Sign in to use this feature.

Years

Between: -

Subjects

remove_circle_outline
remove_circle_outline
remove_circle_outline
remove_circle_outline
remove_circle_outline
remove_circle_outline
remove_circle_outline
remove_circle_outline
remove_circle_outline

Journals

remove_circle_outline
remove_circle_outline
remove_circle_outline
remove_circle_outline
remove_circle_outline
remove_circle_outline
remove_circle_outline
remove_circle_outline
remove_circle_outline
remove_circle_outline

Article Types

Countries / Regions

remove_circle_outline
remove_circle_outline
remove_circle_outline
remove_circle_outline
remove_circle_outline
remove_circle_outline

Search Results (956)

Search Parameters:
Keywords = gravitational fields

Order results
Result details
Results per page
Select all
Export citation of selected articles as:
19 pages, 3533 KB  
Article
Design and Experimental Verification of a Lightweight Pure Electric Agricultural Robot Chassis Supported by Real-Time Tension Monitoring
by Ke Yang, Xiang Zhou and Chicheng Ma
World Electr. Veh. J. 2026, 17(4), 194; https://doi.org/10.3390/wevj17040194 (registering DOI) - 7 Apr 2026
Abstract
In order to investigate the application potential of lightweight agricultural robots utilizing carbon fiber-reinforced polymer (CFRP) as the primary structural material, this study developed a dedicated rubber-tracked chassis tailored for peanut pest and disease monitoring robots. The chassis design is anchored to the [...] Read more.
In order to investigate the application potential of lightweight agricultural robots utilizing carbon fiber-reinforced polymer (CFRP) as the primary structural material, this study developed a dedicated rubber-tracked chassis tailored for peanut pest and disease monitoring robots. The chassis design is anchored to the widely applied “single ridge with double rows” cultivation pattern in peanut production and incorporates a real-time track tension monitoring mechanism integrated with pressure sensors. The overall structural configuration of the chassis fully conforms to the standard ridge parameters of mechanized peanut planting while fully considering the intrinsic material properties of CFRP. Additionally, a sprocketless drive wheel structure is specifically adopted to realize higher-precision motion control performance. A mathematical model was constructed to quantitatively characterize the tension correlation between the tight side and slack side of the rubber track, as well as the variation law of initial tension influenced by multiple factors including the total mass of the robot platform. With the curb weight of the robot platform set at 45 kg, the theoretical initial tension is calculated to be 24.5 N (equivalent to approximately 2.5 kg, taking the gravitational acceleration g = 9.8 m/s2). The prototype shows potential for maintaining consistent tension, though a mechanical weakness was identified and will be addressed in future work. Performance validation tests show that the chassis maintains stable operation with no sprocket slippage during field visual inspection. Full article
(This article belongs to the Section Vehicle Control and Management)
20 pages, 5642 KB  
Article
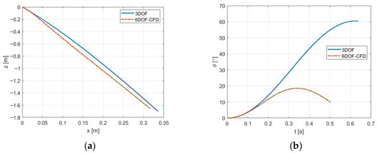
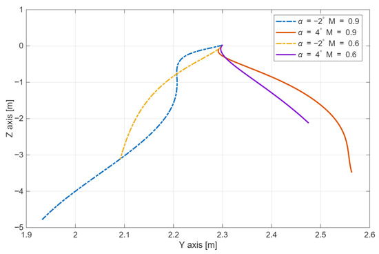
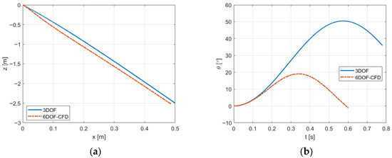
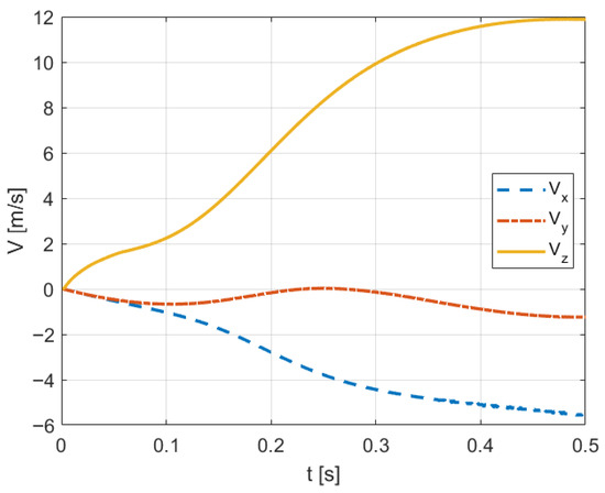
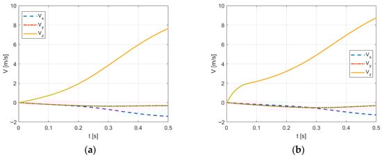
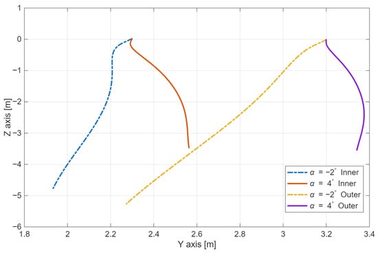
Comparative Numerical Investigation of Gravitational and Impulse Store Separation in Highly Subsonic Flow
by Ilija Nenadić and Jelena Svorcan
Aerospace 2026, 13(4), 336; https://doi.org/10.3390/aerospace13040336 - 2 Apr 2026
Viewed by 217
Abstract
The safe release of external stores from aircraft is a complex aerodynamic problem governed by strong interactions between the store and the carrier. During separation, the store is subjected to rapidly varying pressure fields, strong aerodynamic interference, and inertial effects that collectively determine [...] Read more.
The safe release of external stores from aircraft is a complex aerodynamic problem governed by strong interactions between the store and the carrier. During separation, the store is subjected to rapidly varying pressure fields, strong aerodynamic interference, and inertial effects that collectively determine the trajectory and stability of the body in the critical milliseconds following release. This study presents a numerical investigation of the separation of an external store from the high-wing configuration aircraft. Both gravitational and impulse-based release mechanisms are examined across multiple suspension stations and a wide range of flight conditions. Computational fluid dynamics (CFD) methods were employed using a density-based, compressible solver with SST k–ω turbulence modeling, combined with a fully coupled six-degree-of-freedom (6DOF) solver and dynamic mesh deformation techniques. The study considers a wide range of Mach numbers from 0.6 to 0.9 and angles-of-attack between −2° and 4°, and three different suspension stations located at the inner wing pylon, outer wing pylon, and fuselage centerline. These conditions strongly influence the aerodynamic environment around the store and therefore affect its initial motion after release and flight path. The impulse ejection forces used in the analysis come from experimental data and are applied through a user-defined function (UDF) at each time step, allowing the simulation to reproduce the ejection event as realistically as possible. Numerical results confirm that the flight paths of external store are highly non-symmetrical, requiring the employment of complex computational models for their successful resolution, and that they gravely depend on the operating conditions, carrier geometry as well as the suspension location. Full article
(This article belongs to the Section Aeronautics)
Show Figures

Figure 1

28 pages, 9658 KB  
Article
Design and Implementation of a Real-Time Visual Tracking System for UAVs Based on PSDK
by Ranjun Yang, Ningbo Xie, Qinlin Li, Kefei Liao, Jie Lang and Kamarul Hawari Bin Ghazali
Sensors 2026, 26(7), 2145; https://doi.org/10.3390/s26072145 - 31 Mar 2026
Viewed by 232
Abstract
This paper presents the design and implementation of a real-time visual tracking system for unmanned aerial vehicles (UAVs), based on the DJIPayload Software Development Kit (PSDK), addressing the challenge of balancing high precision with low latency on resource-constrained edge platforms. By utilizing DJI [...] Read more.
This paper presents the design and implementation of a real-time visual tracking system for unmanned aerial vehicles (UAVs), based on the DJIPayload Software Development Kit (PSDK), addressing the challenge of balancing high precision with low latency on resource-constrained edge platforms. By utilizing DJI PSDK to abandon the Robot Operating System (ROS) layer and its associated serialization overhead, the proposed Middleware-Free Architecture reduces end-to-end latency by over 60% to approximately 30 ms. To address computational constraints, a Lightweight Asymmetric De-coupled Visual Servoing (ADVS) strategy is proposed. It adopts orthogonal kinematic de-coupling to bypass Jacobian matrix inversion and integrates a non-linear dead-zone mechanism with dynamics-aware gain scheduling to compensate for sensing anisotropy and gravitational nonlinearity. Simultaneously, a Geometry-Aware Fusion strategy is employed to reject visual outliers, while a Finite State Machine (FSM) strictly enforces temporal consistency. Field experiments in various scenarios verify the system’s stability and tracking capability. Specifically, the platform maintains a robust lock on targets at speeds up to 23 m/s across dynamic maneuvers. The successful implementation of this system confirms that high-performance edge tracking does not rely solely on the scaling of visual model complexity but can also be effectively achieved through the architectural minimization of latency combined with the optimization of theoretically grounded robust control strategies. Full article
(This article belongs to the Section Sensors and Robotics)
Show Figures

Figure 1

44 pages, 1757 KB  
Article
First-Order Axial Perturbation of the Reissner–Nordström Metric Against a Possible Parity-Violating Gravity Background
by Abhishek Rout and Brett Altschul
Symmetry 2026, 18(4), 560; https://doi.org/10.3390/sym18040560 - 25 Mar 2026
Viewed by 393
Abstract
We study axial perturbations of Reissner–Nordström black holes within the general framework of parity-violating modified gravity theories. We derive the governing equations for a class of frame-dragging perturbations, focusing on the symmetry structure and radial dependence of the perturbed metric component, describing its [...] Read more.
We study axial perturbations of Reissner–Nordström black holes within the general framework of parity-violating modified gravity theories. We derive the governing equations for a class of frame-dragging perturbations, focusing on the symmetry structure and radial dependence of the perturbed metric component, describing its behavior across three distinct regions: near the singularity (r0), between the inner and outer Reissner–Nordström horizons (r<r<r+), and in the asymptotic exterior regime (r). Using a combination of analytical and numerical methods, we analyze the solutions for varying black hole charge-to-mass ratios (Q/M) and angular momentum parameters (l). Key findings include the suppression of perturbations by the electromagnetic field for higher Q/M; the emergence of radial resonance-like behavior for specific l values; and a high degree of symmetry for solutions in the extremal limit (Q/M1), attributed to the AdS2× S2 near-horizon geometry. The WKB approximation is employed to study the high-l regime, revealing quantized radial resonance modes and singular behavior in the extremal limit. Additionally, we explore the role of boundary conditions and the possibility of a Chern–Simons field Θ as the source of the parity violation, showing that consistency and the behavior of the perturbations under time reversal demand a constant field (and thus no actually observable Chern–Simons effects) at leading order. These results provide a basis for further analysis of the stability and dynamical properties of charged black holes in parity-violating theories, with potential experimental signatures in gravitational wave observations. Full article
(This article belongs to the Special Issue Feature Papers in 'Physics' Section 2025)
Show Figures

Figure 1

15 pages, 46451 KB  
Article
Parameter Optimization for Torsion-Balance Experiments Testing d = 6 Lorentz-Violating Effects in the Pure-Gravity Sector
by Tao Jin, Pan-Pan Wang, Weisheng Huang, Rui Luo, Yu-Jie Tan and Cheng-Gang Shao
Symmetry 2026, 18(4), 559; https://doi.org/10.3390/sym18040559 - 25 Mar 2026
Viewed by 262
Abstract
Local Lorentz Invariance is one of the fundamental postulates of General Relativity, making its experimental verification of paramount importance. Given that various frontier theoretical models predict potential symmetry breaking, the Standard Model Extension framework has been established to systematically study such phenomena. Within [...] Read more.
Local Lorentz Invariance is one of the fundamental postulates of General Relativity, making its experimental verification of paramount importance. Given that various frontier theoretical models predict potential symmetry breaking, the Standard Model Extension framework has been established to systematically study such phenomena. Within the Standard Model Extension gravitational sector, the high-order Lorentz-violating terms with mass dimension d=6 exhibit a rapid signal decay with distance, providing a distinct detection advantage in short-range gravity experiments. This work is dedicated to optimizing the testing schemes for d=6 Lorentz-violating coefficients. Based on a high-precision torsion balance platform, we propose a novel scheme featuring a comb-stripe design. The improvements are twofold: first, the spatial orientation of the experimental apparatus is optimized to leverage the modulation effects of the Earth’s rotation, thereby enhancing the capability to distinguish and constrain different violation parameters; second, the test and source masses are reconfigured into specifically designed stripe patterns to significantly amplify the fringe-field signals sensitive to Lorentz-violating effects. This paper systematically elaborates on the theoretical foundation and design principles of the new scheme. By performing a detailed comparison of the constraint potentials of various stripe configurations, the five-stripe geometry is identified as the optimal experimental configuration. This study provides a new experimental methodology for exploring physics beyond the Standard Model at higher levels of precision. Full article
(This article belongs to the Section Physics)
Show Figures

Figure 1

36 pages, 527 KB  
Article
The Most General Four-Derivative Unitary String Effective Action with Torsion and Stringy Running Vacuum Model Inflation: Old Ideas from a Modern Perspective
by Nick E. Mavromatos and George Panagopoulos
Universe 2026, 12(3), 90; https://doi.org/10.3390/universe12030090 - 22 Mar 2026
Viewed by 176
Abstract
The string-inspired running vacuum model (StRVM) of inflation is based on a Chern–Simons (CS) gravity effective action in which the only four-spacetime-derivative-order term is a gravitational anomalous CS–Pontryagin density coupled to an axion. In this work, we revisit curvature-squared string-inspired effective actions from [...] Read more.
The string-inspired running vacuum model (StRVM) of inflation is based on a Chern–Simons (CS) gravity effective action in which the only four-spacetime-derivative-order term is a gravitational anomalous CS–Pontryagin density coupled to an axion. In this work, we revisit curvature-squared string-inspired effective actions from the point of view of appropriate local field redefinitions, leaving the perturbative string scattering matrices invariant. We require simultaneously unitarity and torsion interpretation of the field strength of the Kalb–Ramond antisymmetric tensor, features characterizing the (3+1)-dimensional StRVM cosmology. Unlike the higher-dimensional case, the above features are possible in the context of (3+1)-dimensional spacetimes, obtained after string compactification. We demonstrate that the unitarity and torsion interpretation requirements lead to a single type of extra four-derivative terms in the effective gravitational action, not discussed in the previous literature on StRVM, which is, however, shown to be subleading by many orders of magnitude compared to the terms of the StRVM framework. Hence, its presence has no practical implications for the relevant inflationary (and, hence, postinflationary) physics of the StRVM. This demonstrates the phenomenological completeness of the StRVM cosmological scenario, which is thus fully embeddable in the UV-complete (quantum gravity-compatible) string theory framework. Full article
25 pages, 6362 KB  
Article
Dust Deposition on Solar Greenhouse Films: Mechanisms, Simulations, and Tomato Physiological Responses
by Haoda Li, Gang Wu, Yuhao Wei and Yifei Liu
Agriculture 2026, 16(6), 660; https://doi.org/10.3390/agriculture16060660 - 14 Mar 2026
Viewed by 366
Abstract
In desert regions, frequent aeolian dust events lead to rapid dust accumulation on greenhouse films, critically compromising light transmittance and inhibiting crop growth. To address this challenge, this study integrated Computational Fluid Dynamics–Discrete Phase Model (CFD-DPM) simulations with field experiments to conduct a [...] Read more.
In desert regions, frequent aeolian dust events lead to rapid dust accumulation on greenhouse films, critically compromising light transmittance and inhibiting crop growth. To address this challenge, this study integrated Computational Fluid Dynamics–Discrete Phase Model (CFD-DPM) simulations with field experiments to conduct a comprehensive investigation spanning from microscopic deposition mechanisms to macroscopic physiological responses. Particle characterization revealed a distinct aerodynamic sorting effect, wherein fine particles (<65 μm) preferentially adhered to film surfaces driven by airflow, contrasting sharply with the gravitational settling of coarse ground particles. Numerical simulations further confirmed that as wind speeds increased from 2 to 7 m/s, dust deposition rates exhibited a significant exponential reduction, with accumulation predominantly concentrated in the windward and wake zones. The dust layer covering the film induced a substantial reduction in the indoor daily light integral (DLI), which leads to influence tomato growth that stunted plant height and suppressed the net photosynthetic rate. Physiologically, antioxidant enzyme activities exhibited an initial surge followed by a decline, reflecting photosynthetic constraints and oxidative stress. Consequently, a high-frequency cleaning interval of 7–14 days is recommended to significantly enhance photosynthetic capacity and stress resilience. Full article
Show Figures

Figure 1

36 pages, 417 KB  
Article
A Dynamical Approach to General Relativity Based on Proper Time
by Jaume de Haro
Universe 2026, 12(3), 79; https://doi.org/10.3390/universe12030079 - 12 Mar 2026
Viewed by 379
Abstract
This work places the invariant ds2 at the center of the gravitational interaction, interpreting it not as a purely geometric object but as the differential of proper time, endowed with direct physical meaning. Starting from the extension of Fermat’s principle to [...] Read more.
This work places the invariant ds2 at the center of the gravitational interaction, interpreting it not as a purely geometric object but as the differential of proper time, endowed with direct physical meaning. Starting from the extension of Fermat’s principle to massive particles—namely, the requirement that freely falling bodies follow trajectories that extremize proper time, which for timelike motion corresponds to a local maximum—and invoking the universality of Galilean free fall, we derive the form of ds2 in a static gravitational field. Lorentz invariance then provides the natural framework to extend this result to systems involving moving matter. The invariant derived through this procedure matches the weak-field limit of General Relativity formulated in the harmonic gauge. Within this linearized regime, we show that the structure of the theory already contains the seeds of its nonlinear completion: any dynamically consistent extension to strong gravitational fields necessarily involves the Ricci tensor. From this viewpoint, Einstein’s field equations appear not as a postulated geometric law but as the unique covariant closure required to ensure energy–momentum conservation and the self-consistency of the gravitational interaction. Full article
18 pages, 492 KB  
Article
Condensate Dark Stars Beyond the Mean-Field Approximation: The Lee–Huang–Yang Correction
by Grigoris Panotopoulos
Physics 2026, 8(1), 32; https://doi.org/10.3390/physics8010032 - 10 Mar 2026
Viewed by 313
Abstract
The paper investigates the structural properties of self-gravitating fluid spheres composed of a dilute, homogeneous, and ultracold Bose gas, assuming repulsive, short-range interactions. For the first time, the Lee–Huang–Yang (LHY) correction is incorporated to the standard polytropic equation-of-state with index n=1 [...] Read more.
The paper investigates the structural properties of self-gravitating fluid spheres composed of a dilute, homogeneous, and ultracold Bose gas, assuming repulsive, short-range interactions. For the first time, the Lee–Huang–Yang (LHY) correction is incorporated to the standard polytropic equation-of-state with index n=1, which extends beyond the Hartree mean-field approximation by accounting for quantum fluctuations. The findings indicate that this correction significantly affects the mass–radius relationships and other properties of condensate dark stars, such as the compactness factor and tidal Love numbers. Notably, the impact of the LHY correction is more pronounced for equations of state that support higher maximum stellar masses. Full article
(This article belongs to the Special Issue Beyond the Standard Models of Physics and Cosmology: 2nd Edition)
Show Figures

Figure 1

17 pages, 2665 KB  
Article
Competition in the Segregation Mechanism of Granular Flow Within a 2D Rotating Drum Based on Magnetic Positioning Technology
by Rong Pan, Zhi-Peng Chi, Yi-Ming Li, Ran Li and Hui Yang
Sensors 2026, 26(6), 1741; https://doi.org/10.3390/s26061741 - 10 Mar 2026
Viewed by 271
Abstract
Accurate monitoring of internal particle motion in dense granular flows remains a significant challenge across various fields, ranging from geophysics to industrial processes. To address the limitations of existing observational techniques, this study presents a novel high-precision magnetic array positioning system based on [...] Read more.
Accurate monitoring of internal particle motion in dense granular flows remains a significant challenge across various fields, ranging from geophysics to industrial processes. To address the limitations of existing observational techniques, this study presents a novel high-precision magnetic array positioning system based on magnetic dipole theory for dynamically tracking individual particles within opaque granular media. The system integrates an array of nine magnetic sensors with a hybrid optimization algorithm that combines Particle Swarm Optimization (PSO) and gradient-based local refinement, achieving a dynamic positioning accuracy within the maximum measurable range, with a maximum dynamic error of 2.5 ± 0.5 mm and a trajectory continuity exceeding 99%. Deployed in a quasi-two-dimensional rotating drum, the system enables detailed investigation of particle segregation mechanisms. Reconstruction and analysis of the trajectories of a high-density intruder (magnetic bead) allow quantification of the competition among segregation mechanisms through the Froude number. The results reveal three distinct motion phases with increasing rotational speed: a gravity-dominated percolation stage, a transitional collision–diffusion competition stage, and a centrifugal diffusion-dominated stage. Each phase exhibits unique kinematic signatures governed by the interplay of inertial, gravitational, and contact forces. This work not only establishes a robust and accurate sensor-based method for internal granular flow monitoring but also provides new mechanistic insights into segregation dynamics, with implications for understanding geological hazards such as debris flows. Full article
(This article belongs to the Section Physical Sensors)
Show Figures

Figure 1

12 pages, 684 KB  
Article
Optimality-Based Active Region Model (ARM) for Fingering Flow in the Vadose Zone: Recent Theoretical Progress
by Hui-Hai Liu, Yingjun Liu and Shuo Zhang
Water 2026, 18(5), 641; https://doi.org/10.3390/w18050641 - 8 Mar 2026
Viewed by 339
Abstract
Gravitational fingering often occurs for water flow in the vadose zone and accurate modeling of this important flow process remains a significant scientific challenge. This paper presents the latest theoretical developments of the optimality-based active region model (ARM), a macroscopic framework developed for [...] Read more.
Gravitational fingering often occurs for water flow in the vadose zone and accurate modeling of this important flow process remains a significant scientific challenge. This paper presents the latest theoretical developments of the optimality-based active region model (ARM), a macroscopic framework developed for describing gravitational fingering flow in the vadose zone. ARM divides the soil into active (fingering) and inactive regions, introducing a relationship between water flux and hydraulic gradient derived from the principle of optimality that the system self-organizes to maximize water flow conductivity. Unlike traditional models, ARM’s hydraulic conductivity depends on both capillary pressure or water saturation and water flux, reflecting the unstable nature of fingering flow. The paper provides an updated mathematical derivation of ARM relationships using calculus of variations and extends ARM to account for small water flux in the non-fingering zone, resulting in a dual-flow field model. These new developments should make ARM more rigorous and realistic for field-scale applications. Full article
Show Figures

Figure 1

25 pages, 7543 KB  
Article
Methodology for the Structural Analysis of Compliant Towers at Ultimate and Serviceability Limit States
by Pedro Vladimir Hernández-Varona, Ivan Félix-González and Rolando Salgado-Estrada
Infrastructures 2026, 11(3), 85; https://doi.org/10.3390/infrastructures11030085 - 6 Mar 2026
Viewed by 212
Abstract
The short service life of oil fields and limited oil deposits in shallow waters requires a constant search for new oil fields in deeper waters. Compliant towers are one of the most suitable structures for water depths between 300 m and 600 m, [...] Read more.
The short service life of oil fields and limited oil deposits in shallow waters requires a constant search for new oil fields in deeper waters. Compliant towers are one of the most suitable structures for water depths between 300 m and 600 m, where fixed structures are economically unfeasible. The principal characteristics of compliant towers include a minimal number of cross sections in their main structural elements throughout their height, combined with significant flexibility and buoyancy. Due to their flexibility and buoyancy, gravitational loads at the deck do not significantly impact the foundation. Moreover, compliant towers do not need advanced building systems, installation processes or special maintenance. Additionally, the large height of compliant towers reduces their natural frequencies, which prevents them from being within the frequency range of environmental forces capable of producing structural resonance. For this reason, efforts are made to design compliant towers to be as flexible as possible. Hence, this research is focused on examining a methodology for the structural analysis of compliant towers at ultimate and serviceability limit states for a water depth of 550 m in the Mexican waters of the Gulf of Mexico. Full article
(This article belongs to the Section Infrastructures and Structural Engineering)
Show Figures

Figure 1

24 pages, 613 KB  
Article
Curvature, Memory and Emergent Time in Cosmological Dynamics
by Iñaki Del Amo Castillo
Quantum Rep. 2026, 8(1), 20; https://doi.org/10.3390/quantum8010020 - 6 Mar 2026
Viewed by 325
Abstract
We present a covariant geometric extension of General Relativity formulated within a controlled effective field theory framework. The gravitational action is supplemented by curvature-dependent operators parametrized by three coefficients α, β, and γ, chosen such that the resulting field equations [...] Read more.
We present a covariant geometric extension of General Relativity formulated within a controlled effective field theory framework. The gravitational action is supplemented by curvature-dependent operators parametrized by three coefficients α, β, and γ, chosen such that the resulting field equations remain second order in time derivatives and free of Ostrogradsky instabilities. In a homogeneous and isotropic cosmological background, the modified dynamics generically replaces the classical Big Bang singularity with a smooth, nonsingular bounce driven by a repulsive curvature core proportional to a6. A distinctive feature of the framework is the presence of a geometric slip term proportional to H˙, which encodes curvature-memory effects at the level of the background evolution without introducing additional propagating degrees of freedom. This term dynamically correlates the expansion rate with its temporal variation, leading to effective ultraviolet damping and enhanced dynamical stability across the high-curvature regime. As a consequence, the cosmological solutions admit the definition of an intrinsic relational time variable that is strictly monotonic throughout the evolution, including across the bounce. The emergent temporal ordering arises purely from geometric dynamics and does not rely on matter clocks, nonlocality, or fundamental violations of time-reversal or CPT symmetry. We discuss the consistency of the framework within its effective field theory domain of validity and comment on its implications for the conceptual problems of singularity resolution and the emergence of time in cosmology. Full article
(This article belongs to the Special Issue 100 Years of Quantum Mechanics)
Show Figures

Figure 1

20 pages, 342 KB  
Article
Gross–Pitaevskii–Poisson Equations from a ξRϕ4 Non-Minimal Scalar-Curvature Coupling
by Bryan Cordero-Patino, Álvaro Duenas-Vidal and Jorge Segovia
Universe 2026, 12(3), 72; https://doi.org/10.3390/universe12030072 - 4 Mar 2026
Viewed by 268
Abstract
In cosmological scenarios where the Peccei–Quinn symmetry is broken after inflation, small-scale axion field inhomogeneities can undergo gravitational collapse, leading to the formation of bound structures. The dynamics of these systems are commonly described using cosmological perturbation theory applied to the Einstein–Klein–Gordon equations. [...] Read more.
In cosmological scenarios where the Peccei–Quinn symmetry is broken after inflation, small-scale axion field inhomogeneities can undergo gravitational collapse, leading to the formation of bound structures. The dynamics of these systems are commonly described using cosmological perturbation theory applied to the Einstein–Klein–Gordon equations. In the non-relativistic regime, this description reduces to the Gross–Pitaevskii–Poisson or Schrödinger–Poisson equations, depending on whether axion self-interactions are included. In this work, we extend the axion’s relativistic action by introducing a non-minimal scalar-curvature coupling of the form ξRϕ4, which effectively induces a gravitationally mediated pairwise interaction. By performing a perturbative expansion and subsequently taking the non-relativistic limit, we derive a modified set of evolution equations governing the early stages of axion structure formation. Full article
(This article belongs to the Section High Energy Nuclear and Particle Physics)
22 pages, 5149 KB  
Article
Proof of Concept of an Occupational Machine for Biomechanical Load Reduction: Interpreting the User’s Intent
by Francesco Durante
Robotics 2026, 15(3), 53; https://doi.org/10.3390/robotics15030053 - 28 Feb 2026
Viewed by 433
Abstract
This paper presents a bench-top occupational power-assist robot aimed at reducing biomechanical effort during repetitive material handling. The prototype adopts a SCARA-like structure with three degrees of freedom and provides assistance on the vertical (z) axis through a three-phase brushless DC (BLDC) motor [...] Read more.
This paper presents a bench-top occupational power-assist robot aimed at reducing biomechanical effort during repetitive material handling. The prototype adopts a SCARA-like structure with three degrees of freedom and provides assistance on the vertical (z) axis through a three-phase brushless DC (BLDC) motor driven in field-oriented control with inner-loop current regulation. The user interacts with the robot through a single handle-mounted load cell. The measured interaction force is converted, via a calibration-based mapping, into a motor current reference that enforces a prescribed force-sharing ratio. In this way, the drive’s embedded current loop acts as the low-level torque regulator, and the system can share gravitational and inertial loads without additional environment force sensing or explicit high-level impedance/admittance dynamics. A coupled electro-mechanical model is derived and used to select the assistance gain and to verify feasibility in simulation. A pilot experimental campaign with eight participants and two payloads (0.5 kg and 1.5 kg) was carried out on sinusoidal and random tracking tasks. With assistance enabled, the operator contribution was reduced to about 15% of the total load, and the mean bicep brachii EMG amplitude decreased by about 60%, while tracking accuracy was generally preserved and often improved. Full article
Show Figures

Figure 1

Back to TopTop