Previous Article in Journal
Characterization of Residual Woody Biomass for the Production of Densified Solid Biofuels and Their Local Utilization
 
 
Font Type:
Arial Georgia Verdana
Font Size:
Aa Aa Aa
Line Spacing:
Column Width:
Background:
Article

Numerical Investigation of Jatropha and Castor Biofuel Droplet Evaporation at High Engine Operating Conditions

by
Ali Raza
1,2,*,
Marva Hadia
3,
Zunaira Tu Zehra
1,
Sajjad Miran
4,*,
Muhammad Khurram
1 and
Ghulam Murtaza
1
1
Department of Mechanical Engineering, National University of Technology (NUTECH), Karnal Sher Khan Shaheed Road, Sector I-12, Islamabad 44000, Pakistan
2
School of Civil and Mechanical Engineering, Curtin University, Kent Street, Bentley, Perth, WA 6102, Australia
3
Department of Mechanical Engineering, National University of Sciences and Technology (NUST), Sector H-12, Islamabad 44000, Pakistan
4
Department of Mechanical Engineering, University of Gujrat (UOG), Hafiz Hayat Campus, Gujrat 50700, Pakistan
*
Authors to whom correspondence should be addressed.
Fuels 2026, 7(2), 24; https://doi.org/10.3390/fuels7020024
Submission received: 14 February 2026 / Revised: 16 March 2026 / Accepted: 7 April 2026 / Published: 14 April 2026

Abstract

Fossil fuel depletion has increased interest in renewable alternatives such as biodiesel derived from non-edible plant oils. Droplet evaporation is a key process influencing fuel–air mixing and combustion efficiency in diesel engines. In this study, the evaporation characteristics of diesel and two non-edible biofuels, Jatropha and Castor, are investigated using computational fluid dynamics (CFD) under high-temperature and high-pressure conditions representative of engine environments. The numerical model incorporates the conservation equations of mass, momentum, and energy, together with the k ε turbulence model and a discrete phase model to simulate droplet heating, motion, and mass transfer during evaporation. A comparative CFD analysis is performed to examine how fuel properties, ambient temperature, and droplet size affect the evaporation behaviour of diesel, Jatropha, and Castor droplets under identical engine-like conditions. The evolution of droplet diameter, temperature, velocity, and lifetime is analysed, and the applicability of the classical D 2 -law is evaluated under different operating conditions. The results indicate that biofuel droplets generally evaporate faster than diesel droplets at lower temperatures, while evaporation trends become similar at higher temperatures. These findings provide insight into the evaporation behaviour of Jatropha and Castor fuels and their potential application in diesel engines.

1. Introduction

Energy is a fundamental requirement for the existence and development of human civilisation. In recent decades, global energy demand has increased significantly due to industrial growth, transportation needs, and rapid population expansion. Traditionally, this demand has been fulfilled by fossil fuels such as crude oil, coal, and natural gas. However, excessive reliance on these fuels has created serious environmental and sustainability challenges. The combustion of fossil fuels releases large quantities of greenhouse gases, which contribute to global warming and climate change [1,2,3,4]. In addition to environmental concerns, fossil fuel reserves are finite and are being depleted continuously. It has been estimated that oil and natural gas reserves may diminish over the next few decades, while coal reserves may last until approximately 2112 [5]. These concerns have motivated extensive research towards the development of alternative and renewable energy resources.
Among various renewable energy options, biofuels have received considerable attention as potential substitutes for conventional petroleum-based fuels. Biofuels are derived from biomass sources such as plant oils, animal fats, and biodegradable waste. Typically, biofuels consist of monoalkyl esters of long-chain fatty acids produced by chemical processing of raw oils derived from biological feedstocks [6,7]. Unlike fossil fuels, biofuels are considered renewable and environmentally friendly because their lifecycle carbon emissions are comparatively lower. In addition, local biofuel production from agricultural feedstocks can enhance energy security by reducing dependence on imported fossil fuels. These advantages have encouraged researchers to explore biofuels as alternatives for internal combustion engines [8].
A variety of feedstocks have been investigated for biodiesel production. Common sources include palm, soybean, sunflower, rapeseed, peanut oil, and several non-edible oil seeds [9]. Non-edible biofuels are particularly attractive because they do not compete with food resources. Among these feedstocks, Jatropha curcas and Castor oil have gained attention due to their high oil content and favourable cultivation characteristics. Jatropha, commonly known as physic nut or purging nut, requires relatively low water and fertilizer inputs and can grow in marginal soils, making it a promising feedstock for biodiesel production [10]. Similarly, Castor oil, obtained from Ricinus communis, is widely cultivated in Asian countries and has an oil content of approximately 50%. Castor plants are adaptable to various soil conditions and can be cultivated under different environmental conditions [11]. After oil extraction, the transesterification process is typically used to convert the triglycerides in these oils into methyl esters, which possess suitable thermophysical properties for engine applications [12]. Although biofuels offer several environmental and sustainability advantages, their physical and chemical properties differ from those of conventional diesel fuel. Important thermophysical properties such as viscosity, density, cetane number, flash point, and sulphur content influence fuel atomization, evaporation, and combustion behaviour in internal combustion engines. In general, vegetable oils have viscosities that are approximately 10–17 times higher than those of conventional diesel fuels, which can affect spray characteristics and fuel atomization during injection. Therefore, biodiesel is commonly produced by transesterification to adjust these properties and meet established fuel standards, such as ASTM D6751 [13]. In internal combustion engines, fuel is injected into the combustion chamber as a high-speed spray. The spray formation and subsequent droplet dynamics play a crucial role in determining combustion efficiency and emission characteristics. After injection, several in-cylinder processes occur sequentially: primary breakup, secondary breakup, droplet evaporation, and, finally, combustion. During the primary breakup stage, the injected liquid jet disintegrates into relatively large droplets [14,15]. These droplets subsequently undergo secondary breakup, forming smaller droplets that are more suitable for rapid evaporation. The efficiency of evaporation strongly depends on droplet size, injection pressure, and thermophysical properties of the fuel [16,17]. If droplets do not evaporate completely before combustion, incomplete combustion may occur, leading to engine knocking, reduced efficiency, and increased emissions [18].
Droplet evaporation is therefore a key phenomenon in spray combustion processes. The evaporation behaviour of a droplet is influenced by several mechanisms, including heat transfer from the surrounding hot gas, mass diffusion of vapour away from the droplet surface, and aerodynamic drag experienced by the droplet as it travels through the combustion chamber. These processes are often affected by turbulent flow conditions inside the engine cylinder. When fuel droplets move through a high-temperature and high-velocity environment, turbulence enhances heat and mass transfer between the droplet and the surrounding gas. To capture these effects in numerical simulations, appropriate turbulence models are required. Several studies have investigated droplet heating and evaporation using numerical and experimental methods [19,20,21,22].
Previous research has shown that biodiesel fuels such as Jatropha can be successfully used in compression ignition engines without significant engine modifications while simultaneously reducing emissions [23]. Biodiesel fuels typically contain lower sulphur and aromatic content than conventional diesel fuels, which contributes to improved environmental performance. Due to these characteristics, biodiesel has emerged as a promising alternative fuel for automotive and energy applications [24].
Motivated by these considerations, the present study investigates the evaporation characteristics of biofuel droplets using numerical simulation techniques. In this work, the evaporation behaviour of conventional diesel fuel is compared with that of Jatropha and Castor biodiesel droplets at different ambient temperatures. The analysis focuses on two droplet sizes (20 μ m and 25 μ m), and the variations in droplet diameter, temperature, and velocity are examined during evaporation. The numerical simulations are performed using computational fluid dynamics (CFD) methods implemented in ANSYS Fluent 2024 R2 where the conservation equations for mass, momentum, and energy are solved, along with an appropriate turbulence model to capture turbulent flow effects in the engine environment. Although several studies have investigated biodiesel combustion and spray behaviour, detailed numerical analysis of droplet evaporation characteristics of non-edible biofuels under high engine operating temperatures remains limited. In particular, the comparative evaporation behaviour of Jatropha and Castor biodiesel droplets has not been sufficiently investigated using CFD-based discrete-phase modelling. Therefore, the present study numerically investigates the evaporation characteristics of Jatropha and Castor biodiesel droplets and compares them with conventional diesel fuel under different ambient temperatures (623 K, 823 K, and 973 K). The effects of droplet size (20 μ m and 25 μ m) on droplet lifetime, temperature evolution, velocity decay, and evaporation behaviour are analysed.
Unlike previous studies, including the author’s earlier work that primarily investigated droplet evaporation of conventional diesel and biodiesel fuels, the present study performs a detailed comparative CFD investigation of pure (100%) Jatropha and Castor biodiesel droplets under heavy-duty diesel engine conditions, considering multiple ambient temperatures and droplet sizes. The study further examines droplet evaporation behaviour using classical D 2 -law analysis across different fuels and operating conditions, allowing comparative assessment of droplet lifetime, droplet diameter regression, and temperature evolution. This approach provides insight into the influence of thermophysical properties on the evaporation dynamics of non-edible biodiesel fuels and their potential suitability as alternative fuels for heavy-duty diesel engines.

2. Materials and Methods

2.1. Governing Equations

The conservation equations of mass, momentum, energy, and species transport govern the evaporation of fuel droplets in the engine cylinder. These equations describe the interaction between the continuous phase (compressed air) and the discrete phase (fuel droplets). The governing equations follow the standard formulations implemented in Ansys Fluent and reported in [16].

2.1.1. Continuity Equation

The conservation of mass in the flow field is given by
ρ t + · ( ρ v ) = S m
where S m represents the mass source term associated with droplet evaporation.

2.1.2. Momentum Equation

The conservation of momentum is expressed as
t ( ρ v ) + · ( ρ v v ) = p + · ( τ ¯ ) + ρ g + F
where p is the static pressure, τ ¯ is the stress tensor, and F represents additional body forces due to droplet–gas interaction.

2.1.3. Energy Equation

The energy equation governs heat transfer between the droplet and the surrounding gas.
t ( ρ E ) + · ( v ( ρ E + p ) ) = · k e f f T j h j J j + S h
where k e f f represents effective thermal conductivity and S h denotes the energy source due to phase change.

2.1.4. Species Transport Equation

The diffusion and transport of evaporated fuel vapour are described by
t ( ρ Y j ) + · ( ρ v Y j ) = · J j + R j + S j
where Y j represents the mass fraction of species j.

2.2. Discrete Phase Model

The evaporation of liquid fuel droplets is simulated using the Discrete Phase Model (DPM), which tracks individual droplets using a Lagrangian approach. The particle force balance equation governs the droplet motion
d v p d t = F d ( v v p ) + ( ρ p ρ ) g ρ p
where F d represents the drag force acting on the droplet.
Heat and mass transfer between droplets and the surrounding gas determine the rate of droplet evaporation.

2.3. Turbulence Modelling

Due to the high Reynolds number inside the engine cylinder, turbulence plays an important role in droplet evaporation and mixing. In the present study, the realizable k ε turbulence model within the Reynolds Averaged Navier–Stokes (RANS) framework is used due to its good prediction capability for jet and spray flows [25]. The transport equations for turbulent kinetic energy (k) and its dissipation rate ( ε ) are given by
t ( ρ k ) + x j ( ρ k u j ) = x j μ + μ t σ k k x j + G k + G b ρ ε Y M + S k
t ( ρ ε ) + x j ( ρ ε u j ) = x j μ + μ t σ ε ε x j + ρ C 1 ε S ε ρ C 2 ε 2 k + ν ε + C 1 ε ε k C 3 ε G b + S ε
The turbulent eddy viscosity is computed as
μ t = ρ C μ k 2 ε

2.4. Numerical Model

Various commercial software packages are available for droplet evaporation simulation. Available software packages include OpenFOAM, Comsol, Star-CD, VECTIS, and Fluent. In the present work, ANSYS Fluent 2024 R2 is used for the numerical computations. The details of numerical models are presented in [26,27]. The previously presented droplet evaporation model is implemented in Ansys Fluent to model the evaporation characteristics of diesel, Jatropha, and Castor biofuels. A finite volume method is used in Ansys Fluent for evaporation modelling of the above-mentioned fuels. Conservation equations of mass, energy, and momentum are linked with the transport equations of the Discrete Phase Model and the realizable k ε model. The present model is applied to the engine with the specifications given in Table 1.

Numerical Setup and Boundary Conditions

The numerical simulations were carried out using the commercial CFD solver ANSYS Fluent, based on the finite-volume method. Turbulence effects within the computational domain were modelled using the realizable k ε turbulence model with scalable wall functions for near-wall treatment. The model constants were specified as C 2 ε = 1.9 , while the turbulent kinetic energy Prandtl number was set to 1, and the turbulent dissipation rate Prandtl number was set to 1.2. The energy and wall Prandtl numbers were both taken as 0.85, and the turbulent Schmidt number was set to 0.7. Species transport was activated to account for the diffusion of evaporated fuel vapour in the surrounding air. The working mixture consisted of diesel-air, and five volumetric species were considered in the computational domain. Fuel injection was modelled using the Discrete Phase Model (DPM) by tracking droplets in a Lagrangian framework. The injector was defined as a cone-type injector with two streams and a solid-cone spray pattern. The injection started at t = 0 s and continued until 0.003 s. The outer injector radius was set to 2.9 × 10 4 m, and the total fuel mass flow rate was set to 0.003 kg/s. The inlet boundary condition was specified as a velocity inlet with a velocity magnitude of 0.1 m/s normal to the boundary. Turbulence at the inlet was defined using the intensity and viscosity ratio method with a turbulence intensity of 5% and a turbulent viscosity ratio of 10. For the species boundary conditions, the oxygen mass fraction was set to 0.15. These numerical settings enable the simulation to capture the evaporation characteristics of diesel, Jatropha, and Castor fuel droplets under representative engine operating conditions.

2.5. Geometry and Meshing

Generally, the piston in a diesel engine is bowl-shaped. When fuel is sprayed into the engine cylinder, it spreads in the piston bowl depending on the number of nozzle holes and the spray cone angle. The number of holes can be 4, 6, or 8. In the present work, a six-hole nozzle with a 60° cone angle is considered. In this way, the whole geometry under consideration can be divided into six symmetrical parts, and one part can be used for analysis because all the injection parameters are the same in all six sectors. Thus, for the present work, 1 / 6 th of the whole geometry is used and is shown in Figure 1.
The red arrow in Figure 1 indicates the injection location. In the engine cylinder, the nozzle is placed at the centre of the piston. There are six holes in the nozzle, and each injects liquid fuel into 1 / 6 of the piston sector. A total of 0.68 million elements are selected for the numerical simulation following a mesh independence study. Four different meshes are considered for the mesh independence study, and the residence time for a 20- μ m diesel fuel droplet is given in Table 2.

2.6. Fuels Properties

In this study, three different fuels are considered for evaporation modelling. Two are biofuels, Jatropha and Castor, and one is conventional diesel fuel. Thermophysical properties of fuels affect evaporation characteristics. The properties of diesel are taken from [17], while the properties of Jatropha and Castor biofuels are taken from [28,29]. The compositions of both Jatropha and Castor are taken as JB-100 and CD-100, respectively. This implies that there is no diesel fuel mixing in these compositions, and that they are pure biofuels derived from Jatropha and Castor. The properties of diesel, Castor, and Jatropha biofuels are given in Table 3. The properties of biofuels vary from country to country.

2.7. Model Validation

The numerical model for droplet evaporation employed in this study has been previously validated in the author’s earlier work [17]. In that study, the model predictions were benchmarked against high-accuracy experimental and numerical data reported by Chauveau et al. [19] and Abramzon and Sirignano [30]. The present model was applied to diesel fuel droplets, and the normalised droplet diameter decay was evaluated as a function of normalised time. The predicted results closely agreed with the experimental observations of Shiadeh et al. [31], which can be attributed to the inclusion of turbulence effects in the current formulation, an important feature under the high-temperature, high-pressure conditions of internal combustion engines. Following its validation for diesel fuel droplets, the model was further extended to Thumba biofuel droplets [17]. Consequently, the validated model is herein employed to investigate the evaporation behaviour of Jatropha and Castor biofuels, whose thermophysical properties are comparable to those of diesel, making them suitable candidates for evaporation and combustion analyses in internal combustion engine applications. Furthermore, the D 2 -law behaviour is examined in the results section for multiple fuels, temperatures, and droplet sizes.

3. Results and Discussion

The regression of droplet diameter, temperature profiles, and reduction in droplet velocity are analysed to compare the behaviour of the three fuels in the combustion chamber under representative heavy-duty engine parameters. The total injection duration is set to 3 ms for all cases. It is observed that droplets of both 20 and 25 microns for all fuels are completely evaporated within the applied injection time span. The analysis temperatures are 623, 823, and 973 K. These temperatures are consistent with the high operating conditions considered in [17,32]. After the compression stroke in the diesel engine, the temperature reaches 623 K, and during combustion, it exceeds 973 K. Thus, these three ambient temperatures are used to investigate the evaporation characteristics of diesel and biofuels.
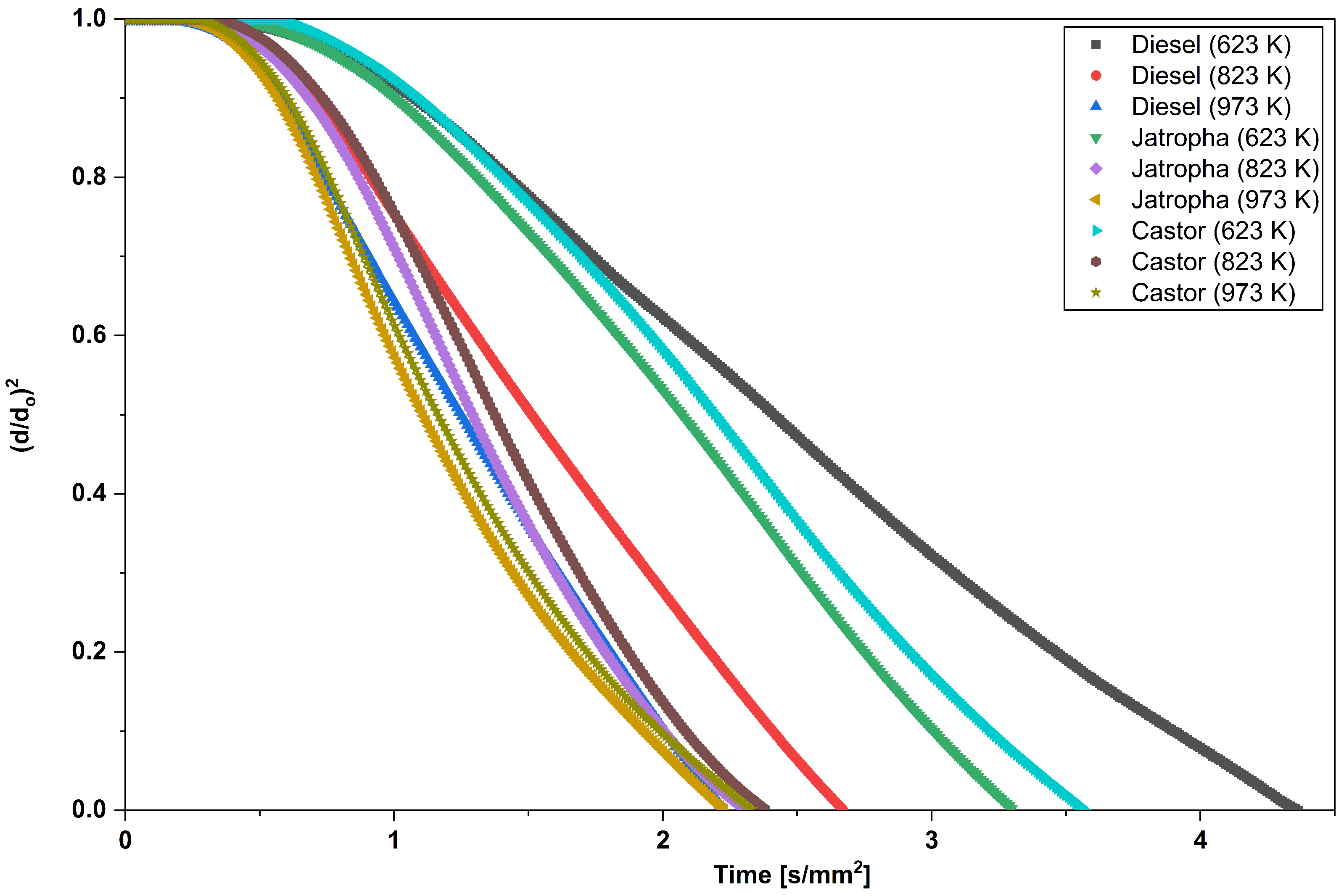
In Figure 2, the evaporation of 20-micron fuel droplets is plotted using the classical D 2 -law, where the normalised squared droplet diameter is shown as a function of normalised time. According to the D 2 -law, the square of the droplet diameter decreases linearly with time during diffusion-controlled evaporation. The results show approximately linear decay over most of the evaporation period, indicating that droplet evaporation is predominantly diffusion-controlled. A slight deviation from linearity is observed at the initial stage due to the droplet-heating period before the evaporation process reaches a quasi-steady state. The linear decrease of the normalised squared droplet diameter confirms that the evaporation process follows the classical D 2 -law for all tested fuels and temperatures. The droplet decay for a 20-micron droplet is shown for all three fuels. It is noted that diesel fuel droplets take longer to evaporate than Jatropha and Castor fuel droplets at 623 K. As shown in the graph, the residence time of diesel fuel droplets is greater than that of the Jatropha and Castor fuel droplets. This indicates that at the end of the compression stroke, biofuels evaporate earlier than conventional diesel fuel. The difference between the residence times of Jatropha and Castor fuel droplets at 623 K is not large, whereas diesel fuel is clearly separated from both biofuels in terms of residence time. At the higher temperature of 823 K, the same trend is observed. The residence time of diesel droplets is again longer than that of the biofuel droplets. As the ambient temperature increases to 973 K, the differences among the fuels become much smaller, and the evaporation behaviour of diesel, Jatropha, and Castor becomes more similar, although Jatropha still exhibits a slightly shorter evaporation time for the 20- μ m droplet. There is little difference in the evaporation rates of Jatropha and Castor biofuels at 973 K. Overall, it is observed that, even at higher temperatures, Jatropha shows a shorter evaporation time for the 20-micron droplet.
In Figure 3, the evaporation behaviour of a 25-micron droplet is plotted using the D 2 -law. For diesel fuel, the same general trend is observed as for the 20-micron droplet. Diesel fuel droplets have a longer residence time than Jatropha and Castor biodiesel droplets. At the lower temperature of 623 K, Jatropha evaporates earlier than Castor and diesel fuel. The same trend is observed in Figure 2. It is therefore clear that, even with larger droplets, Jatropha evaporates earlier than diesel and Castor fuels. When the temperature is increased from 623 K to 823 K, diesel fuel droplets still show a larger evaporation time than both biofuels. Although the difference in residence time at 823 K between diesel fuel and the biofuels is less than that at 623 K, the biofuels still show earlier evaporation characteristics at this temperature. There is only a small difference between the residence times of Jatropha and Castor fuels at 823 K, but Jatropha evaporates more quickly than Castor. Thus, for a 25-micron droplet at 823 K, Jatropha biodiesel evaporates earlier than both diesel and Castor fuels. At 973 K, diesel and Jatropha evaporate almost simultaneously, while Castor evaporates slightly later. Therefore, for the 25-micron droplet, the difference among the fuels becomes much smaller at the highest temperature.
At the lower ambient temperature of 623 K, the droplet-heating stage plays an important role before the onset of diffusion-controlled evaporation. Under these conditions, the evaporation behaviour is influenced by both the thermophysical properties of the fuels, as shown in Table 3, and the transport processes governing droplet motion and vapour diffusion. Castor biodiesel shows slower evaporation because of its significantly higher viscosity, boiling temperature, and latent heat of vaporisation, which increase resistance to heat and mass transfer. Jatropha biodiesel exhibits slightly faster droplet regression than Castor and diesel under the present simulation conditions. This behaviour should be interpreted as the net outcome of coupled heat transfer, vapour diffusion, and droplet transport processes under the imposed engine conditions, rather than as the consequence of any single thermophysical property alone. As a result, Jatropha droplets reach the diffusion-controlled evaporation regime earlier, leading to a steeper droplet diameter regression trend in the D 2 -law analysis.
The D 2 -law plots reveal two important physical features. First, all fuels show an initial non-linear region, which corresponds to the transient droplet-heating stage before the onset of quasi-steady diffusion-controlled evaporation. Second, the slope of the linear region increases significantly with ambient temperature for all fuels. The differences among diesel, Jatropha, and Castor are most pronounced at 623 K but become progressively smaller at 823 K and 973 K, indicating that fuel-property effects are more important at lower temperatures, whereas external heat transfer and vapour diffusion dominate at higher temperatures. Although Jatropha exhibits higher boiling point and latent heat than diesel, the present CFD results indicate shorter droplet lifetime under the imposed engine-like conditions. This suggests that the overall evaporation response is governed by the combined effects of droplet heating, convective heat transfer, vapour diffusion, and transport history rather than by any single property alone.
In addition to the tabulated thermophysical properties, compositional differences between diesel and biodiesel fuels may also influence the overall evaporation response. However, in the present work, the observed evaporation ranking is interpreted primarily through the CFD-predicted D 2 -law regression, droplet lifetime, and temperature histories obtained under identical boundary conditions. Accordingly, the faster evaporation of Jatropha at lower temperature is treated as a model-based outcome of the coupled transport processes considered in the present simulations. The present results are consistent with findings reported in the literature, where pure biodiesel droplets were observed to exhibit approximately 11% shorter droplet lifetimes than pure diesel droplets [33].
In Figure 4, temperature profiles of 20-micron droplets of all fuels are plotted against the injection duration at three different temperatures. These profiles show the maximum temperature absorbed by the droplet during evaporation as a function of injection duration. Complete evaporation of the fuel droplets is necessary for complete combustion. Incomplete evaporation in an internal combustion engine causes knocking, reducing thermal efficiency. These temperature profiles show the increase in droplet temperature relative to the ambient temperature and the effect of injection timing. It is interesting to note that these profiles are in good agreement with the history of droplet diameter decay. The time shown is identical to that in Figure 2. The maximum temperature achieved by the diesel fuel droplets is 447 K, which is also the boiling point of diesel droplets. At 623 K, diesel fuel reaches its maximum temperature at about 1 ms, while Jatropha and Castor reach the same temperature in about 1.5 ms. The residence time of Jatropha is shorter than that of both diesel and Castor fuels at 623 K. When the temperature is increased from 623 K to 823 K, the temperature profiles of biofuels change compared with those at 623 K. The diesel fuel has the same boiling point profile, with a boiling point of 447 K. However, the maximum temperature achieved by Castor and Jatropha is about 590 K. Biofuels therefore attain temperatures approximately 143 K higher than diesel fuel. This is because the vaporisation temperature and boiling point of biofuels are higher than those of diesel. It is notable that, despite their higher vaporisation and boiling temperatures, biofuels show shorter residence times than diesel in several cases. When the temperature is increased to 973 K, more heat is absorbed than at 623 K and 823 K. The maximum temperatures achieved by Castor and Jatropha biofuels are 674 K and 632 K, respectively. These values are consistent with the high ambient temperature of 973 K. Although the difference in evaporation rate between biofuels and diesel is not large at this temperature, Jatropha still shows a slightly higher evaporation rate than the other two fuels for 20-micron droplets.
In Figure 5, temperature histories of 25-micron droplets of diesel and biofuels are shown with injection timing. The trend in maximum temperature is the same as for a 20-micron droplet. The maximum achieved temperature is the same for all fuels at all temperatures, as shown in Figure 4. It is again noted that the droplet temperature history matches the droplet regression rate over the injection duration. The diesel fuel droplet achieves the maximum temperature at about 1 ms. However, the residence time is still greater for the Castor and Jatropha fuels at 623 K. It is clear that, at 623 K, the residence time of larger droplets is greater than that of smaller ones. At 823 K, Jatropha again has the lowest residence time among the three fuels. When the temperature is increased to 973 K, Castor fuel achieves the maximum temperature due to the reason mentioned earlier. There is a slight difference in the residence times of all fuels at higher temperatures, but Jatropha still shows the minimum residence time and the maximum evaporation rate.
The temperature profiles again support the droplet decay in diameter. Although diesel fuel droplets reach their characteristic temperatures earlier than the two biodiesels because of their lower boiling point, the overall evaporation histories indicate that the subsequent regression behaviour of biodiesel droplets is strongly influenced by the coupled transport processes in the simulated engine environment.
Droplet velocity is an important parameter in the evaporation of fuel droplets. When droplets are atomized from the nozzle, they experience drag and turbulence. During the compression stroke, just before the end of compression, as the piston approaches the top dead centre of the engine cylinder, the droplet faces crossflow from the compressed air. Under high-temperature, high-pressure conditions, turbulence is produced around the droplet. The initial velocity of the droplet is taken as 35 m/s, as reported in [17]. In Figure 6, the droplet velocity is plotted as a function of injection duration. The velocity profiles shown below are in line with those shown in [17]. The reduction in velocity of 20-micron droplets at different temperatures for all fuels is shown in Figure 6. The minimum velocities achieved by diesel, Jatropha, and Castor are 10.81, 9.32, and 8.50 m/s at 623 K. Castor biofuel achieves the lowest velocities. At 823 K, the velocities of diesel, Jatropha, and Castor are 10.59, 8.06, and 8.20 m/s, respectively. It is observed that, as temperature increases, the velocity of Jatropha decreases compared with diesel and Castor fuels. The same trend is observed at 973 K, where the velocities are 10.14, 8.12, and 8.13 m/s for diesel, Jatropha, and Castor fuels, respectively. The final velocities of all fuel droplets are almost the same in all cases. There is no extraordinary difference between the final velocities, but the difference in velocity between diesel and biofuels is appreciable for 20-micron droplets.
The velocity regression of the 25-micron droplet is shown in Figure 7. The final velocity of the diesel fuel droplet is 0.5954 m/s, which is much lower than the velocity of the 20-micron droplet at 623 K, because larger droplets have a longer residence time and hence lower velocity. Also, for a 25-micron droplet at 623 K, the final velocity of Jatropha and Castor is 3.33 and 4.27 m/s, respectively. Jatropha attains the lowest velocity for 25-micron droplets at 623 K. At the higher temperature of 823 K, the velocity of diesel fuel is 0.7460 m/s, and the velocities of Jatropha and Castor are 3.76 and 3.62 m/s, respectively. At 823 K, Jatropha has a slightly higher velocity than Castor fuel. At the temperatures of 623 K and 823 K, diesel has much less velocity than Jatropha and Castor, although Jatropha evaporates earlier than diesel fuel droplets. When the temperature reaches 973 K, the difference in the final velocities of all the fuels is minimum. The final velocities of 25-micron diesel, Jatropha, and Castor fuel droplets are 2.35, 3.76, and 2.69 m/s, respectively, as shown in Figure 7.
Finally, it is clear from Figure 6 and Figure 7 that, for 20-micron droplets, Castor fuel droplets have the lowest final velocities. However, for 25-micron droplets, diesel fuel droplets have the lowest final velocities. Nevertheless, Jatropha’s evaporation rate is faster than those of diesel and Castor fuels. At higher temperatures, the difference is not significant, but at 623 K, Jatropha shows a much better evaporation characteristic than diesel and Castor fuels. In Figure 8, the temperature contours of diesel, Jatropha, and Castor fuels for 20-micron droplets are shown. The spray pattern is almost the same for all temperatures. The red colour shows the ambient temperature, which is 623, 823, and 973 K in three cases. The other blue and green areas show the spray of droplets. The minimum temperatures for the diesel fuel spray at 623, 823, and 973 K are 571, 712, and 806 K, respectively, as shown in blue in the contours below. The contour pattern is not much different, but the temperature difference is due to higher ambient temperatures. Similarly, for Jatropha biofuel, the minimum temperatures are 568, 698, and 779 K at ambient temperatures of 623, 823, and 973 K, respectively. Whereas for Castor biofuel, the minimum temperatures are 571, 704, and 786 K at the ambient temperatures of 623, 823, and 973 K. It is observed from the contours of temperature that the maximum temperature is achieved by Castor biofuel in the blue area, which is the least-temperature region. Because the boiling and vaporisation points of Castor fuel are higher than those of the other two fuels, it can absorb more heat and shows higher-temperature profiles in both contours and temperature histories. From the contours, the blue region with the minimum temperature is larger for Castor fuel at 623 K than for the other two fuels. Jatropha has slightly more blue regions than diesel fuel. At the higher temperatures of 823 and 973 K, the blue region in the temperature contours is nearly identical, but the differences in temperature remain evident in the droplet temperature profiles.
In Figure 9, the temperature contours of 25-micron droplets are shown for all fuels. The minimum temperatures for diesel fuel are 589, 745, and 851 K, respectively. Similarly, for Jatropha biofuel, the minimum temperatures are 588, 742, and 841 K at 623, 823, and 973 K, respectively. In contrast, the minimum temperature values for Castor biofuels are 591, 747, and 849 K, respectively, at the given temperatures. The green and yellow areas are greater for the 25-micron droplet spray than for the 20-micron droplet spray. In the 25-micron droplet spray, these green and yellow areas are greater at 623 K, the lower temperature, and decrease with increasing ambient temperature, as evident in Figure 9. The difference in the minimum achieved temperature for large-droplet sprays of 25 microns is not large across all fuels, but the real difference lies in the maximum temperature achieved, as shown in the droplet temperature profiles.

4. Conclusions

In this study, the evaporation characteristics of Jatropha and Castor biodiesel droplets were investigated numerically using computational fluid dynamics in ANSYS Fluent. The governing conservation equations for mass, momentum, and energy were solved together with the realizable k ε turbulence model to capture the droplet dynamics in engine-like conditions. Two initial droplet diameters, 20 and 25 μ m, were considered to evaluate the influence of droplet size on evaporation behaviour. The results show that ambient temperature plays a dominant role in determining the evaporation rate of fuel droplets. At the lower temperature of 623 K, noticeable differences in evaporation behaviour are observed among the fuels. Under these conditions, Jatropha biodiesel exhibits the fastest evaporation rate, followed by Castor biodiesel, while diesel shows the slowest. However, as the ambient temperature increases to 823 K and 973 K, the difference in evaporation behaviour among the fuels becomes progressively smaller, indicating that temperature effects dominate over fuel-property differences at high temperatures. Droplet size also influences the evaporation process. Larger droplets (25 μ m) exhibit longer evaporation times and lower final velocities compared with smaller droplets (20 μ m), primarily due to their larger mass and longer residence times in the surrounding gas. Nevertheless, the relative evaporation trends among the fuels remain consistent across both droplet sizes, with Jatropha generally demonstrating more favourable evaporation characteristics than Castor biodiesel and diesel, particularly at lower ambient temperatures. Overall, the study indicates that biodiesel fuels, especially Jatropha, exhibit evaporation characteristics comparable to or better than those of diesel under several operating conditions. As the ambient temperature increases, the evaporation behaviour of diesel and biodiesel fuels becomes increasingly similar. These findings suggest that biodiesel fuels are promising alternatives to conventional diesel fuel for compression-ignition engines, owing to their renewable origin and suitable thermophysical properties. The comparative analysis presented here extends previous droplet evaporation studies by clarifying the distinct evaporation behaviour of pure Jatropha and Castor biodiesel droplets under identical heavy-duty diesel engine conditions.

Author Contributions

Conceptualization, A.R., Z.T.Z. and M.H.; Methodology, A.R. and M.H.; Validation, A.R. and Z.T.Z.; Formal analysis, A.R. and S.M.; Investigation, A.R., M.K. and G.M.; Resources, S.M. and M.K.; Data curation, A.R. and M.K.; Writing—original draft, A.R.; Writing—review & editing, A.R., S.M., M.K. and G.M.; Visualization, A.R. and S.M.; Supervision, S.M. and M.K. All authors have read and agreed to the published version of the manuscript.

Funding

This research received no external funding.

Institutional Review Board Statement

Not applicable.

Data Availability Statement

The data will be made available on request.

Acknowledgments

The authors acknowledge the National University of Technology (NUTECH), Islamabad, Pakistan, and the School of Civil and Mechanical Engineering, Curtin University, Bentley, WA, Australia, for providing necessary technical support for this research.

Conflicts of Interest

The authors declare no conflicts of interest.

Nomenclature

ρ Density of gas phase (kg/m3)
ρ p Density of droplet particle (kg/m3)
v Gas phase velocity vector (m/s)
v p Droplet velocity vector (m/s)
pStatic pressure (Pa)
τ Stress tensor (Pa)
g Gravitational acceleration vector (m/s2)
F External body force due to droplet–gas interaction (N)
S m Mass source term (kg/(m3s))
ETotal energy (J/kg)
k eff Effective thermal conductivity (W/(m·K))
TTemperature (K)
h j Enthalpy of species j (J/kg)
J j Diffusion flux of species j (kg/(m2s))
S h Energy source term (W/m3)
Y j Mass fraction of species j
R j Net production rate of species j (kg/(m3s))
S j Source term due to dispersed phase (kg/(m3s))
F d Drag force per unit particle mass (N)
kTurbulent kinetic energy (m2/s2)
ε Turbulent dissipation rate (m2/s3)
μ Molecular viscosity (kg/(m·s))
μ t Turbulent eddy viscosity (kg/(m·s))
σ k Turbulent Prandtl number for k
σ ε Turbulent Prandtl number for ε
G k Generation of turbulent kinetic energy due to velocity gradients
G b Generation of turbulence due to buoyancy
Y M Contribution of fluctuating dilatation in compressible turbulence
S k Source term for turbulent kinetic energy
S ε Source term for dissipation rate
C 1 ε , C 2 , C 3 ε , C μ Empirical turbulence model constants

References

  1. Panwar, N.L.; Kaushik, S.C.; Kothari, S. Role of Renewable Energy Sources in Environmental Protection: A Review. Renew. Sustain. Energy Rev. 2011, 15, 1513–1524. [Google Scholar] [CrossRef]
  2. Owusu, P.A.; Asumadu-Sarkodie, S. A Review of Renewable Energy Sources, Sustainability Issues and Climate Change Mitigation. Cogent Eng. 2016, 3, 1167990. [Google Scholar] [CrossRef]
  3. Saleem, M. Possibility of utilizing agriculture biomass as a renewable and sustainable future energy source. Heliyon 2022, 8, e08905. [Google Scholar] [CrossRef]
  4. Justice, G.; Nyantakyi, G.; Isaac, S.H. The Effect of Renewable Energy on Carbon Emissions through Globalization. Heliyon 2024, 10, e26894. [Google Scholar] [CrossRef]
  5. Shafiee, S.; Topal, E. When Will Fossil Fuel Reserves Be Diminished? Energy Policy 2009, 37, 181–189. [Google Scholar] [CrossRef]
  6. Qian, J.; Shi, H.; Yun, Z. Preparation of biodiesel from Jatropha curcas L. oil produced by two-phase solvent extraction. Bioresour. Technol. 2010, 101, 7025–7031. [Google Scholar] [CrossRef] [PubMed]
  7. Kant, G.; Hasan, A.; Yadav, P.; Pandey, A.; Srivastava, S. The generational shift in biofuels: A path toward sustainable energy solutions. Biomass Bioenergy 2025, 196, 107757. [Google Scholar] [CrossRef]
  8. Malik, K.; Capareda, S.C.; Kamboj, B.R.; Malik, S.; Singh, K.; Arya, S.; Bishnoi, D.K. Biofuels production: A review on sustainable alternatives to traditional fuels and energy sources. Fuels 2024, 5, 157–175. [Google Scholar] [CrossRef]
  9. Elgharbawy, A.S.; Sadik, W.; Sadek, O.M.; Kasaby, M.A. A Review on Biodiesel Feedstocks and Production Technologies. J. Chil. Chem. Soc. 2021, 66, 5098. [Google Scholar] [CrossRef]
  10. Sarin, R.; Sharma, M.; Sinharay, S.; Malhotra, R.K. Jatropha–Palm Biodiesel Blends: An Optimum Mix for Asia. Fuel 2007, 86, 1365–1371. [Google Scholar] [CrossRef]
  11. Koutroubas, S.; Papakosta, D.; Doitsinis, A. Adaptation and Yielding Ability of Castor Plant (Ricinus communis L.) Genotypes in a Mediterranean Climate. Eur. J. Agron. 1999, 11, 227–237. [Google Scholar] [CrossRef]
  12. Demirbas, A. Relationships Derived from Physical Properties of Vegetable Oil and Biodiesel Fuels. Fuel 2008, 87, 1743–1748. [Google Scholar] [CrossRef]
  13. Rao, P.V.; Rao, G.S. Production and Characterization of Jatropha Oil Methyl Ester. Int. J. Eng. Res. 2013, 2, 141–145. [Google Scholar]
  14. Raza, A.; Latif, R.; Raza, M.; Shafi, I. Numerical Modelling of Diesel Fuel Multiphase Evaporation in Heavy Duty Diesel Engine. In Proceedings of the 21st Australasian Fluid Mechanics Conference (AFMC), Adelaide, Australia, 10–13 December 2018. [Google Scholar]
  15. Raza, M.; Latif, R.; Raza, A.; Shafi, I. Investigation of Secondary Breakup in DI High Torque Diesel Engine at Different Injection Pressure. In Proceedings of the 21st Australasian Fluid Mechanics Conference (AFMC), Adelaide, Australia, 10–13 December 2018. [Google Scholar]
  16. Batchelor, G.K. An Introduction to Fluid Dynamics; Cambridge University Press: Cambridge, UK, 2000. [Google Scholar]
  17. Raza, A.; Mehboob, H.; Miran, S.; Arif, W.; Rizvi, S.F.J. Investigation on the Characteristics of Biodiesel Droplets in the Engine Cylinder. Energies 2020, 13, 3637. [Google Scholar] [CrossRef]
  18. Lasocki, J. Engine Knock Detection and Evaluation: A Review. Zeszyty Naukowe Instytutu Pojazdów 2016, 109, 41–50. [Google Scholar]
  19. Chauveau, C.; Halter, F.; Lalonde, A.; Gökalp, I. An Experimental Study on the Droplet Vaporization: Effects of Heat Conduction through the Support Fiber. In Proceedings of the 22nd Annual Conference on Liquid Atomization and Spray Systems (ILASS Europe 2008), Como Lake, Italy, 8–10 September 2008. [Google Scholar]
  20. Barata, J. Modelling of Biofuel Droplets Dispersion and Evaporation. Renew. Energy 2008, 33, 769–779. [Google Scholar] [CrossRef]
  21. Saha, K.; Abu-Ramadan, E.; Li, X. Multicomponent Evaporation Model for Pure and Blended Biodiesel Droplets in High Temperature Convective Environment. Appl. Energy 2012, 93, 71–79. [Google Scholar] [CrossRef]
  22. Sazhin, S.S.; Al Qubeissi, M.; Kolodnytska, R.; Elwardany, A.; Nasiri, R.; Heikal, M. Modelling of Biodiesel Fuel Droplet Heating and Evaporation. Fuel 2014, 115, 559–572. [Google Scholar] [CrossRef]
  23. Chauhan, B.S.; Kumar, N.; Cho, H.M. A Study on the Performance and Emission of a Diesel Engine Fueled with Jatropha Biodiesel Oil and Its Blends. Energy 2012, 37, 616–622. [Google Scholar] [CrossRef]
  24. Rochelle, D.; Najafi, H. A Review of the Effect of Biodiesel on Gas Turbine Emissions and Performance. Renew. Sustain. Energy Rev. 2019, 105, 129–137. [Google Scholar] [CrossRef]
  25. Weaver, D.S.; Mišković, S. A Study of RANS Turbulence Models in Fully Turbulent Jets: A Perspective for CFD–DEM Simulations. Fluids 2021, 6, 271. [Google Scholar] [CrossRef]
  26. Sazhin, S. Droplets and Sprays; Springer: London, UK, 2014; Volume 345. [Google Scholar]
  27. Sazhin, S.S. Computational Fluid Dynamics: An Introduction for Mechanical Engineering Students; Springer Nature: Cham, Switzerland, 2025. [Google Scholar]
  28. Folaranmi, J. Production of Biodiesel (B100) from Jatropha Oil Using Sodium Hydroxide as Catalyst. J. Pet. Eng. 2013, 2013, 956479. [Google Scholar] [CrossRef]
  29. Haq, M.U.; Jafry, A.T.; Abbasi, M.S.; Jawad, M.; Ahmad, S.; Cheema, T.A.; Abbas, N. Numerical and Experimental Spray Analysis of Castor and Jatropha Biodiesel under Non-evaporating Conditions. Energies 2022, 15, 7808. [Google Scholar] [CrossRef]
  30. Abramzon, B.; Sirignano, W.A. Droplet Vaporization Model for Spray Combustion Calculations. Int. J. Heat Mass Transf. 1989, 32, 1605–1618. [Google Scholar] [CrossRef]
  31. Shiadeh, S.V.E. Development of Multi-Component Evaporation Models and 3D Modeling of NOx-SCR Reduction System. Ph.D. Thesis, Institut National Polytechnique de Toulouse (INPT), Toulouse, France, 2011. [Google Scholar]
  32. Raza, A.; Miran, S.; Islam, T.U.; Malik, K.I.; Hadia, M. Numerical Study of Evaporation Modelling for Different Fuels at High Operating Conditions in a Diesel Engine. Eng. Proc. 2021, 12, 8. [Google Scholar] [CrossRef]
  33. Al Qubeissi, M.; Sazhin, S.S. Blended Biodiesel/Diesel Fuel Droplet Heating and Evaporation. In Proceedings of the ILASS–Europe 2016, 27th Annual Conference on Liquid Atomization and Spray Systems, Brighton, UK, 4–7 September 2016. [Google Scholar]
Figure 1. 1/6th sector of piston head geometry; the arrow denotes the fuel injector nozzle location where droplet atomisation is initiated into the combustion chamber.
Figure 1. 1/6th sector of piston head geometry; the arrow denotes the fuel injector nozzle location where droplet atomisation is initiated into the combustion chamber.
Fuels 07 00024 g001
Figure 2. D 2 -law evaporation behaviour of a 20- μ m droplet.
Figure 2. D 2 -law evaporation behaviour of a 20- μ m droplet.
Fuels 07 00024 g002
Figure 3. D 2 -law evaporation behaviour of a 25- μ m droplet.
Figure 3. D 2 -law evaporation behaviour of a 25- μ m droplet.
Fuels 07 00024 g003
Figure 4. Temperature profiles of a 20-micron droplet.
Figure 4. Temperature profiles of a 20-micron droplet.
Fuels 07 00024 g004
Figure 5. Temperature profiles of a 25-micron droplet.
Figure 5. Temperature profiles of a 25-micron droplet.
Fuels 07 00024 g005
Figure 6. Velocity profiles of a 20-micron droplet.
Figure 6. Velocity profiles of a 20-micron droplet.
Fuels 07 00024 g006
Figure 7. Velocity profiles of a 25-micron droplet.
Figure 7. Velocity profiles of a 25-micron droplet.
Fuels 07 00024 g007
Figure 8. Temperature contours of 20-micron droplets of fuel.
Figure 8. Temperature contours of 20-micron droplets of fuel.
Fuels 07 00024 g008
Figure 9. Temperature contours of 25-micron droplets of fuel.
Figure 9. Temperature contours of 25-micron droplets of fuel.
Fuels 07 00024 g009
Table 1. Engine and injection specifications [17].
Table 1. Engine and injection specifications [17].
Engine SpecificationsValuesInjection SpecificationsValues
Bore150 mmInjection typesingle
Stroke180 mmDroplet velocity35 m/s
Maximum Torque295 kg-mDroplet Initial Temperature300 K
In-cylinder Pressure4 MPaMass Flow Rate0.003 kg/s
Nozzle Diameter0.29 mmInjection Duration3 ms
Table 2. Mesh independence.
Table 2. Mesh independence.
GridElements (Million)Time (ms)
10.442.23
20.552.11
30.682.03
40.802.01
Table 3. Thermophysical properties of diesel, Jatropha, and Castor fuels [17,28,29].
Table 3. Thermophysical properties of diesel, Jatropha, and Castor fuels [17,28,29].
PropertiesDieselJatrophaCastor
Vaporisation temperature of fuel droplet (K)341359.4373
Surface tension of fuel droplet (N/m)0.025210.03120.0341
Thermal conductivity (W/m·K)0.1490.15910.165
Boiling point of fuels (K)447632674
Specific heat capacity of fuels (J/kg·K)209023532446
Viscosity of liquid fuel droplets (kg/m·s)0.0040.006890.01472
Droplet latent heat (kJ/kg)277291303
Density of fuels @25 °C (kg/m3)835880915.7
Volatile component fraction (%)100100100
Disclaimer/Publisher’s Note: The statements, opinions and data contained in all publications are solely those of the individual author(s) and contributor(s) and not of MDPI and/or the editor(s). MDPI and/or the editor(s) disclaim responsibility for any injury to people or property resulting from any ideas, methods, instructions or products referred to in the content.

Share and Cite

MDPI and ACS Style

Raza, A.; Hadia, M.; Zehra, Z.T.; Miran, S.; Khurram, M.; Murtaza, G. Numerical Investigation of Jatropha and Castor Biofuel Droplet Evaporation at High Engine Operating Conditions. Fuels 2026, 7, 24. https://doi.org/10.3390/fuels7020024

AMA Style

Raza A, Hadia M, Zehra ZT, Miran S, Khurram M, Murtaza G. Numerical Investigation of Jatropha and Castor Biofuel Droplet Evaporation at High Engine Operating Conditions. Fuels. 2026; 7(2):24. https://doi.org/10.3390/fuels7020024

Chicago/Turabian Style

Raza, Ali, Marva Hadia, Zunaira Tu Zehra, Sajjad Miran, Muhammad Khurram, and Ghulam Murtaza. 2026. "Numerical Investigation of Jatropha and Castor Biofuel Droplet Evaporation at High Engine Operating Conditions" Fuels 7, no. 2: 24. https://doi.org/10.3390/fuels7020024

APA Style

Raza, A., Hadia, M., Zehra, Z. T., Miran, S., Khurram, M., & Murtaza, G. (2026). Numerical Investigation of Jatropha and Castor Biofuel Droplet Evaporation at High Engine Operating Conditions. Fuels, 7(2), 24. https://doi.org/10.3390/fuels7020024

Article Metrics

Back to TopTop