Sign in to use this feature.

Years

Between: -

Subjects

remove_circle_outline
remove_circle_outline
remove_circle_outline
remove_circle_outline
remove_circle_outline
remove_circle_outline
remove_circle_outline
remove_circle_outline
remove_circle_outline

Journals

Article Types

Countries / Regions

Search Results (46)

Search Parameters:
Keywords = heterocysts

Order results
Result details
Results per page
Select all
Export citation of selected articles as:
16 pages, 4811 KB  
Article
Discovery of a New Cyanobacterial Genus (Paludothrix gen. nov.) from the Sanyang Wetland in Eastern China, Reflecting the Latest Taxonomic Status in Coleofasciculaceae
by Yangyang Wu, Yao Cheng, He Zhang, Ruozhen Geng, Peng Xiao, Baiyu Cui and Renhui Li
Diversity 2025, 17(1), 15; https://doi.org/10.3390/d17010015 - 26 Dec 2024
Viewed by 1905
Abstract
As our comprehension of cyanobacterial classification in diverse ecosystems broadens, it becomes essential to explore the biodiversity of lesser-known areas for a thorough understanding of both global and local diversity. This research, which is part of a larger investigation into soil biocrust algae [...] Read more.
As our comprehension of cyanobacterial classification in diverse ecosystems broadens, it becomes essential to explore the biodiversity of lesser-known areas for a thorough understanding of both global and local diversity. This research, which is part of a larger investigation into soil biocrust algae diversity in the Sanyang Wetland located in Zhejiang Province, China, introduces a novel taxon of non-heterocystous filamentous cyanobacteria employing a polyphasic approach for cyanobacterial classification, integrating morphological, molecular, ecological, and biogeographical considerations. The findings from morphological analysis, 16S rRNA gene sequencing, and the identification of the 16S-23S ITS rRNA region have led to the discovery of a new genus, Paludothrix, which is categorized within the family Coleofasciculaceae. The proposed generic name and specific epithet of these new taxa adhere completely to the guidelines established by the International Code of Nomenclature for algae, fungi, and plants. The modern taxonomic system of cyanobacteria is constantly being updated and improved. The description of new taxa using the polyphasic approach can enrich the relevant knowledge in the field of cyanobacteria classification. The results of this study will increase our understanding of terrestrial cyanobacteria within wetland environments. Full article
(This article belongs to the Special Issue Studies on Biodiversity and Ecology of Algae in China—2nd Edition)
Show Figures

Figure 1

8 pages, 1635 KB  
Communication
Uncovering the Unusual Long Chains of Vegetative Cells within Single Colonies of the Dryland Nitrogen-Fixing Cyanobacterium Nostoc flagelliforme
by Xiang Gao, Chang Liu and Wensheng Liang
Nitrogen 2024, 5(1), 144-151; https://doi.org/10.3390/nitrogen5010009 - 20 Feb 2024
Cited by 4 | Viewed by 3150
Abstract
Heterocyst-forming cyanobacteria that colonize the drylands contribute to carbon and nitrogen supplies in nutrient-poor soils. As one of the representative cyanobacteria, Nostoc flagelliforme adapts well to the arid environment in the form of filamentous colonies (or filaments). To date, the adaptive changes, either genetic [...] Read more.
Heterocyst-forming cyanobacteria that colonize the drylands contribute to carbon and nitrogen supplies in nutrient-poor soils. As one of the representative cyanobacteria, Nostoc flagelliforme adapts well to the arid environment in the form of filamentous colonies (or filaments). To date, the adaptive changes, either genetic or micromorphological, that occur within single colonies of dryland cyanobacteria remain largely unclear. In this study, unusual long chains or trichomes of vegetative cells (not containing heterocysts) were observed within N. flagelliforme filaments. And the overall heterocyst frequency in the trichomes was counted to be 1.3–2.7%, different from the usually observed 5–10% heterocyst frequency in model Nostoc strains when grown in nitrogen-deprived medium. Thus, these phenomena seem contradictory to our usual recognition of Nostoc strains. Related transcriptional and heterocyst frequency analyses suggested no genetically significant alteration in heterocyst formation and nitrogen fixation in this strain. Also, the amounts of nitrogen sources in the extracellular polysaccharide (EPS) matrix released by N. flagelliforme cells that may cause the low heterocyst frequency were assessed to be equivalent to 0.28–1.10 mM NaNO3. When combining these findings with the habitat characters, it can be envisaged that the released nitrogen sources from cells are confined, accumulated, and re-utilized in the EPS matrix, thereby leading to the formation of reduced heterocyst frequency and long-chained vegetative cells. This study will contribute to our understanding of the distinctive adaptation properties of colonial cyanobacteria in dryland areas. Full article
Show Figures

Figure 1

15 pages, 105091 KB  
Article
Gold Nanoparticles Bioproduced in Cyanobacteria in the Initial Phase Opened an Avenue for the Discovery of Corresponding Cerium Nanoparticles
by Melanie Fritz, Xiaochen Chen, Guifang Yang, Yuancai Lv, Minghua Liu, Stefan Wehner and Christian B. Fischer
Microorganisms 2024, 12(2), 330; https://doi.org/10.3390/microorganisms12020330 - 4 Feb 2024
Cited by 3 | Viewed by 1925
Abstract
The production of isolated metallic nanoparticles with multifunctionalized properties, such as size and shape, is crucial for biomedical, photocatalytic, and energy storage or remediation applications. This study investigates the initial particle formations of gold nanoparticles (AuNPs) bioproduced in the cyanobacteria Anabaena sp. using [...] Read more.
The production of isolated metallic nanoparticles with multifunctionalized properties, such as size and shape, is crucial for biomedical, photocatalytic, and energy storage or remediation applications. This study investigates the initial particle formations of gold nanoparticles (AuNPs) bioproduced in the cyanobacteria Anabaena sp. using high-resolution transmission electron microscopy images for digital image analysis. The developed method enabled the discovery of cerium nanoparticles (CeNPs), which were biosynthesized in the cyanobacteria Calothrix desertica. The particle size distributions for AuNPs and CeNPs were analyzed. After 10 h, the average equivalent circular diameter for AuNPs was 4.8 nm, while for CeNPs, it was approximately 5.2 nm after 25 h. The initial shape of AuNPs was sub-round to round, while the shape of CeNPs was more roundish due to their amorphous structure and formation restricted to heterocysts. The local PSDs indicate that the maturation of AuNPs begins in the middle of vegetative cells and near the cell membrane, compared to the other regions of the cell. Full article
(This article belongs to the Special Issue Exploring the Unique Natural Product Potential of Cyanobacteria)
Show Figures

Figure 1

11 pages, 974 KB  
Article
The Role of Heterocysts in Cyanotoxin Production during Nitrogen Limitation
by Mohamed N. Gomaa and Wayne W. Carmichael
Toxins 2023, 15(10), 611; https://doi.org/10.3390/toxins15100611 - 13 Oct 2023
Cited by 4 | Viewed by 2586
Abstract
Cyanobacteria harmful algal blooms (cyanoHABs) can have impacts on human health, aquatic ecosystems, and the economy. Nutrient management is an important mitigation and even remediation strategy. In this work, the paralytic shellfish toxin (PST)-producing Aphanizomenon (Aphan.) flos-aquae (Linnaeus) Ralfs ex Bornet [...] Read more.
Cyanobacteria harmful algal blooms (cyanoHABs) can have impacts on human health, aquatic ecosystems, and the economy. Nutrient management is an important mitigation and even remediation strategy. In this work, the paralytic shellfish toxin (PST)-producing Aphanizomenon (Aphan.) flos-aquae (Linnaeus) Ralfs ex Bornet & Flahault (now identified as Aphan. sp.) single filament isolate NH-5 was grown in P-depleted media, N-depleted media, and complete BG-11 media. Growth and heterocyst and vegetative cells were monitored using dry weight and cell counts. Ultrasonication was used to separate heterocysts from vegetative cells. HPLC-FLD with post-column derivatization was used to determine the saxitoxin (STX) and neosaxitoxin (NEOSTX) concentration per cell. Aphan. sp. NH-5 biomass was lower in the P-depleted media than in the N-depleted media and the control, though higher heterocyst counts were detected in the N-depleted media. The heterocyst toxin concentration was significantly higher compared to the vegetative cells for the N-depleted media, control, and P-depleted media. However, no significant differences were found among all preparations with regard to the STX-to-NEOSTX ratio. We conclude that N limitation induced higher heterocyst numbers and that N fixation activity is a factor behind the increase in the STX and NEOSTX production of Aphan. sp. NH-5. Full article
(This article belongs to the Section Marine and Freshwater Toxins)
Show Figures

Figure 1

17 pages, 3968 KB  
Article
Heterocysts of Rivularia Type for Interpreting a Palaeoenvironmental Context of the Late Quaternary in Northern Italy
by Eleonora Clò and Assunta Florenzano
Sustainability 2022, 14(22), 15332; https://doi.org/10.3390/su142215332 - 18 Nov 2022
Cited by 2 | Viewed by 2612
Abstract
This paper presents new results on a quali-quantitative analysis of the heterocysts of the Rivularia type as a key bioindicator informative on local eutrophic conditions. The Rivularia type is usually reported in palynological analyses due to the thick, multilayered envelope that ensures the [...] Read more.
This paper presents new results on a quali-quantitative analysis of the heterocysts of the Rivularia type as a key bioindicator informative on local eutrophic conditions. The Rivularia type is usually reported in palynological analyses due to the thick, multilayered envelope that ensures the preservation of heterocysts in sediments. Samples come from two continuous terrestrial cores (N-S3: 77 samples, C-S1: 20 samples) drilled in the area surrounding the Bronze Age site of the Terramara S. Rosa di Poviglio (Po Plain; N Italy) and spanning at least over the last 15 ka years. Concentrations and percentages of the Rivularia type, combined with pollen curves of wet environments, describe local variability and rapid changes in ecological conditions over the millennia of deposition. Given the abundance and diversity of heterocysts of the Rivularia type in the studied samples, this paper attempts to group these cells based on morphology (ellipsoidal or elongated) and the state of preservation of the sheaths (presence or absence). Actually, it is difficult to confirm a relationship between heterocyst morphologies and the presence of different cyanobacteria species. Increasingly accurate identification of heterocysts from biostratigraphical archives may improve the data available on these bioindicators for achieving more detailed decoding of wetland (and terrestrial) transformations. Since the Bronze Age and at the most recent levels, the Rivularia type may be a good indicator of the local presence of agriculture and livestock, which lead to trophic and water changes in the soil. Full article
Show Figures

Figure 1

15 pages, 6210 KB  
Article
The Role of MreB, MreC and MreD in the Morphology of the Diazotrophic Filament of Anabaena sp. PCC 7120
by Cristina Velázquez-Suárez, Ignacio Luque and Antonia Herrero
Life 2022, 12(9), 1437; https://doi.org/10.3390/life12091437 - 15 Sep 2022
Cited by 4 | Viewed by 2795
Abstract
The cyanobacterium Anabaena sp. PCC 7120 forms filaments of communicating cells. Under conditions of nitrogen scarcity, some cells differentiate into heterocysts, allowing the oxygen-sensitive N2-reduction system to be expressed and operated in oxic environments. The key to diazotrophic growth is the [...] Read more.
The cyanobacterium Anabaena sp. PCC 7120 forms filaments of communicating cells. Under conditions of nitrogen scarcity, some cells differentiate into heterocysts, allowing the oxygen-sensitive N2-reduction system to be expressed and operated in oxic environments. The key to diazotrophic growth is the exchange of molecules with nutritional and signaling functions between the two types of cells of the filament. During heterocyst differentiation, the peptidoglycan sacculus grows to allow cell enlargement, and the intercellular septa are rebuilt to narrow the contact surface with neighboring cells and to hold specific transport systems, including the septal junction complexes for intercellular molecular transfer, which traverse the periplasm between heterocysts and neighboring vegetative cells through peptidoglycan nanopores. Here we have followed the spatiotemporal pattern of peptidoglycan incorporation during heterocyst differentiation by Van-FL labeling and the localization and role of proteins MreB, MreC and MreD. We observed strong transitory incorporation of peptidoglycan in the periphery and septa of proheterocysts and a maintained focal activity in the center of mature septa. During differentiation, MreB, MreC and MreD localized throughout the cell periphery and at the cell poles. In mreB, mreC or mreD mutants, instances of strongly increased peripheral and septal peptidoglycan incorporation were detected, as were also heterocysts with aberrant polar morphology, even producing filament breakage, frequently lacking the septal protein SepJ. These results suggest a role of Mre proteins in the regulation of peptidoglycan growth and the formation of the heterocyst neck during differentiation, as well as in the maintenance of polar structures for intercellular communication in the mature heterocyst. Finally, as previously observed in filaments growing with combined nitrogen, in the vegetative cells of diazotrophic filaments, the lack of MreB, MreC or MreD led to altered localization of septal peptidoglycan-growth bands reproducing an altered localization of FtsZ and ZipN rings during cell division. Full article
(This article belongs to the Special Issue Molecular Genetics of Cyanobacteria)
Show Figures

Figure 1

21 pages, 2333 KB  
Article
Biochemical Analyses of Ten Cyanobacterial and Microalgal Strains Isolated from Egyptian Habitats, and Screening for Their Potential against Some Selected Phytopathogenic Fungal Strains
by Hoda H. Senousy, Mostafa M. El-Sheekh, Abdullah A. Saber, Hanan M. Khairy, Hanan A. Said, Wardah. A. Alhoqail and Abdelghafar M. Abu-Elsaoud
Agronomy 2022, 12(6), 1340; https://doi.org/10.3390/agronomy12061340 - 31 May 2022
Cited by 23 | Viewed by 4310
Abstract
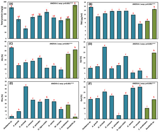
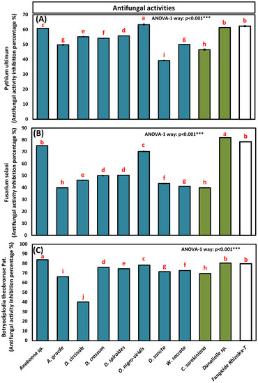
Microalgae and cyanobacteria are rich sources of numerous phytochemical compounds with intrinsic antifungal potential. This research aimed to screen the phytochemical compounds and contents, as well as the antioxidant profiles, in eight cyanobacterial and two microalgal strains isolated from soil and brackish water [...] Read more.
Microalgae and cyanobacteria are rich sources of numerous phytochemical compounds with intrinsic antifungal potential. This research aimed to screen the phytochemical compounds and contents, as well as the antioxidant profiles, in eight cyanobacterial and two microalgal strains isolated from soil and brackish water habitats in Egypt. Our study also evaluated their antifungal activities against three phytopathogenic fungi—namely, Pythium ultimum, Fusarium solani, and Botryodiplodia theobromae, which are known to cause severe plant loss. The biochemical compounds were obtained from the cyanobacterial and algal methanolic extracts, and were identified through comparative phytochemical analyses related to the inhibition of the fungal pathogens. Comparative qualitative analyses of alkaloids, steroids, glycosides, and saponins were also carried out. The quantitative phytochemical screening of the cyanobacterial and algal strains investigated revealed the presence of xylanase, glucanase, and chitinase enzymes, along with some bioactive compounds, such as phenolics, flavonoids, proteins, neutral sugars, and carotenoids, which were species-dependent and detected in variable amounts in the extracts. The unicellular green microalgal strain Dunaliella sp. HSSASE13 displayed the highest level of antioxidant activity. However, the highest antifungal activities were shown by the heterocystous cyanobacterial strain Anabaena sp. HSSASE11 (83.94%), followed by Dunaliella sp. HSSASE13 (81.94%) and the non-heterocystous cyanobacterial strain Oscillatoria nigro-viridis HSSASE 15 (63.42%), against the three fungal pathogens B. theobromae, F. solani, and P. ultimum, respectively. Our results indicate that the highest significant and positive correlations of flavonoids (r = 0.854), phenolics (r = 0.785), DPPH scavenging activity (r = 0.876), total proteins (r = 0.808), xylanase activity (r = 0.876), glucanase activity (r = 0.746), and total neutral sugars (r = 0.764), in terms of their antifungal activities, were recorded against F. solani. Conclusively, the cyanobacterial and algal strains tested in the present study can be useful agents for the management and biocontrol of plant-infecting fungal pathogens. Full article
Show Figures

Figure 1

17 pages, 1398 KB  
Article
Phytoplankton Composition and Ecological Status of Lakes with Cyanobacteria Dominance
by Małgorzata Poniewozik and Tomasz Lenard
Int. J. Environ. Res. Public Health 2022, 19(7), 3832; https://doi.org/10.3390/ijerph19073832 - 23 Mar 2022
Cited by 15 | Viewed by 3474
Abstract
Phytoplankton is one of the five biological quality elements used in the assessment of the ecological status of surface waters according to the European Water Framework Directive established in 2000. In this study, we determined the ecological status of three small and shallow [...] Read more.
Phytoplankton is one of the five biological quality elements used in the assessment of the ecological status of surface waters according to the European Water Framework Directive established in 2000. In this study, we determined the ecological status of three small and shallow lakes in the Polesie Plain, Eastern Poland, by using indices based on phytoplankton assemblages. The predominant phytoplankton of all three lakes were filamentous cyanobacteria, both heterocystous and non-heterocystous, represented by the genera Aphanizomenon, Planktothrix, Limnothrix, and Planktolyngbya. We used the Hungarian Q index, German PSI (Phyto-See-Index), and recently developed PMPL (Phytoplankton Metrics for Polish Lakes) for Polish lakes. We compared the results from the calculation of the indices to physicochemical data obtained from the lake water and Carlson’s Trophy State Index (TSI). On the basis of TSI, Gumienek and Glinki lakes were classified as advanced eutrophic, whereas Czarne Lake had a better score and was classified as slightly eutrophic. The trophic state was generally confirmed by the ecological status based on phytoplankton indices and also showed the diverse ecological situation in the lakes studied. Based on the Polish PMPL, Gumienek Lake was classified as having bad status (ecological quality ratio (EQR) = 0.05), whereas Glinki and Czarne lakes were classified within the poor status range (EQR = 0.25 and 0.35, respectively). However, based on the German PSI, the lakes were classified in a different manner: the status of Gumienek and Czarne lakes was better, but unsatisfactory, because they were still below the boundary for the good status category recommended by the European Commission. The best ecological status for the studied lakes was obtained using the Q index: Gumienek Lake with EQR = 0.42 had a moderate status, and Czarne Lake with EQR = 0.62 obtained a good status. However, Glinki Lake, with EQR = 0.40, was classified at the boundary for poor and moderate status. Based on our study, it seems that the best index for ecological status assessment based on phytoplankton that can be used for small lakes is the Polish (PMPL) index. Full article
Show Figures

Figure 1

12 pages, 2609 KB  
Article
Changes in Envelope Structure and Cell–Cell Communication during Akinete Differentiation and Germination in Filamentous Cyanobacterium Trichormus variabilis ATCC 29413
by Ritu Garg, Manja Luckner, Jürgen Berger, Katharina Hipp, Gerhard Wanner, Karl Forchhammer and Iris Maldener
Life 2022, 12(3), 429; https://doi.org/10.3390/life12030429 - 16 Mar 2022
Cited by 4 | Viewed by 4218
Abstract
Planktonic freshwater filamentous cyanobacterium Trichormus variabilis ATCC 29413 (previously known as Anabaena variabilis) can differentiate heterocysts and akinetes to survive under different stress conditions. Whilst heterocysts enable diazotrophic growth, akinetes are spore-like resting cells that make the survival of the species possible [...] Read more.
Planktonic freshwater filamentous cyanobacterium Trichormus variabilis ATCC 29413 (previously known as Anabaena variabilis) can differentiate heterocysts and akinetes to survive under different stress conditions. Whilst heterocysts enable diazotrophic growth, akinetes are spore-like resting cells that make the survival of the species possible under adverse growth conditions. Under suitable environmental conditions, they germinate to produce new vegetative filaments. Several morphological and physiological changes occur during akinete formation and germination. Here, using scanning electron microscopy (SEM), we found that the mature akinetes had a wrinkled envelope, and the surface of the envelope smoothened as the cell size increased during germination. Thereupon, the akinete envelope ruptured to release the short emerging filament. Focused ion beam–scanning electron microscopy (FIB/SEM) tomography of immature akinetes revealed the presence of cytoplasmic granules, presumably consisting of cyanophycin or glycogen. In addition, the akinete envelope architecture of different layers, the exopolysaccharide and glycolipid layers, could be visualized. We found that this multilayered envelope helped to withstand osmotic stress and to maintain the structural integrity. Furthermore, by fluorescence recovery after photobleaching (FRAP) measurements, using the fluorescent tracer calcein, we found that intercellular communication decreased during akinete formation as compared with the vegetative cells. In contrast, freshly germinating filaments restored cell communication. Full article
Show Figures

Figure 1

22 pages, 28592 KB  
Article
Influence of Mo and Fe on Photosynthetic and Nitrogenase Activities of Nitrogen-Fixing Cyanobacteria under Nitrogen Starvation
by Asemgul K. Sadvakasova, Bekzhan D. Kossalbayev, Aziza I. Token, Meruert O. Bauenova, Jingjing Wang, Bolatkhan K. Zayadan, Huma Balouch, Saleh Alwasel, Yoong Kit Leong, Jo-Shu Chang and Suleyman I. Allakhverdiev
Cells 2022, 11(5), 904; https://doi.org/10.3390/cells11050904 - 5 Mar 2022
Cited by 28 | Viewed by 5775
Abstract
The potential of cyanobacteria to perform a variety of distinct roles vital for the biosphere, including nutrient cycling and environmental detoxification, drives interest in studying their biodiversity. Increasing soil erosion and the overuse of chemical fertilizers are global problems in developed countries. The [...] Read more.
The potential of cyanobacteria to perform a variety of distinct roles vital for the biosphere, including nutrient cycling and environmental detoxification, drives interest in studying their biodiversity. Increasing soil erosion and the overuse of chemical fertilizers are global problems in developed countries. The option might be to switch to organic farming, which entails largely the use of biofertilisers. Cyanobacteria are prokaryotic, photosynthetic organisms with considerable potential, within agrobiotechnology, to produce biofertilisers. They contribute significantly to plant drought resistance and nitrogen enrichment in the soil. This study sought, isolated, and investigated nitrogen-fixing cyanobacterial strains in rice fields, and evaluated the effect of Mo and Fe on photosynthetic and nitrogenase activities under nitrogen starvation. Cyanobacterial isolates, isolated from rice paddies in Kazakhstan, were identified as Trichormus variabilis K-31 (MZ079356), Cylindrospermum badium J-8 (MZ079357), Nostoc sp. J-14 (MZ079360), Oscillatoria brevis SH-12 (MZ090011), and Tolypothrix tenuis J-1 (MZ079361). The study of the influence of various concentrations of Mo and Fe on photosynthetic and nitrogenase activities under conditions of nitrogen starvation revealed the optimal concentrations of metals that have a stimulating effect on the studied parameters. Full article
(This article belongs to the Special Issue Photosynthesis under Biotic and Abiotic Environmental Stress)
Show Figures

Graphical abstract

20 pages, 4828 KB  
Article
A Hypothesis on How the Azolla Symbiosis Mitigates Nitrous Oxide Based on In Silico Analyses
by Dilantha Gunawardana and Venura Herath
J 2022, 5(1), 166-185; https://doi.org/10.3390/j5010013 - 4 Mar 2022
Cited by 1 | Viewed by 3626
Abstract
Nitrous oxide is a long-lived greenhouse gas that exists for 114 years in the atmosphere and is 298-fold more potent than carbon dioxide in its global warming potential. Two recent studies showcased the utility of Azolla plants for a lesser footprint in nitrous [...] Read more.
Nitrous oxide is a long-lived greenhouse gas that exists for 114 years in the atmosphere and is 298-fold more potent than carbon dioxide in its global warming potential. Two recent studies showcased the utility of Azolla plants for a lesser footprint in nitrous oxide production from urea and other supplements to the irrigated ecosystem, which mandates exploration since there is still no clear solution to nitrous oxide in paddy fields or in other ecosystems. Here, we propose a solution based on the evolution of a single cytochrome oxidase subunit II protein (WP_013192178.1) from the cyanobiont Trichormus azollae that we hypothesize to be able to quench nitrous oxide. First, we draw attention to a domain in the candidate protein that is emerging as a sensory periplasmic Y_Y_Y domain that is inferred to bind nitrous oxide. Secondly, we draw the phylogeny of the candidate protein showcasing the poor bootstrap support of its position in the wider clade showcasing its deviation from the core function. Thirdly, we show that the NtcA protein, the apical N-effecting transcription factor, can putatively bind to a promoter sequence of the gene coding for the candidate protein (WP_013192178.1), suggesting a function associated with heterocysts and N-metabolism. Our fourth point involves a string of histidines at the C-terminal extremity of the WP_013192178.1 protein that is missing on all other T. azollae cytochrome oxidase subunit II counterparts, suggesting that such histidines are perhaps involved in forming a Cu center. As the fifth point, we showcase a unique glycine-183 in a lengthy linker region containing multiple glycines that is absent in all proximal Nostocales cyanobacteria, which we predict to be a DNA binding residue. We propose a mechanism of action for the WP_013192178.1 protein based on our in silico analyses. In total, we hypothesize the incomplete and rapid conversion of a likely heterocystous cytochrome oxidase subunit II protein to an emerging nitrous oxide sensing/quenching subunit based on bioinformatics analyses and past literature, which can have repercussions to climate change and consequently, future human life. Full article
Show Figures

Figure 1

21 pages, 5637 KB  
Review
The Beneficial Effects of Cyanobacterial Co-Culture on Plant Growth
by Jonas Kollmen and Dorina Strieth
Life 2022, 12(2), 223; https://doi.org/10.3390/life12020223 - 31 Jan 2022
Cited by 74 | Viewed by 10101
Abstract
Cyanobacteria are ubiquitous phototrophic prokaryotes that find a wide range of applications in industry due to their broad product spectrum. In this context, the application of cyanobacteria as biofertilizers and thus as an alternative to artificial fertilizers has emerged in recent decades. The [...] Read more.
Cyanobacteria are ubiquitous phototrophic prokaryotes that find a wide range of applications in industry due to their broad product spectrum. In this context, the application of cyanobacteria as biofertilizers and thus as an alternative to artificial fertilizers has emerged in recent decades. The benefit is mostly based on the ability of cyanobacteria to fix elemental nitrogen and make it available to the plants in a usable form. However, the positive effects of co-cultivating plants with cyanobacteria are not limited to the provision of nitrogen. Cyanobacteria produce numerous secondary metabolites that can be useful for plants, for example, they can have growth-promoting effects or increase resistance to plant diseases. The effects of biotic and abiotic stress can as well be reduced by many secondary metabolites. Furthermore, the biofilms formed by the cyanobacteria can lead to improved soil conditions, such as increased water retention capacity. To exchange the substances mentioned, cyanobacteria form symbioses with plants, whereby the strength of the symbiosis depends on both partners, and not every plant can form symbiosis with every cyanobacterium. Not only the plants in symbiosis benefit from the cyanobacteria, but also vice versa. This review summarizes the beneficial effects of cyanobacterial co-cultivation on plants, highlighting the substances exchanged and the strength of cyanobacterial symbioses with plants. A detailed explanation of the mechanism of nitrogen fixation in cyanobacterial heterocysts is given. Finally, a summary of possible applications of co-cultivation in the (agrar-)industry is given. Full article
Show Figures

Figure 1

12 pages, 3250 KB  
Article
Molecular Components of Nitrogen Fixation Gene Cluster and Associated Enzymatic Activities of Non-Heterocystous Thermophilic Cyanobacterium Thermoleptolyngbya sp.
by Meijin Li, Lei Cheng, Jie Tang and Maurycy Daroch
Life 2021, 11(7), 640; https://doi.org/10.3390/life11070640 - 30 Jun 2021
Cited by 8 | Viewed by 3459
Abstract
Thermoleptolyngbya is a genus of non-heterocystous cyanobacteria that are typical inhabitants of hot spring microbial mats. These filamentous cyanobacteria are capable of nitrogen fixation. In this study, we examined the genome sequences of five publicly available Thermoleptolyngbya strains to explore their nitrogen fixation [...] Read more.
Thermoleptolyngbya is a genus of non-heterocystous cyanobacteria that are typical inhabitants of hot spring microbial mats. These filamentous cyanobacteria are capable of nitrogen fixation. In this study, we examined the genome sequences of five publicly available Thermoleptolyngbya strains to explore their nitrogen fixation gene cluster. Analysis of the nitrogen-fixation clusters in these extremophilic strains revealed that the cluster is located in a single locus in Thermoleptolyngbyace. The average nucleotide and amino acid identities of the nitrogen-fixation cluster combined with phylogenetic reconstructions support that nitrogen fixation genes in Thermoleptolyngbyaceae are closely related to one another but also heterogeneous within the genus. The strains from Asia, and China more specifically, generate a separate clade within the genus. Among these strains Thermoleptolyngbya sp. PKUAC-SCTB121 has been selected for experimental validation of clade’s nitrogen fixation capacity. The acetylene reduction experiments of that strain shown that the strain can reduce acetylene to ethylene, indicating a fully functional nitrogenase. The activity of nitrogenase has been tested using different gas compositions across 72 h and exhibited a two-phase trend, high nitrogenase activity at the beginning of the assay that slowed down in the second phase of the analysis. Full article
(This article belongs to the Special Issue Microbial Adaptations and Acclimation to Extreme Environments)
Show Figures

Figure 1

31 pages, 128281 KB  
Review
Current Understanding of the Structure and Function of Pentapeptide Repeat Proteins
by Ruojing Zhang and Michael A. Kennedy
Biomolecules 2021, 11(5), 638; https://doi.org/10.3390/biom11050638 - 26 Apr 2021
Cited by 14 | Viewed by 5104
Abstract
The pentapeptide repeat protein (PRP) superfamily, identified in 1998, has grown to nearly 39,000 sequences from over 3300 species. PRPs, recognized as having at least eight contiguous pentapeptide repeats (PRs) of a consensus pentapeptide sequence, adopt a remarkable structure, namely, a right-handed quadrilateral [...] Read more.
The pentapeptide repeat protein (PRP) superfamily, identified in 1998, has grown to nearly 39,000 sequences from over 3300 species. PRPs, recognized as having at least eight contiguous pentapeptide repeats (PRs) of a consensus pentapeptide sequence, adopt a remarkable structure, namely, a right-handed quadrilateral β-helix with four consecutive PRs forming a single β-helix coil. Adjacent coils join together to form a β-helix “tower” stabilized by β-ladders on the tower faces and type I, type II, or type IV β-turns facilitating an approximately −90° redirection of the polypeptide chain joining one coil face to the next. PRPs have been found in all branches of life, but they are predominantly found in cyanobacteria. Cyanobacteria have existed on earth for more than two billion years and are thought to be responsible for oxygenation of the earth’s atmosphere. Filamentous cyanobacteria such as Nostoc sp. strain PCC 7120 may also represent the oldest and simplest multicellular organisms known to undergo cell differentiation on earth. Knowledge of the biochemical function of these PRPs is essential to understanding how ancient cyanobacteria achieved functions critical to early development of life on earth. PRPs are predicted to exist in all cyanobacteria compartments including thylakoid and cell-wall membranes, cytoplasm, and thylakoid periplasmic space. Despite their intriguing structure and importance to understanding ancient cyanobacteria, the biochemical functions of PRPs in cyanobacteria remain almost completely unknown. The precise biochemical function of only a handful of PRPs is currently known from any organisms, and three-dimensional structures of only sixteen PRPs or PRP-containing multidomain proteins from any organism have been reported. In this review, the current knowledge of the structures and functions of PRPs is presented and discussed. Full article
Show Figures

Figure 1

17 pages, 7083 KB  
Article
Natural Product Gene Clusters in the Filamentous Nostocales Cyanobacterium HT-58-2
by Xiaohe Jin, Eric S. Miller and Jonathan S. Lindsey
Life 2021, 11(4), 356; https://doi.org/10.3390/life11040356 - 18 Apr 2021
Cited by 6 | Viewed by 3972
Abstract
Cyanobacteria are known as rich repositories of natural products. One cyanobacterial-microbial consortium (isolate HT-58-2) is known to produce two fundamentally new classes of natural products: the tetrapyrrole pigments tolyporphins A–R, and the diterpenoid compounds tolypodiol, 6-deoxytolypodiol, and 11-hydroxytolypodiol. The genome (7.85 Mbp) of [...] Read more.
Cyanobacteria are known as rich repositories of natural products. One cyanobacterial-microbial consortium (isolate HT-58-2) is known to produce two fundamentally new classes of natural products: the tetrapyrrole pigments tolyporphins A–R, and the diterpenoid compounds tolypodiol, 6-deoxytolypodiol, and 11-hydroxytolypodiol. The genome (7.85 Mbp) of the Nostocales cyanobacterium HT-58-2 was annotated previously for tetrapyrrole biosynthesis genes, which led to the identification of a putative biosynthetic gene cluster (BGC) for tolyporphins. Here, bioinformatics tools have been employed to annotate the genome more broadly in an effort to identify pathways for the biosynthesis of tolypodiols as well as other natural products. A putative BGC (15 genes) for tolypodiols has been identified. Four BGCs have been identified for the biosynthesis of other natural products. Two BGCs related to nitrogen fixation may be relevant, given the association of nitrogen stress with production of tolyporphins. The results point to the rich biosynthetic capacity of the HT-58-2 cyanobacterium beyond the production of tolyporphins and tolypodiols. Full article
(This article belongs to the Special Issue Cyanobacteria: Advances in (Meta-)Genomics and Proteomics)
Show Figures

Figure 1

Back to TopTop