Sign in to use this feature.

Years

Between: -

Subjects

remove_circle_outline
remove_circle_outline
remove_circle_outline
remove_circle_outline
remove_circle_outline

Journals

Article Types

Countries / Regions

Search Results (21)

Search Parameters:
Keywords = hierarchical variational inequality problem

Order results
Result details
Results per page
Select all
Export citation of selected articles as:
21 pages, 729 KB  
Article
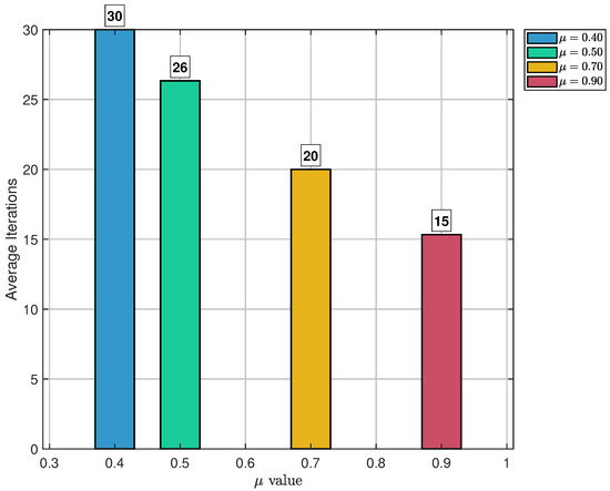
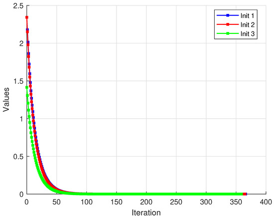
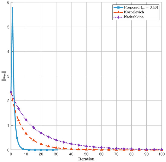
Krasnosel’skiǐ–Mann-Type Subgradient Extragradient Algorithms for Variational Inequality and Hierarchical Fixed-Point Problems
by Monairah Alansari, Rehan Ali and Mohammad Farid
Mathematics 2025, 13(23), 3740; https://doi.org/10.3390/math13233740 - 21 Nov 2025
Viewed by 356
Abstract
In this work, we present a Krasnosel’skiǐ–Mann-type subgradient extragradient algorithm to solve variational inequalities and hierarchical fixed-point problems for nonexpansive and quasi-nonexpansive mappings in Hilbert spaces. We establish weak convergence of the generated sequences to a common solution and derive several related results. [...] Read more.
In this work, we present a Krasnosel’skiǐ–Mann-type subgradient extragradient algorithm to solve variational inequalities and hierarchical fixed-point problems for nonexpansive and quasi-nonexpansive mappings in Hilbert spaces. We establish weak convergence of the generated sequences to a common solution and derive several related results. The algorithm is validated through numerical examples, and several applications are discussed to demonstrate the method’s applicability. The proposed approach extends and unifies existing methods and findings in this field. Full article
(This article belongs to the Special Issue Functional Analysis and Mathematical Optimization)
Show Figures

Figure 1

19 pages, 312 KB  
Article
Modified Double Inertial Extragradient-like Approaches for Convex Bilevel Optimization Problems with VIP and CFPP Constraints
by Yue Zeng, Lu-Chuan Ceng, Liu-Fang Zheng and Xie Wang
Symmetry 2024, 16(10), 1324; https://doi.org/10.3390/sym16101324 - 8 Oct 2024
Viewed by 1433
Abstract
Convex bilevel optimization problems (CBOPs) exhibit a vital impact on the decision-making process under the hierarchical setting when image restoration plays a key role in signal processing and computer vision. In this paper, a modified double inertial extragradient-like approach with a line search [...] Read more.
Convex bilevel optimization problems (CBOPs) exhibit a vital impact on the decision-making process under the hierarchical setting when image restoration plays a key role in signal processing and computer vision. In this paper, a modified double inertial extragradient-like approach with a line search procedure is introduced to tackle the CBOP with constraints of the CFPP and VIP, where the CFPP and VIP represent a common fixed point problem and a variational inequality problem, respectively. The strong convergence analysis of the proposed algorithm is discussed under certain mild assumptions, where it constitutes both sections that possess a mutual symmetry structure to a certain extent. As an application, our proposed algorithm is exploited for treating the image restoration problem, i.e., the LASSO problem with the constraints of fractional programming and fixed-point problems. The illustrative instance highlights the specific advantages and potential infect of the our proposed algorithm over the existing algorithms in the literature, particularly in the domain of image restoration. Full article
17 pages, 340 KB  
Article
Novel Accelerated Cyclic Iterative Approximation for Hierarchical Variational Inequalities Constrained by Multiple-Set Split Common Fixed-Point Problems
by Yao Ye and Heng-you Lan
Mathematics 2024, 12(18), 2935; https://doi.org/10.3390/math12182935 - 21 Sep 2024
Viewed by 938
Abstract
In this paper, we investigate a class of hierarchical variational inequalities (HVIPs, i.e., strongly monotone variational inequality problems defined on the solution set of multiple-set split common fixed-point problems) with quasi-pseudocontractive mappings in real Hilbert spaces, with special cases being able to be [...] Read more.
In this paper, we investigate a class of hierarchical variational inequalities (HVIPs, i.e., strongly monotone variational inequality problems defined on the solution set of multiple-set split common fixed-point problems) with quasi-pseudocontractive mappings in real Hilbert spaces, with special cases being able to be found in many important engineering practical applications, such as image recognizing, signal processing, and machine learning. In order to solve HVIPs of potential application value, inspired by the primal-dual algorithm, we propose a novel accelerated cyclic iterative algorithm that combines the inertial method with a correction term and a self-adaptive step-size technique. Our approach eliminates the need for prior knowledge of the bounded linear operator norm. Under appropriate assumptions, we establish strong convergence of the algorithm. Finally, we apply our novel iterative approximation to solve multiple-set split feasibility problems and verify the effectiveness of the proposed iterative algorithm through numerical results. Full article
(This article belongs to the Special Issue Fixed Point, Optimization, and Applications II)
18 pages, 326 KB  
Article
Strong and Weak Convergence Theorems for the Split Feasibility Problem of (β,k)-Enriched Strict Pseudocontractive Mappings with an Application in Hilbert Spaces
by Asima Razzaque, Naeem Saleem, Imo Kalu Agwu, Umar Ishtiaq and Maggie Aphane
Symmetry 2024, 16(5), 546; https://doi.org/10.3390/sym16050546 - 2 May 2024
Cited by 1 | Viewed by 1296
Abstract
The concept of symmetry has played a major role in Hilbert space setting owing to the structure of a complete inner product space. Subsequently, different studies pertaining to symmetry, including symmetric operators, have investigated real Hilbert spaces. In this paper, we study the [...] Read more.
The concept of symmetry has played a major role in Hilbert space setting owing to the structure of a complete inner product space. Subsequently, different studies pertaining to symmetry, including symmetric operators, have investigated real Hilbert spaces. In this paper, we study the solutions to multiple-set split feasibility problems for a pair of finite families of β-enriched, strictly pseudocontractive mappings in the setup of a real Hilbert space. In view of this, we constructed an iterative scheme that properly included these two mappings into the formula. Under this iterative scheme, an appropriate condition for the existence of solutions and strong and weak convergent results are presented. No sum condition is imposed on the countably finite family of the iteration parameters in obtaining our results unlike for several other results in this direction. In addition, we prove that a slight modification of our iterative scheme could be applied in studying hierarchical variational inequality problems in a real Hilbert space. Our results improve, extend and generalize several results currently existing in the literature. Full article
(This article belongs to the Special Issue Elementary Fixed Point Theory and Common Fixed Points II)
16 pages, 1092 KB  
Article
On New Generalized Viscosity Implicit Double Midpoint Rule for Hierarchical Problem
by Thanyarat Jitpeera, Anantachai Padcharoen and Wiyada Kumam
Mathematics 2022, 10(24), 4755; https://doi.org/10.3390/math10244755 - 14 Dec 2022
Viewed by 1646
Abstract
The implicit midpoint rules are employed as a powerful numerical technique, and in this article we attend a class of viscosity iteration approximations on hierarchical problems for the implicit double midpoint rules. We prove the strong convergence theorem to the unique solution on [...] Read more.
The implicit midpoint rules are employed as a powerful numerical technique, and in this article we attend a class of viscosity iteration approximations on hierarchical problems for the implicit double midpoint rules. We prove the strong convergence theorem to the unique solution on hierarchical problem of this technique is established under some favorable conditions imposed on the control parameters in Hilbert spaces. Furthermore, we propose some applications to the constrained convex minimization problem, nonlinear Fredholm integral equation and variational inequality on fixed point problem. Moreover, some numerical examples are also presented to illustrate the different proposed methods and convergence results. Our results modified the implicit double midpoint rules with the hierarchical problem. Full article
Show Figures

Figure 1

13 pages, 313 KB  
Article
On a Class of Multistage Stochastic Hierarchical Problems
by Domenico Scopelliti
Mathematics 2022, 10(21), 4044; https://doi.org/10.3390/math10214044 - 31 Oct 2022
Cited by 1 | Viewed by 1631
Abstract
In this paper, following the multistage stochastic approach proposed by Rockafellar and Wets, we analyze a class of multistage stochastic hierarchical problems: the Multistage Stochastic Optimization Problem with Quasi-Variational Inequality Constraints. Such a problem is defined in a suitable functional setting relative to [...] Read more.
In this paper, following the multistage stochastic approach proposed by Rockafellar and Wets, we analyze a class of multistage stochastic hierarchical problems: the Multistage Stochastic Optimization Problem with Quasi-Variational Inequality Constraints. Such a problem is defined in a suitable functional setting relative to a finite set of possible scenarios and certain information fields. The key of this multistage stochastic hierarchical problem turns out to be the nonanticipativity: some constraints have to be included in the formulation to take into account the partial information progressively revealed. In this way, we are able to study real-world problems in which the hierarchical decision processes are characterized by sequential decisions in response to an increasing level of information. As an application of this class of multistage stochastic hierarchical problems, we focus on the study of a suitable Single-Leader-Multi-Follower game. Full article
26 pages, 383 KB  
Article
Modified Mann-Type Subgradient Extragradient Rules for Variational Inequalities and Common Fixed Points Implicating Countably Many Nonexpansive Operators
by Yun-Ling Cui, Lu-Chuan Ceng, Fang-Fei Zhang, Cong-Shan Wang, Jian-Ye Li, Hui-Ying Hu and Long He
Mathematics 2022, 10(11), 1949; https://doi.org/10.3390/math10111949 - 6 Jun 2022
Cited by 1 | Viewed by 1996
Abstract
In a real Hilbert space, let the CFPP, VIP, and HFPP denote the common fixed-point problem of countable nonexpansive operators and asymptotically nonexpansive operator, variational inequality problem, and hierarchical fixed point problem, respectively. With the help of the Mann iteration method, a subgradient [...] Read more.
In a real Hilbert space, let the CFPP, VIP, and HFPP denote the common fixed-point problem of countable nonexpansive operators and asymptotically nonexpansive operator, variational inequality problem, and hierarchical fixed point problem, respectively. With the help of the Mann iteration method, a subgradient extragradient approach with a linear-search process, and a hybrid deepest-descent technique, we construct two modified Mann-type subgradient extragradient rules with a linear-search process for finding a common solution of the CFPP and VIP. Under suitable assumptions, we demonstrate the strong convergence of the suggested rules to a common solution of the CFPP and VIP, which is only a solution of a certain HFPP. Full article
(This article belongs to the Special Issue Applied Functional Analysis and Applications)
21 pages, 350 KB  
Article
On Strengthened Inertial-Type Subgradient Extragradient Rule with Adaptive Step Sizes for Variational Inequalities and Fixed Points of Asymptotically Nonexpansive Mappings
by Lu-Chuan Ceng, Ching-Feng Wen, Yeong-Cheng Liou and Jen-Chih Yao
Mathematics 2022, 10(6), 958; https://doi.org/10.3390/math10060958 - 17 Mar 2022
Viewed by 1763
Abstract
In a real Hilbert space, let the VIP denote a pseudomonotone variational inequality problem with Lipschitz continuity operator, and let the CFPP indicate a common fixed-point problem of finitely many nonexpansive mappings and an asymptotically nonexpansive mapping. On the basis of the Mann [...] Read more.
In a real Hilbert space, let the VIP denote a pseudomonotone variational inequality problem with Lipschitz continuity operator, and let the CFPP indicate a common fixed-point problem of finitely many nonexpansive mappings and an asymptotically nonexpansive mapping. On the basis of the Mann iteration method, the viscosity approximation method and the hybrid steepest-descent method, we propose and analyze two strengthened inertial-type subgradient extragradient rules with adaptive step sizes for solving the VIP and CFPP. With the help of suitable restrictions, we show the strong convergence of the suggested rules to a common solution of the VIP and CFPP, which is the unique solution of a hierarchical variational inequality (HVI). Full article
(This article belongs to the Special Issue Applied Functional Analysis and Applications)
17 pages, 525 KB  
Article
A Regularized Generalized Popov’s Method to Solve the Hierarchical Variational Inequality Problem with Generalized Lipschitzian Mappings
by Yuanheng Wang, Yidan Gao and Bingnan Jiang
Symmetry 2022, 14(2), 187; https://doi.org/10.3390/sym14020187 - 18 Jan 2022
Cited by 3 | Viewed by 1636
Abstract
In this article, we introduce a new inertial multi-step regularized generalized Popov’s extra-gradient method to solve the hierarchical variational inequality problem (HVIP). We extend the previous Lipschitzian and strongly monotone mapping to a hemicontinuous, generalized Lipschitzian and strongly monotone mapping. We also obtain [...] Read more.
In this article, we introduce a new inertial multi-step regularized generalized Popov’s extra-gradient method to solve the hierarchical variational inequality problem (HVIP). We extend the previous Lipschitzian and strongly monotone mapping to a hemicontinuous, generalized Lipschitzian and strongly monotone mapping. We also obtain a strong convergence theorem about the new Popov’s algorithm. Furthermore, we utilize some numerical experiments to highlight the feasibility and effectiveness of our method. Full article
Show Figures

Figure 1

17 pages, 304 KB  
Article
On Mann-Type Subgradient-like Extragradient Method with Linear-Search Process for Hierarchical Variational Inequalities for Asymptotically Nonexpansive Mappings
by Lu-Chuan Ceng, Jen-Chih Yao and Yekini Shehu
Mathematics 2021, 9(24), 3322; https://doi.org/10.3390/math9243322 - 20 Dec 2021
Cited by 3 | Viewed by 2412
Abstract
We propose two Mann-type subgradient-like extra gradient iterations with the line-search procedure for hierarchical variational inequality (HVI) with the common fixed-point problem (CFPP) constraint of finite family of nonexpansive mappings and an asymptotically nonexpansive mapping in a real Hilbert space. Our methods include [...] Read more.
We propose two Mann-type subgradient-like extra gradient iterations with the line-search procedure for hierarchical variational inequality (HVI) with the common fixed-point problem (CFPP) constraint of finite family of nonexpansive mappings and an asymptotically nonexpansive mapping in a real Hilbert space. Our methods include combinations of the Mann iteration method, subgradient extra gradient method with the line-search process, and viscosity approximation method. Under suitable assumptions, we obtain the strong convergence results of sequence of iterates generated by our methods for a solution to HVI with the CFPP constraint. Full article
(This article belongs to the Special Issue Fixed Point, Optimization, and Applications II)
20 pages, 868 KB  
Article
Multi-Step Inertial Regularized Methods for Hierarchical Variational Inequality Problems Involving Generalized Lipschitzian Mappings
by Bingnan Jiang, Yuanheng Wang and Jen-Chih Yao
Mathematics 2021, 9(17), 2103; https://doi.org/10.3390/math9172103 - 31 Aug 2021
Cited by 10 | Viewed by 2555
Abstract
In this paper, we construct two multi-step inertial regularized methods for hierarchical inequality problems involving generalized Lipschitzian and hemicontinuous mappings in Hilbert spaces. Then we present two strong convergence theorems and some numerical experiments to show the effectiveness and feasibility of our new [...] Read more.
In this paper, we construct two multi-step inertial regularized methods for hierarchical inequality problems involving generalized Lipschitzian and hemicontinuous mappings in Hilbert spaces. Then we present two strong convergence theorems and some numerical experiments to show the effectiveness and feasibility of our new iterative methods. Full article
Show Figures

Figure 1

15 pages, 300 KB  
Article
The Split Various Variational Inequalities Problems for Three Hilbert Spaces
by Chinda Chaichuay and Atid Kangtunyakarn
Axioms 2020, 9(3), 103; https://doi.org/10.3390/axioms9030103 - 7 Sep 2020
Viewed by 3081
Abstract
There are many methods for finding a common solution of a system of variational inequalities, a split equilibrium problem, and a hierarchical fixed-point problem in the setting of real Hilbert spaces. They proved the strong convergence theorem. Many split feasibility problems are generated [...] Read more.
There are many methods for finding a common solution of a system of variational inequalities, a split equilibrium problem, and a hierarchical fixed-point problem in the setting of real Hilbert spaces. They proved the strong convergence theorem. Many split feasibility problems are generated in real Hillbert spaces. The open problem is proving a strong convergence theorem of three Hilbert spaces with different methods from the lasted method. In this research, a new split variational inequality in three Hilbert spaces is proposed. Important tools which are used to solve classical problems will be developed. The convergence theorem for finding a common element of the set of solution of such problems and the sets of fixed-points of discontinuous mappings has been proved. Full article
(This article belongs to the Special Issue Fixed Point Theory and Its Related Topics II)
13 pages, 266 KB  
Article
Hybrid Algorithms for Variational Inequalities Involving a Strict Pseudocontraction
by Sun Young Cho
Symmetry 2019, 11(12), 1502; https://doi.org/10.3390/sym11121502 - 11 Dec 2019
Cited by 2 | Viewed by 2503
Abstract
In a real Hilbert space, we investigate the Tseng’s extragradient algorithms with hybrid adaptive step-sizes for treating a Lipschitzian pseudomonotone variational inequality problem and a strict pseudocontraction fixed-point problem, which are symmetry. By imposing some appropriate weak assumptions on parameters, we obtain a [...] Read more.
In a real Hilbert space, we investigate the Tseng’s extragradient algorithms with hybrid adaptive step-sizes for treating a Lipschitzian pseudomonotone variational inequality problem and a strict pseudocontraction fixed-point problem, which are symmetry. By imposing some appropriate weak assumptions on parameters, we obtain a norm solution of the problems, which solves a certain hierarchical variational inequality. Full article
(This article belongs to the Special Issue Symmetry in Nonlinear Functional Analysis and Optimization Theory)
26 pages, 923 KB  
Article
Modified Halpern Iterative Method for Solving Hierarchical Problem and Split Combination of Variational Inclusion Problem in Hilbert Space
by Bunyawee Chaloemyotphong and Atid Kangtunyakarn
Mathematics 2019, 7(11), 1037; https://doi.org/10.3390/math7111037 - 3 Nov 2019
Cited by 1 | Viewed by 2509
Abstract
The purpose of this paper is to introduce the split combination of variational inclusion problem which combines the concept of the modified variational inclusion problem introduced by Khuangsatung and Kangtunyakarn and the split variational inclusion problem introduced by Moudafi. Using a modified Halpern [...] Read more.
The purpose of this paper is to introduce the split combination of variational inclusion problem which combines the concept of the modified variational inclusion problem introduced by Khuangsatung and Kangtunyakarn and the split variational inclusion problem introduced by Moudafi. Using a modified Halpern iterative method, we prove the strong convergence theorem for finding a common solution for the hierarchical fixed point problem and the split combination of variational inclusion problem. The result presented in this paper demonstrates the corresponding result for the split zero point problem and the split combination of variation inequality problem. Moreover, we discuss a numerical example for supporting our result and the numerical example shows that our result is not true if some conditions fail. Full article
(This article belongs to the Special Issue Fixed Point, Optimization, and Applications)
Show Figures

Figure 1

14 pages, 289 KB  
Article
On Mann Viscosity Subgradient Extragradient Algorithms for Fixed Point Problems of Finitely Many Strict Pseudocontractions and Variational Inequalities
by Lu-Chuan Ceng, Adrian Petruşel and Jen-Chih Yao
Mathematics 2019, 7(10), 925; https://doi.org/10.3390/math7100925 - 4 Oct 2019
Cited by 18 | Viewed by 2782
Abstract
In a real Hilbert space, we denote CFPP and VIP as common fixed point problem of finitely many strict pseudocontractions and a variational inequality problem for Lipschitzian, pseudomonotone operator, respectively. This paper is devoted to explore how to find a common solution of [...] Read more.
In a real Hilbert space, we denote CFPP and VIP as common fixed point problem of finitely many strict pseudocontractions and a variational inequality problem for Lipschitzian, pseudomonotone operator, respectively. This paper is devoted to explore how to find a common solution of the CFPP and VIP. To this end, we propose Mann viscosity algorithms with line-search process by virtue of subgradient extragradient techniques. The designed algorithms fully assimilate Mann approximation approach, viscosity iteration algorithm and inertial subgradient extragradient technique with line-search process. Under suitable assumptions, it is proven that the sequences generated by the designed algorithms converge strongly to a common solution of the CFPP and VIP, which is the unique solution to a hierarchical variational inequality (HVI). Full article
(This article belongs to the Special Issue Applied Functional Analysis and Its Applications)
Back to TopTop