Poisson’s Ratio of the f.c.c. Hard Sphere Crystals with Periodically Stacked (001)-Nanolayers of Hard Spheres of Another Diameter
Abstract
1. Introduction
2. The Model Studied
3. Theory and Method
3.1. Elastic Properties
3.2. Details of Computer Simulations
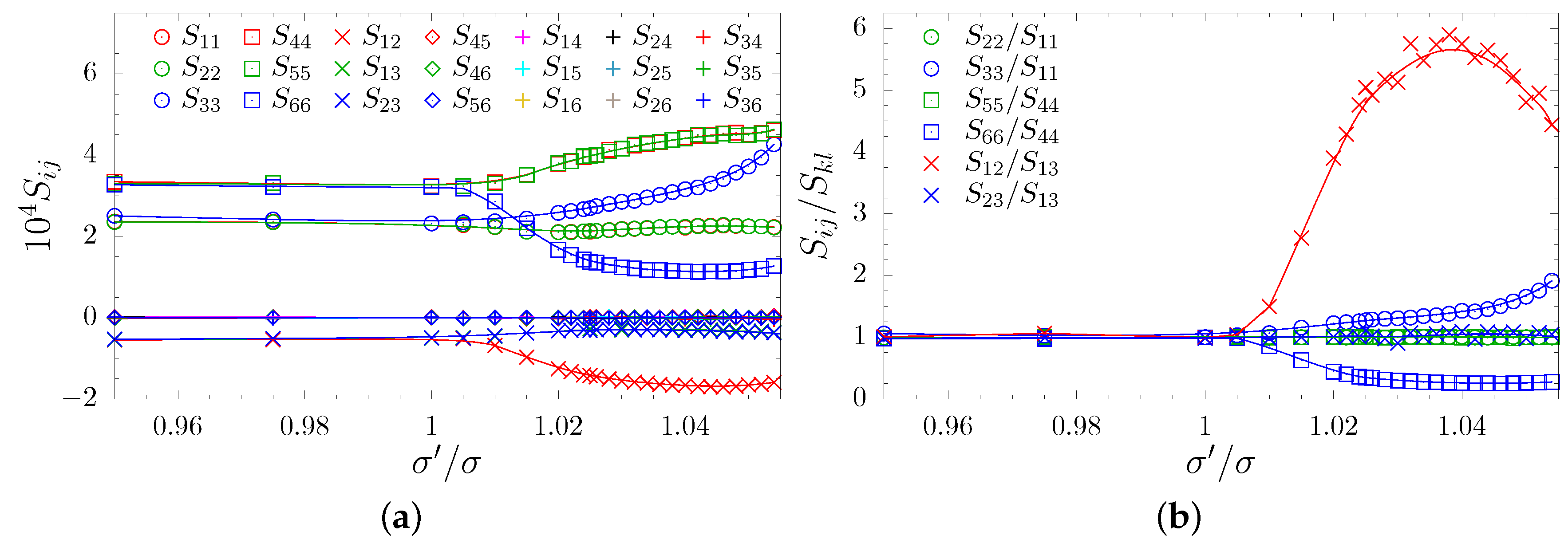
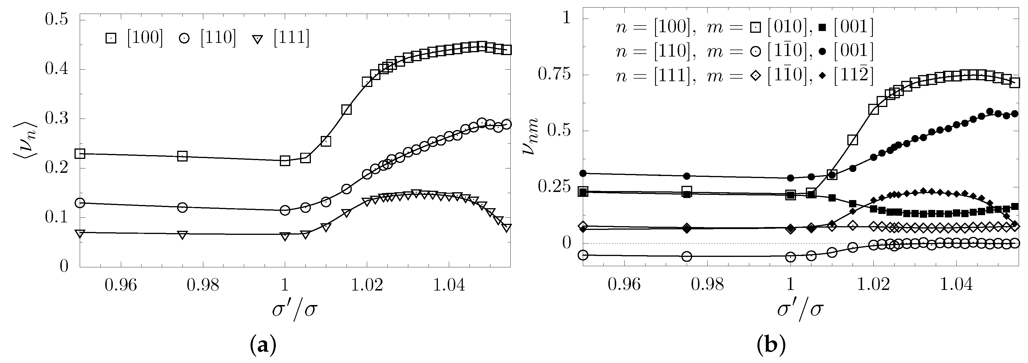
4. Results and Discussion
5. Conclusions
Author Contributions
Funding
Acknowledgments
Conflicts of Interest
Abbreviations
| f.c.c. | face-centered cubic lattice |
| PR | Poisson’s ratio |
| HS | Hard Sphere |
| MC | Monte Carlo |
References
- Frenkel, D. Order through entropy. Nat. Mater. 2015, 14, 9–12. [Google Scholar] [CrossRef] [PubMed]
- Hansen, J.P.; McDonald, I.R. Theory of Simple Liquids; Academic Press: Amsterdam, The Netherlands, 2006. [Google Scholar]
- Alder, B.J.; Wainwright, T.E. Phase transition in elastic disks. Phys. Rev. 1962, 127, 359. [Google Scholar] [CrossRef]
- Alder, B.J.; Hoover, W.G.; Wainwright, T.E. Cooperative motion of hard disks leading to melting. Phys. Rev. Lett. 1963, 11, 241. [Google Scholar] [CrossRef]
- Bernal, D. The structure of liquids. Proc. R. Soc. Lond. Ser. A 1963, 280, 299–322. [Google Scholar] [CrossRef]
- Hoover, W.G.; Ree, F.H. Melting transition and communal entropy for hard spheres. J. Chem. Phys. 1968, 49, 3609–3617. [Google Scholar] [CrossRef]
- Bennett, C.H. Serially deposited amorphous aggregates of hard spheres. J. Appl. Phys. 1972, 43, 2727–2734. [Google Scholar] [CrossRef]
- Bonissent, A.; Pierański, P.; Pierański, P. Solid-solid phase transitions in a low-dimensionality system. Philos. Mag. A 1984, 50, 57–64. [Google Scholar] [CrossRef]
- Wertheim, M.S. Thermodynamic perturbation theory of polymerization. J. Chem. Phys. 1987, 87, 7323–7331. [Google Scholar] [CrossRef]
- Boublik, T. Equation of state of linear fused hard-sphere models. Mol. Phys. 1989, 68, 191–198. [Google Scholar] [CrossRef]
- Malanoski, A.P.; Monson, P.A. The high density equation of state and solid-fluid equilibrium in systems of freely jointed chains of tangent hard spheres. J. Chem. Phys. 1997, 107, 6899–6907. [Google Scholar] [CrossRef]
- Schmidt, M.; Lowen, H. Phase diagram of hard spheres confined between two parallel plates. Phys. Rev. E 1997, 55, 7228. [Google Scholar] [CrossRef]
- Vega, C.; MacDowell, L.C. Extending Wertheim’s perturbation theory to the solid phase: The freezing of the pearl-necklace model. J. Chem. Phys. 2001, 114, 10411–10418. [Google Scholar] [CrossRef]
- McBride, C.; Vega, C. Fluid solid equilibrium for two dimensional tangent hard disk chains from Wertheim’s perturbation theory. J. Chem. Phys. 2002, 116, 1757–1759. [Google Scholar] [CrossRef]
- Xia, C.; Li, J.; Cao, Y.; Kou, B.; Xiao, X.; Fezzaa, K.; Xiao, T.; Wang, Y. The structural origin of the hard-sphere glass transition in granular packing. Nat. Commun. 2015, 6, 8409. [Google Scholar] [CrossRef] [PubMed]
- Tretiakov, K.V.; Wojciechowski, K.W. Poisson’s ratio of the fcc hard sphere crystal at high densities. J. Chem. Phys. 2005, 123, 074509. [Google Scholar] [CrossRef] [PubMed]
- Landau, L.D.; Lifshitz, E.M. Theory of Elasticity; Pergamon Press: London, UK, 1986. [Google Scholar]
- Ting, T.C.T.; Chen, T. Poisson’s ratio for anisotropic elastic materials can have no bounds. Q. J. Mech. Appl. Math. 2005, 58, 73–82. [Google Scholar] [CrossRef]
- Lakes, R.S. Foam structures with a negative Poisson’s ratio. Science 1987, 235, 1038–1040. [Google Scholar] [CrossRef] [PubMed]
- Evans, K.E. Auxetic polymers: A new range of materials. Endeavour 1991, 15, 170–174. [Google Scholar] [CrossRef]
- Gibson, L.J.; Ashby, M.F.; Robertson, G.S.S.C.I. The Mechanics of Two-Dimensional Cellular Materials. Proc. R. Soc. Lond. Ser. A 1982, 382, 25–42. [Google Scholar] [CrossRef]
- Almgren, R.F. An isotropic three-dimensional structure with Poisson’s ratio = −1. J. Elast. 1985, 15, 427–430. [Google Scholar]
- Kolpakov, A.G. Determination of the average characteristics of elastic frameworks. J. Appl. Math. Mech. 1985, 49, 739–745. [Google Scholar]
- Wojciechowski, K.W. Constant thermodynamic tension Monte Carlo studies of elastic properties of a two-dimensional system of hard cyclic hexamers. Mol. Phys. 1987, 61, 1247–1258. [Google Scholar] [CrossRef]
- Bathurst, R.J.; Rothenburg, L. Note on a random isotropic granular material with negative Poisson’s ratio. Int. J. Eng. Sci. 1988, 26, 373–383. [Google Scholar] [CrossRef]
- Wojciechowski, K.W. Two-dimensional isotropic model with a negative Poisson ratio. Phys. Lett. A 1989, 137, 60–64. [Google Scholar] [CrossRef]
- Lakes, R. Deformation mechanisms in negative Poisson’s ratio materials: Structural aspects. J. Mater. Sci. 1991, 26, 2287–2292. [Google Scholar] [CrossRef]
- Milton, G. Composite materials with Poisson’s ratios close to −1. J. Mech. Phys. Solids 1992, 40, 1105–1137. [Google Scholar] [CrossRef]
- Sigmund, O. Materials with prescribed constitutive parameters—An inverse homogenization problem. Int. J. Solids Struct. 1994, 31, 2313–2329. [Google Scholar] [CrossRef]
- Baughman, R.H.; Shacklette, J.M.; Zakhidov, A.A.; Stafstrom, S. Negative Poisson’s ratios as a common feature of cubic metals. Nature 1998, 392, 362–365. [Google Scholar] [CrossRef]
- Kimizuka, H.; Kaburaki, H. Mechanism for negative Poisson ratios over the α–β transition of cristobalite, SiO2: A molecular-dynamics study. Phys. Rev. Lett. 2000, 84, 5548–5551. [Google Scholar] [CrossRef] [PubMed]
- Ishibashi, Y.; Iwata, M. A microscopic model of a negative Poisson’s ratio in some crystals. J. Phys. Soc. Jpn. 2000, 69, 2702–2703. [Google Scholar] [CrossRef]
- Grima, J.N.; Evans, K.E. Auxetic behavior from rotating squares. J. Mater. Sci. Lett. 2000, 19, 1563–1565. [Google Scholar] [CrossRef]
- Bowick, M.; Cacciuto, A.; Thorleifsson, G.; Travesset, A. Universal negative Poisson ratio of self-avoiding fixed-connectivity membranes. Phys. Rev. Lett. 2001, 87, 148103. [Google Scholar] [CrossRef] [PubMed]
- Baughman, R.H. Avoiding the shrink. Nature 2003, 425, 667. [Google Scholar] [CrossRef] [PubMed]
- Wojciechowski, K.W. Non-chiral, molecular model of negative Poisson’s ratio in two dimensions. J. Phys. A Math. Gen. 2003, 36, 11765–11778. [Google Scholar] [CrossRef]
- Hoover, W.G.; Hoover, C.G. Searching for auxetics with DYNA3D and ParaDyn. Phys. Status Solidi B Basic Solid State Phys. 2005, 242, 585–594. [Google Scholar] [CrossRef]
- Tretiakov, K.V. Negative Poisson’s ratio of two-dimensional hard cyclic tetramers. J. Non-Cryst. Solids 2009, 355, 1435–1438. [Google Scholar] [CrossRef]
- Bertoldi, K.; Reis, P.M.; Willshaw, S.; Mullin, T. Negative Poisson’s Ratio Behavior Induced by an Elastic Instability. Adv. Mater. 2010, 22, 361–366. [Google Scholar] [CrossRef] [PubMed]
- Prawoto, Y. Seeing auxetic materials from the mechanics point of view: A structural review on the negative Poisson’s ratio. Comput. Mater. Sci. 2012, 58, 140–153. [Google Scholar] [CrossRef]
- Goldstein, R.V.; Gorodtsov, V.A.; Lisovenko, D.S. Classification of cubic auxetics. Phys. Status Solidi B Basic Solid State Phys. 2013, 250, 2038–2043. [Google Scholar] [CrossRef]
- Verma, P.; Shofner, M.L.; Griffin, A.C. Deconstructing the auxetic behavior of paper. Phys. Status Solidi B Basic Solid State Phys. 2014, 251, 289–296. [Google Scholar] [CrossRef]
- Chetcuti, E.; Ellul, B.; Manicaro, E.; Brincat, J.P.; Attard, D.; Gatt, R.; Grima, J.N. Modeling auxetic foams through semi-rigid rotating triangles. Phys. Status Solidi B Basic Solid State Phys. 2014, 251, 297–306. [Google Scholar] [CrossRef]
- Pozniak, A.A.; Wojciechowski, K.W. Poisson’s ratio of rectangular anti-chiral structures with size dispersion of circular nodes. Phys. Status Solidi B Basic Solid State Phys. 2014, 251, 367–374. [Google Scholar] [CrossRef]
- Krasavin, V.V.; Krasavin, A.V. Auxetic properties of cubic metal single crystals. Phys. Status Solidi B Basic Solid State Phys. 2014, 251, 2314–2320. [Google Scholar] [CrossRef]
- Czarnecki, S.; Wawruch, P. The emergence of auxetic material as a result of optimal isotropic design. Phys. Status Solidi B Basic Solid State Phys. 2015, 252, 1620–1630. [Google Scholar] [CrossRef]
- Ho, D.T.; Kim, H.; Kwon, S.Y.; Kim, S.Y. Auxeticity of face–centered cubic metal (001) nanoplates. Phys. Status Solidi B Basic Solid State Phys. 2015, 252, 1492–1501. [Google Scholar] [CrossRef]
- Mizzi, L.; Gatt, R.; Grima, J.N. Non-porous grooved single-material auxetics. Phys. Status Solidi B Basic Solid State Phys. 2015, 252, 1559–1564. [Google Scholar] [CrossRef]
- Ha, C.S.; Plesha, M.E.; Lakes, R.S. Chiral three-dimensional isotropic lattices with negative Poisson’s ratio. Phys. Status Solidi B Basic Solid State Phys. 2016, 253, 1243–1251. [Google Scholar] [CrossRef]
- Alderson, K.; Nazaré, S.; Alderson, A. Large-scale extrusion of auxetic polypropylene fibre. Phys. Status Solidi B Basic Solid State Phys. 2016, 253, 1279–1287. [Google Scholar] [CrossRef]
- Desmoulins, A.; Zelhofer, A.J.; Kochmann, D.M. Auxeticity in truss networks and the role of bending versus stretching deformation. Smart Mater. Struct. 2016, 25, 054003. [Google Scholar] [CrossRef]
- Pasternak, E.; Shufrin, I.; Dyskin, A.V. Thermal stresses in hybrid materials with auxetic inclusions. Compos. Struct. 2016, 138, 313–321. [Google Scholar] [CrossRef]
- Dudek, K.K.; Gatt, R.; Mizzi, L.; Dudek, M.R.; Attard, D.; Evans, K.E.; Grima, J.N. On the dynamics and control of mechanical properties of hierarchical rotating rigid unit auxetics. Sci. Rep. 2017, 7, 46529. [Google Scholar] [CrossRef] [PubMed]
- Chen, S.; Ryu, S.C. Design and characterization of rounded reentrant honeycomb patterns for lightweight and rigid auxetic structures. Smart Mater. Struct. 2017, 24, 115026. [Google Scholar] [CrossRef]
- Hou, J.; Li, D.; Dong, L. Mechanical behaviors of hierarchical cellular structures with negative Poisson’s ratio. J. Mater. Sci. 2018, 53, 10209–10216. [Google Scholar] [CrossRef]
- Li, D.; Yin, J.; Dong, L. Numerical analysis of a two-dimensional open cell topology with tunable Poisson’s ratio from positive to negative. Phys. Status Solidi-Rapid Res. Lett. 2018, 12, 1700374. [Google Scholar] [CrossRef]
- Ho, D.T.; Nguyen, C.T.; Kwon, S.Y.; Kim, S.Y. Auxeticity in metals and periodic metallic porous structures induced by elastic instabilities. Phys. Status Solidi B Basic Solid State Phys. 2018, 256, 1800122. [Google Scholar] [CrossRef]
- Rysaeva, L.K.; Baimova, J.A.; Lisovenko, D.S.; Gorodtsov, V.A.; Dmitriev, S.V. Elastic properties of fullerites and diamond-like phases. Phys. Status Solidi B Basic Solid State Phys. 2018, 256, 1800049. [Google Scholar] [CrossRef]
- Lakes, R.S. Advances in negative Poisson’s ratio materials. Adv. Mater. 1993, 5, 293–296. [Google Scholar] [CrossRef]
- Evans, K.E.; Alderson, A. Auxetic Materials: Functional Materials and Structures from Lateral Thinking! Adv. Mater. 2000, 12, 617–628. [Google Scholar] [CrossRef]
- Alderson, K.L.; Simkins, V.R.; Coenen, V.L.; Davies, P.J.; Alderson, A.; Evans, K.E. How to make auxetic fibre reinforced composites. Phys. Status Solidi B Basic Solid State Phys. 2005, 242, 509–518. [Google Scholar] [CrossRef]
- Grima, J.N.; Attard, D.; Caruana-Gauci, R.; Gatt, R. Negative linear compressibility of hexagonal honeycombs and related systems. Scr. Mater. 2011, 65, 565–568. [Google Scholar] [CrossRef]
- Fozdar, D.Y.; Soman, P.; Lee, J.W.; Han, L.H.; Chen, S.C. Three-dimensional polymer constructs exhibiting a tunable negative Poisson’s ratio. Adv. Funct. Mater. 2011, 21, 2712–2720. [Google Scholar] [CrossRef] [PubMed]
- Gatt, R.; Caruana-Gauci, R.; Attard, D.; Casha, A.R.; Wolak, W.; Dudek, K.; Mizzi, L.; Grima, J.N. On the properties of real finite-sized planar and tubular stent-like auxetic structures. Phys. Status Solidi B Basic Solid State Phys. 2014, 251, 321–327. [Google Scholar] [CrossRef]
- Azzopardi, K.M.; Brincat, J.P.; Grima, J.N.; Gatt, R. Advances in the study of the deformation mechanism of stishovite. Phys. Status Solidi B Basic Solid State Phys. 2015, 252, 1486–1491. [Google Scholar] [CrossRef]
- Slann, A.; White, W.; Scarpa, F.; Boba, K.; Farrow, I. Cellular plates with auxetic rectangular perforations. Phys. Status Solidi B Basic Solid State Phys. 2015, 252, 1533–1539. [Google Scholar] [CrossRef]
- Baimova, J.A.; Rysaeva, L.K.; Liu, B.; Dmitriev, S.V.; Zhou, K. From flat graphene to bulk carbon nanostructures. Phys. Status Solidi B Basic Solid State Phys. 2015, 252, 1502–1507. [Google Scholar] [CrossRef]
- Airoldi, A.; Bettini, P.; Panichelli, P.; Oktem, M.F.; Sala, G. Chiral topologies for composite morphing structures? Part I: Development of a chiral rib for deformable airfoils. Phys. Status Solidi B Basic Solid State Phys. 2015, 252, 1435–1445. [Google Scholar] [CrossRef]
- Bacigalupo, A.; Lepidi, M.; Gnecco, G.; Gambarotta, L. Optimal design of auxetic hexachiral metamaterials with local resonators. Smart Mater. Struct. 2016, 25, 054009. [Google Scholar] [CrossRef]
- Ho, D.T.; Park, S.; Kwon, S.; Han, T.; Kim, S.Y. Negative Poisson’s ratio in cubic materials along principal directions. Phys. Status Solidi B Basic Solid State Phys. 2016, 253, 1288–1294. [Google Scholar] [CrossRef]
- Huang, C.; Chen, L. Negative Poisson’s Ratio in Modern Functional Materials. Adv. Mater. 2016, 28, 8079–8096. [Google Scholar] [CrossRef] [PubMed]
- Saxena, K.K.; Das, R.; Calius, E.P. Three Decades of Auxetics Research—Materials with Negative Poisson’s Ratio: A Review. Adv. Eng. Mater. 2016, 18, 1847–1870. [Google Scholar] [CrossRef]
- Ho, V.H.; Ho, D.T.; Kwon, S.; Kim, S.Y. Negative Poisson’s ratio in periodic porous graphene structures. Phys. Status Solidi B Basic Solid State Phys. 2016, 253, 1303–1309. [Google Scholar] [CrossRef]
- Lisovenko, D.S.; Baimova, J.A.; Rysaeva, L.K.; Gorodtsov, V.A.; Rudskoy, A.I.; Dmitriev, S.V. Equilibrium diamond-like carbon nanostructures with cubic anisotropy: Elastic properties. Phys. Status Solidi B Basic Solid State Phys. 2016, 253, 1295–1302. [Google Scholar] [CrossRef]
- Chen, Y.Y.; Li, T.T.; Scarpa, F.; Wang, L.F. Lattice metamaterials with mechanically tunable Poisson’s ratio for vibration control. Phys. Rev. Appl. 2017, 7, 024012. [Google Scholar] [CrossRef]
- Ho, D.T.; Ho, V.H.; Park, H.S.; Kim, S.Y. Negative in-plane Poisson’s ratio for single layer black phosphorus: An atomistic simulation study. Phys. Status Solidi B Basic Solid State Phys. 2017, 254, 1700285. [Google Scholar] [CrossRef]
- Wang, Y.C.; Shen, M.W.; Liao, S.M. Microstructural effects on the Poisson’s ratio of star-shaped two-dimensional systems. Phys. Status Solidi B Basic Solid State Phys. 2017, 254, 1700024. [Google Scholar] [CrossRef]
- Liu, Q. Literature Review: Materials with Negative Poisson’s Ratios and Potential Applications to Aerospace and Defence; DSTO Defence Science and Technology Organisation: Victoria, Australia, 2006.
- Ma, Y.; Scarpa, F.; Zhang, D.; Zhu, B.; Chen, L.; Hong, J. A nonlinear auxetic structural vibration damper with metal rubber particles. Smart Mater. Struct. 2013, 22, 084012. [Google Scholar] [CrossRef]
- Smardzewski, J.; Klos, R.; Fabisiak, B. Design of small auxetic springs for furniture. Mater. Des. 2013, 51, 723–728. [Google Scholar] [CrossRef]
- Mizzi, L.; Attard, D.; Casha, A.; Grima, J.N.; Gatt, R. On the suitability of hexagonal honeycombs as stent geometries. Phys. Status Solidi B Basic Solid State Phys. 2014, 251, 328–337. [Google Scholar] [CrossRef]
- Allen, T.; Hewage, T.; Newton-Mann, C.; Wang, W.; Duncan, O.; Alderson, A. Fabrication of Auxetic Foam Sheets for Sports Applications. Phys. Status Solidi B Basic Solid State Phys. 2017, 254, 1700596. [Google Scholar] [CrossRef]
- Ren, X.; Das, R.; Tran, J.P.; Ngo, T. Auxetic metamaterials and structures: A review. Smart Mater. Struct. 2018, 27, 023001. [Google Scholar] [CrossRef]
- Ren, X.; Shen, J.; Phuong, T.; Ngo, T.; Xie, Y.M. Auxetic nail: Design and experimental study. Compos. Struct. 2018, 184, 288–298. [Google Scholar] [CrossRef]
- Ali, R.; Saleem, M.R.; Roussey, M.; Turunen, J.; Honkanen, S. Fabrication of buried nanostructures by atomic layer deposition. Sci. Rep. 2018, 8, 15098. [Google Scholar] [CrossRef] [PubMed]
- Zhou, Z.; Tang, H.; Sodano, H.A. Vertically aligned arrays of BaTiO3 nanowires. J. ACS Appl. Mater. Interfaces 2013, 11894–11899. [Google Scholar] [CrossRef] [PubMed]
- Fang, J.; Levchenko, I.; Lu, X.; Mariotti, D.; Ostrikov, K. Hierarchical bi-dimensional alumina/palladium nanowire nano-architectures for hydrogen detection, storage and controlled release. Int. J. Hydrog. Energy 2015, 40, 6165–6172. [Google Scholar] [CrossRef]
- Tretiakov, K.V.; Wojciechowski, K.W. Partially auxetic behavior in fcc crystals of hard-core repulsive Yukawa particles. Phys. Status Solidi B Basic Solid State Phys. 2014, 251, 383–387. [Google Scholar] [CrossRef]
- Piglowski, P.M.; Wojciechowski, K.W.; Tretiakov, K.V. Partial auxeticity induced by nanoslits in the Yukawa crystal. Phys. Status Solidi-Rapid Res. Lett. 2016, 10, 566–569. [Google Scholar] [CrossRef]
- Tretiakov, K.V.; Piglowski, P.M.; Hyzorek, K.; Wojciechowski, K.W. Enhanced auxeticity in Yukawa systems due to introduction of nanochannels in [001]-direction. Smart Mater. Struct. 2016, 25, 054007. [Google Scholar] [CrossRef]
- Parrinello, M.; Rahman, A. Polymorphic transitions in single crystals: A new molecular dynamics method. J. Appl. Phys. 1981, 52, 7182–7190. [Google Scholar] [CrossRef]
- Parrinello, M.; Rahman, A. Strain fluctuations and elastic constants. J. Chem. Phys. 1982, 76, 2662–2666. [Google Scholar] [CrossRef]
- Wojciechowski, K.W.; Tretiakov, K.V.; Kowalik, M. Elastic properties of dense solid phases of hard cyclic pentamers and heptamers in two dimensions. Phys. Rev. E 2003, 67, 036121. [Google Scholar] [CrossRef] [PubMed]
- Tokmakova, S.P. Stereographic projections of Poisson’s ratio in auxetic crystals. Phys. Status Solidi B Basic Solid State Phys. 2005, 242, 721–729. [Google Scholar] [CrossRef]
- Nye, J.F. Physical Properties of Crystalls, Their Representation by Tensors and Matrices; Clarendon Press: Oxford, UK, 1957. [Google Scholar]
- Frenkel, D.; Ladd, A.J.C. Elastic constants of hard-sphere crystals. Phys. Rev. Lett. 1987, 59, 1169. [Google Scholar] [CrossRef] [PubMed]
- Narojczyk, J.W.; Wojciechowski, K.W.; Tretiakov, K.V.; Smardzewski, J.; Scarpa, F.; Piglowski, P.M.; Kowalik, M.; Imre, A.R.; Bilski, M. Auxetic properties of a f.c.c. crystal of hard spheres with an array of [001]-nanochannels filled by hard spheres of another diameter. Phys. Status Solidi B Basic Solid State Phys. 2019, 256, 1800611. [Google Scholar] [CrossRef]







© 2019 by the authors. Licensee MDPI, Basel, Switzerland. This article is an open access article distributed under the terms and conditions of the Creative Commons Attribution (CC BY) license (http://creativecommons.org/licenses/by/4.0/).
Share and Cite
Narojczyk, J.W.; Wojciechowski, K.W. Poisson’s Ratio of the f.c.c. Hard Sphere Crystals with Periodically Stacked (001)-Nanolayers of Hard Spheres of Another Diameter. Materials 2019, 12, 700. https://doi.org/10.3390/ma12050700
Narojczyk JW, Wojciechowski KW. Poisson’s Ratio of the f.c.c. Hard Sphere Crystals with Periodically Stacked (001)-Nanolayers of Hard Spheres of Another Diameter. Materials. 2019; 12(5):700. https://doi.org/10.3390/ma12050700
Chicago/Turabian StyleNarojczyk, Jakub W., and Krzysztof W. Wojciechowski. 2019. "Poisson’s Ratio of the f.c.c. Hard Sphere Crystals with Periodically Stacked (001)-Nanolayers of Hard Spheres of Another Diameter" Materials 12, no. 5: 700. https://doi.org/10.3390/ma12050700
APA StyleNarojczyk, J. W., & Wojciechowski, K. W. (2019). Poisson’s Ratio of the f.c.c. Hard Sphere Crystals with Periodically Stacked (001)-Nanolayers of Hard Spheres of Another Diameter. Materials, 12(5), 700. https://doi.org/10.3390/ma12050700

