Sign in to use this feature.

Years

Between: -

Subjects

remove_circle_outline
remove_circle_outline
remove_circle_outline
remove_circle_outline
remove_circle_outline
remove_circle_outline
remove_circle_outline
remove_circle_outline
remove_circle_outline

Journals

remove_circle_outline
remove_circle_outline
remove_circle_outline
remove_circle_outline
remove_circle_outline
remove_circle_outline
remove_circle_outline
remove_circle_outline
remove_circle_outline
remove_circle_outline
remove_circle_outline
remove_circle_outline
remove_circle_outline
remove_circle_outline
remove_circle_outline
remove_circle_outline

Article Types

Countries / Regions

remove_circle_outline
remove_circle_outline
remove_circle_outline
remove_circle_outline
remove_circle_outline
remove_circle_outline

Search Results (3,536)

Search Parameters:
Keywords = heat transfer process

Order results
Result details
Results per page
Select all
Export citation of selected articles as:
33 pages, 14849 KB  
Article
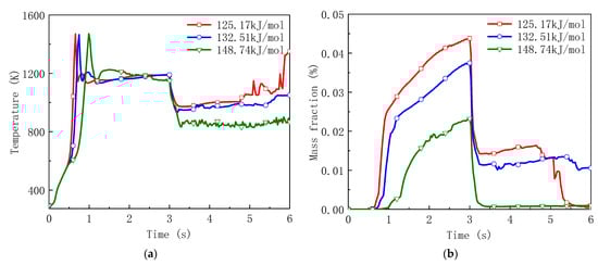
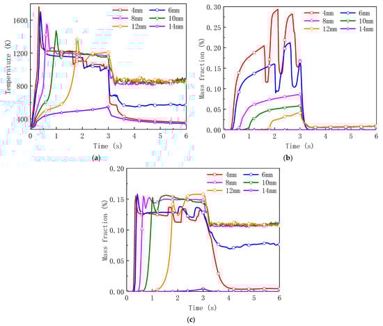
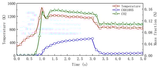
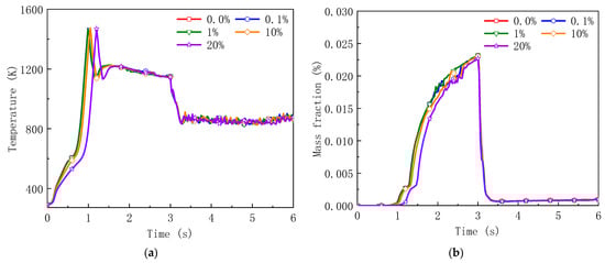
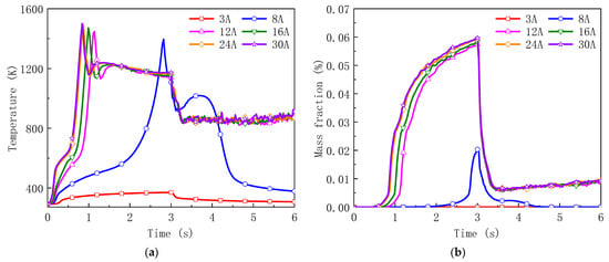
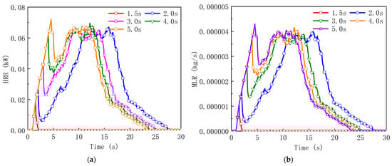
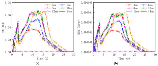
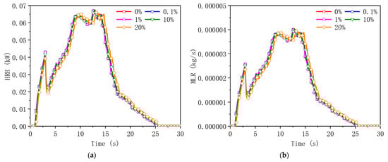
Simulation and Experimental Research on Arc-Induced Fires in Photovoltaic Systems
by Runan Song, Penghe Zhang, Yang Xue and Wei Wang
Energies 2026, 19(8), 2004; https://doi.org/10.3390/en19082004 (registering DOI) - 21 Apr 2026
Abstract
DC fault arcs comprise one of the most serious safety hazards in photovoltaic systems, and their danger far exceeds that of AC arcs. DC arcs lack a natural zero-crossing point, and their burning time can last from several seconds to several minutes, which [...] Read more.
DC fault arcs comprise one of the most serious safety hazards in photovoltaic systems, and their danger far exceeds that of AC arcs. DC arcs lack a natural zero-crossing point, and their burning time can last from several seconds to several minutes, which is sufficient to ignite cable lines and surrounding combustibles, causing fires. To explore the characteristics and mechanism of the ignition of external combustibles by DC fault arcs, this paper, based on the theory of magnetohydrodynamics (MHD), constructed a three-dimensional numerical simulation model of a DC fault arc considering the coupling of electromagnetic, thermal, and flow fields. A DC fault arc experimental platform that can simulate the actual working conditions of photovoltaic systems was built to verify the accuracy of the model. Based on this, by integrating the complex pyrolysis model and the combustion reaction model, and selecting cotton fibers as the typical combustible indicator substances, as stipulated in the UL 1699 standard, a coupled simulation model for the ignition of solid combustibles by direct current fault arcs was established. The numerical simulation of the entire ignition process of the arc was realized, and the coupling mechanism of heat transfer, mass transfer, and chemical reactions during the ignition process was revealed. The research results of this paper fill a research gap in the numerical simulation of arc ignition caused by DC faults in photovoltaic systems, clarify the fire ignition risk patterns of DC fault arcs under different working conditions, and provide important theoretical support and technical references for the formulation of arc fire prevention strategies and the optimized design of fault arc protection devices for photovoltaic systems and other DC power systems. Full article
(This article belongs to the Section A2: Solar Energy and Photovoltaic Systems)
Show Figures

Figure 1

24 pages, 5026 KB  
Article
Influence of Sintering and Heat Treatment on the Microstructure, Mechanical Properties, and Tribological Performance of AlTiN-Coated PM M42 High-Speed Steel
by Zijun Qi, Yi Chen, Ji Li, Yongde Huang, Qian Wang, Qi Wei, Xiaofeng Yang and Qiang Liu
Materials 2026, 19(8), 1667; https://doi.org/10.3390/ma19081667 (registering DOI) - 21 Apr 2026
Abstract
Preparing a highly wear-resistant AlTiN coating on a powder metallurgy (PM) M42 high-speed steel substrate is a key strategy to enhance tool performance and meet the demands of efficient machining. This study adopted a process route comprising substrate preparation, heat treatment regulation, and [...] Read more.
Preparing a highly wear-resistant AlTiN coating on a powder metallurgy (PM) M42 high-speed steel substrate is a key strategy to enhance tool performance and meet the demands of efficient machining. This study adopted a process route comprising substrate preparation, heat treatment regulation, and arc-PVD deposition of AlTiN coatings to systematically investigate the influence of sintering temperature (1130, 1160, and 1190 °C) and austenitizing time (1150 °C for 0, 15, 60, and 120 min) on the microstructure and mechanical properties of the substrate, as well as on the tribological performance of the AlTiN coatings. The results indicate that elevating the sintering temperature promotes densification of the matrix, with Vickers hardness increasing from 366 HV to 462 HV and bending strength (σ) increasing from 1064 MPa to 1310 MPa. The predominant carbide phases identified are MC, M2C, and M6C. During austenitizing, microstructural changes consistent with a progressive transformation from M2C to MC and M6C carbides were indicated by SEM and XRD analyses. Precipitation strengthening was most evident after 60 min, with hardness reaching 868 HV. In contrast, bending strength (σ) exhibited a progressive decline with increasing austenitizing time, decreasing from 1310 MPa to 1015 MPa after 120 min, illustrating a clear trade-off between hardness and toughness. The wear behavior of the coating is governed synergistically by substrate hardness, bending strength (σ), coating–substrate interfacial adhesion strength (LC), and carbide phase transformation. Elevated substrate hardness enhances anti-wear performance; bending strength influences crack propagation and spallation tendency; and LC determines the efficiency of interfacial load transfer. The carbide phase evolution appears to modulate the coating’s wear behavior by regulating both the microstructure and mechanical properties of the substrate. Among the six sample conditions evaluated, the A3 sample (sintered at 1190 °C and austenitized for 120 min) exhibited the lowest wear rate (2.38 × 10−6 mm3·N−1·m−1), demonstrating superior wear resistance. These findings provide a reference for process optimization and rational design of M42/AlTiN composite coating systems. Full article
(This article belongs to the Special Issue Advance in Metallurgical Process Engineering)
Show Figures

Figure 1

35 pages, 54902 KB  
Review
Flow-Line Evolution, Defect Formation, and Structure–Property Relationships in Aluminum Alloy Forging: A Review
by HaiTao Wang, GuoZheng Quan, Chenghai Pan, Xugang Dong and Jie Zhou
Materials 2026, 19(8), 1665; https://doi.org/10.3390/ma19081665 (registering DOI) - 21 Apr 2026
Abstract
Flow lines in aluminum alloy forgings are not merely post-deformation metallographic features; they are integrated indicators of material transport, microstructural evolution, defect susceptibility, and service performance. This review critically examines the mechanisms controlling flow-line evolution, with emphasis on constitutive flow behavior, dynamic recovery [...] Read more.
Flow lines in aluminum alloy forgings are not merely post-deformation metallographic features; they are integrated indicators of material transport, microstructural evolution, defect susceptibility, and service performance. This review critically examines the mechanisms controlling flow-line evolution, with emphasis on constitutive flow behavior, dynamic recovery and recrystallization, second-phase redistribution, friction, thermal gradients, and die/preform design. It then evaluates how abnormal flow paths promote key defects, including folding/laps, flow-through discontinuities, vortex-like instability, and exposed flow lines, and distinguishes well-established mechanisms from topics that still rely on indirect evidence. Particular attention is given to the effects of flow-line morphology on anisotropy, notch sensitivity, corrosion-assisted damage, and fatigue life in forged aluminum alloys. Current control strategies, including preform optimization, FE-based backward tracing, multiphysics defect indices, frictional heat management, and isothermal forging, are also assessed. The available literature shows that stable contour-following flow lines are essential for the simultaneous control of defect formation, microstructural homogeneity, and durability, while major research needs remain in in situ validation, quantitative defect criteria, and digitally closed-loop process control. This review is therefore framed as a critical narrative synthesis rather than a formal systematic review; emphasis is placed on forging-centered studies that directly relate flow-path evolution to defect formation, anisotropy, fatigue, and process optimization, while evidence transferred from adjacent processes is treated as mechanistic support rather than equivalent proof. Full article
(This article belongs to the Section Metals and Alloys)
Show Figures

Figure 1

21 pages, 2750 KB  
Article
Ignition of Vegetation Induced by Discharge from Abraded Medium-Voltage Insulated Overhead Lines
by Tian Tan, Huajian Peng, Xin Yang, Jiaxi Liu, Mingzhe Li, Shuaiwei Fu and Yafei Huang
Energies 2026, 19(8), 1990; https://doi.org/10.3390/en19081990 - 20 Apr 2026
Abstract
Tree contact discharge is a key contributing factor to wildfires caused by medium-voltage insulated conductors. Prolonged abrasion of the insulation layer by branches gradually creates weak points in the insulation. When subjected to lightning strikes, these areas are prone to forming lightning-induced pinholes, [...] Read more.
Tree contact discharge is a key contributing factor to wildfires caused by medium-voltage insulated conductors. Prolonged abrasion of the insulation layer by branches gradually creates weak points in the insulation. When subjected to lightning strikes, these areas are prone to forming lightning-induced pinholes, which can subsequently trigger partial discharge and even ignition. This study systematically investigates the discharge-induced ignition mechanism for 10 kV overhead insulated conductors in tree contact scenarios by establishing an experimental platform integrated with high-speed imaging, ultraviolet detection, and simulation methods. Three types of typical defects were set up in the experiments: complete insulation abrasion, lightning puncture holes accompanied by localized abrasion, and lightning puncture holes without abrasion. The development process and characteristics of different discharge forms were observed and analyzed. The results indicate that the tree contact discharge ignition mechanism can be categorized into two types: thermal accumulation and direct arcing. The former occurs when insulation abrasion or composite defects exist, where sustained partial discharge or a high-resistance current leads to gradual heat accumulation, resulting in an ignition delay lasting tens of seconds. The latter occurs when only small defects such as lightning puncture holes exist in the insulation layer. A concentrated arc forms due to gap breakdown under high voltage, leading to a millisecond-level ignition process. The study found that different discharge forms produce significantly distinct ablation and carbonization patterns on both the insulation layer and the branch surface, reflecting differences in energy transfer pathways. Simulation analysis further indicated that the thickness of the insulation layer affects the electric field distribution in the tree contact gap, with the initial discharge field strength decreasing as the thickness increases. This study provides experimental evidence and classification guidance for tree contact fault monitoring, insulation condition assessment, and wildfire prevention and control in medium-voltage distribution networks. Full article
27 pages, 1447 KB  
Article
Heliostat Field Layout Optimization Considering Power Generation and Layout Parameters
by Xiao Zhou, Zekang Dou, Jialin Sun, Chunyan Ma, Cheng Cui, Jingxue Guo and Yuchen Wang
Energies 2026, 19(8), 1984; https://doi.org/10.3390/en19081984 - 20 Apr 2026
Abstract
To explicitly illustrate the relationship between heliostat field optimization and power generation, a coupled model was established in Simulink. By optimizing the geometric layout of the heliostat field, the solar heat collection efficiency can be significantly improved, thereby increasing the thermal input to [...] Read more.
To explicitly illustrate the relationship between heliostat field optimization and power generation, a coupled model was established in Simulink. By optimizing the geometric layout of the heliostat field, the solar heat collection efficiency can be significantly improved, thereby increasing the thermal input to the system. The optimized heliostat field design can convert solar energy into thermal energy more efficiently and transfer it to the steam generator through the molten salt loop, thereby driving power generation in the Rankine cycle. In this process, the Rankine cycle is responsible for converting the thermal energy supplied by the molten salt loop into mechanical work and ultimately into electrical power output. At the same time, real meteorological data from a commercial heliostat field were introduced, and annual power generation simulations demonstrated that the integrated modeling of the heliostat field, thermal storage, and power block based on actual meteorological boundary conditions and system parameters can effectively reflect the power generation performance of a commercial tower solar thermal power plant. Meanwhile, research on heliostat field optimization should further evolve from identifying general patterns toward parameter design and overall system performance improvement. For molten-salt tower solar thermal power plants, key design variables such as receiver tower height, receiver dimensions, heliostat dimensions, and heliostat field spacing parameters affect not only the annual average optical efficiency of the heliostat field and the thermal power output of the receiver, but also the annual power generation of the entire plant. By integrating SOLARPILOT 1.5.2 and SAM 2025.4.16, the design variables were systematically analyzed to investigate their effects on the annual average optical efficiency of the heliostat field, the number of heliostats, the receiver output power, and the annual power generation, and the reasonable value ranges of the heliostat field parameters were determined accordingly. The established Rankine cycle power block model was then coupled with the parameter optimization results to carry out a secondary optimization of the initial heliostat field. Through the above study, the aim is to realize a shift from single-objective geometric optimization of the heliostat field to comprehensive optimization oriented toward annual plant power generation performance and scenario adaptability, thereby providing a basis for scheme design and parameter selection of molten-salt tower solar thermal power plants. For external validation, the annual generation predicted for the Delingha 50 MW commercial plant was 142.15 GWh, corresponding to a relative deviation of 2.64% from the published design value of 146 GWh. This indicates that the coupled framework can reasonably capture the integrated response of the heliostat field, thermal storage system, and power block at the plant level. The model is therefore suitable for generation-oriented parameter screening and preliminary design of tower molten-salt CSP plants, while detailed component-level transient design still requires higher-fidelity engineering models. Full article
(This article belongs to the Topic Advances in Solar Technologies, 2nd Edition)
29 pages, 1821 KB  
Review
Thermal Effects in Microfluidic Electrokinetic Flows: From Limitation to Design Opportunity
by Tamal Roy
Micromachines 2026, 17(4), 498; https://doi.org/10.3390/mi17040498 - 20 Apr 2026
Abstract
Microfluidic electrokinetic flows play a central role in applications such as lab-on-a-chip diagnostics, microelectronics cooling, and biomedical sample manipulation. These systems involve intricate heat transfer processes, including Joule heating from ionic currents, temperature-driven flow instabilities, and coupled thermal–fluid interactions, that crucially affect device [...] Read more.
Microfluidic electrokinetic flows play a central role in applications such as lab-on-a-chip diagnostics, microelectronics cooling, and biomedical sample manipulation. These systems involve intricate heat transfer processes, including Joule heating from ionic currents, temperature-driven flow instabilities, and coupled thermal–fluid interactions, that crucially affect device performance, reliability, and scalability. Current challenges include non-equilibrium charge dynamics, incomplete thermophysical property data for complex fluids, and thermal crosstalk in integrated platforms. This review summarizes the literature published over the past 20 years, with occasional reference to earlier work, covering the fundamental mechanisms of heat generation and dissipation in electrokinetic microflows; analytical, numerical, and experimental approaches for characterizing thermal effects; and discussion on the limitations and application-driven opportunities. It also highlights open questions and future research directions and offers a comprehensive view of design principles and guidelines for developing robust, thermally optimized electrokinetic microfluidic technologies. Full article
Show Figures

Figure 1

56 pages, 3551 KB  
Review
Pathways for Greenhouse Thermal Management’s Contribution to Net-Zero Food Production
by Samson Sogbaike, Celestina Ezenwajiaku, Amir Badiee, Chris Bingham and Aliyu M. Aliyu
Energies 2026, 19(8), 1975; https://doi.org/10.3390/en19081975 - 19 Apr 2026
Viewed by 55
Abstract
Decarbonising greenhouse food production requires improvements in thermal management, energy efficiency, and system integration. Greenhouse energy demand is shaped by coupled heat and mass transfer processes, particularly envelope performance, ventilation, and latent heat associated with humidity control. This article synthesises recent advances in [...] Read more.
Decarbonising greenhouse food production requires improvements in thermal management, energy efficiency, and system integration. Greenhouse energy demand is shaped by coupled heat and mass transfer processes, particularly envelope performance, ventilation, and latent heat associated with humidity control. This article synthesises recent advances in greenhouse microclimate control with emphasis on heat transfer, low-carbon heating and cooling, thermal storage, renewable and waste heat integration, and advanced modelling and control approaches. The review shows that humidity control and latent load management are primary drivers of winter energy use, as moisture removal through ventilation and dehumidification directly increases the sensible heating required to maintain indoor temperature setpoints. When assessed using realistic psychrometric relationships, ventilation and dehumidification can dominate peak heating demand and seasonal consumption. The performance of heat pumps, storage systems, semi-closed greenhouse concepts, and renewable heat pathways depends on how thermal loads are defined, how system boundaries are set, and how technologies are integrated in operation. Digital twins, predictive control, and hybrid physics-data models are increasingly used to manage variability in weather, energy prices, and infrastructure constraints. Greenhouse decarbonisation cannot be treated as a simple substitution of energy sources. System performance depends on coordinated design and operation, including heat recovery, moisture removal, and integration of supply technologies. Semi-closed and heat recovery-based configurations can reduce the ventilation–heating penalty and lower primary energy demand compared with vent-to-dry approaches. Long-term market projections suggest that the commercial greenhouse sector could expand substantially by 2050 under plausible growth scenarios, reflecting increased capital investment rather than a proportional rise in global food output. Net-zero greenhouse production is achievable through combined improvements in thermal management, electrification, and renewable energy integration. However, large-scale deployment depends on consistent modelling assumptions, credible economic assessment, and alignment with heat and CO2 supply infrastructure. The transition is therefore shaped by system integration and planning as much as by individual technologies. Full article
32 pages, 18305 KB  
Review
Advances in Thermochemical/Catalytic Conversion Technologies for Co-Processing of Biomass and Municipal Solid Wastes
by Yujian Wu, Wenwen Liu, Linhong Xie, Leihe Cai, Haowei Li, Shengxian Xian, Zheng Liang, Qing Xu and Chunbao Xu
Catalysts 2026, 16(4), 366; https://doi.org/10.3390/catal16040366 - 18 Apr 2026
Viewed by 249
Abstract
Thermochemical/catalytic co-processing of biomass and solid wastes is a promising route for waste valorization, low-carbon energy recovery, and the co-production of fuels, chemicals, and carbon materials. Conventional pathways, including pyrolysis, gasification, liquefaction, and carbonization, provide the basic framework for mixed-feed conversion. Emerging routes, [...] Read more.
Thermochemical/catalytic co-processing of biomass and solid wastes is a promising route for waste valorization, low-carbon energy recovery, and the co-production of fuels, chemicals, and carbon materials. Conventional pathways, including pyrolysis, gasification, liquefaction, and carbonization, provide the basic framework for mixed-feed conversion. Emerging routes, such as flash Joule heating, microwave-assisted conversion, plasma processing, supercritical water treatment, solar-driven systems, and machine-learning-assisted optimization, further expand opportunities for process intensification and selective upgrading. Owing to feedstock complementarity, including hydrogen donation from plastics, catalytic effects of ash minerals, and interactions among reactive intermediates, co-processing can enhance deoxygenation, hydrogen generation, aromatization, and carbon utilization. Major challenges remain, however, including feedstock heterogeneity, reactor scale-up, catalyst stability, and the limited transferability of laboratory-scale synergy to realistic waste streams. Future progress should therefore focus on continuous validation, mechanistic clarification, and integrated techno-economic, life-cycle, and data-driven assessments. Full article
Show Figures

Figure 1

19 pages, 2180 KB  
Article
Computational Analysis in Laminar Flow of Several Nanocolloids with PEG 200 and MgO/MWCNTs Nanoparticles
by Alina Adriana Minea, Catalin Andrei Tugui, George Catalin Tofan and Elena Ionela Chereches
Materials 2026, 19(8), 1617; https://doi.org/10.3390/ma19081617 - 17 Apr 2026
Viewed by 153
Abstract
This study presents a numerical investigation of the laminar forced convection of polyethylene glycol-based nanocolloids within a horizontal pipe. To bridge the gap between theoretical predictions and practical performance, simulations were conducted over a Reynolds number range of 500 to 2000, utilizing a [...] Read more.
This study presents a numerical investigation of the laminar forced convection of polyethylene glycol-based nanocolloids within a horizontal pipe. To bridge the gap between theoretical predictions and practical performance, simulations were conducted over a Reynolds number range of 500 to 2000, utilizing a model validated against laboratory-scale experimental data and well-defined boundary conditions. Our analysis focuses on the thermal behavior of polyethylene glycol 200 enriched with metal oxide nanoparticles and multi-walled carbon nanotubes, which were selected for their capacity to enhance thermal conductivity while maintaining manageable viscosity. The results demonstrate that PEG 200-based nanocolloids significantly improve heat transfer performance in the laminar regime. This enhancement is attributed to the superior intrinsic thermal properties of the nanoparticles and the complex synergistic interactions—such as Brownian motion and thermophoresis—between the particles and the PEG base fluid. A critical evaluation of the standard approach of incorporating thermophysical properties into the numerical approach led to significant discrepancies in flow predictions. Additionally, our study establishes that assuming constant thermophysical properties during the heating process introduces simulation errors exceeding 10%. These findings underscore the necessity of incorporating temperature-dependent, experimentally validated data into numerical models to ensure predictive accuracy. Ultimately, this work advocates for a nuanced approach to nanocolloid design that prioritizes the specific chemical and rheological compatibility between nanoparticle types and the base fluid. Full article
(This article belongs to the Section Polymeric Materials)
Show Figures

Figure 1

32 pages, 8494 KB  
Article
Computational and Statistical Assessment of Ternary Nanofluid Transport in a Magnetized Porous Cylindrical System
by Raju Buchanahalli Thimmaiah, Shobha Visweswara, S. Suresh Kumar Raju, Fatemah H. H. Al Mukahal, Abeer Al Elaiw and Sibyala Vijayakumar Varma
Processes 2026, 14(8), 1281; https://doi.org/10.3390/pr14081281 - 17 Apr 2026
Viewed by 106
Abstract
The study addresses a selected issue in industrial cooling, that is, how to transport heat more efficiently when the process involves fiber spinning and extrusion, in which conventional fluids usually cannot work. We considered a ternary nanofluid that passed around a porous stretching [...] Read more.
The study addresses a selected issue in industrial cooling, that is, how to transport heat more efficiently when the process involves fiber spinning and extrusion, in which conventional fluids usually cannot work. We considered a ternary nanofluid that passed around a porous stretching cylinder and particularly considered the synergistic effect of quadratic thermal buoyancy, and the thermally generated double-diffusive heat and solute (TGDHS) effect. Through the Casson fluid model and considering the magnetic fields, radiations, and nonlinear chemical reactions, we reduced complex PDEs to simple ODEs. The results were evident using the BVP4C numerical method. Although in reality, magnetic fields and thermal radiation become a retarding force, the quadratic thermal buoyancy is the driving force behind accelerating the flow. An important trade-off that we discovered is that a heavier Casson fluid reduces heat and mass transfer. The addition of Nimonic 80A, AA7072, and AA7075 nanoparticles to ethylene glycol consistently enhances heat transfer, outperforming the base fluid by 7.8% even at low concentrations. While AA7072 and AA7075 drive significant increases of over 16%, Nimonic 80A offers a much more marginal contribution of 1.23%. Consequently, the Nusselt number is far more sensitive to the concentration of the aluminum alloys than to the Nimonic 80A. Finally, this work demonstrates that the most significant parameter in intensifying convective heat and mass transfer in such industrial systems is the strong forces of buoyancy. Full article
(This article belongs to the Special Issue Modeling and Optimization in Thermal Process Simulation)
15 pages, 2676 KB  
Article
Functional and Biochemical Characterization of Spermidine Synthase CauSpe3 from Candidozyma auris
by Jae-Yeon Choi, Pallavi Singh and Choukri Ben Mamoun
Pathogens 2026, 15(4), 432; https://doi.org/10.3390/pathogens15040432 - 16 Apr 2026
Viewed by 184
Abstract
Polyamines, putrescine, spermidine and spermine, are essential polycationic metabolites present in all eukaryotic cells, where they regulate fundamental processes including nucleic acid stabilization, translation, and stress responses. Spermidine synthase (SPDS), a member of the aminopropyltransferase (APT) family, catalyzes the transfer of an aminopropyl [...] Read more.
Polyamines, putrescine, spermidine and spermine, are essential polycationic metabolites present in all eukaryotic cells, where they regulate fundamental processes including nucleic acid stabilization, translation, and stress responses. Spermidine synthase (SPDS), a member of the aminopropyltransferase (APT) family, catalyzes the transfer of an aminopropyl group from decarboxylated S-adenosylmethionine (dc-SAM) to putrescine to form spermidine. Although genomic analyses predict the presence of SPDS homologs in multiple fungal species, polyamine biosynthesis has not been experimentally characterized in the multidrug-resistant fungal pathogen Candidozyma auris. Here, we report the biochemical and functional characterization of the C. auris spermidine synthase, CauSpe3. The CauSPE3 gene complemented a Saccharomyces cerevisiae spe3Δ mutant demonstrating conserved function in vivo. Recombinant CauSpe3 was expressed in Escherichia coli, purified and analyzed using the fluorescence-based DAB-APT assay, which uses 1,2-diacetylbenzene (DAB) for polyamine detection. CauSpe3 catalyzed efficient conversion of putrescine to spermidine in the presence of dc-SAM, with Khalf values of 65.5 ± 7.11 µM for putrescine and 66.9 ± 2.09 µM for dc-SAM, and Vmax values of 7.1 ± 0.57 and 7.9 ± 0.12 nmol·µg−1·min−1, respectively. A catalytic-site mutant and heat-inactivated enzyme showed no detectable activity, and product formation was confirmed by means of thin-layer chromatography and mass spectrometry. These findings establish CauSpe3 as a functional spermidine synthase. Full article
Show Figures

Figure 1

18 pages, 3688 KB  
Article
Evolution of Char Structure and Its Influence on Reactivity During Biomass Pyrolysis: Spatial Scale Effects from Pellet Size to Intra-Pellet Location
by Huping Liu, Yun Yu, Jingyi Wu, Jingchun Huang, Wei Hu, Li Xia, Yu Ru, Maolong Zhang, Minghou Xu and Yu Qiao
Polymers 2026, 18(8), 964; https://doi.org/10.3390/polym18080964 - 15 Apr 2026
Viewed by 180
Abstract
Biomass, composed of natural polymers such as cellulose, hemicellulose, and lignin, can be converted into circular chemical feedstocks through thermochemical conversion processes like pyrolysis. Char conversion is the rate-limiting step in the thermochemical conversion process, and thus, char reactivity is essential for determining [...] Read more.
Biomass, composed of natural polymers such as cellulose, hemicellulose, and lignin, can be converted into circular chemical feedstocks through thermochemical conversion processes like pyrolysis. Char conversion is the rate-limiting step in the thermochemical conversion process, and thus, char reactivity is essential for determining the overall efficiency of pellet-based thermochemical processes. Pyrolysis experiments were conducted on rice straw pellets of different sizes (i.e., 8, 10, and 12 mm) in a vertical quartz tube reactor at 700 °C, and then the chemical structure of chars sampled at different stages and locations within a 10 mm pellet was analyzed using Raman spectroscopy and Fourier transform infrared spectroscopy (FTIR). The results indicate that increasing the pellet size facilitates the growth of polycyclic aromatic structures, as evidenced by the observed variations in the abundance of typical aromatic compounds in bio-oil. This also promotes volatile–char interactions, leading to greater deposition of large aromatic structures on the char surface, thereby enhancing char aromatization. Analogous to the spatial scale effect of pellet size on char structure, the evolution of the char structure within a single pellet exhibits distinct spatial heterogeneity during the initial devolatilization and subsequent char aromatization stages due to the location-dependent coupling of heat/mass transfer limitations and aromatization reactions during pyrolysis. Furthermore, the spatiotemporal evolution of the char structure leads to differences in the specific reactivity: during the devolatilization stage at 75 s, the center exhibits the highest reactivity, whereas the outer surface becomes the most reactive in the subsequent char aromatization stage at 300 s. Full article
(This article belongs to the Special Issue Thermochemical Conversion of Polymer Waste)
17 pages, 6839 KB  
Article
Numerical Investigation of Jatropha and Castor Biofuel Droplet Evaporation at High Engine Operating Conditions
by Ali Raza, Marva Hadia, Zunaira Tu Zehra, Sajjad Miran, Muhammad Khurram and Ghulam Murtaza
Fuels 2026, 7(2), 24; https://doi.org/10.3390/fuels7020024 - 14 Apr 2026
Viewed by 307
Abstract
Fossil fuel depletion has increased interest in renewable alternatives such as biodiesel derived from non-edible plant oils. Droplet evaporation is a key process influencing fuel–air mixing and combustion efficiency in diesel engines. In this study, the evaporation characteristics of diesel and two non-edible [...] Read more.
Fossil fuel depletion has increased interest in renewable alternatives such as biodiesel derived from non-edible plant oils. Droplet evaporation is a key process influencing fuel–air mixing and combustion efficiency in diesel engines. In this study, the evaporation characteristics of diesel and two non-edible biofuels, Jatropha and Castor, are investigated using computational fluid dynamics (CFD) under high-temperature and high-pressure conditions representative of engine environments. The numerical model incorporates the conservation equations of mass, momentum, and energy, together with the kε turbulence model and a discrete phase model to simulate droplet heating, motion, and mass transfer during evaporation. A comparative CFD analysis is performed to examine how fuel properties, ambient temperature, and droplet size affect the evaporation behaviour of diesel, Jatropha, and Castor droplets under identical engine-like conditions. The evolution of droplet diameter, temperature, velocity, and lifetime is analysed, and the applicability of the classical D2-law is evaluated under different operating conditions. The results indicate that biofuel droplets generally evaporate faster than diesel droplets at lower temperatures, while evaporation trends become similar at higher temperatures. These findings provide insight into the evaporation behaviour of Jatropha and Castor fuels and their potential application in diesel engines. Full article
Show Figures

Figure 1

27 pages, 5980 KB  
Article
Electrotechnologies for Defossilisation of Industrial Thermal and Manufacturing Processes
by Michele Forzan, Egbert Baake and Koen Van Reusel
Energies 2026, 19(8), 1888; https://doi.org/10.3390/en19081888 - 13 Apr 2026
Viewed by 388
Abstract
Industrial production still relies heavily on thermal processes that predominantly use fossil fuels for energy. This has significant consequences for primary energy use and greenhouse gas emissions. Meanwhile, rapid advances in electrotechnologies—defined as processes that use electrical energy to transform materials through internal [...] Read more.
Industrial production still relies heavily on thermal processes that predominantly use fossil fuels for energy. This has significant consequences for primary energy use and greenhouse gas emissions. Meanwhile, rapid advances in electrotechnologies—defined as processes that use electrical energy to transform materials through internal heat dissipation (inductive, conductive, or dielectric/microwave) or heat transfer via resistance and infrared systems—are paving the way for a transition to a non-fossil fuel-based energy supply across a wide range of temperatures and power densities. However, replacing fuel with electricity is not simply a case of making a straightforward substitution; the feasibility of this change is determined by process requirements, constraints on installation space and grid connection, the reliability and volatility of the electricity supply, and economics. This paper therefore proposes a simple, decision-oriented methodology to assess the feasibility of defossilisation from energetic and economic perspectives. The methodology centres on a “substitution coefficient” that compares the amount of fossil energy substituted by a given amount of electrical energy and benchmarks this against the primary energy intensity of electricity generation. The methodology is demonstrated using case studies from energy-intensive sectors such as cement production (using resistance and microwave methods), steel strip processing (with inductive boosting combined with resistive holding) and metal melting for cast iron and aluminium. The case studies show under which conditions electrification can be implemented as a drop-in substitute, a hybrid booster or an enabler of new production models. The results indicate where electrotechnologies can deliver primary energy savings and CO2 reductions today and outline the conditions under which their advantages will increase as power systems become more decarbonised. Full article
(This article belongs to the Special Issue Progress in Electromagnetic Analysis and Modeling of Heating Systems)
Show Figures

Figure 1

26 pages, 3204 KB  
Article
Effect of Different Carbon-Supported Catalysts on the Thermal Decomposition of Energetic Thermoplastic Elastomers
by Zhu Wang, Wenhao Liu, Haoyu Yu, Tianqi Li, Yunjun Luo and Yonghao Xiao
Materials 2026, 19(8), 1542; https://doi.org/10.3390/ma19081542 - 12 Apr 2026
Viewed by 376
Abstract
To enhance the thermal decomposition properties of glycidyl azide polymer energetic thermoplastic elastomer (GAP-ETPE), the effects of nano-CuO supported on different carbon carriers (GO and CNT) were systematically investigated in this study. The structural characteristics and catalytic performances were comprehensively analyzed using XRD, [...] Read more.
To enhance the thermal decomposition properties of glycidyl azide polymer energetic thermoplastic elastomer (GAP-ETPE), the effects of nano-CuO supported on different carbon carriers (GO and CNT) were systematically investigated in this study. The structural characteristics and catalytic performances were comprehensively analyzed using XRD, Raman, XPS, UPS, BET, SEM, and TEM, coupled with thermal analysis techniques including TG-DSC and TG-MS. The results indicate that the catalytic performance follows the descending order of CuO/CNT > CuO/GO > CuO. Notably, CuO/CNT exhibits the optimal catalytic activity, advancing the exothermic peak temperature of the azide groups by approximately 33 °C and resulting in a more concentrated heat release process. The superior synergistic catalytic effect of CuO/CNT is attributed to the following: the three-dimensional network constructed by CNT effectively overcomes the agglomeration of CuO nanoparticles and the restacking defects typical of GO nanosheets, thereby significantly reducing the gas–solid mass transfer resistance. Simultaneously, the highly graphitized sp2 conjugated skeleton of CNT provides an exceptional electron transport capability, facilitating rapid electron migration. These findings demonstrate that the structure of carbon supports profoundly influences the synergistic catalytic effect of CuO, offering valuable insights into the design of highly efficient catalysts for energetic binders. Full article
(This article belongs to the Section Catalytic Materials)
Back to TopTop