Sign in to use this feature.

Years

Between: -

Subjects

remove_circle_outline
remove_circle_outline
remove_circle_outline
remove_circle_outline
remove_circle_outline
remove_circle_outline
remove_circle_outline
remove_circle_outline
remove_circle_outline

Journals

Article Types

Countries / Regions

Search Results (173)

Search Parameters:
Keywords = geodesic space

Order results
Result details
Results per page
Select all
Export citation of selected articles as:
29 pages, 2617 KB  
Article
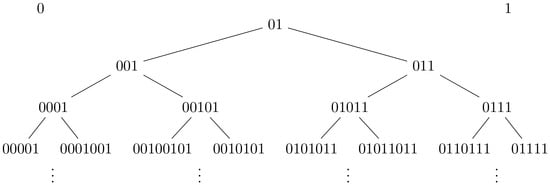
Words and Numbers: A Dynamical Systems Perspective
by Stefano Isola and Francesco Marchionni
Axioms 2026, 15(4), 298; https://doi.org/10.3390/axioms15040298 - 19 Apr 2026
Viewed by 90
Abstract
Along with some known and less known results, we discuss new insights relating combinatorics of words and the ordering of rationals from a dynamical systems point of view, somehow continuing along the path started in previous works of the first author. We obtain [...] Read more.
Along with some known and less known results, we discuss new insights relating combinatorics of words and the ordering of rationals from a dynamical systems point of view, somehow continuing along the path started in previous works of the first author. We obtain in particular a set of results that structure and enrich the correspondence between the Stern–Brocot (SB) ordering of rational numbers and the corresponding ordering of Farey–Christoffel (FC) words; a class of words that, since their appearance in the literature at the end of the 18th century, have revealed numerous relationships with other fields of mathematics. Among the results obtained here is the construction of substitution rules that act on the FC words in a parallel way to the maps on the positive reals that generate the permuted SB tree both vertically and horizontally. We further show that these rules naturally induce a map of the space of (infinite) Sturmian sequences into itself. Finally, a complete correspondence is obtained between the vertical and horizontal motions on the SB tree and the geodesic motions along scattering geodesics and the horocyclic motion along Ford circles in the upper half-plane, respectively. Full article
Show Figures

Figure 1

10 pages, 245 KB  
Article
A Common Fixed Point Theorem for Vicinal Mappings on Geodesic Spaces
by Takuto Kajimura and Yasunori Kimura
Axioms 2026, 15(4), 276; https://doi.org/10.3390/axioms15040276 - 10 Apr 2026
Viewed by 220
Abstract
In 2024, Kimura proposed the modified shrinking method without assuming the existence of a common fixed point for a family of nonexpansive mappings defined on a complete geodesic space with a nonpositive upper curvature bound. In this paper, we discuss this method for [...] Read more.
In 2024, Kimura proposed the modified shrinking method without assuming the existence of a common fixed point for a family of nonexpansive mappings defined on a complete geodesic space with a nonpositive upper curvature bound. In this paper, we discuss this method for vicinal mappings in an admissible complete geodesic space whose upper curvature bound is an arbitrary real number. Moreover, we investigate the convex minimization problem by using the main result and a resolvent for convex functions. Full article
(This article belongs to the Special Issue Numerical Analysis and Applied Mathematics, 2nd Edition)
39 pages, 468 KB  
Article
4+1 Gravitation in the SHP Formalism
by Martin Land
Entropy 2026, 28(4), 417; https://doi.org/10.3390/e28040417 - 8 Apr 2026
Viewed by 209
Abstract
The Stueckelberg–Horwitz–Piron (SHP) formalism describes particles and fields traced out as spacetime events functionally dependent on an external evolution parameter τ. This approach addresses a number of difficulties associated with the problem of time. In SHP general relativity, the state of the [...] Read more.
The Stueckelberg–Horwitz–Piron (SHP) formalism describes particles and fields traced out as spacetime events functionally dependent on an external evolution parameter τ. This approach addresses a number of difficulties associated with the problem of time. In SHP general relativity, the state of the unconstrained phase space variables {xμ(τ),pν(τ)} specifies a 4D block spacetime M(τ) that evolves to an infinitesimally close 4D block spacetime M(τ+δτ) under a scalar Hamiltonian. As the configuration of matter and energy evolves with τ it induces changes in the spacetime metric γμν(x,τ), leading to τ-dependent geodesic equations for the phase space variables. The 4+1 approach in gravitation generalizes the 3+1 formalism of Arnowitt, Deser, and Misner (ADM) to construct τ-dependent Einstein field equations, a canonical Hamiltonian formalism, and an initial value problem for γμν(x,τ). To conform to known gravitational phenomenology, we must respect the 5D symmetries associated with the free fields—the geometrical constructs relevant to M(τ) as an embedded hypersurface—and the O(3,1) symmetries of 4D matter. The 4+1 formalism has been discussed in a series of publications. The goal of this paper is to provide a systematic review of the subject, make a few corrections and some significant additions, and present the theory in a concise and orderly fashion. Full article
(This article belongs to the Special Issue Hamiltonian Dynamics in Fundamental Physics)
15 pages, 311 KB  
Review
Some Remarks on Fourth-Order Tensor Fields on Space-Times
by Graham Hall
Mathematics 2026, 14(8), 1238; https://doi.org/10.3390/math14081238 - 8 Apr 2026
Viewed by 205
Abstract
This paper is a contribution to Einstein’s general relativity theory and is mostly a review of known work. It concentrates attention on four fourth-order tensors which arise on the space-time manifold describing this theory and which are very useful. These are the (Riemann) [...] Read more.
This paper is a contribution to Einstein’s general relativity theory and is mostly a review of known work. It concentrates attention on four fourth-order tensors which arise on the space-time manifold describing this theory and which are very useful. These are the (Riemann) curvature tensor, the Weyl conformal tensor, the “E” tensor and the Weyl projective tensor. The first of these, the curvature tensor, plays an important role in the formulation and interpretation of Einstein’s theory. Next, the Weyl conformal tensor is introduced and its conformal properties described and with it, the Petrov classification of gravitational fields which arises from this tensor. This, in turn, gives rise to the Bel criteria for distinguishing Petrov types at a point by an alignment of certain null directions at that point. The third of these tensors, the “E” tensor, is an important tensor in calculations due to its close connection to the Ricci tensor. The fourth tensor, the Weyl projective tensor, is then described together with its properties relating to the geodesic structure of space-time. As examples of the combined usefulness of these tensors, pp-waves and generalised pp-waves are discussed and related, and a review of the geodesic structure of vacuum metrics is given. Full article
(This article belongs to the Section B: Geometry and Topology)
9 pages, 2837 KB  
Article
Projective Symmetry and Coherence Regimes in the Eady Model of Baroclinic Instability
by Dragos-Ioan Rusu, Diana-Corina Bostan, Adrian Timofte, Vlad Ghizdovat, Alexandra-Iuliana Ungureanu, Maricel Agop and Decebal Vasincu
Atmosphere 2026, 17(4), 376; https://doi.org/10.3390/atmos17040376 - 7 Apr 2026
Viewed by 253
Abstract
Baroclinic instability is a fundamental mechanism of midlatitude atmospheric variability, and the Eady model remains one of its most useful idealized representations. In this work, we revisit the Eady configuration from the viewpoint of solution-space geometry rather than the classical normal-mode/growth-rate analysis. Starting [...] Read more.
Baroclinic instability is a fundamental mechanism of midlatitude atmospheric variability, and the Eady model remains one of its most useful idealized representations. In this work, we revisit the Eady configuration from the viewpoint of solution-space geometry rather than the classical normal-mode/growth-rate analysis. Starting from the reduced Eady vertical-structure equation, we show that the ratio of two independent solutions satisfies a Schwarzian-type relation that is invariant under homographic transformations, which naturally leads to an SL(2R) projective symmetry of the solution family. On this basis, we introduce a complex amplitude representation and reformulate coherence in terms of phase–amplitude synchronization constrained by projective invariants. Using Riccati-type constructions along geodesic parametrizations, the reduced dynamics are connected to a Stoler-type transform. Numerical exploration of the reduced model shows a systematic dependence on the control parameter ω: small ω is associated with simple oscillatory or burst-like behavior, intermediate ω with period-doubling-like behavior, and large ω with strongly modulated dynamics and more intricate reconstructed attractors. These results should be interpreted as properties of the reduced symmetry-based model, and they suggest that projective invariants may provide a useful framework for classifying organization regimes in Eady-type disturbances, complementary to classical growth-rate analyses. Full article
(This article belongs to the Section Atmospheric Techniques, Instruments, and Modeling)
Show Figures

Figure 1

21 pages, 1570 KB  
Article
Random Drift Particle Swarm Optimization Algorithm Based on Riemannian Manifolds
by Yeerjiang Halimu, Min Shan, Chao Zhou and Jun Sun
Mathematics 2026, 14(7), 1157; https://doi.org/10.3390/math14071157 - 30 Mar 2026
Viewed by 329
Abstract
In this paper, we propose the Manifold Random Drift Particle Swarm Optimization (MRDPSO) algorithm for matrix optimization on smooth manifolds. Conventional swarm intelligence methods generally converge prematurely in constrained domains. To mitigate this issue, we introduce the swarm intelligence methods to the manifold [...] Read more.
In this paper, we propose the Manifold Random Drift Particle Swarm Optimization (MRDPSO) algorithm for matrix optimization on smooth manifolds. Conventional swarm intelligence methods generally converge prematurely in constrained domains. To mitigate this issue, we introduce the swarm intelligence methods to the manifold and a Random Drift mechanism that regulates the search process. Using Riemannian geometry, our framework treats constrained problems as unconstrained ones on the manifold, which preserves the intrinsic geometric structure of the data. Particles are initialized on the manifold, while updates are performed in tangent spaces. Since geodesic calculations are computationally expensive, we use an inverse retraction as a faster alternative to standard logarithmic mapping. Numerical experiments on Grassmann, Stiefel, and Oblique manifolds show that MRDPSO achieves higher accuracy and superior convergence stability compared to recent state-of-the-art manifold-adapted heuristics, namely IISSO and MSSO. Full article
Show Figures

Figure 1

28 pages, 394 KB  
Article
A Geometry of Hamiltonian Mechanics
by Gil Elgressy and Lawrence Horwitz
Entropy 2026, 28(4), 379; https://doi.org/10.3390/e28040379 - 27 Mar 2026
Viewed by 365
Abstract
We develop a local, patchwise geometric framework that embeds a broad class of potential Hamiltonian dynamical systems into a family of Riemannian Hamilton patches built over an underlying Gutzwiller manifold. We adopt a conformal (Jacobi) ansatz and a frame-adapted reconstruction procedure, through which [...] Read more.
We develop a local, patchwise geometric framework that embeds a broad class of potential Hamiltonian dynamical systems into a family of Riemannian Hamilton patches built over an underlying Gutzwiller manifold. We adopt a conformal (Jacobi) ansatz and a frame-adapted reconstruction procedure, through which we construct, on each patch, a pulled-back metric, along with a reduced (truncated) connection (not a metric-compatible connection) and a corresponding dynamical curvature tensor governing geodesic deviation in the Hamilton coordinates. Then, using the Poisson–Hodge reconstruction, we reconstruct coordinate potentials, enforcing harmonic obstructions, and along with exactness and Jacobian nondegeneracy conditions, we obtain explicit elliptic bounds that control the connection and curvature residuals. On the basis of this construction, we formalize the notion of a Hamilton manifold such that reparametrized geodesics approximate Newton trajectories with controlled acceleration and tolerances. As a generalized structural framework, to promote the local Jacobi reconstructions to a coherent dynamical evolution and provide a dynamical closure, we introduce a patchwise hyperbolic geometric flow for the pullback metric coupled to a kinetic (Vlasov) closure that controls reconstruction and curvature residuals. Under natural regularity, ellipticity, and overlap-tolerance assumptions, together with precise estimates that control the reconstruction and curvature errors, we establish short-time well-posedness of the coupled Vlasov–hyperbolic geometric flow that defines the patchwise Hamilton manifold. Motivated by this construction of the Hamilton manifold with atlas-dependent time, we propose convergence and stability conjectures for dissipative and conservative (non-dissipative) hyperbolic geometric flows. On a single patch, these conjectures characterize local orbital stability (in the sense of coercivity modulo symmetry) and identify local linear instability when unstable linear modes are present. On a finite atlas (the Hamilton manifold with atlas-dependent time), we state conjectures under which local stability propagates to global stability, provided that overlap residuals remain uniformly sufficiently small. The framework identifies the geometric origin of local instability diagnostics used in Hamiltonian mechanics and outlines a practical strategy for verifying stability or instability, numerically or analytically, on finite coverings of configuration space (the Hamilton manifold). Full article
(This article belongs to the Special Issue Hamiltonian Dynamics in Fundamental Physics)
18 pages, 362 KB  
Article
Geodesic Dynamics for Constrained State-Space Models on Riemannian Manifolds
by Tianyu Wang, Xinghua Xu, Shaohua Qiu and Changchong Sheng
Mathematics 2026, 14(6), 1037; https://doi.org/10.3390/math14061037 - 19 Mar 2026
Viewed by 274
Abstract
We present a geodesic dynamics framework for discrete-time state evolution on the unit sphere SN1 that maintains exact unit-norm constraints through Riemannian exponential mapping. Given an input sequence and an initial state, the method constructs trajectories by projecting inputs to [...] Read more.
We present a geodesic dynamics framework for discrete-time state evolution on the unit sphere SN1 that maintains exact unit-norm constraints through Riemannian exponential mapping. Given an input sequence and an initial state, the method constructs trajectories by projecting inputs to tangent spaces and updating states along geodesics, incorporating temporal memory via approximate parallel transport of velocity directions. Unlike traditional approaches requiring post hoc normalization of linear updates, the geodesic formulation preserves xt=1 to machine precision while eliminating explicit N×N transition matrices in favor of D×N input embeddings when the intrinsic input dimension D is much smaller than the ambient dimension N. The update corresponds to a first-order exponential integrator on the sphere. We establish local Lipschitz continuity of the exponential map on positively curved manifolds with careful treatment of basepoint dependence, derive perturbation bounds showing linear-to-exponential growth transitions via Grönwall-type estimates, and we prove third-order asymptotic equivalence with normalized linear systems under appropriate scaling. Numerical experiments on synthetic data validate exact norm preservation over extended time horizons, confirm theoretical perturbation growth predictions, and demonstrate the effectiveness of the temporal memory mechanism in reducing long-horizon prediction errors. The framework provides a principled geometric approach for applications requiring exact directional or compositional constraints. Full article
22 pages, 448 KB  
Article
Information-Geometric Models in Data Analysis and Physics II
by D. Bernal-Casas and José M. Oller
Mathematics 2026, 14(5), 785; https://doi.org/10.3390/math14050785 - 26 Feb 2026
Viewed by 403
Abstract
This paper continues the development of information-geometric models for data analysis and physics by focusing on their formulation and interpretation through variational principles. Building on the geometric framework introduced previously, we investigate how fundamental variational structures—such as information-theoretic functionals—naturally encode the laws of [...] Read more.
This paper continues the development of information-geometric models for data analysis and physics by focusing on their formulation and interpretation through variational principles. Building on the geometric framework introduced previously, we investigate how fundamental variational structures—such as information-theoretic functionals—naturally encode the laws of nature. In the first manuscript, we showed that a wide class of physical problems can be expressed as constrained variational problems on spaces of probability distributions, leading to geodesic flows, gradient dynamics, and generalized Hamiltonian formulations on statistical manifolds. In this second part, we extend the variational formalism by utilizing an extended metric, clarifying the geometric origin of the dynamical equations commonly used in modern physics and providing a coherent interpretation of physical laws in terms of information optimization. By emphasizing variational foundations, this paper strengthens the conceptual and mathematical links between information geometry, data analysis, and physics, and it provides a flexible framework for extending geometric methods to complex, high-dimensional, and dynamical systems. Full article
Show Figures

Figure 1

34 pages, 476 KB  
Article
Discrete Quantization on Spherical Geometries: Explicit Models, Computations, and Didactic Exposition
by Mrinal Kanti Roychowdhury
Mathematics 2026, 14(5), 750; https://doi.org/10.3390/math14050750 - 24 Feb 2026
Viewed by 357
Abstract
This article presents a comprehensive and analytically explicit study of optimal discrete quantization on spherical geometries equipped with the geodesic metric. Focusing on highly symmetric configurations on the unit sphere S2, we investigate three explicit models of discrete uniform distributions and [...] Read more.
This article presents a comprehensive and analytically explicit study of optimal discrete quantization on spherical geometries equipped with the geodesic metric. Focusing on highly symmetric configurations on the unit sphere S2, we investigate three explicit models of discrete uniform distributions and derive closed-form expressions for their optimal quantizers and corresponding mean square quantization errors. (I) For N equally spaced points on the equator, we obtain exact error formulas for both divisible and non-divisible cases nN, demonstrating that optimal Voronoi cells form contiguous arcs with midpoint representatives. (II) For two antipodally symmetric small circles at latitudes ±ϕ0, each with M longitudes, we prove a no-cross-circle Voronoi phenomenon, establish symmetry-preserving optimality, and derive finite-sum error formulas together with sharp curvature-dependent bounds and asymptotics. (III) For a single small circle at latitude ϕ0, we obtain analogous exact error formulas and show that curvature reduces distortion by a factor of cos2ϕ0, while preserving the n2 decay rate. Across all models, we rigorously establish the “block midpoint principle”: optimal Voronoi cells on a circle are contiguous azimuthal blocks, and their optimal representatives are the corresponding azimuthal midpoints. Numerical tables and illustrative figures highlight curvature effects and compare divisible and non-divisible cases. An algorithmic appendix provides pseudocode and a small, commented Python implementation to facilitate reproducibility. Written with didactic clarity while maintaining full mathematical rigor, this work bridges geometric intuition and analytic precision, providing explicit benchmark models that illuminate curvature effects and support further developments in quantization on curved manifolds. Full article
Show Figures

Figure 1

30 pages, 1138 KB  
Article
An Axiomatic Relational–Informational Framework for Emergent Geometry and Effective Spacetime
by Călin Gheorghe Buzea, Florin Nedeff, Diana Mirilă, Valentin Nedeff, Oana Rusu, Maricel Agop and Decebal Vasincu
Axioms 2026, 15(2), 154; https://doi.org/10.3390/axioms15020154 - 20 Feb 2026
Viewed by 889
Abstract
This work is axiomatic and structural in nature and is not intended as a phenomenological physical theory, but as a framework clarifying minimal informational primitives from which geometric and dynamical descriptions may emerge. We present a background-independent framework in which physical geometry, interaction-like [...] Read more.
This work is axiomatic and structural in nature and is not intended as a phenomenological physical theory, but as a framework clarifying minimal informational primitives from which geometric and dynamical descriptions may emerge. We present a background-independent framework in which physical geometry, interaction-like forces, and spacetime arise as effective descriptions of constrained relational information rather than as fundamental entities. The only primitive structure is a network of degrees of freedom linked by admissible informational relations, each subject to quantifiable constraints on accessibility or flow. The motivation is to identify whether a single minimal relational primitive can account jointly for the emergence of geometry, forces, and spacetime, without presupposing a manifold, fields, or fundamental interactions. The framework is formalized using weighted relational graphs in which constraint weights encode limitations on information flow between degrees of freedom. Effective geometry is defined operationally through minimal constraint cost along relational paths, yielding an emergent metric without assuming spatial embedding. Relational evolution is modeled via a minimal configuration-space dynamics defined by local rewrite moves, and a statistical description is introduced through an informational action that governs coarse-grained response rather than serving as a fundamental dynamical law. Curvature-like observables are defined using transport-based comparisons of local accessibility structure. Within this setting, metric structure emerges from constrained relational accessibility, while curvature-like behavior arises from heterogeneity in constraint structure. Effective forces appear as entropic or informational action gradients with respect to coarse-grained control parameters that modulate relational constraints, and are interpreted as emergent responses rather than primitive interactions. A finite worked example explicitly demonstrates the emergence of nontrivial distance, curvature proxies, and an effective force via geodesic switching under constraint variation, without assuming fundamental spacetime, fields, or particles. The results support an interpretation in which geometry, forces, and spacetime are representational features of constrained information flow rather than fundamental elements of physical law. The framework clarifies conceptual distinctions and points of compatibility with existing approaches to emergent spacetime, and it outlines qualitative expectations for regimes in which smooth geometric descriptions are expected to break down. The work delineates the scope and limits of geometric description without proposing a complete phenomenological theory. Full article
Show Figures

Figure 1

20 pages, 306 KB  
Article
Intrinsic and Extrinsic Geometry of Pseudoparallel Submanifolds in Almost Kenmotsu (κ, μ, ν)-Manifolds
by Ibrahim Al-Dayel, Tuğba Mert and Mohd Danish Siddiqi
Axioms 2026, 15(2), 146; https://doi.org/10.3390/axioms15020146 - 16 Feb 2026
Viewed by 515
Abstract
In this paper, we undertake a detailed study of pseudoparallel submanifolds of almost Kenmotsu (κ,μ,ν)-spaces, with particular emphasis on invariant submanifolds. By employing the W0 and W1 curvature tensors, we analyze several classes of [...] Read more.
In this paper, we undertake a detailed study of pseudoparallel submanifolds of almost Kenmotsu (κ,μ,ν)-spaces, with particular emphasis on invariant submanifolds. By employing the W0 and W1 curvature tensors, we analyze several classes of pseudoparallel submanifolds, including Ricci-generalized pseudoparallel ones, and investigate how these curvature conditions influence the intrinsic and extrinsic geometry of the submanifolds. One of the main contributions of this work is the derivation of necessary and sufficient conditions under which invariant pseudoparallel submanifolds of almost Kenmotsu (κ,μ,ν)-spaces become totally geodesic. In particular, the use of the W0 and W1 curvature tensors provides a unified and effective framework for characterizing total geodesicity in this geometric setting. Furthermore, we obtain new and significant classification results by explicitly relating the total geodesicity of invariant submanifolds to the structural functions κ, μ and ν. These results not only generalize several known characterizations in the literature but also yield novel geometric insights into the structure of pseudoparallel submanifolds in almost Kenmotsu (κ,μ,ν)-spaces. We also provide an example to support our concept. Full article
(This article belongs to the Special Issue Trends in Differential Geometry and Algebraic Topology, 2nd Edition)
17 pages, 1683 KB  
Article
Complex Fluids in a Multifractal Space: Scale Covariance and the Emergence of the Fractal Force
by Dragos-Ioan Rusu, Vlad Ghizdovat, Lacramioara Ochiuz, Oana Rusu, Iuliana Oprea, Lucian Dobreci, Maricel Agop and Decebal Vasincu
Entropy 2026, 28(2), 189; https://doi.org/10.3390/e28020189 - 9 Feb 2026
Viewed by 428
Abstract
Complex systems—ranging from biological organisms to turbulent fluids—exhibit multiscale heterogeneity and intermittency that traditional, differentiable calculus fails to adequately capture. Therefore, we propose a mathematical framework for analyzing complex system dynamics by assimilating the trajectories of structural units to continuous but non-differentiable multifractal [...] Read more.
Complex systems—ranging from biological organisms to turbulent fluids—exhibit multiscale heterogeneity and intermittency that traditional, differentiable calculus fails to adequately capture. Therefore, we propose a mathematical framework for analyzing complex system dynamics by assimilating the trajectories of structural units to continuous but non-differentiable multifractal curves. Utilizing the scale covariance principle, the authors recast the conservation of momentum as a geodesic equation within a multifractal space. This approach naturally separates the complex velocity field into differentiable and non-differentiable scale resolutions, where the balance of multifractal acceleration, convection, and dissipation is parametrized by a singularity spectrum f(α). We also discuss broad interdisciplinary implications, because, in our opinion, non-differentiability can enhance predictive capabilities in various fields such as oncology, pharmacology, and geophysics. Full article
(This article belongs to the Section Complexity)
Show Figures

Figure 1

32 pages, 16482 KB  
Article
LF-SSM: Lightweight HiPPO-Free State Space Model for Real-Time UAV Tracking
by Tianyu Wang, Xinghua Xu, Shaohua Qiu, Changchong Sheng, Di Wang, Hui Tian and Jiawei Yu
Drones 2026, 10(2), 102; https://doi.org/10.3390/drones10020102 - 31 Jan 2026
Viewed by 678
Abstract
Visual object tracking from unmanned aerial vehicles (UAVs) demands both high accuracy and computational efficiency for real-time deployment on resource-constrained platforms. While state space models (SSMs) offer linear computational complexity, existing methods face critical deployment challenges. They rely on the HiPPO framework with [...] Read more.
Visual object tracking from unmanned aerial vehicles (UAVs) demands both high accuracy and computational efficiency for real-time deployment on resource-constrained platforms. While state space models (SSMs) offer linear computational complexity, existing methods face critical deployment challenges. They rely on the HiPPO framework with complex discretization procedures and employ hardware-aware algorithms optimized for high-performance GPUs, which introduce deployment overhead and are difficult to transfer to edge platforms. Additionally, their fixed polynomial bases may cause information loss for tracking features with complex geometric structures. We propose LF-SSM, a lightweight HiPPO (High-order Polynomial Projection Operators)-free state space model that reformulates state evolution on Riemannian manifolds. The core contribution is the Geodesic State Module (GSM), which performs state updates through tangent space projection and exponential mapping on the unit sphere. This design eliminates complex discretization and specialized hardware kernels while providing adaptive local coordinate systems. Extensive experiments on UAV benchmarks demonstrate that LF-SSM achieves state-of-the-art performance while running at 69 frames per second (FPS) with only 18.5 M parameters, demonstrating superior efficiency for real-time edge deployment. Full article
(This article belongs to the Section Artificial Intelligence in Drones (AID))
Show Figures

Figure 1

16 pages, 298 KB  
Article
Geometric Inequalities for Skew CR-Warped Product Submanifolds in Locally Conformal Almost Cosymplectic Manifolds
by Ali H. Alkhaldi, Fatemah Mofarreh, Huda M. Alshanbari and Akram Ali
Mathematics 2026, 14(3), 412; https://doi.org/10.3390/math14030412 - 25 Jan 2026
Viewed by 262
Abstract
In this paper, we investigate contact skew CR-warped product submanifolds of locally conformal almost cosymplectic manifolds, a framework that simultaneously generalizes warped product pseudo-slant, semi-slant, and contact CR-submanifolds. We first establish a necessary and sufficient characterization theorem showing that a proper contact skew [...] Read more.
In this paper, we investigate contact skew CR-warped product submanifolds of locally conformal almost cosymplectic manifolds, a framework that simultaneously generalizes warped product pseudo-slant, semi-slant, and contact CR-submanifolds. We first establish a necessary and sufficient characterization theorem showing that a proper contact skew CR-submanifold with integrable slant distribution admits a local warped product structure if and only if certain shape operator conditions involving the slant angle and the warping function are satisfied. Subsequently, we derive sharp geometric inequalities for the squared norm of the second fundamental form in terms of the warping function, the slant angle, and the conformal factor of the ambient manifold. The equality cases are completely characterized and lead to strong rigidity results, namely that the base manifold is totally geodesic while the slant fiber is totally umbilical in the ambient space. Several applications are presented, showing that our results recover and extend a number of known inequalities and classification theorems for warped product submanifolds in cosymplectic, Kenmotsu, and Sasakian geometries as special cases. Full article
(This article belongs to the Special Issue Submanifolds in Metric Manifolds, 2nd Edition)
Back to TopTop