alloys
by Puchang Cui, Wei Wang, Zhisheng Nong, Zhonghong Lai, Yong Liu and Jingchuan Zhu
Materials 2023, 16(9), 3348; https://doi.org/10.3390/ma16093348 - 25 Apr 2023
Cited by 5 | Viewed by 2812
Abstract
High-entropy alloys have gained widespread concern in response to the increased requirements for future high-temperature structural superalloys. By combining phase-diagram calculations with microhardness, compression behavior measurements at room temperature, and elevated temperature conditions, the very important role of the Cr element on the [...] Read more.
High-entropy alloys have gained widespread concern in response to the increased requirements for future high-temperature structural superalloys. By combining phase-diagram calculations with microhardness, compression behavior measurements at room temperature, and elevated temperature conditions, the very important role of the Cr element on the microstructure and properties is deeply revealed, which provides candidates materials for future high-temperature alloy applications. The increment of Cr favors the regulation of the two-phase fraction and distribution. The thermodynamic calculations illustrate that the density and melting point of the HEAs showed an increasing trend with the increase of the Cr content. The typical worm-like microstructure of the Cr0.6 alloy with a dual BCC structure was detected. Meanwhile, on the one hand, the increment of the Cr elements results in a considerable optimization of the mechanical properties of the alloy in terms of strength and ductility at room temperature. The corresponding compressive strength and plasticity of Cr0.6 alloy at room temperature are 3524 MPa and 43.3%. On the other hand, the high-temperature mechanical properties of the alloy are greatly enhanced. At 1000 °C, the yield strength of the Cr0.6 alloy is about 25 MPa higher than that of the Cr0.4 alloy. The superior mechanical properties are attributed to the pronounced work-hardening response, and the work-hardening behavior of Cr-containing HEAs was systematically analyzed by employing the modified Ludwik model. The higher content of Cr helps the resistance of the local deformation response, improving the nonuniform strain and promoting the balance of strength and ductility of the alloys. Full article
(This article belongs to the Special Issue Feature Papers in "Metals and Alloys" Section)
Show Figures

Figure 1

19 pages, 6894 KB  
Article
Microstructure and Properties of NiCoCrAlTi High Entropy Alloy Prepared Using MA-SPS Technique
by Zhipei Chen, Xiaona Ren, Peng Wang, Jiangxiong Hu and Changchun Ge
Materials 2023, 16(5), 2082; https://doi.org/10.3390/ma16052082 - 3 Mar 2023
Cited by 8 | Viewed by 3167
Abstract
In this study, Ni35Co35Cr12.6Al7.5Ti5Mo1.68W1.39Nb0.95Ta0.47 high entropy alloy (HEA) was prepared using mechanical alloying (MA) and spark plasma sintering (SPS) based on the unique design concept of [...] Read more.
In this study, Ni35Co35Cr12.6Al7.5Ti5Mo1.68W1.39Nb0.95Ta0.47 high entropy alloy (HEA) was prepared using mechanical alloying (MA) and spark plasma sintering (SPS) based on the unique design concept of HEAs and third-generation powder superalloys. The HEA phase formation rules of the alloy system were predicted but need to be verified empirically. The microstructure and phase structure of the HEA powder were investigated at different milling times and speeds, with different process control agents, and with an HEA block sintered at different temperatures. The milling time and speed do not affect the alloying process of the powder and increasing the milling speed reduces the powder particle size. After 50 h of milling with ethanol as PCA, the powder has a dual-phase FCC+BCC structure, and stearic acid as PCA inhibits the powder alloying. When the SPS temperature reaches 950 °C, the HEA transitions from a dual-phase to a single FCC phase structure and, with increasing temperature, the mechanical properties of the alloy gradually improve. When the temperature reaches 1150 °C, the HEA has a density of 7.92 g cm−3, a relative density of 98.7%, and a hardness of 1050 HV. The fracture mechanism is one with a typical cleavage, a brittle fracture with a maximum compressive strength of 2363 MPa and no yield point. Full article
(This article belongs to the Section Metals and Alloys)
Show Figures

Figure 1

13 pages, 6912 KB  
Article
Corrosion Behavior of Refractory High-Entropy Alloys in FLiNaK Molten Salts
by Kunjal Patel, Chaitanya Mahajan, Saideep Muskeri and Sundeep Mukherjee
Metals 2023, 13(3), 450; https://doi.org/10.3390/met13030450 - 22 Feb 2023
Cited by 18 | Viewed by 4917
Abstract
Refractory high-entropy alloys (RHEAs) have recently attracted widespread attention due to their outstanding mechanical properties at elevated temperatures, making them appealing for concentrating solar power and nuclear energy applications. Here, the corrosion behavior of equimolar HfTaTiVZr and TaTiVWZr RHEAs was investigated in molten [...] Read more.
Refractory high-entropy alloys (RHEAs) have recently attracted widespread attention due to their outstanding mechanical properties at elevated temperatures, making them appealing for concentrating solar power and nuclear energy applications. Here, the corrosion behavior of equimolar HfTaTiVZr and TaTiVWZr RHEAs was investigated in molten FLiNaK eutectic salt (LiF-NaF-KF: 46.5−11.5−42 mol.%) at 650 °C. Potentiodynamic polarization, electrochemical impedance spectroscopy (EIS), and immersion test measurements were carried out for these two RHEAs and compared with Inconel 718 (IN718) superalloy and SS316 stainless steel under identical test conditions. Both TaTiVWZr and HfTaTiVZr refractory high-entropy alloys exhibited an order of magnitude lower corrosion rate than SS316. IN718 and TaTiVWZr showed similar corrosion rates. Corrosion products enriched with noble alloying elements formed in the case of TaTiVWZr and IN718 were stable and protective on the substrate. SS316 showed the lowest corrosion resistance and void formation along the exposed surface due to the active dissolution of Cr and Fe, which provided diffusion paths for the corroded species. The surface analysis results showed that IN718 underwent pitting corrosion, while TaTiVWZr experienced selective dissolution in the inter-dendritic area. In contrast, HfTaTiVZr and SS316 experienced corrosion at the grain boundaries. Full article
(This article belongs to the Topic Materials for Extreme Environments)
Show Figures

Figure 1

Back to TopTop