Auxeticity Tuning by Nanolayer Inclusion Ordering in Hard Sphere Crystals
Abstract
1. Introduction
2. The Model
3. The Method
3.1. Elastic Properties
3.2. Computation Details
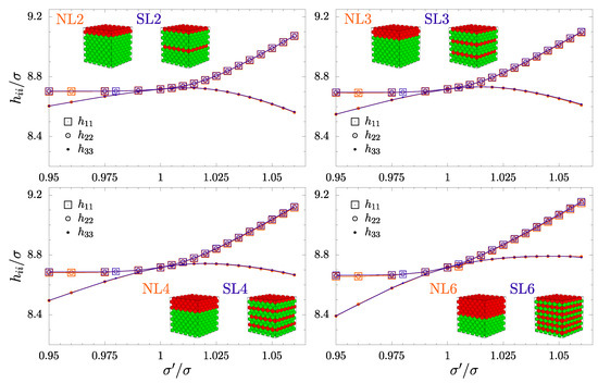
4. Results and Discussion
5. Conclusions
Author Contributions
Funding
Institutional Review Board Statement
Informed Consent Statement
Data Availability Statement
Acknowledgments
Conflicts of Interest
Abbreviations
| PR | Poisson’s ratio |
| HS | Hard Sphere |
| FCC | Face-Centered Cubic |
| NL | Neighboring Layers |
| SL | Separated Layers |
| MC | Monte Carlo |
References
- Landau, L.D.; Lifshitz, E.M. Theory of Elasticity; Pergamon Press: London, UK, 1986. [Google Scholar]
- Lakes, R.S. Foam structures with a negative Poisson’s ratio. Science 1987, 235, 1038–1040. [Google Scholar] [PubMed]
- Wojciechowski, K.W. Constant thermodynamic tension Monte Carlo studies of elastic properties of a two-dimensional system of hard cyclic hexamers. Mol. Phys. 1987, 61, 1247–1258. [Google Scholar]
- Wojciechowski, K.W. Solid phases of two-dimensional hard dumb-bells in the free volume approximation: Crystal-aperiodic-solid phase transition. Phys. Lett. A 1987, 122, 377–384. [Google Scholar]
- Wojciechowski, K.W.; Brańka, A.C. Negative Poisson ratio in a two-dimensional isotropic solid. Phys. Rev. A 1989, 40, 7222–7225. [Google Scholar]
- Evans, K.E. Auxetic polymers: A new range of materials. Endeavour 1991, 15, 170–174. [Google Scholar]
- Milton, G. Composite materials with Poisson’s ratios close to −1. J. Mech. Phys. Solids 1992, 40, 1105–1137. [Google Scholar]
- Sigmund, O. Tailoring materials with prescribed elastic properties. Mech. Mater. 1995, 20, 351–368. [Google Scholar]
- Hoover, W.G.; Hoover, C.G. Searching for auxetics with DYNA3D and ParaDyn. Phys. Status Solidi B-Basic Solid State Phys. 2005, 242, 585–594. [Google Scholar] [CrossRef]
- Scarpa, F.; Adhikari, S.; Phani, A.S. Effective elastic mechanical properties of single layer graphene sheets. Nanotechnology 2009, 20, 065709. [Google Scholar] [CrossRef]
- Lim, T.C. Analogies across auxetic models based on deformation mechanism. Phys. Status Solidi Rapid Res. Lett. 2017, 11, 1600440. [Google Scholar]
- Shufrin, I.; Pasternak, E.; Dyskin, A.V. Effective properties of layered auxetic hybrids. Compos. Struct. 2019, 209, 391–400. [Google Scholar] [CrossRef]
- Rysaeva, L.K.; Lisovenko, D.S.; Gorodtsov, V.A.; Baimova, J.A. Stability, elastic properties and deformation behavior of graphene-based diamond-like phases. Comput. Mater. Sci. 2020, 172, 109355. [Google Scholar] [CrossRef]
- Grima, J.N.; Evans, K.E. Auxetic behavior from rotating squares. J. Mater. Sci. Lett. 2000, 19, 1563–1565. [Google Scholar] [CrossRef]
- Peliński, K.; Smardzewski, J.; Narojczyk, J. Stiffness of synclastic wood-based auxetic sandwich panels. Phys. Status Solidi B-Basic Solid State Phys. 2020, 257, 1900749. [Google Scholar] [CrossRef]
- Korznikova, E.A.; Zhou, K.; Galiakhmetova, L.K.; Soboleva, E.G.; Kudreyko, A.A.; Dmitriev, S.V. Partial Auxeticity of Laterally Compressed Carbon Nanotube Bundles. Phys. Status Solidi Rapid Res. Lett. 2022, 16, 2100189. [Google Scholar] [CrossRef]
- Lakes, R.S.; Huey, B.; Goyal, K. Extended Poisson’s ratio range in chiral isotropic elastic materials. Phys. Status Solidi B-Basic Solid State Phys. 2022, 259, 2200336. [Google Scholar] [CrossRef]
- Grima-Cornish, J.N.; Attard, D.; Vella-Żarb, L.; Grima, J.N.; Evans, K.E. Boron Arsenate Scaled-Up: An Enhanced Nano-Mimicking Mechanical Metamaterial. Phys. Status Solidi B-Basic Solid State Phys. 2022, 259, 2200368. [Google Scholar] [CrossRef]
- Brizzi, D.D.; Graziosi, S.; Bondin, W.; Grima, J.N.; Airoldi, A. On the behavior of auxetic inserts: A numerical analysis to derive design guidelines. Smart Mater. Struct. 2024, 33, 075018. [Google Scholar] [CrossRef]
- Alderson, K.; Nazaré, S.; Alderson, A. Large-scale extrusion of auxetic polypropylene fibre. Phys. Status Solidi B-Basic Solid State Phys. 2016, 253, 1279–1287. [Google Scholar] [CrossRef]
- Verma, P.; He, C.B.; Griffin, A.C. Implications for Auxetic Response in Liquid Crystalline Polymers: X-ray Scattering and Space-Filling Molecular Modeling. Phys. Status Solidi B-Basic Solid State Phys. 2020, 257, 2000261. [Google Scholar] [CrossRef]
- Novak, N.; Vesenjak, M.; Kennedy, G.; Thadhani, N.; Ren, Z. Response of Chiral Auxetic Composite Sandwich Panel to Fragment Simulating Projectile Impact. Phys. Status Solidi B-Basic Solid State Phys. 2020, 257, 1900099. [Google Scholar] [CrossRef]
- Portone, F.; Amorini, M.; Montanari, M.; Pinalli, R.; Pedrini, A.; Verucchi, R.; Brighenti, R.; Dalcanale, E. Molecular Auxetic Polymer of Intrinsic Microporosity via Conformational Switching of a Cavitand Crosslinker. Adv. Funct. Mater. 2023, 33, 2307605. [Google Scholar] [CrossRef]
- Allen, T.; Hewage, T.; Newton-Mann, C.; Wang, W.; Duncan, O.; Alderson, A. Fabrication of Auxetic Foam Sheets for Sports Applications. Phys. Status Solidi B-Basic Solid State Phys. 2017, 254, 1700596. [Google Scholar] [CrossRef]
- Cheng, H.C.; Scarpa, F.; Panzera, T.H.; Farrow, I.; Peng, H.X. Shear Stiffness and Energy Absorption of Auxetic Open Cell Foams as Sandwich Cores. Phys. Status Solidi B-Basic Solid State Phys. 2019, 256, 1800411. [Google Scholar] [CrossRef]
- Duncan, O.; Clegg, F.; Essa, A.; Bell, A.M.T.; Foster, L.; Allen, T.; Alderson, A. Effects of Heat Exposure and Volumetric Compression on Poisson’s Ratios, Young’s Moduli, and Polymeric Composition during Thermo-Mechanical Conversion of Auxetic Open Cell Polyurethane Foam. Phys. Status Solidi B-Basic Solid State Phys. 2019, 256, 1800393. [Google Scholar] [CrossRef]
- Zulifqar, A.; Hu, H. Development of Bi-Stretch Auxetic Woven Fabrics Based on Re-Entrant Hexagonal Geometry. Phys. Status Solidi B-Basic Solid State Phys. 2019, 256, 1800172. [Google Scholar] [CrossRef]
- Jiang, N.; Hu, H. Auxetic Yarn Made with Circular Braiding Technology. Phys. Status Solidi B-Basic Solid State Phys. 2019, 256, 1800168. [Google Scholar] [CrossRef]
- Zulifqar, A.; Hua, T.; Hu, H. Single- and Double-Layered Bistretch Auxetic Woven Fabrics Made of Nonauxetic Yarns Based on Foldable Geometries. Phys. Status Solidi B-Basic Solid State Phys. 2020, 257, 1900156. [Google Scholar] [CrossRef]
- Tahir, D.; Zhang, M.; Hu, H. Auxetic Materials for Personal protection: A review. Phys. Status Solidi B-Basic Solid State Phys. 2022, 259, 2200324. [Google Scholar] [CrossRef]
- Dudek, K.K.; Martinez, J.A.I.; Ulliac, G.; Kadic, M. Micro-Scale Auxetic Hierarchical Mechanical Metamaterials for Shape Morphing. Adv. Mater. 2022, 34, 2110115. [Google Scholar] [CrossRef]
- Baughman, R.H.; Shacklette, J.M.; Zakhidov, A.A.; Stafstrom, S. Negative Poisson’s ratios as a common feature of cubic metals. Nature 1998, 392, 362–365. [Google Scholar]
- Smardzewski, J.; Klos, R.; Fabisiak, B. Design of small auxetic springs for furniture. Mater. Des. 2013, 51, 723–728. [Google Scholar]
- Kuskun, T.; Kasal, A.; Caglayan, G.; Ceylan, E.; Bulca, M.; Smardzewski, J. Optimization of the Cross-Sectional Geometry of Auxetic Dowels for Furniture Joints. Materials 2023, 16, 2838. [Google Scholar] [CrossRef] [PubMed]
- Tretiakov, K.V.; Wojciechowski, K.W. Poisson’s ratio of the fcc hard sphere crystal at high densities. J. Chem. Phys. 2005, 123, 074509. [Google Scholar] [PubMed]
- Tretiakov, K.V.; Wojciechowski, K.W. Elastic Properties of Soft Sphere Crystal from Monte Carlo Simulations. J. Phys. Chem. B 2008, 112, 1699–1705. [Google Scholar]
- Bilski, M.; Wojciechowski, K.W. Tailoring Poisson’s ratio by introducing auxetic layers. Phys. Status Solidi B-Basic Solid State Phys. 2016, 253, 1318–1323. [Google Scholar] [CrossRef]
- Hansen, J.P.; McDonald, I.R. Theory of Simple Liquids; Academic Press: Amsterdam, The Netherlands, 2006. [Google Scholar]
- Allen, M.P.; Tildesley, D.J. Computer Simulations of Liquids; Clarendon Press: Oxford, UK, 1987. [Google Scholar]
- Frenkel, D.; Ladd, A.J.C. Elastic constants of hard-sphere crystals. Phys. Rev. Lett. 1987, 59, 1169. [Google Scholar]
- Runge, K.J.; Chester, G.V. Monte Carlo determination of the elastic constants of the hard-sphere solid. Phys. Rev. A 1987, 36, 4852–4858. [Google Scholar]
- Velasco, E.; Tarazona, P. Elastic Properties of Hard-Sphere Crystal. Phys. Rev. A 1987, 36, 979–981. [Google Scholar] [CrossRef]
- Xu, H.; Baus, M. Elastic-Constants of the Hard-Sphere Solid From Density-Functional Theory. Phys.Rev. A 1988, 38, 4348–4350. [Google Scholar] [CrossRef]
- Jaric, M.V.; Mohanty, U. Density-Functional Theory Of Elastic-Moduli-Hard-Sphere And Lennard-Jones Crystals. Phys. Rev. B 1988, 37, 4441–4457. [Google Scholar] [CrossRef]
- Farago, O.; Kantor, Y. Fluctuation formalism for elastic constants in hard-spheres-and-tethers systems. Phys. Rev. E 2000, 61, 2478–2489. [Google Scholar] [CrossRef]
- Pronk, S.; Frenkel, D. Large difference in the elastic properties of fcc and hcp hard-sphere crystals. Phys. Rev. Lett. 2003, 90, 255501. [Google Scholar] [CrossRef] [PubMed]
- Brańka, A.C.; Heyes, D.M.; Wojciechowski, K.W. Auxeticity of cubic materials under pressure. Phys. Status Solidi B-Basic Solid State Phys. 2011, 248, 96–104. [Google Scholar]
- Wojciechowski, K.W. Non-chiral, molecular model of negative Poisson’s ratio in two dimensions. J. Phys. Math. Gen. 2003, 36, 11765–11778. [Google Scholar]
- Wojciechowski, K.W.; Tretiakov, K.V.; Kowalik, M. Elastic properties of dense solid phases of hard cyclic pentamers and heptamers in two dimensions. Phys. Rev. E 2003, 67, 036121. [Google Scholar]
- Tretiakov, K.V.; Wojciechowski, K.W. Poisson’s ratio of simple planar ‘isotropic’ solids in two dimensions. Phys. Status Solidi B-Basic Solid State Phys. 2007, 244, 1038–1046. [Google Scholar] [CrossRef]
- Tretiakov, K.V. Negative Poisson’s ratio of two-dimensional hard cyclic tetramers. J. Non-Cryst. Solids 2009, 355, 1435–1438. [Google Scholar]
- Tretiakov, K.V.; Wojciechowski, K.W. Auxetic, partially auxetic, and nonauxetic behaviour in 2D crystals of hard cyclic tetramers. Phys. Status Solidi-Rapid Res. Lett. 2020, 14, 2000198. [Google Scholar] [CrossRef]
- Tretiakov, K.V.; Wojciechowski, K.W. Auxeticity and Its Pressure Dependence for Strongly Anisotropic Hard Cyclic Tetramers. Phys. Status Solidi-Rapid Res. Lett. 2022, 16. [Google Scholar] [CrossRef]
- Tretiakov, K.V.; Piglowski, P.M.; Hyzorek, K.; Wojciechowski, K.W. Enhanced auxeticity in Yukawa systems due to introduction of nanochannels in [001]-direction. Smart Mater. Struct. 2016, 25, 054007. [Google Scholar]
- Piglowski, P.M.; Wojciechowski, K.W.; Tretiakov, K.V. Partial auxeticity induced by nanoslits in the Yukawa crystal. Phys. Status Solidi-Rapid Res. Lett. 2016, 10, 566–569. [Google Scholar] [CrossRef]
- Narojczyk, J.W.; Wojciechowski, K.W.; Tretiakov, K.V.; Smardzewski, J.; Scarpa, F.; Piglowski, P.M.; Kowalik, M.; Imre, A.R.; Bilski, M. Auxetic properties of a f.c.c. crystal of hard spheres with an array of [001]-nanochannels filled by hard spheres of another diameter. Phys. Status Solidi B-Basic Solid State Phys. 2019, 256, 1800611. [Google Scholar] [CrossRef]
- Tretiakov, K.V.; Piglowski, P.M.; Wojciechowski, K.W. Auxeticity modifications and unit cell doubling in Yukawa fcc crystals with [001]-nanochannels filled by hard spheres. Smart Mater. Struct. 2023, 32, 025008. [Google Scholar] [CrossRef]
- Narojczyk, J.W.; Tretiakov, K.V.; Smardzewski, J.; Wojciechowski, K.W. Hardening of fcc hard-sphere crystals by introducing nanochannels: Auxetic aspects. Phys. Rev. E 2023, 108, 045003. [Google Scholar] [CrossRef]
- Narojczyk, J.W.; Bilski, M.; Grima, J.N.; Kedziora, P.; Morozow, D.; Rucki, M.; Wojciechowski, K.W. Removing Auxetic Properties in f.c.c. Hard Sphere Crystals by Orthogonal Nanochannels with Hard Spheres of Another Diameter. Materials 2022, 15, 1134. [Google Scholar] [CrossRef]
- Narojczyk, J.W.; Wojciechowski, K.W.; Smardzewski, J.; Imre, A.R.; Grima, J.N.; Bilski, M. Cancellation of auxetic properties in f.c.c. hard sphere crystals by hybrid layer-channel nanoinclusions filled by hard spheres of another diameter. Materials 2021, 14, 3008. [Google Scholar] [CrossRef]
- Narojczyk, J.W.; Wojciechowski, K.W. Poisson’s ratio of the f.c.c. hard sphere crystals with periodically stacked (001)-nanolayers of hard spheres of another diameter. Materials 2019, 12, 700. [Google Scholar] [CrossRef]
- Grima, J.N.; Alderson, A.; Evans, K.E. Negative Poisson’s Ratios From Rotating Rectangles. Comput. Methods Sci. Technol. 2004, 10, 137–145. [Google Scholar] [CrossRef]
- Grima, J.N.; Gatt, R.; Alderson, A.; Evans, K.E. On the Auxetic Properties of ‘Rotating Rectangles’ with Different Connectivity. J. Phys. Soc. Jpn. 2005, 74, 2866–2867. [Google Scholar] [CrossRef]
- Grima, J.N.; Evans, K.E. Auxetic behavior from rotating triangles. J. Mater. Sci. 2006, 41, 3193–3196. [Google Scholar] [CrossRef]
- Attard, D.; Grima, J.N. Auxetic behaviour from rotating rhombi. Phys. Status Solidi B-Basic Solid State Phys. 2008, 245, 2395–2404. [Google Scholar] [CrossRef]
- Attard, D.; Manicaro, E.; Grima, J.N. On rotating rigid parallelograms and their potential for exhibiting auxetic behaviour. Phys. Status Solidi B-Basic Solid State Phys. 2009, 246, 2033–2044. [Google Scholar] [CrossRef]
- Grima, J.N.; Manicaro, E.; Attard, D. Auxetic behaviour from connected different-sized squares and rectangles. Proc. Royal Soc. A 2011, 467, 439–458. [Google Scholar] [CrossRef]
- Grima, J.N.; Chetcuti, E.; Manicaro, E.; Attard, D.; Camilleri, M.; Gatt, R.; Evans, K.E. On the auxetic properties of generic rotating rigid triangles. Proc. Royal Soc. A 2012, 468, 810–830. [Google Scholar] [CrossRef]
- Lim, T.C. An auxetic metamaterial based on rotating and non-rotating rigid units inspired by an Aztec geometrical pattern. Phys. Status Solidi B-Basic Solid State Phys. 2022, 259, 2200385. [Google Scholar] [CrossRef]
- Lim, T.C. Auxetic and Non-Auxetic Metamaterial Model from Interconnected Rotating Parallelograms and Triangles. Phys. Status Solidi B-Basic Solid State Phys. 2023, 2300413, Early view. [Google Scholar] [CrossRef]
- Lim, T.C. Auxetic System Based on Rotating Hexagons and Triangles. Phys. Status Solidi B-Basic Solid State Phys. 2024, 261, 2300586. [Google Scholar] [CrossRef]
- Ali, R.; Saleem, M.R.; Roussey, M.; Turunen, J.; Honkanen, S. Fabrication of buried nanostructures by atomic layer deposition. Sci. Rep. 2018, 8, 15098. [Google Scholar] [CrossRef]
- Parrinello, M.; Rahman, A. Polymorphic transitions in single crystals: A new molecular dynamics method. J. Appl. Phys. 1981, 52, 7182–7190. [Google Scholar]
- Parrinello, M.; Rahman, A. Strain fluctuations and elastic constants. J. Chem. Phys. 1982, 76, 2662–2666. [Google Scholar]
- Tokmakova, S.P. Stereographic projections of Poisson’s ratio in auxetic crystals. Phys. Status Solidi B-Basic Solid State Phys. 2005, 242, 721–729. [Google Scholar] [CrossRef]
- Weiner, J.H. Statistical Mechanics of Elasticity; Wiley: New York, NY, USA, 1983. [Google Scholar]
- Nye, J.F. Physical Properties of Crystalls, Their Representation by Tensors and Matrices; Clarendon Press: Oxford, UK, 1957. [Google Scholar]
- Piglowski, P.M.; Narojczyk, J.W.; Wojciechowski, K.W.; Tretiakov, K.V. Auxeticity enhancement due to size polydispersity in fcc crystals of hard-core repulsive Yukawa particles. Soft Matter 2017, 13, 7916–7921. [Google Scholar] [CrossRef] [PubMed]
- Wang, Z.; Luan, C.; Liao, G.; Liu, J.; Yao, X.; Fu, J. Progress in Auxetic Mechanical Metamaterials: Structures, Characteristics, Manufacturing Methods, and Applications. Adv. Eng. Mater. 2020, 22, 2000312. [Google Scholar] [CrossRef]







| Model Name | Layer Ordering (dir. ) | Inclusion Layers | ||
|---|---|---|---|---|
| NL2 | ![]() | 2 | 144 | |
| NL3 | ![]() | 3 | 216 | |
| NL4 | ![]() | 4 | 288 | |
| NL5 | ![]() | 5 | 360 | |
| NL6 | ![]() | 6 | 432 | |
| SL2 | ![]() | 2 | 144 | |
| SL3 | ![]() | 3 | 216 | |
| SL4 | ![]() | 4 | 288 | |
| SL6 | ![]() | 6 | 432 |
Disclaimer/Publisher’s Note: The statements, opinions and data contained in all publications are solely those of the individual author(s) and contributor(s) and not of MDPI and/or the editor(s). MDPI and/or the editor(s) disclaim responsibility for any injury to people or property resulting from any ideas, methods, instructions or products referred to in the content. |
© 2024 by the authors. Licensee MDPI, Basel, Switzerland. This article is an open access article distributed under the terms and conditions of the Creative Commons Attribution (CC BY) license (https://creativecommons.org/licenses/by/4.0/).
Share and Cite
Narojczyk, J.W.; Wojciechowski, K.W.; Smardzewski, J.; Tretiakov, K.V. Auxeticity Tuning by Nanolayer Inclusion Ordering in Hard Sphere Crystals. Materials 2024, 17, 4564. https://doi.org/10.3390/ma17184564
Narojczyk JW, Wojciechowski KW, Smardzewski J, Tretiakov KV. Auxeticity Tuning by Nanolayer Inclusion Ordering in Hard Sphere Crystals. Materials. 2024; 17(18):4564. https://doi.org/10.3390/ma17184564
Chicago/Turabian StyleNarojczyk, Jakub W., Krzysztof W. Wojciechowski, Jerzy Smardzewski, and Konstantin V. Tretiakov. 2024. "Auxeticity Tuning by Nanolayer Inclusion Ordering in Hard Sphere Crystals" Materials 17, no. 18: 4564. https://doi.org/10.3390/ma17184564
APA StyleNarojczyk, J. W., Wojciechowski, K. W., Smardzewski, J., & Tretiakov, K. V. (2024). Auxeticity Tuning by Nanolayer Inclusion Ordering in Hard Sphere Crystals. Materials, 17(18), 4564. https://doi.org/10.3390/ma17184564










