Sign in to use this feature.

Years

Between: -

Subjects

remove_circle_outline
remove_circle_outline

Journals

Article Types

Countries / Regions

Search Results (5)

Search Parameters:
Keywords = hard sphere inclusions

Order results
Result details
Results per page
Select all
Export citation of selected articles as:
13 pages, 6609 KB  
Article
Increase in Auxeticity Due to the Presence of a Disordered Crystalline Phase of Hard Dumbbells Within the Nanolayer–Nanochannel Inclusion Introduced to the f.c.c. Hard Sphere Crystal
by Jakub W. Narojczyk
Materials 2024, 17(22), 5558; https://doi.org/10.3390/ma17225558 - 14 Nov 2024
Cited by 1 | Viewed by 2204
Abstract
To obtain materials or metamaterials with desired elastic properties that are tailor-made for a particular application, it is necessary to design a new material or composite (which may be cumbersome) or to modify the structure of existing materials in order to change their [...] Read more.
To obtain materials or metamaterials with desired elastic properties that are tailor-made for a particular application, it is necessary to design a new material or composite (which may be cumbersome) or to modify the structure of existing materials in order to change their properties in the desired direction. The latter approach, although also not easy, seems favourable with respect to parameters like costs and time-to-market. Despite the fact that elastic properties are one of the oldest studied physical parameters of matter, our understanding of the processes at the microstructural level, that are behind these properties, is still far from being complete. The present work, with the help of Monte Carlo computer simulations, aims to broaden this knowledge. The previously studied model crystal of hard spheres, containing a combined nanolayer and nanochannel inclusions, is revisited. This periodic model crystal has been extended to include a degree of disorder in the form of degenerate crystalline phase by introducing a degenerate crystalline phase within its structure. The inclusion has been transformed (without changes to its shape, size, or orientation) by randomly connecting the neighbouring spheres into di-atomic molecules (dumbbells). The impact of this modification on elastic properties has been investigated with the help of the Parrinello–Rahman approach in the isothermal–isobaric ensemble (NpT). It has been shown, that the presence of the degenerate crystalline phase of hard dumbbells in the system leads to a significant decrease in the Poisson’s ratio in [110]-direction (ν=0.235) and an overall enhancement of the auxetic properties. Full article
(This article belongs to the Special Issue Liquid Crystals and Other Partially Disordered Molecular Systems)
Show Figures

Figure 1

14 pages, 13110 KB  
Article
Auxeticity Tuning by Nanolayer Inclusion Ordering in Hard Sphere Crystals
by Jakub W. Narojczyk, Krzysztof W. Wojciechowski, Jerzy Smardzewski and Konstantin V. Tretiakov
Materials 2024, 17(18), 4564; https://doi.org/10.3390/ma17184564 - 17 Sep 2024
Cited by 5 | Viewed by 1535
Abstract
Designing a particular change in a system structure to achieve the desired elastic properties of materials for a given task is challenging. Recent studies of purely geometrical atomic models have shown that structural modifications on a molecular level can lead to interesting and [...] Read more.
Designing a particular change in a system structure to achieve the desired elastic properties of materials for a given task is challenging. Recent studies of purely geometrical atomic models have shown that structural modifications on a molecular level can lead to interesting and desirable elastic properties. Still, the result of such changes is usually difficult to predict. The present work concerns the impact of nanolayer inclusion ordering in hard sphere crystals on their elastic properties, with special attention devoted to their auxetic properties. Two sets of representative models, based on cubic crystals consisting of 6×6×6 unit cells of hard spheres and containing either neighboring or separated layers of spheres of another diameter, oriented orthogonally to the [001] direction, have been studied by Monte Carlo simulations in the isothermal–isobaric (NpT) ensemble. Their elastic constants have been evaluated using the Parinello–Rahman approach. The Monte Carlo simulations showed that introducing the layer inclusions into a pure face-centered cubic (FCC) structure leads to the system’s symmetry changes from cubic symmetry to tetragonal in both cases. Essential changes in the elastic properties of the systems due to layer ordering were found both for neighboring and separated inclusions. It has been found that the choice of a set of layer inclusions allows one to tune the auxetic properties in two crystallographic directions ([110][11¯0] and [101][1¯01]). In particular, this study revealed that the change in layer ordering (from six separated layers to six neighboring ones) allows for, respectively: (i) enhancing auxeticity of the system in the [101][1¯01] direction with almost loss of auxetic properties in the [110][11¯0] direction in the case of six separated layers, while (ii) in the case of six neighboring layers, keeping the auxetic properties in both auxetic directions independently of the size of spheres constituting inclusions. Full article
Show Figures

Graphical abstract

18 pages, 20848 KB  
Article
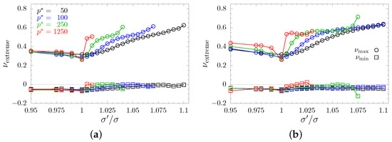
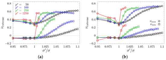
Removing Auxetic Properties in f.c.c. Hard Sphere Crystals by Orthogonal Nanochannels with Hard Spheres of Another Diameter
by Jakub W. Narojczyk, Mikołaj Bilski, Joseph N. Grima, Przemysław Kędziora, Dmitrij Morozow, Mirosław Rucki and Krzysztof W. Wojciechowski
Materials 2022, 15(3), 1134; https://doi.org/10.3390/ma15031134 - 1 Feb 2022
Cited by 20 | Viewed by 2269
Abstract
Negative Poisson’s ratio materials (called auxetics) reshape our centuries-long understanding of the elastic properties of materials. Their vast set of potential applications drives us to search for auxetic properties in real systems and to create new materials with those properties. One of the [...] Read more.
Negative Poisson’s ratio materials (called auxetics) reshape our centuries-long understanding of the elastic properties of materials. Their vast set of potential applications drives us to search for auxetic properties in real systems and to create new materials with those properties. One of the ways to achieve the latter is to modify the elastic properties of existing materials. Studying the impact of inclusions in a crystalline lattice on macroscopic elastic properties is one of such possibilities. This article presents computer studies of elastic properties of f.c.c. hard sphere crystals with structural modifications. The studies were performed with numerical methods, using Monte Carlo simulations. Inclusions take the form of periodic arrays of nanochannels filled by hard spheres of another diameter. The resulting system is made up of two types of particles that differ in size. Two different layouts of mutually orthogonal nanochannels are considered. It is shown that with careful choice of inclusions, not only can one impact elastic properties by eliminating auxetic properties while maintaining the effective cubic symmetry, but also one can control the anisotropy of the cubic system. Full article
Show Figures

Figure 1

14 pages, 7505 KB  
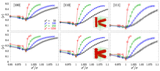
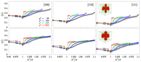
Article
Cancellation of Auxetic Properties in F.C.C. Hard Sphere Crystals by Hybrid Layer-Channel Nanoinclusions Filled by Hard Spheres of Another Diameter
by Jakub W. Narojczyk, Krzysztof W. Wojciechowski, Jerzy Smardzewski, Attila R. Imre, Joseph N. Grima and Mikołaj Bilski
Materials 2021, 14(11), 3008; https://doi.org/10.3390/ma14113008 - 1 Jun 2021
Cited by 16 | Viewed by 3678
Abstract
The elastic properties of f.c.c. hard sphere crystals with periodic arrays of nanoinclusions filled by hard spheres of another diameter are the subject of this paper. It has been shown that a simple modification of the model structure is sufficient to cause very [...] Read more.
The elastic properties of f.c.c. hard sphere crystals with periodic arrays of nanoinclusions filled by hard spheres of another diameter are the subject of this paper. It has been shown that a simple modification of the model structure is sufficient to cause very significant changes in its elastic properties. The use of inclusions in the form of joined (mutually orthogonal) layers and channels showed that the resulting tetragonal system exhibited a complete lack of auxetic properties when the inclusion spheres reached sufficiently large diameter. Moreover, it was very surprising that this hybrid inclusion, which can completely eliminate auxeticity, was composed of components that, alone, in these conditions, enhanced the auxeticity either slightly (layer) or strongly (channel). The study was performed with computer simulations using the Monte Carlo method in the isothermal-isobaric (NpT) ensemble with a variable box shape. Full article
(This article belongs to the Special Issue Advances in Mechanical Metamaterials)
Show Figures

Figure 1

14 pages, 3349 KB  
Article
Poisson’s Ratio of the f.c.c. Hard Sphere Crystals with Periodically Stacked (001)-Nanolayers of Hard Spheres of Another Diameter
by Jakub W. Narojczyk and Krzysztof W. Wojciechowski
Materials 2019, 12(5), 700; https://doi.org/10.3390/ma12050700 - 27 Feb 2019
Cited by 26 | Viewed by 4165
Abstract
The results of studies on the influence of periodically stacked nanolayer inclusions, introduced into the face-centered cubic (f.c.c.) hard sphere crystal, on Poisson’s ratio of the obtained nanocomposite system are presented. The monolayers are orthogonal to the [ 001 ] -direction. They are [...] Read more.
The results of studies on the influence of periodically stacked nanolayer inclusions, introduced into the face-centered cubic (f.c.c.) hard sphere crystal, on Poisson’s ratio of the obtained nanocomposite system are presented. The monolayers are orthogonal to the [ 001 ] -direction. They are formed by hard spheres with diameter different from the spheres forming the matrix of the system. The Monte Carlo computer simulations show that in such a case the symmetry of the system changes from the cubic to tetragonal one. When the diameter of the inclusion spheres increases at certain range, a decrease of the negative Poisson’s ratio in the [ 101 ] [ 1 ¯ 01 ] -directions is observed, i.e., the system enhances its partial auxeticity. The dependence of the maximal, average, and negative parts of the minimal Poisson’s ratio on the direction of the applied load are shown in a form of surfaces in spherical coordinates, plotted for selected values of nanolayer particle diameters. The most negative value of the Poisson’s ratio found among all studied systems was 0.11 (at pressure p * = 100 , which is about ten times higher than the melting pressure) what is almost twice more negative than in the f.c.c. crystal of identical hard spheres. The observed effect weakens along with the decrease of pressure and becomes hardly noticeable near melting. This study indicates that modifying only the size of the inclusion particles one can change Poisson’s ratio of nanocomposites at high pressures. Full article
(This article belongs to the Special Issue Auxetic Materials 2017-2018)
Show Figures

Figure 1

Back to TopTop