Creep Behavior and Its Influencing Factors in High-Entropy Superalloys: A Molecular Dynamics Simulation Study
Abstract
1. Introduction
2. Simulation Model and Methodology
3. Results and Discussion
3.1. Creep Responses of HESAs
3.2. Stress Dependence of the Stress Exponent n and Creep Mechanism
3.3. Difference in Creep Resistance Between HESA and HEA
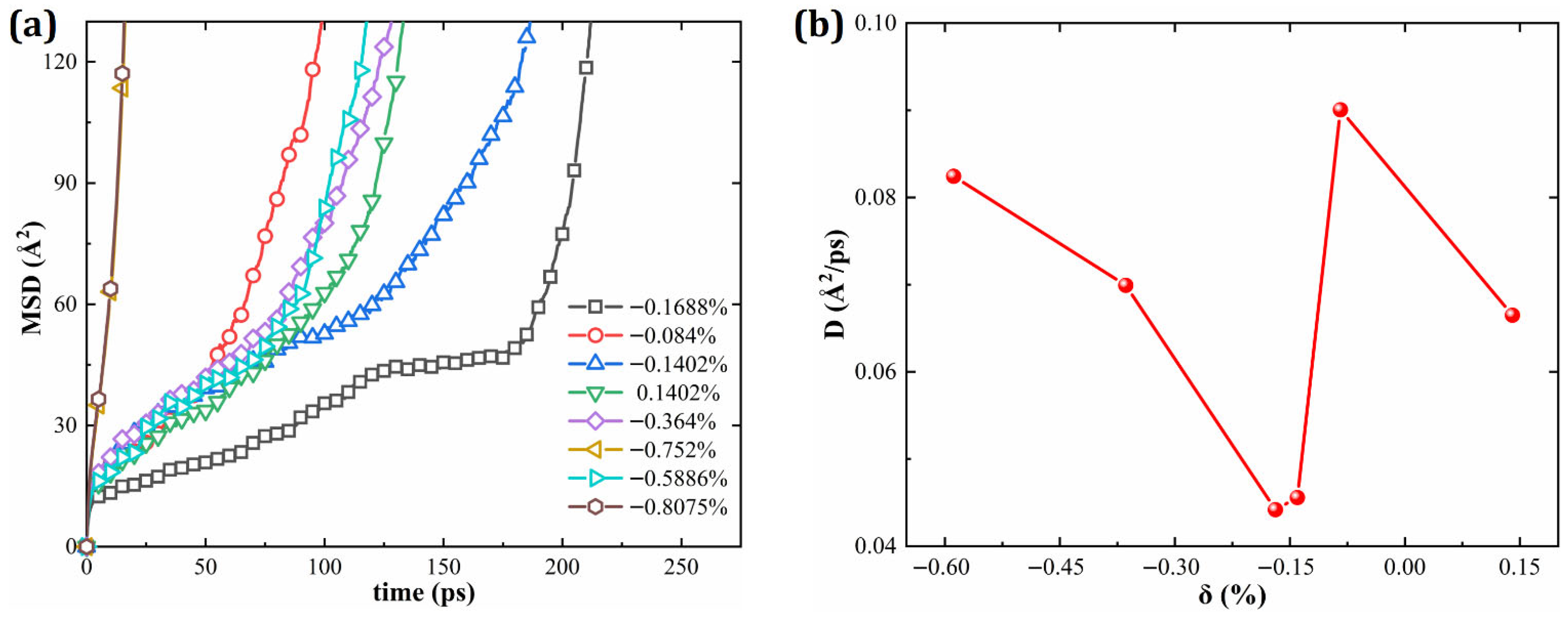
3.4. Effect of γ/γ′ Lattice Misfit on the Creep Properties of HESA
3.5. Effect of γ′ Volume Fraction on the Creep Properties of HESAs
4. Conclusions
- (1)
- The creep behavior of both HESAs and HEAs is strongly influenced by stress and temperature, and their combined effect governs the rate of atomic rearrangement during deformation. As these parameters increase, the creep rate accelerates rapidly due to enhanced diffusion and easier activation of deformation carriers. Temperature plays a particularly dominant role, as high thermal energy significantly facilitates atomic mobility, vacancy migration, and interface-mediated processes. Compared with HEAs, HESAs consistently exhibit lower creep strain under identical conditions, and the difference becomes more pronounced at higher stress–temperature combinations, highlighting the intrinsic microstructural advantages of γ/γ′-strengthened systems.
- (2)
- A clear transition in creep mechanisms is observed, evolving from diffusion-dominated deformation at low stresses to dislocation nucleation, glide, and interaction at intermediate conditions, and ultimately to stress-induced phase transformation at higher stresses and temperatures. This progression is corroborated by atomic-scale structural evolution and steady-state creep theory. Under identical conditions, HESAs show markedly superior creep resistance to HEAs, mainly due to the strong blocking effect of γ/γ′ interfaces on dislocation motion and atomic transport.
- (3)
- Both the γ/γ′ lattice misfit and γ′ volume fraction exert a critical influence on creep resistance. The relationship between misfit magnitude and creep behavior is non-monotonic: moderate negative misfit enhances interfacial coherency and stabilizes the microstructure, thereby improving creep resistance, whereas excessively large misfit increases interfacial strain energy and deteriorates performance. A negative misfit is generally more effective in resisting creep because it strengthens the γ/γ′ interface and reduces dislocation transmissibility. In addition, increasing the γ′ volume fraction significantly enhances creep resistance, as more extensive γ′ coverage reduces available diffusion pathways, suppresses defect activity, and provides more effective barriers to dislocation motion. The alloy with the highest γ′ fraction consistently exhibits the lowest creep rate and the most stable microstructural response.
Author Contributions
Funding
Data Availability Statement
Conflicts of Interest
References
- Walston, S.; Cetel, A.; MacKay, R.; O’Hara, K.; Duhl, D.; Dreshfield, R. Joint development of a fourth generation single crystal superalloy. In Proceedings of the Tenth International Symposium on Superalloys, Champion, PA, USA, 19–23 September 2004. [Google Scholar]
- Xie, X.; Chi, C.; Zhao, S.; Dong, J.; Lin, F. Materials Science Forum; Trans Tech Publications Ltd.: Bäch, Switzerland, 2013. [Google Scholar]
- Williams, J.C.; Starke, E.A., Jr. Progress in structural materials for aerospace systems. Acta Mater. 2003, 51, 5775–5799. [Google Scholar] [CrossRef]
- Dada, M.; Popoola, P.; Mathe, N. Recent advances of high entropy alloys for aerospace applications: A review. World J. Eng. 2023, 20, 43–74. [Google Scholar] [CrossRef]
- Zeng, Y.; Li, X. Atomistic simulations of high-temperature creep in nanotwinned TiAl alloys. Extrem. Mech. Lett. 2021, 44, 101253. [Google Scholar] [CrossRef]
- Khoei, A.R.; Eshlaghi, G.T.; Shahoveisi, S. Atomistic simulation of creep deformation mechanisms in nickel-based single crystal superalloys. Mater. Sci. Eng. A-Struct. Mater. Prop. Microstruct. Process. 2021, 809, 140977. [Google Scholar] [CrossRef]
- Khoei, A.R.; Youzi, M.; Eshlaghi, G.T. Mechanical properties and γ/γ′ interfacial misfit network evolution: A study towards the creep behavior of Ni-based single crystal superalloys. Mech. Mater. 2022, 171, 104368. [Google Scholar] [CrossRef]
- Pollock, T.M.; Argon, A.S. Creep resistance of CMSX-3 nickel base superalloy single crystals. Acta Metall. Mater. 1992, 40, 1–30. [Google Scholar] [CrossRef]
- Li, X.; Zhu, Y.; Zhao, L.; Liang, S.; Huang, M.; Li, Z. Two-phase microstructure-based crystal plasticity constitutive model for nickel-based single crystal superalloys incorporating Re effects on rafting and dislocation evolution. Int. J. Plast. 2025, 189, 104343. [Google Scholar] [CrossRef]
- Kral, P.; Blum, W.; Dvorak, J.; Yurchenko, N.; Stepanov, N.; Zherebtsov, S.; Kuncicka, L.; Kvapilova, M.; Sklenicka, V. Creep behavior of an AlTiVNbZr0.25 high entropy alloy at 1073 K. Mater. Sci. Eng. A 2020, 783, 139291. [Google Scholar] [CrossRef]
- Zhang, L.; Yu, P.; Cheng, H.; Zhang, H.; Diao, H.; Shi, Y.; Chen, B.; Chen, P.; Feng, R.; Bai, J.; et al. Nanoindentation Creep Behavior of an Al0.3CoCrFeNi High-Entropy Alloy. Metall. Mater. Trans. A 2016, 47, 5871–5875. [Google Scholar] [CrossRef]
- Chen, S.; Qiao, J.; Diao, H.; Yang, T.; Poplawsky, J.; Li, W.; Meng, F.; Tong, Y.; Jiang, L.; Liaw, P.K.; et al. Extraordinary creep resistance in a non-equiatomic high-entropy alloy from the optimum solid-solution strengthening and stress-assisted precipitation process. Acta Mater. 2023, 244, 118600. [Google Scholar] [CrossRef]
- Xia, W.; Zhao, X.; Yue, L.; Zhang, Z. Microstructural evolution and creep mechanisms in Ni-based single crystal superalloys: A review. J. Alloys Compd. 2020, 819, 152954. [Google Scholar] [CrossRef]
- Li, X.; Huang, M.; Zhao, L.; Liang, S.; Zhu, Y.; Li, Z. Study on Re effect on the mechanical behavior of nickel-based single crystal superalloy. J. Mater. Res. Technol. 2024, 33, 8730–8745. [Google Scholar] [CrossRef]
- Zhu, Y.; Li, Z.; Huang, M. Atomistic modeling of the interaction between matrix dislocation and interfacial misfit dislocation networks in Ni-based single crystal superalloy. Comput. Mater. Sci. 2013, 70, 178–186. [Google Scholar] [CrossRef]
- Mukherji, D.; Rösler, J. Effect of the γ′ volume fraction on the creep strength of Ni-base superalloys. Int. J. Mater. Res. 2003, 94, 478–484. [Google Scholar] [CrossRef]
- Mughrabi, H. The importance of sign and magnitude of γ/γ′ lattice misfit in superalloys-with special reference to the new γ′-hardened cobalt-base superalloys. Acta Mater. 2014, 81, 21–29. [Google Scholar] [CrossRef]
- Nathal, M.V.; Mackay, R.A.; Garlick, R.G. Temperature dependence of γ-γ′ lattice mismatch in Nickel-base superalloys. Mater. Sci. Eng. 1985, 75, 195–205. [Google Scholar] [CrossRef]
- Biermann, H.; Strehler, M.; Mughrabi, H. High-temperature measurements of lattice parameters and internal stresses of a creep-deformed monocrystalline nickel-base superalloy. Metall. Mater. Trans. A Phys. Metall. Mater. Sci. 1996, 27, 1003–1014. [Google Scholar] [CrossRef]
- Zhang, J.X.; Wang, J.C.; Harada, H.; Koizumi, Y. The effect of lattice misfit on the dislocation motion in superalloys during high-temperature low-stress creep. Acta Mater. 2005, 53, 4623–4633. [Google Scholar] [CrossRef]
- Lahrman, D.F.; Field, R.D.; Darolia, R.; Fraser, H.L. Investigation of techniques for measuring lattice mismatch in a rhenium containing nickel base superalloy. Acta Metall. 1988, 36, 1309–1320. [Google Scholar] [CrossRef]
- Lee, D.H.; Seok, M.Y.; Zhao, Y.; Choi, I.C.; He, J.; Lu, Z.; Suh, J.-Y.; Ramamurty, U.; Kawasaki, M.; Langdon, T.G.; et al. Spherical nanoindentation creep behavior of nanocrystalline and coarse-grained CoCrFeMnNi high-entropy alloys. Acta Mater. 2016, 109, 314–322. [Google Scholar] [CrossRef]
- Ma, Y.; Feng, Y.H.; Debela, T.T.; Peng, G.J.; Zhang, T.H. Nanoindentation study on the creep characteristics of high-entropy alloy films: Fcc versus bcc structures. Int. J. Refract. Met. Hard Mater. 2016, 54, 395–400. [Google Scholar] [CrossRef]
- Rouault-Rogez, H.; Dupeux, M.; Ignat, M. High temperature tensile creep of CMSX-2 Nickel base superalloy single crystals. Acta Metall. Mater. 1994, 42, 3137–3148. [Google Scholar] [CrossRef]
- Sreeramagiri, P.; Sharma, P.; Das, C.; Balasubramanian, G. Examining solid-state sintering of AlCoCrFeNi multi-principal element alloy by molecular simulations. Comput. Mater. Sci. 2023, 216, 111875. [Google Scholar] [CrossRef]
- Murakumo, T.; Koizumi, Y.; Kobayashi, K.; Harada, H. Creep strength of Ni-base single-crystal superalloys on the γ/γ′ tie-line. Superalloys 2004, 2004, 155–162. [Google Scholar]
- Tsao, T.-K.; Yeh, A.-C.; Kuo, C.-M.; Kakehi, K.; Murakami, H.; Yeh, J.-W.; Jian, S.-R. The High Temperature Tensile and Creep Behaviors of High Entropy Superalloy. Sci. Rep. 2017, 7, 12658. [Google Scholar] [CrossRef]
- Chen, Y.-T.; Chang, Y.-J.; Murakami, H.; Sasaki, T.; Hono, K.; Li, C.-W.; Kakehi, K.; Yeh, J.-W.; Yeh, A.-C. Hierarchical microstructure strengthening in a single crystal high entropy superalloy. Sci. Rep. 2020, 10, 12163. [Google Scholar] [CrossRef]
- Farkas, D.; Caro, A. Model interatomic potentials for Fe-Ni-Cr-Co-Al high-entropy alloys. J. Mater. Res. 2020, 35, 3031–3040. [Google Scholar] [CrossRef]
- Wang, Y.-J.; Ishii, A.; Ogata, S. Transition of creep mechanism in nanocrystalline metals. Phys. Rev. B 2011, 84, 224102. [Google Scholar] [CrossRef]
- Bhatia, M.A.; Mathaudhu, S.N.; Solanki, K.N. Atomic-scale investigation of creep behavior in nanocrystalline Mg and Mg–Y alloys. Acta Mater. 2015, 99, 382–391. [Google Scholar] [CrossRef]
- Thompson, A.P.; Aktulga, H.M.; Berger, R.; Bolintineanu, D.S.; Brown, W.M.; Crozier, P.S.; in ‘t Veld, P.J.; Kohlmeyer, A.; Moore, S.G.; Nguyen, T.D.; et al. LAMMPS—A flexible simulation tool for particle-based materials modeling at the atomic, meso, and continuum scales. Comput. Phys. Commun. 2022, 271, 108171. [Google Scholar] [CrossRef]
- Malti, A.; Rashidfar, P.; Kardani, A.; Montazeri, A. Microstructural evolution and phase transitions in porous Ta/Cu alloys under high strain rates. Sci. Rep. 2025, 15, 19291. [Google Scholar] [CrossRef]
- Stukowski, A. Visualization and analysis of atomistic simulation data with OVITO-the open visualization tool. Model. Simul. Mater. Sci. Eng. 2010, 18, 015012. [Google Scholar] [CrossRef]
- Millett, P.C.; Desai, T.; Yamakov, V.; Wolf, D. Atomistic simulations of diffusional creep in a nanocrystalline body-centered cubic material. Acta Mater. 2008, 56, 3688–3698. [Google Scholar] [CrossRef]
- Faken, D.; Jónsson, H. Systematic analysis of local atomic structure combined with 3D computer graphics. Comput. Mater. Sci. 1994, 2, 279–286. [Google Scholar] [CrossRef]
- Stukowski, A.; Bulatov, V.; Arsenlis, A. Automated identification and indexing of dislocations in crystal interfaces. Model. Simul. Mater. Sci. Eng. 2012, 20, 085007. [Google Scholar] [CrossRef]
- Nordlund, K.; Averback, R.S. Point defect movement and annealing in collision cascades. Phys. Rev. B 1997, 56, 2421–2431. [Google Scholar] [CrossRef]
- Mukherjee, A.K.; Bird, J.E.; Dorn, J.E. Experimental correlations for high-temperature creep. ASM Trans. Q. 1969, 62, 155–179. [Google Scholar]
- Nie, K.; Wu, W.P.; Zhang, X.L.; Yang, S.M. Molecular dynamics study on the grain size, temperature, and stress dependence of creep behavior in nanocrystalline nickel. J. Mater. Sci. 2017, 52, 2180–2191. [Google Scholar] [CrossRef]
- Pollock, T.M.; Field, R.D. Dislocations in Solids; Nabarro, F.R.N., Duesbery, M.S., Eds.; Elsevier: Amsterdam, The Netherlands, 2002. [Google Scholar]
- Song, W.; Wang, X.; Li, J.; Meng, J.; Yang, Y.; Liu, J.; Liu, J.; Zhou, Y.; Sun, X. Influence of Ta/Al ratio on the microstructure and creep property of a Ru-containing Ni-based single-crystal superalloy. J. Mater. Sci. Technol. 2021, 89, 16–23. [Google Scholar] [CrossRef]
- Johnson, W.C.; Voorhees, P.W. Elastically-induced precipitate shape transitions in coherent solids. Solid. State Phenom. 1992, 23–24, 87–103. [Google Scholar] [CrossRef]
- Khachaturyan, A.G.; Semenovskaya, S.V.; Morris, J.W. Theoretical analysis of strain-induced shape changes in cubic precipitates during coarsening. Acta Metall. 1988, 36, 1563–1572. [Google Scholar] [CrossRef]
- Wang, Q.; Li, Z.; Pang, S.; Li, X.; Dong, C.; Liaw, P.K. Coherent precipitation and strengthening in compositionally complex alloys: A review. Entropy 2018, 20, 878. [Google Scholar] [CrossRef] [PubMed]



















| 500 K | 750 K | 1000 K | |
|---|---|---|---|
| HESA | 5.5 × 10−4 | 2.75 × 10−3 | 8.87 × 10−3 |
| HEA | 3.32 × 10−3 | 3.82 × 10−3 | 3.1 × 10−2 |
Disclaimer/Publisher’s Note: The statements, opinions and data contained in all publications are solely those of the individual author(s) and contributor(s) and not of MDPI and/or the editor(s). MDPI and/or the editor(s) disclaim responsibility for any injury to people or property resulting from any ideas, methods, instructions or products referred to in the content. |
© 2026 by the authors. Licensee MDPI, Basel, Switzerland. This article is an open access article distributed under the terms and conditions of the Creative Commons Attribution (CC BY) license.
Share and Cite
Han, K.; Wang, Q.; Zhu, Y.; Yuan, S.; Wang, C.; Liang, S.; Zhao, L. Creep Behavior and Its Influencing Factors in High-Entropy Superalloys: A Molecular Dynamics Simulation Study. Materials 2026, 19, 233. https://doi.org/10.3390/ma19020233
Han K, Wang Q, Zhu Y, Yuan S, Wang C, Liang S, Zhao L. Creep Behavior and Its Influencing Factors in High-Entropy Superalloys: A Molecular Dynamics Simulation Study. Materials. 2026; 19(2):233. https://doi.org/10.3390/ma19020233
Chicago/Turabian StyleHan, Kangning, Qiuju Wang, Yaxin Zhu, Shulin Yuan, Changwei Wang, Shuang Liang, and Lv Zhao. 2026. "Creep Behavior and Its Influencing Factors in High-Entropy Superalloys: A Molecular Dynamics Simulation Study" Materials 19, no. 2: 233. https://doi.org/10.3390/ma19020233
APA StyleHan, K., Wang, Q., Zhu, Y., Yuan, S., Wang, C., Liang, S., & Zhao, L. (2026). Creep Behavior and Its Influencing Factors in High-Entropy Superalloys: A Molecular Dynamics Simulation Study. Materials, 19(2), 233. https://doi.org/10.3390/ma19020233

