Sign in to use this feature.

Years

Between: -

Subjects

remove_circle_outline
remove_circle_outline
remove_circle_outline
remove_circle_outline
remove_circle_outline
remove_circle_outline
remove_circle_outline
remove_circle_outline
remove_circle_outline

Journals

remove_circle_outline
remove_circle_outline
remove_circle_outline
remove_circle_outline
remove_circle_outline
remove_circle_outline
remove_circle_outline
remove_circle_outline
remove_circle_outline
remove_circle_outline
remove_circle_outline

Article Types

Countries / Regions

remove_circle_outline
remove_circle_outline
remove_circle_outline
remove_circle_outline
remove_circle_outline
remove_circle_outline

Search Results (1,752)

Search Parameters:
Keywords = grain texture

Order results
Result details
Results per page
Select all
Export citation of selected articles as:
28 pages, 12746 KB  
Article
PSTNet: A Hyperspectral Image Classification Method Based on Adaptive Spectral–Spatial Tokens and Parallel Attention
by Shaokang Yu, Yong Mei, Xiangsuo Fan, Song Guo, Wujun Xu and Jinlong Fan
Remote Sens. 2026, 18(6), 901; https://doi.org/10.3390/rs18060901 (registering DOI) - 15 Mar 2026
Abstract
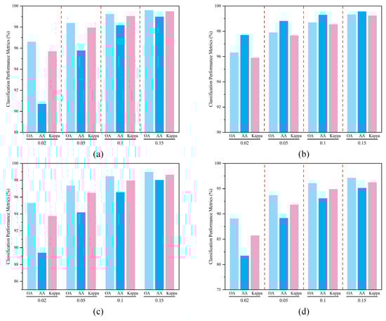
Hyperspectral image classification holds significant applications across multiple domains due to its rich spectral and spatial information. However, it faces challenges such as spectral variation within the same object, spectral variation across different objects, and noise interference. Existing methods like convolutional neural networks [...] Read more.
Hyperspectral image classification holds significant applications across multiple domains due to its rich spectral and spatial information. However, it faces challenges such as spectral variation within the same object, spectral variation across different objects, and noise interference. Existing methods like convolutional neural networks perform well in local feature extraction but inadequately model long-range dependencies. While Transformers can capture global relationships, they struggle to effectively coordinate spectral and spatial information modeling. To address these limitations, this paper proposes a dual-branch collaborative Transformer network (PST-Net). This architecture integrates an adaptive spectral–spatial token (ASST) module, a Parallel Attention-Augmented lightweight CNN branch (PA-SSCNN), and a collaborative fusion layer. The ASST constructs joint representation tokens through local spectral smoothing and learnable spatial embedding. PA-SSCNN employs 3D-2D cascaded convolutions and channel–spatial attention mechanisms to enhance local texture and spatial feature extraction; CHIB enables deep interaction and synergistic fusion of dual-branch features across different levels and scales. Experimental results demonstrate that with only 2% labeled samples, PST-Net achieves overall classification accuracies of 96.31%, 96.59%, 95.27%, and 89.06% on the Salinas and Whuhh, and the two complex urban scene datasets Qingyun and Houston. Especially in fine-grained categories and complex scenes, it exhibits strong robustness. The ablation experiment further validated the effectiveness and complementarity of each module. This study provides an efficient collaborative modeling framework for hyperspectral image classification that balances global dependencies and local details. Full article
Show Figures

Figure 1

28 pages, 21159 KB  
Article
Defect Evolution, Texture Modification, and T6 Response of LPBF AA7075 Reinforced with AlCoCrFeNi2.1 Eutectic HEA Particles
by Qiongqi Xu, Baljit Singh Bhathal Singh, Yi Zhang, Mohd Shahriman Adenan, Shengcong Zeng and Shixi Gan
Coatings 2026, 16(3), 370; https://doi.org/10.3390/coatings16030370 (registering DOI) - 15 Mar 2026
Abstract
Laser powder bed fusion (LPBF) of AA7075 is severely constrained by a narrow process window and susceptibility to defect formation (hot cracking and porosity), which often dominates performance. In this study, 5 wt.% AlCoCrFeNi2.1 high-entropy alloy (HEA) particles, volumetric energy density (VED [...] Read more.
Laser powder bed fusion (LPBF) of AA7075 is severely constrained by a narrow process window and susceptibility to defect formation (hot cracking and porosity), which often dominates performance. In this study, 5 wt.% AlCoCrFeNi2.1 high-entropy alloy (HEA) particles, volumetric energy density (VED = 74–222 J·mm−3), and subsequent T6 heat treatment were systematically investigated to reveal their combined effects on defect structure, crystallographic texture/substructure, and tensile behaviour. Quantitative EBSD shows a measurable grain refinement in the as-built state (average grain size 13.44 → 11.80 µm, ~12%) accompanied by a pronounced weakening of the <001> fibre texture (maximum MRD 4.94 → 2.38), indicating disrupted epitaxial growth and a more dispersed orientation distribution. After T6, the reinforced alloy retains a higher low-angle boundary fraction (31.62% vs. 24.17% in unreinforced AA7075) and a higher kernel average misorientation (0.80° vs. 0.60°), consistent with particle-stabilised substructure retention and retarded recovery. Across all VEDs, AA7075-HEA exhibits higher microhardness (compared with AA7075, the addition of HEA increases the hardness by roughly 20–50 HV) and tensile strength, with the intermediate VED (140.74 J·mm−3, T6 states) yielding the best performance. While macroscopic cracking is not fully eliminated, the results clarify that HEA-enabled texture/substructure modifications can contribute to enhanced defect tolerance and are more effectively translated into tensile performance when the as-built defect severity is controlled. These findings provide quantitative insights into defect–microstructure–property coupling in LPBF AA7075-HEA composites from as-built to T6 states. Full article
(This article belongs to the Special Issue Innovations, Applications and Advances of High-Entropy Alloy Coatings)
Show Figures

Figure 1

17 pages, 1708 KB  
Article
Robust Visual–Inertial SLAM and Biomass Assessment for AUVs in Marine Ranching
by Yangyang Wang, Ziyu Liu, Tianzhu Gao and Xijun Du
Symmetry 2026, 18(3), 495; https://doi.org/10.3390/sym18030495 - 13 Mar 2026
Abstract
Environmental perception is a cornerstone for autonomous underwater vehicles (AUVs) to achieve robust self-localization and scene understanding, which are pivotal for the intelligent management of marine ranching. However, underwater image degradation and weak-textured scenes significantly hinder reliable self-localization and fine-grained environmental perception. To [...] Read more.
Environmental perception is a cornerstone for autonomous underwater vehicles (AUVs) to achieve robust self-localization and scene understanding, which are pivotal for the intelligent management of marine ranching. However, underwater image degradation and weak-textured scenes significantly hinder reliable self-localization and fine-grained environmental perception. To address the perceptual asymmetry arising from these challenges, this paper proposes a robust visual–inertial simultaneous localization and mapping (SLAM) and biomass assessment scheme for marine ranching. Specifically, we first propose a robust tightly coupled underwater visual–inertial localization scheme, which leverages a multi-sensor fusion strategy to solve the image degradation problem of localization in complex underwater environments. Furthermore, we propose a novel underwater scene perception method, which enables the simultaneous visual reconstruction of aquaculture species and the quantitative mapping of their spatial distribution in marine ranching. Finally, we develop a low-cost, agile, and portable multisensor-integrated system that consolidates autonomous localization and aquaculture biomass assessment modules, with its performance validated through extensive real-world underwater experiments. The experimental results demonstrate that the proposed methods can effectively overcome the interference of complex underwater environments and provide high-precision perception support for both AUV state estimation and aquaculture asset management. Full article
(This article belongs to the Special Issue Symmetry in Next-Generation Intelligent Information Technologies)
Show Figures

Figure 1

14 pages, 17510 KB  
Article
Engineering Polymorphic Phase Boundary in Aerosol-Deposited Ba(ZrxTi1−x)O3 Thick Films for Large Transverse Piezoelectricity
by Jinlin Yang, Long Teng, Zhenwei Shen, Wenjia Zhang, Shuping Li, Hanfei Zhu, Hongbo Cheng and Yongguang Xiao
Nanomaterials 2026, 16(6), 352; https://doi.org/10.3390/nano16060352 - 13 Mar 2026
Viewed by 64
Abstract
Conventional deposition techniques hinder the integration of high-performance lead-free piezoelectric thick films on silicon substrates due to slow growth kinetics and complex processing. Herein, dense, crack–free Ba(ZrxTi1−x)O3 (BZT, x = 0–0.10) thick films (~2 μm) were fabricated [...] Read more.
Conventional deposition techniques hinder the integration of high-performance lead-free piezoelectric thick films on silicon substrates due to slow growth kinetics and complex processing. Herein, dense, crack–free Ba(ZrxTi1−x)O3 (BZT, x = 0–0.10) thick films (~2 μm) were fabricated via aerosol deposition (AD) followed by annealing, forming a nanocrystalline microstructure with an average grain size of ~78 nm. Compositional tuning showed optimal electromechanical performance at x = 0.03, attributed to the coexistence of tetragonal and orthorhombic phases near room temperature that reduce the phase transformation energy barrier. The optimized BZT films exhibit excellent electrical properties: saturation polarization of 31.3 μC/cm2, relative permittivity of 430, dielectric tunability figure of merit (FOM) of 155, and a large transverse piezoelectric coefficient |e31, f| of 1.01 C/m2—comparable to textured magnetron–sputtered BaTiO3 films but with higher deposition efficiency. This work provides a high-throughput route for fabricating piezoelectric thick films, highlighting the potential of compositionally engineered AD–processed BZT in lead-free MEMS applications. Full article
(This article belongs to the Special Issue Advances in Ferroelectric and Multiferroic Nanostructures)
Show Figures

Figure 1

29 pages, 6412 KB  
Article
Petrology and Phase Equilibria of Eclogites at Dongyuemiao, Western Dabie, and Implications for Fluid Activity in Continental Subduction Channel
by Haojie Li, Bin Xia and Ying Cui
Minerals 2026, 16(3), 298; https://doi.org/10.3390/min16030298 - 12 Mar 2026
Viewed by 150
Abstract
Eclogites exhumed from subduction channels are pivotal for deciphering the thermal structure of continental subduction zones. However, heterogeneities in bulk-rock composition and evolutionary history within the subduction channel can lead to variations in petrographic textures and elemental characteristics among eclogites. Therefore, investigating the [...] Read more.
Eclogites exhumed from subduction channels are pivotal for deciphering the thermal structure of continental subduction zones. However, heterogeneities in bulk-rock composition and evolutionary history within the subduction channel can lead to variations in petrographic textures and elemental characteristics among eclogites. Therefore, investigating the pressure–temperature (P-T) evolution of eclogites from different outcrops is crucial for refining dynamic models of convergent plate boundaries. The Western Dabie Mountain represents an ideal locality for studying the petro-thermodynamics of continental subduction channels. This study focuses on samples collected from the Dongyuemiao area, situated at the boundary between the high-pressure and ultrahigh-pressure metamorphic belts in the Western Dabie. We integrate petrographic observations, mineral chemistry, phase equilibrium modeling, Zr-in-rutile thermometry and hornblende-plagioclase thermobarometry to constrain the P-T evolution of the eclogite. The samples exhibit a consistent mineral assemblage: garnet + omphacite + amphibole + quartz + phengite, with accessory minerals including rutile and titanite. Garnet grains display characteristic “cloudy-core” and “atoll” textures. Major and trace element analyses of large garnet porphyroblasts reveal pronounced growth zoning in divalent cations, with cores showing enrichment in light rare earth elements (LREEs). Based on phase equilibrium modeling and calculated isopleths for garnet (Ca, Mg) and phengite (Si content), we interpret that the garnet core mineral assemblage (glaucophane + rutile + sphene) records a blueschist-facies metamorphic stage, situated near the rutile-titanite transition. A prograde P-T path is reconstructed, comprising an initial stage of isobaric heating (from ~480 °C at 20 kbar to ~550 °C at 21 kbar), followed by an isothermal compression to the Pmax stage (from ~550 °C at 21 kbar to ~575 °C at 26 kbar). Subsequent retrograde evolution is characterized by decompression and cooling, with symplectite formation recording conditions of ~570 °C and 13 kbar. This study demonstrates that the reconstructed P-T path for the Dongyuemiao eclogites shows stepped geothermal gradient for the prograde stage, and that fluid activity during exhumation resulted from a combination of internal and external factors. Full article
(This article belongs to the Section Mineral Geochemistry and Geochronology)
Show Figures

Figure 1

11 pages, 6530 KB  
Article
Effect of Finishing Temperature on Microstructure and Properties of Hot-Rolled Hole Expansion Steel 580HE
by Nai Wu, Lei Liu, Zifeng Guo, Xinlang Wu and Zhengzhi Zhao
Metals 2026, 16(3), 311; https://doi.org/10.3390/met16030311 - 11 Mar 2026
Viewed by 105
Abstract
The effects of different finishing rolling temperatures on the microstructure and mechanical properties of a 580HE hole expansion steel were systematically investigated using optical microscopy, scanning electron microscopy, electron backscatter diffraction, and transmission electron microscopy. The results show that the yield strength increases [...] Read more.
The effects of different finishing rolling temperatures on the microstructure and mechanical properties of a 580HE hole expansion steel were systematically investigated using optical microscopy, scanning electron microscopy, electron backscatter diffraction, and transmission electron microscopy. The results show that the yield strength increases with decreasing finishing rolling temperature, whereas the tensile strength and total elongation exhibit relatively small variations. Significant changes in phase fraction, grain size, spatial distribution, and NbC precipitation behavior are observed under different finishing rolling temperatures. The microstructure mainly consists of polygonal ferrite and granular bainite, while acicular ferrite is formed at higher finishing rolling temperatures. With decreasing finishing rolling temperature, the ferrite and bainite grains are markedly refined and become more uniformly distributed. Meanwhile, the ferrite fraction slightly increases, the crystallographic texture is weakened, and, more importantly, the number density of precipitates increases while their size is significantly reduced. The hole expansion ratio increases noticeably with decreasing finishing rolling temperature, which is mainly attributed to grain refinement, improved microstructural and strain homogeneity, and the selective strengthening effect of fine NbC precipitates. These factors effectively reduce stress concentration and hardness mismatch between soft and hard phases, thereby delaying crack initiation during hole expansion. Full article
(This article belongs to the Special Issue Recent Advances in High-Performance Steel (2nd Edition))
Show Figures

Figure 1

18 pages, 5333 KB  
Article
Microstructure and Mechanical Properties of 1080 Plain Carbon Steel Fabricated by Laser Powder Bed Fusion Under High-Density Printing Parameters
by Zechang Zou, Xudong Wu, Cuiyong Tang, Xueyong Chen and Ke Huang
Materials 2026, 19(6), 1055; https://doi.org/10.3390/ma19061055 - 10 Mar 2026
Viewed by 205
Abstract
For structural metallic materials, performance enhancement has traditionally relied on complex adjustments of chemical composition and heat treatment processes. However, these approaches are complex, costly, and lack sustainability. Metal additive manufacturing (AM) has unique cooling characteristics, providing it with a distinctive approach. In [...] Read more.
For structural metallic materials, performance enhancement has traditionally relied on complex adjustments of chemical composition and heat treatment processes. However, these approaches are complex, costly, and lack sustainability. Metal additive manufacturing (AM) has unique cooling characteristics, providing it with a distinctive approach. In this study, laser powder bed fusion (LPBF) technology was used to prepare high-performance 1080 carbon steel. The study selected three groups of process parameters (VED = 92.59 J/mm3) with high density (relative density > 98%) and achieved excellent mechanical properties: the ultimate tensile strength (UTS), yield strength (YS), and elongation (EL) reach 1745.4 MPa, 1455.13 MPa, and 6.77% respectively. The effects of process parameters on microstructure and mechanical properties were investigated. It is found all specimens exhibited a characteristic martensitic needle-like grain morphology without significant crystallographic texture. The microstructure displayed substantial changes as VED varied, with martensite content progressively decreasing with increasing VED. Correspondingly, as the VED increases from 92.59 J/mm3 to 225.69 J/mm3, the UTS, YS, and EL decrease by 39.0%, 36.1%, and 3.4%, respectively. This work demonstrates the feasibility of achieving high-performance metallic components by precisely controlling additive manufacturing process parameters to manipulate the microstructure of simple alloys, thereby eliminating the need for complex alloying or post-processing heat treatments. Full article
Show Figures

Figure 1

20 pages, 8212 KB  
Article
Study on the Static Recrystallization Behavior of Ti-2Al-2.5Zr Alloy Tubes
by Wenzhen Fan, Jun Wu, Qi Xu and Xuefei Huang
Crystals 2026, 16(3), 187; https://doi.org/10.3390/cryst16030187 - 10 Mar 2026
Viewed by 149
Abstract
This study systematically investigated the static recrystallization behavior and microstructural evolution of cold-rolled Ti-2Al-2.5Zr alloy tubes subjected to isothermal annealing at 650–800 °C. Electron backscatter diffraction (EBSD), optical microscopy, and microhardness testing were used to analyze recrystallization kinetics, grain size, grain boundary character, [...] Read more.
This study systematically investigated the static recrystallization behavior and microstructural evolution of cold-rolled Ti-2Al-2.5Zr alloy tubes subjected to isothermal annealing at 650–800 °C. Electron backscatter diffraction (EBSD), optical microscopy, and microhardness testing were used to analyze recrystallization kinetics, grain size, grain boundary character, texture evolution, and strain energy release under different annealing temperatures and times. The results show that with increasing annealing temperature, the recrystallization incubation time is significantly shortened and the recrystallization rate increases nonlinearly; the times required for full recrystallization at 650, 700, 750, and 800 °C are 480 min, 25 min, 20 min, and 15 min, respectively. Compared with the other annealing temperatures, annealing at 700 °C yields finer, more uniform equiaxed grains and lower texture intensity, while at higher temperatures, recrystallization and recovery proceed too rapidly, which is unfavorable for fine control of the microstructure. After completion of recrystallization, the alloy microhardness stabilizes at approximately 200 HV. Based on the Avrami kinetics model, the recrystallization activation energy of the Ti-2Al-2.5Zr alloy tubes was calculated to be approximately 303.9 kJ/mol, providing a theoretical basis for optimizing the annealing process. Full article
(This article belongs to the Section Crystalline Metals and Alloys)
Show Figures

Figure 1

17 pages, 4376 KB  
Article
Study of the Microstructure Characterization and In Situ Observation of Crack Propagation in TC4/Al3Ti Metal–Intermetallic Laminated Composites
by Yuzhong Miao, Yan Shi, Wenbo Wang, Xuefeng Ding and Shoubin Zhang
Materials 2026, 19(6), 1052; https://doi.org/10.3390/ma19061052 - 10 Mar 2026
Viewed by 130
Abstract
TC4/Al3Ti metal–intermetallic laminated (MIL) composites were fabricated by the vacuum hot-pressing process at 650 °C. The microstructure characteristics, i.e., grain boundary distribution, crystallographic orientation and Kernel Average Misorientation (KAM) map, were analyzed using EBSD. Meanwhile, the distribution of local strain and [...] Read more.
TC4/Al3Ti metal–intermetallic laminated (MIL) composites were fabricated by the vacuum hot-pressing process at 650 °C. The microstructure characteristics, i.e., grain boundary distribution, crystallographic orientation and Kernel Average Misorientation (KAM) map, were analyzed using EBSD. Meanwhile, the distribution of local strain and the fracture behavior of TC4/Al3Ti MIL composites during tensile process were determined by Digital Image Correlation (DIC) and in situ tensile experiments, respectively. Results show that the TC4/Al3Ti interfaces are well bonded and exhibit a distinct wavy morphology. The obvious Kirkendall pores and centerline are observed within the central region of the Al3Ti layer. The texture components of (10-10) <0001> and (11-20) <10-10> are predominant in the TC4 layers; (100) <001> and (110) <001> are observed in the Al3Ti layer. Additionally, the average geometrically necessary dislocation (GNDs) density is 2.53 × 1014 m−2 in the TC4 layer, whereas it is 1.74 × 1014 m−2 in the Al3Ti layer. In the tensile test, the fracture resistance of TC4/Al3Ti MIL composites is significantly improved by the plastic deformation of the TC4 layers and the suppression of crack-tip instability. It is found that the extrinsic toughening mechanisms contain crack deflection, crack blunting, crack bridging, multiple cracking modes, and the plastic deformation of ductile TC4 layers in TC4/Al3Ti MIL composites. The real-time observation technique may provide more complete insights into the relationship between fracture behavior and enhanced toughness. Full article
(This article belongs to the Special Issue Advances in Composites: Alloy and Laminate)
Show Figures

Graphical abstract

18 pages, 1208 KB  
Article
Comparative Analysis for Physicochemical and Pasting Characteristics of Advanced Non-Glutinous Rice Genotypes Under Irrigated Condition in Thailand
by Tipsuda Teanthong, Panuwat Praisomrong, Yaowapha Jirakiattikul and Bhornchai Harakotr
Crops 2026, 6(2), 31; https://doi.org/10.3390/crops6020031 - 10 Mar 2026
Viewed by 91
Abstract
Improving grain quality alongside yield remains a primary objective in rice breeding, especially under irrigated systems in Thailand, where consumer demand for soft-textured, premium table rice continues to grow. This study evaluated physicochemical and pasting characteristics of ten advanced non-glutinous rice genotypes compared [...] Read more.
Improving grain quality alongside yield remains a primary objective in rice breeding, especially under irrigated systems in Thailand, where consumer demand for soft-textured, premium table rice continues to grow. This study evaluated physicochemical and pasting characteristics of ten advanced non-glutinous rice genotypes compared with high- and low-amylose checks across three irrigated environments during off-season 2024. Combined ANOVA revealed highly significant genotype, environment, and genotype × environment interaction effects, with genotypes contributing up to 94.30% of total variation for key quality traits. Grain breadth and elongation rate were predominantly influenced by environmental conditions. Principal component analysis showed that PC1 and PC2 explained 72.86% of total variance, separating genotypes based on amylose-driven starch properties and paste stability. High-amylose genotypes exhibited low peak viscosity and high setback, whereas low-amylose genotypes showed greater swelling, higher breakdown, and softer pasting behavior. Selected genotypes exhibited distinct quality profiles; specifically, DS24-Inter-8 and DS24-Inter-10 combined low-to-intermediate amylose (15.09–19.73%) with high gel consistency (84.78–96.22 mm). Interestingly, DS24-Inter-4 maintained high gel consistency (97.78 mm) despite a higher amylose content (26.39%), indicating a unique soft-cooking profile for high-amylose types. In contrast, DS24-Inter-7 and DS24-Inter-9 showed typical firmer, high-amylose characteristics. These contrasting quality profiles indicate that the genotypes were suitable for different utilization purposes depending on the desired physicochemical and textural attributes. Therefore, the advanced genotypes demonstrated stable and diverse quality profiles under irrigated conditions, warranting further multi-location and multi-season evaluation. Full article
Show Figures

Figure 1

25 pages, 11567 KB  
Article
Microstructural Evolution and Mechanical Properties of LPBF Ti-6Al-4V with Different Process Parameters
by Yuxin Shuai, Jie Liu, Jing Zhu, Zhichao Huang, Wenhao Zha, Yi Yang, Ruifeng Zhang and Kai Zhang
Materials 2026, 19(6), 1049; https://doi.org/10.3390/ma19061049 - 10 Mar 2026
Viewed by 136
Abstract
Although processing windows have been widely reported for LPBF Ti-6Al-4V, the distinct roles of laser power, scanning speed, and hatch distance remain unclear beyond VED-based comparisons. In this work, the distinct effects of laser power, scanning speed, and hatch distance on the microstructural [...] Read more.
Although processing windows have been widely reported for LPBF Ti-6Al-4V, the distinct roles of laser power, scanning speed, and hatch distance remain unclear beyond VED-based comparisons. In this work, the distinct effects of laser power, scanning speed, and hatch distance on the microstructural evolution and mechanical response of laser powder bed fusion (LPBF) Ti-6Al-4V (Ti64) are investigated within a stable processing window with comparisons among different parameter combinations at a comparable VED. A total of 56 processing conditions were designed, and microstructure/texture and properties were characterized by OM/SEM, EBSD, microhardness (HV0.5), and hole-drilling residual stress measurements. Within the selected processing window, prior-β grain morphology, α’ martensite thickness, texture, microhardness, and residual stress exhibit distinct sensitivities to different processing parameters. Specifically, lower scanning speeds and smaller hatch distances promote more continuous <001>β epitaxial growth, whereas higher scanning speeds or larger hatch distances produce fragmented prior-β grains. The α’ lath thickness shows the strongest dependence on scanning speed with a secondary influence from hatch distance, while laser power mainly provides an overall thermal modulation. Furthermore, the macroscopic α (0002) texture is mainly governed by the β solidification texture, with α-variant selection playing a secondary, amplifying role. In addition, microhardness correlates with α’ martensite thickness following a Hall–Petch equation. The peak residual stress is more sensitive to scanning speed, while bulk residual stress varies more significantly with hatch distance. These findings demonstrate that process parameters, in addition to VED, can guide microstructural control and mechanical optimization in LPBF Ti64 alloy. Full article
Show Figures

Figure 1

23 pages, 21257 KB  
Article
Enhancing Gluten-Free Bread Quality with Whole-Grain Pearl Millet Flour: A Physicochemical and Sensory Approach
by Bárbara Amorim Silva, Jhony Willian Vargas-Solórzano, Marilia Penteado Stephan, Rosires Deliza, Inayara Beatriz Araujo Martins, Carlos Wanderlei Piler de Carvalho and José Luis Ramírez Ascheri
Foods 2026, 15(5), 926; https://doi.org/10.3390/foods15050926 - 6 Mar 2026
Viewed by 220
Abstract
(1) Background: Starch-based breads can closely mimic wheat bread in texture and appearance; however, their nutritional value must be improved while maintaining their inherent bread-like characteristics. The objective of this study was to incorporate whole-grain pearl millet flour (PMF) into a starch-based bread [...] Read more.
(1) Background: Starch-based breads can closely mimic wheat bread in texture and appearance; however, their nutritional value must be improved while maintaining their inherent bread-like characteristics. The objective of this study was to incorporate whole-grain pearl millet flour (PMF) into a starch-based bread formulation to enhance its dietary fiber and protein content. (2) Methods: The PMF was obtained using a combination of laboratory rollers and hammer mills, as well as appropriate sieves to obtain a particle size ≤ 250 µm. The incorporation of PMF affected the properties of the base flour (BF), dough, and gluten-free bread (GFB). (3) Results: In the BF, setback viscosity was significantly reduced from 6379 to 1354 mPa·s. Similarly, in the freshly kneaded dough, both the elastic and viscous moduli decreased, from 168.3 to 17.8 kPa and from 36.3 to 4.3 kPa, respectively. During fermentation, dough-specific volume increased from 0.76 to 1.73 cm3/g. In the GFB, the moisture content decreased from 47.9 to 42.2%, bread specific volume varied from 2.13 to 2.68 cm3/g, and crumb hardness increased from 12.8 to 25.3 N. PMF incorporation segmented bread consumers into two preference-based clusters, characterized by lower (1) and higher (2) PMF levels. (4) Conclusions: Incorporating 30% PMF increased the fiber and protein contents of the starch-based bread by 4.9% and 2.2%, respectively, without compromising specific volume (2.56 g/cm3) or overall acceptance, which remained comparable to that of a commercial gluten-free bread (7.30 and 6.32 for clusters (1) and (2), respectively). Full article
(This article belongs to the Section Food Engineering and Technology)
Show Figures

Figure 1

24 pages, 1883 KB  
Article
A Multi-Scale Vision–Sensor Collaborative Framework for Small-Target Insect Pest Management
by Chongyu Wang, Yicheng Chen, Shangshan Chen, Ranran Chen, Ziqi Xia, Ruoyu Hu and Yihong Song
Insects 2026, 17(3), 281; https://doi.org/10.3390/insects17030281 - 4 Mar 2026
Viewed by 290
Abstract
In complex agricultural production environments, small-target pests—characterized by tiny scales, strong background confusion, and close dependence on environmental conditions—pose major challenges to precise monitoring and green pest control. To facilitate the transition from experience-driven to data-driven pest management, a multi-scale vision–sensor collaborative recognition [...] Read more.
In complex agricultural production environments, small-target pests—characterized by tiny scales, strong background confusion, and close dependence on environmental conditions—pose major challenges to precise monitoring and green pest control. To facilitate the transition from experience-driven to data-driven pest management, a multi-scale vision–sensor collaborative recognition method is proposed for field and protected agriculture scenarios to improve the accuracy and stability of small-target pest recognition under complex conditions. The method jointly models multi-scale visual representations and pest ecological mechanisms: a multi-scale visual feature module enhances fine-grained texture and morphological cues of small targets in deep networks, alleviating feature sparsity and scale mismatch, while environmental sensor data, including temperature, humidity, and illumination, are introduced as priors to modulate visual features and explicitly incorporate ecological constraints into the discrimination process. Stable multimodal fusion and pest category prediction are then achieved through a vision–sensor collaborative discrimination module. Experiments on a multimodal dataset collected from real farmland and greenhouse environments in Linhe District, Bayannur City, Inner Mongolia, demonstrate that the proposed method achieves approximately 93.1% accuracy, 92.0% precision, 91.2% recall, and a 91.6% F1-score on the test set, significantly outperforming traditional machine learning approaches, single-scale deep learning models, and multi-scale vision baselines without environmental priors. Category-level evaluations show balanced performance across multiple small-target pests, including aphids, thrips, whiteflies, leafhoppers, spider mites, and leaf beetles, while ablation studies confirm the critical contributions of multi-scale visual modeling, environmental prior modulation, and vision–sensor collaborative discrimination. Full article
Show Figures

Figure 1

17 pages, 4059 KB  
Article
Improving Land Cover Classification Accuracy in Satellite Imagery Using Artistic Styles
by Taeyeon Won and Yang Dam Eo
Appl. Sci. 2026, 16(5), 2476; https://doi.org/10.3390/app16052476 - 4 Mar 2026
Viewed by 193
Abstract
This study addresses ambiguity in spatial extent and boundaries in satellite image classification to improve the accuracy of fine-grained object-based Level 2 land cover classification. Unlike conventional data augmentation, we propose a novel Style-Adaptive U-Net that incorporates the visual characteristics of landscape paintings [...] Read more.
This study addresses ambiguity in spatial extent and boundaries in satellite image classification to improve the accuracy of fine-grained object-based Level 2 land cover classification. Unlike conventional data augmentation, we propose a novel Style-Adaptive U-Net that incorporates the visual characteristics of landscape paintings into classification learning. Specifically, we developed a lightweight CNN-based Art Encoder coupled with an Enhanced Style Feature Fusion (ESFF) module to inject artistic features into the network’s feature representation. Based on visual features extracted from works by Egon Schiele, Van Gogh, Claude Monet, and Elyse Dodge, the model utilizes painting styles with distinct boundaries or strong textures to explicitly enhance the boundary recognition capability of objects. Experimental results demonstrate the efficiency and superiority of the proposed model. It achieves a peak Dice score of 0.7631, outperforming the baseline U-Net’s 0.6512, and maintains a manageable processing load with only a 19% increase in parameters. Our comparative analysis shows a distinct representational mechanism by demonstrating that styles with explicit structural features (Schiele, Dodge) improve boundary discrimination, whereas styles emphasizing blurred transitions (Monet) yield limited functional gain. This validates our premise that the network actively utilizes artistic features as functional structural guidance rather than mere aesthetic enhancements, offering an efficient paradigm for resolving geographic ambiguity. Full article
(This article belongs to the Special Issue Remote Sensing Image Processing and Application, 2nd Edition)
Show Figures

Figure 1

18 pages, 28855 KB  
Article
Mantle Heterogeneity at the Arc–Back-Arc Transition: Insights from Peridotites of the Southern Mariana Trench
by Kana Miyata, Katsuyoshi Michibayashi, Shigeki Uehara and Yasuhiko Ohara
Minerals 2026, 16(3), 274; https://doi.org/10.3390/min16030274 - 3 Mar 2026
Viewed by 423
Abstract
Peridotites exposed in the southern Mariana Trench provide a rare opportunity to investigate mantle processes operating at the interface between arc and back-arc tectonic domains. This study presents petrographic observations and major element mineral chemistry of 41 depleted mantle harzburgites collected from three [...] Read more.
Peridotites exposed in the southern Mariana Trench provide a rare opportunity to investigate mantle processes operating at the interface between arc and back-arc tectonic domains. This study presents petrographic observations and major element mineral chemistry of 41 depleted mantle harzburgites collected from three sites (Sites A–C) in the southern Mariana Trench. Site A is located on the east-facing slope of the West Santa Rosa Bank Fault, whereas Sites B and C are situated on the southern slope of the South Mariana Forearc Ridge along the eastern side of the Challenger Deep. The harzburgites exhibit variable microstructures ranging from coarse-grained (>1 mm) to medium-grained (<1 mm) to small-grained (>0.1 mm) textures, with or without porphyroclasts, and commonly contain amphibole associated with orthopyroxene and spinel. Olivine Mg# (Mg/[Mg + Fe]) (0.902–0.925) and spinel Cr# (Cr/[Cr + Al]) (0.304–0.720) indicate a wide range of mantle depletion across the three sites. Based on the integrated chemical characteristics of olivine, spinel, and amphibole, the harzburgites are classified into three distinct compositional trends (Trends 1–3). Trend 1 is characterized by high olivine Mg# (~0.925), high spinel Cr# (>0.6), low TiO2 contents (<0.1 wt%), and K2O-enriched but TiO2-poor amphibole (TiO2/K2O < ~0.5), consistent with strongly depleted forearc mantle modified by slab-derived hydrous melts or fluids. In contrast, Trend 2 is defined by relatively high olivine Mg# (>~0.91), lower spinel Cr# (<0.6), slightly higher TiO2 contents (up to ~0.2 wt%), and amphibole moderately enriched in both K2O and TiO2 (TiO2/K2O = 1–4), recording an intermediate geochemical signature that cannot be uniquely attributed to a purely forearc origin. Trend 3 is characterized by lower olivine Mg# (~0.90), lower spinel Cr# (<0.6), distinctly higher TiO2 contents (up to ~0.8 wt%), and TiO2-rich but K2O-poor amphibole (TiO2/K2O > 4), indicating a back-arc mantle origin related to decompression melting. Trends 1 and 2 occur in harzburgites from Sites B and C of the South Mariana Forearc Ridge, whereas Trend 3 is exclusively identified in harzburgites from Site A of the West Santa Rosa Bank Fault, highlighting the juxtaposition of forearc-type, transitional, and back-arc-type mantle domains within a single forearc region. Full article
Show Figures

Figure 1

Back to TopTop