Sign in to use this feature.

Years

Between: -

Subjects

remove_circle_outline
remove_circle_outline
remove_circle_outline
remove_circle_outline
remove_circle_outline

Journals

Article Types

Countries / Regions

Search Results (26)

Search Parameters:
Keywords = generalized likelihood ratio test (GLRT) detector

Order results
Result details
Results per page
Select all
Export citation of selected articles as:
28 pages, 1078 KB  
Article
Performance Analysis of OCDM in ISAC Scenario
by Pengfei Xu, Mao Li, Tao Zhan, Fengkui Gong, Yue Xiao and Xia Lei
Sensors 2025, 25(17), 5481; https://doi.org/10.3390/s25175481 - 3 Sep 2025
Viewed by 732
Abstract
The rapid evolution of communication systems, exemplified by the Internet of Things (IoT), demands increasingly stringent reliability in both communication and sensing. While Orthogonal Frequency Division Multiplexing (OFDM) struggles to meet the challenges posed by complex scenarios, Orthogonal Chirp Division Multiplexing (OCDM) has [...] Read more.
The rapid evolution of communication systems, exemplified by the Internet of Things (IoT), demands increasingly stringent reliability in both communication and sensing. While Orthogonal Frequency Division Multiplexing (OFDM) struggles to meet the challenges posed by complex scenarios, Orthogonal Chirp Division Multiplexing (OCDM) has gained attention for its robustness and spectral efficiency in Integrated Sensing and Communication (ISAC) systems. However, its sensing mechanism remains insufficiently explored. This paper presents a theoretical analysis of the communication and sensing performance of OCDM waveforms within the ISAC framework. Specifically, a closed-form BER expression under equalization is derived, alongside the ambiguity function and detection performance evaluation under matched filter (MF) and Generalized Likelihood Ratio Test (GLRT) detectors with a constant false alarm rate (CFAR) criterion. Simulation results demonstrate that OCDM offers comparable sensing performance to OFDM while achieving superior communication robustness in complex environments. Full article
(This article belongs to the Special Issue Feature Papers in Communications Section 2025)
Show Figures

Figure 1

26 pages, 12288 KB  
Article
Bayesian Distributed Target Detectors in Compound-Gaussian Clutter Against Subspace Interference with Limited Training Data
by Kun Xing, Zhiwen Cao, Weijian Liu, Ning Cui, Zhiyu Wang, Zhongjun Yu and Faxin Yu
Remote Sens. 2025, 17(5), 926; https://doi.org/10.3390/rs17050926 - 5 Mar 2025
Viewed by 882
Abstract
In this article, the problem of Bayesian detecting rank-one distributed targets under subspace interference and compound Gaussian clutter with inverse Gaussian texture is investigated. Due to the clutter heterogeneity, the training data may be insufficient. To tackle this problem, the clutter speckle covariance [...] Read more.
In this article, the problem of Bayesian detecting rank-one distributed targets under subspace interference and compound Gaussian clutter with inverse Gaussian texture is investigated. Due to the clutter heterogeneity, the training data may be insufficient. To tackle this problem, the clutter speckle covariance matrix (CM) is assumed to obey the complex inverse Wishart distribution, and the Bayesian theory is utilized to obtain an effective estimation. Moreover, the target echo is assumed to be with a known steering vector and unknown amplitudes across range cells. The interference is regarded as a steering matrix that is linearly independent of the target steering vector. By utilizing the generalized likelihood ratio test (GLRT), a Bayesian interference-canceling detector that can work in the absence of training data is derived. Moreover, five interference-cancelling detectors based on the maximum a posteriori (MAP) estimate of the speckle CM are proposed with the two-step GLRT, the Rao, Wald, Gradient, and Durbin tests. Experiments with simulated and measured sea clutter data indicate that the Bayesian interference-canceling detectors show better performance than the competitor in scenarios with limited training data. Full article
Show Figures

Figure 1

16 pages, 5063 KB  
Article
Imbalance Fault Detection of Marine Current Turbine Based on GLRT Detector
by Milu Zhang, Jutao Chen, Liu Yang and Christophe Claramunt
Sensors 2025, 25(3), 874; https://doi.org/10.3390/s25030874 - 31 Jan 2025
Viewed by 906
Abstract
Marine Current Turbines (MCTs) play a critical role in converting the kinetic energy of water into electricity. However, due to the influence of marine organisms, marine current equipment often experiences imbalance faults. Additionally, affected by the underwater environment, the fault characteristics are submerged [...] Read more.
Marine Current Turbines (MCTs) play a critical role in converting the kinetic energy of water into electricity. However, due to the influence of marine organisms, marine current equipment often experiences imbalance faults. Additionally, affected by the underwater environment, the fault characteristics are submerged in disturbances such as waves and turbulence. Against the background of the above problems, this article proposes a fault detection strategy based on a Generalized Likelihood Ratio Test (GLRT) detector. Firstly, a simulation model of the MCT system is established to obtain prior knowledge. Then, combining the Matrix Pencil Method (MPM) for calculating instantaneous frequency, imbalance fault metrics are selected based on the proposed GLRT detector. At the end, the marine current turbine experimental platform is established, which can simulate imbalanced faults and environmental disturbances, helping to verify the effectiveness of the proposed strategy. The experimental results indicate that the proposed strategy can detect imbalanced faults in complex underwater environments. Imbalance faults are the main manifestation of blade attachments. Thus, it is very meaningful to accomplish fault detection in order to maintain the working order of the MCT system. Full article
Show Figures

Figure 1

19 pages, 3048 KB  
Communication
Design of Selective Detector for Distributed Targets Through Stochastic Characteristic of the Fictitious Signal
by Gaoqing Xiong, Hui Cao, Weijian Liu, Jialiang Zhang, Kehao Wang and Kai Yan
Sensors 2025, 25(3), 736; https://doi.org/10.3390/s25030736 - 25 Jan 2025
Viewed by 919
Abstract
We investigate the problem of detecting the distributed targets buried in the Gaussian noise whose covariance matrix is unknown when signal mismatch occurs. The idea is to add a fictitious signal under the null hypothesis of the origin detection problem so that when [...] Read more.
We investigate the problem of detecting the distributed targets buried in the Gaussian noise whose covariance matrix is unknown when signal mismatch occurs. The idea is to add a fictitious signal under the null hypothesis of the origin detection problem so that when signal mismatch occurs, the fictitious signal captures the mismatched signals, thus making the null hypothesis more plausible. More precisely, the fictitious signal is modeled as a Gaussian component with a covariance matrix of a stochastic factor multiplied by a rank-one matrix. The generalized likelihood ratio test (GLRT) is employed to address the modification detection problem. We present an exhaustive derivation of the detector and prove that it possesses the constant false alarm rate (CFAR) property. The performance analysis demonstrates the effectiveness of the proposed detector. When the SNR is 23 dB, as generalized cosine squared decreases from 1 to 0.83, the detection probability of the proposed GLRT-SL drops to 0.65, exhibiting the fastest decline compared to the G-ABORT-HE, which falls to 0.98, and the GW-ABORT-HE, which decreases to 0.85. Full article
(This article belongs to the Section Communications)
Show Figures

Figure 1

13 pages, 2999 KB  
Communication
Bayesian Adaptive Detection for Distributed MIMO Radar with Insufficient Training Data
by Hongli Li, Ming Liu, Chunhe Chang, Binbin Li, Bilei Zhou, Hao Chen and Weijian Liu
Electronics 2025, 14(1), 164; https://doi.org/10.3390/electronics14010164 - 3 Jan 2025
Viewed by 1000
Abstract
The distributed multiple-input multiple-output (MIMO) radar observes targets from different angles, which can overcome the adverse effects of target glint and avoid the situation where the target’s tangential flight cannot be effectively detected by the radar, thus providing great advantages in target detection. [...] Read more.
The distributed multiple-input multiple-output (MIMO) radar observes targets from different angles, which can overcome the adverse effects of target glint and avoid the situation where the target’s tangential flight cannot be effectively detected by the radar, thus providing great advantages in target detection. However, distributed MIMO often encounters a scarcity of training samples for target detection. To overcome this difficulty, this paper proposes a Bayesian approach. By modeling the target signal as a subspace signal, where each transmit–receive pair possesses a distinct and unknown covariance matrix governed by an inverse Wishart distribution, three efficient detectors are devised based on the generalized likelihood ratio test (GLRT), Rao, and Wald criteria. Comparative analysis with existing detectors reveals that the proposed Bayesian detectors exhibit superior performance, particularly in scenarios with limited training data. Experimental results demonstrate that the Bayesian GLRT achieves the highest probability of detection (PD), outperforming conventional detectors by requiring a reduction in signal-to-noise ratio (SNR). Furthermore, an increase in the degrees of freedom of the inverse Wishart distribution and the number of receiving antennas enhances detection performance, albeit at the cost of increased hardware requirements. Full article
(This article belongs to the Section Computer Science & Engineering)
Show Figures

Figure 1

22 pages, 6720 KB  
Article
Gridless DOA Estimation with Extended Array Aperture in Automotive Radar Applications
by Pengyu Jiang, Silin Gao, Jie Zhao, Zhe Zhang and Bingchen Zhang
Remote Sens. 2025, 17(1), 33; https://doi.org/10.3390/rs17010033 - 26 Dec 2024
Cited by 2 | Viewed by 1997
Abstract
Millimeter-wave automotive radar has become an essential tool for autonomous driving, providing reliable sensing capabilities under various environmental conditions. To reduce hardware size and cost, sparse arrays are widely employed in automotive radar systems. Additionally, because the targets detected by automotive radar typically [...] Read more.
Millimeter-wave automotive radar has become an essential tool for autonomous driving, providing reliable sensing capabilities under various environmental conditions. To reduce hardware size and cost, sparse arrays are widely employed in automotive radar systems. Additionally, because the targets detected by automotive radar typically exhibit sparsity, compressed sensing-based algorithms have been utilized for sparse array reconstruction, achieving superior performance. However, traditional compressed sensing algorithms generally assume that targets are located on a finite set of grid points and perform sparse reconstruction based on predefined grids. When targets are off-grid, significant off-grid errors can occur. To address this issue, we propose an automotive radar sparse reconstruction algorithm based on accelerated Atomic Norm Minimization (ANM). By using the Iterative Vandermonde Decomposition and Shrinkage Threshold (IVDST) algorithm, we can achieve fast ANM, which effectively mitigates off-grid errors while reducing reconstruction complexity. Furthermore, we adopt a Generalized Likelihood Ratio Test (GLRT) detector to eliminate noise and clutter in the automotive radar operating environment. Simulation results show that our proposed algorithm significantly improves reconstruction accuracy compared to the iterative soft threshold (IST) algorithm while maintaining the same computational complexity. The effectiveness of the proposed algorithm in practical applications is further validated through real-world data experiments, demonstrating its superior capability in clutter elimination. Full article
(This article belongs to the Topic Multi-Sensor Integrated Navigation Systems)
Show Figures

Graphical abstract

23 pages, 1814 KB  
Article
Doppler-Spread Space Target Detection Based on Overlapping Group Shrinkage and Order Statistics
by Linsheng Bu, Tuo Fu, Defeng Chen, Huawei Cao, Shuo Zhang and Jialiang Han
Remote Sens. 2024, 16(18), 3413; https://doi.org/10.3390/rs16183413 - 13 Sep 2024
Cited by 1 | Viewed by 1598
Abstract
The Doppler-spread problem is commonly encountered in space target observation scenarios using ground-based radar when prolonged coherent integration techniques are utilized. Even when the translational motion is accurately compensated, the phase resulting from changes in the target observation attitude (TOA) still leads to [...] Read more.
The Doppler-spread problem is commonly encountered in space target observation scenarios using ground-based radar when prolonged coherent integration techniques are utilized. Even when the translational motion is accurately compensated, the phase resulting from changes in the target observation attitude (TOA) still leads to extension of the target’s echo energy across multiple Doppler cells. In particular, as the TOA change undergoes multiple cycles within a coherent processing interval (CPI), the Doppler spectrum spreads into equidistant sparse line spectra, posing a substantial challenge for target detection. Aiming to address such problems, we propose a generalized likelihood ratio test based on overlapping group shrinkage denoising and order statistics (OGSos-GLRT) in this study. First, the Doppler domain signal is denoised according to its equidistant sparse characteristics, allowing for the recovery of Doppler cells where line spectra may be situated. Then, several of the largest Doppler cells are integrated into the GLRT for detection. An analytical expression for the false alarm probability of the proposed detector is also derived. Additionally, a modified OGSos-GLRT method is proposed to make decisions based on an increasing estimated number of line spectra (ENLS), thus increasing the robustness of OGSos-GLRT when the ENLS mismatches the actual value. Finally, Monte Carlo simulations confirm the effectiveness of the proposed detector, even at low signal-to-noise ratios (SNRs). Full article
(This article belongs to the Special Issue Remote Sensing: 15th Anniversary)
Show Figures

Figure 1

18 pages, 1320 KB  
Article
Polarimetric Adaptive Coherent Detection in Lognorm-Texture-Distributed Sea Clutter
by Jian Xue, Jiali Yan, Shuwen Xu and Jun Liu
Remote Sens. 2024, 16(15), 2841; https://doi.org/10.3390/rs16152841 - 2 Aug 2024
Viewed by 1263
Abstract
This paper addresses polarimetric adaptive coherent detection of radar targets embedded in sea clutter. Initially, radar clutter data across multiple polarimetric channels is modeled using a compound Gaussian framework featuring an unspecified speckle covariance matrix and lognormal texture distribution. Subsequently, three adaptive polarimetric [...] Read more.
This paper addresses polarimetric adaptive coherent detection of radar targets embedded in sea clutter. Initially, radar clutter data across multiple polarimetric channels is modeled using a compound Gaussian framework featuring an unspecified speckle covariance matrix and lognormal texture distribution. Subsequently, three adaptive polarimetric coherent detectors are derived, employing parameter estimation and two-step versions of the generalized likelihood ratio test (GLRT): the complex parameter Rao and Wald tests. These detectors utilize both clutter texture distribution information and radar data’s polarimetric aspects to enhance detection performance. Simulation experiments demonstrate the superiority of three proposed detectors over the competitors, and that they are sensitive to polarimetric channel parameters such as secondary data quantity, target or clutter speckle correlation, and signal-to-clutter ratio disparity. Additionally, the proposed detectors exhibit a near-constant false alarm rate relative to average clutter power and speckle covariance matrix. Full article
(This article belongs to the Topic Radar Signal and Data Processing with Applications)
Show Figures

Figure 1

18 pages, 424 KB  
Article
An Adaptive Radar Target Detection Method Based on Alternate Estimation in Power Heterogeneous Clutter
by Daipeng Xiao, Weijian Liu, Hui Chen, Hao Li and Binbin Li
Remote Sens. 2024, 16(13), 2508; https://doi.org/10.3390/rs16132508 - 8 Jul 2024
Cited by 3 | Viewed by 2199
Abstract
Multichannel radars generally need to utilize a certain amount of training samples to estimate the covariance matrix of clutter for target detection. Due to factors such as severe terrain fluctuations and complex electromagnetic environments, the training samples usually have different statistical characteristics from [...] Read more.
Multichannel radars generally need to utilize a certain amount of training samples to estimate the covariance matrix of clutter for target detection. Due to factors such as severe terrain fluctuations and complex electromagnetic environments, the training samples usually have different statistical characteristics from the data to be detected. One of the most common scenarios is that all data have the same clutter covariance matrix structure, while different data have different power mismatches, called power heterogeneous characteristics. For detection problems in the power heterogeneous clutter environments, we propose detectors based on alternate estimation, using the generalized likelihood ratio test (GLRT) criterion, Rao criterion, Wald criterion, Gradient criterion, and Durbin criterion. Monte Carlo simulation experiments and real data indicate that the detector based on the Rao criterion has the highest probability of detection (PD). Furthermore, when signal mismatch occurs, the detector based on the GLRT criterion has the best selectivity, while the detector based on the Durbin criterion has the most robust detection performance. Full article
(This article belongs to the Section Engineering Remote Sensing)
Show Figures

Figure 1

17 pages, 4469 KB  
Article
Analytical Coherent Detection in High-Resolution Dual-Polarimetric Sea Clutter with Independent Inverse Gamma Textures
by Tingyu Duan, Penglang Shui, Jianming Wang and Shuwen Xu
Remote Sens. 2024, 16(8), 1315; https://doi.org/10.3390/rs16081315 - 9 Apr 2024
Cited by 3 | Viewed by 1450
Abstract
Polarization diversity has been widely used in maritime radars to improve target detection performance. Full utilization of the polarimetric characteristics of sea clutter is the key to designing effective polarimetric detectors. For high-resolution maritime radars, the HH-HV dual-polarization is an affordable and effective [...] Read more.
Polarization diversity has been widely used in maritime radars to improve target detection performance. Full utilization of the polarimetric characteristics of sea clutter is the key to designing effective polarimetric detectors. For high-resolution maritime radars, the HH-HV dual-polarization is an affordable and effective mode to monitor small targets, owing to the simple configuration of single-polarimetric transmit and dual-polarimetric reception and lower clutter powers at the HH and HV polarizations. Enlightened by the analytical coherent detector in compound-Gaussian clutter with inverse Gamma texture, this paper investigates dual-polarimetric coherent detection in dual-polarimetric compound-Gaussian clutter with independent inverse Gamma distributed textures. The analytical dual-polarimetric near-optimum coherent detector is derived, which is a fusion of the generalized likelihood ratio test linear threshold detectors (GLRT-LTDs) at the two polarizations. For short, it is referred to as the P-GLRT-LTD. It is proven that the P-GLRT-LTD is of constant false alarm rate with respect to the Doppler steering vector, scale parameters of textures, and speckle covariance matrices. Moreover, the thresholds of the P-GLRT-LTD are given analytically. Experiments using simulated sea clutter data with the estimated scale and shape parameters from the two measured intelligent pixel processing radar (IPIX) datasets and two measured IPIX datasets with test targets are made to compare P-GLRT-LTD with other existing dual-polarimetric coherent detectors. The results show that the P-GLRT-LTD attains the same detection performance as the existing best-performance detector. The P-GLRT-LTD has a lower computational cost than the existing best-performing one. Full article
Show Figures

Figure 1

21 pages, 397 KB  
Article
Moving-Target Detection for FDA-MIMO Radar in Partially Homogeneous Environments
by Changshan He, Running Zhang, Bang Huang, Mingming Xu, Zhibin Wang, Lei Liu, Zheng Lu and Ye Jin
Electronics 2024, 13(5), 851; https://doi.org/10.3390/electronics13050851 - 23 Feb 2024
Cited by 8 | Viewed by 2060
Abstract
This paper delves into the problem of moving-target detection in partially homogeneous environments (PHE) with unknown Gaussian disturbance using a frequency diverse array multiple-input multiple-output (FDA-MIMO) radar. Using training data, we have derived expressions for four adaptive detectors, including the one-step and two-step [...] Read more.
This paper delves into the problem of moving-target detection in partially homogeneous environments (PHE) with unknown Gaussian disturbance using a frequency diverse array multiple-input multiple-output (FDA-MIMO) radar. Using training data, we have derived expressions for four adaptive detectors, including the one-step and two-step generalized likelihood ratio test (GLRT), two-step Rao (TRao) test, and two-step Wald (TWald) test criteria, respectively. All the proposed detectors are characterized by the constant false-alarm rate (CFAR). The theoretical analysis and simulation results validate the effectiveness of the proposed detectors. Full article
(This article belongs to the Special Issue Radar Signal Processing Technology)
Show Figures

Figure 1

19 pages, 4934 KB  
Article
Dictionary Learning-Cooperated Matrix Decomposition for Hyperspectral Target Detection
by Yuan Yao, Mengbi Wang, Ganghui Fan, Wendi Liu, Yong Ma and Xiaoguang Mei
Remote Sens. 2022, 14(17), 4369; https://doi.org/10.3390/rs14174369 - 2 Sep 2022
Cited by 6 | Viewed by 2156
Abstract
Hyperspectral target detection is one of the most challenging tasks in remote sensing due to limited spectral information. Many algorithms based on matrix decomposition (MD) are proposed to promote the separation of the background and targets, but they suffer from two problems: (1) [...] Read more.
Hyperspectral target detection is one of the most challenging tasks in remote sensing due to limited spectral information. Many algorithms based on matrix decomposition (MD) are proposed to promote the separation of the background and targets, but they suffer from two problems: (1) Targets are detected with the criterion of reconstruction residuals, and the imbalanced number of background and target atoms in union dictionary may lead to misclassification of targets. (2) The detection results are susceptible to the quality of the apriori target spectra, thus obtaining inferior performance because of the inevitable spectral variability. In this paper, we propose a matrix decomposition-based detector named dictionary learning-cooperated matrix decomposition (DLcMD) for hyperspectral target detection. The procedure of DLcMD is two-fold. First, the low rank and sparse matrix decomposition (LRaSMD) is exploited to separate targets from the background due to its insensitivity to the imbalanced number of background and target atoms, which can reduce the misclassification of targets. Inspired by dictionary learning, the target atoms are updated during LRaSMD to alleviate the impact of spectral variability. After that, a binary hypothesis model specifically designed for LRaSMD is proposed, and a generalized likelihood ratio test (GLRT) is performed to obtain the final detection result. Experimental results on five datasets have shown the reliability of the proposed method. Especially in the Los Angeles-II dataset, the area under the curve (AUC) value is nearly 16% higher than the average value of the other seven detectors, which reveals the superiority of DLcMD in hyperspectral target detection. Full article
(This article belongs to the Special Issue Advances in Hyperspectral Remote Sensing: Methods and Applications)
Show Figures

Figure 1

15 pages, 3638 KB  
Article
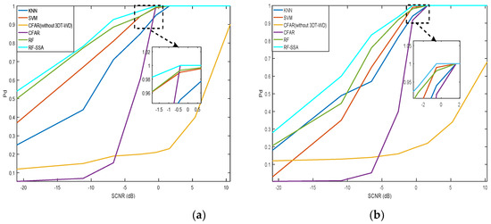
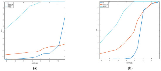
Distributed Radar Target Detection Based on RF-SSA in Non-Gaussian Noise
by Jiayun Chang, Xiongjun Fu, Congxia Zhao, Ping Lang and Cheng Feng
Electronics 2022, 11(15), 2319; https://doi.org/10.3390/electronics11152319 - 26 Jul 2022
Cited by 4 | Viewed by 2206
Abstract
Distributed radar target detection in non-Gaussian noise, modeled as the sum of K-distributed clutter plus thermal noise, is considered in this paper. The conventional target techniques, e.g., constant false-alarm rate (CFAR), scatterer density-dependent generalized likelihood ratio test (SDD-GLRT), and energy integration (EI) detectors, [...] Read more.
Distributed radar target detection in non-Gaussian noise, modeled as the sum of K-distributed clutter plus thermal noise, is considered in this paper. The conventional target techniques, e.g., constant false-alarm rate (CFAR), scatterer density-dependent generalized likelihood ratio test (SDD-GLRT), and energy integration (EI) detectors, have limited performance. On the other hand, since radar target detection can be considered a classification task, deep learning techniques have been widely applied as radar detectors in recent years, but such techniques require a larger amount of training samples to prevent overfitting, which is time-consuming. To balance detection efficiency and accuracy, this paper proposes an improved random forest algorithm based on the sparrow search algorithm (RF-SSA). First, we propose a mixed method of 3DT space-time adaptive processing and wavelet denoising (3DT-WD) to improve the output signal-to-clutter plus-noise ratio. Then, the SSA is applied to the RF algorithm to adaptively obtain the optimal parameters of the detection model. The simulation results show that the proposed RF-SSA ensures higher detection performance than the other classical methods, showing a gain of about 2 dB at the same detection probability. Moreover, the detection results of the real data further confirm the superiority of the proposed RF-SSA. Full article
Show Figures

Figure 1

18 pages, 13163 KB  
Article
A New Side-Looking Scheme for Speed Estimation and Detection of Tangential Slow-Moving Targets
by Ziyi Qi, Xiaohong Huang and Lanpu He
Sensors 2022, 22(12), 4535; https://doi.org/10.3390/s22124535 - 16 Jun 2022
Viewed by 1902
Abstract
A single-beam radar system cannot adopt a side-looking installation scheme, which is completely perpendicular to the moving direction of the target in an intelligent transportation system (ITS), because of its own limitations. In this paper, a side-looking radar velocity measurement system that utilizes [...] Read more.
A single-beam radar system cannot adopt a side-looking installation scheme, which is completely perpendicular to the moving direction of the target in an intelligent transportation system (ITS), because of its own limitations. In this paper, a side-looking radar velocity measurement system that utilizes a new signal processing method and multi-channel radar scheme is proposed. Constant false alarm rate (CFAR) and generalized likelihood ratio test (GLRT) detectors are used to detect the data processing results in different stages in order to reduce the false alarm rate of targets. At the same time, a deconvolution-based clutter map algorithm is proposed to solve the problem of clutter interference in the test environment, and its theoretical performance is verified by simulation. Finally, 77 G commercial radar is used to test the system, and the results show that this algorithm can effectively detect and accurately estimate the speed of tangential low-speed targets under clutter interference. Full article
(This article belongs to the Section Radar Sensors)
Show Figures

Figure 1

11 pages, 327 KB  
Communication
Distributed Target Detection in Unknown Interference
by Kaiming Xu, Yunkai Deng and Zhongjun Yu
Sensors 2022, 22(7), 2430; https://doi.org/10.3390/s22072430 - 22 Mar 2022
Cited by 2 | Viewed by 1803
Abstract
Interference can degrade the detection performance of a radar system. To overcome the difficulty of target detection in unknown interference, in this paper we model the interference belonging to a subspace orthogonal to the signal subspace. We design three effective detectors for distributed [...] Read more.
Interference can degrade the detection performance of a radar system. To overcome the difficulty of target detection in unknown interference, in this paper we model the interference belonging to a subspace orthogonal to the signal subspace. We design three effective detectors for distributed target detection in unknown interference by adopting the criteria of the generalized likelihood ratio test (GLRT), the Rao test, and the Wald test. At the stage of performance evaluation, we illustrate the detection performance of the proposed detectors in the presence of completely unknown interference (not constrained to lie in the above subspace). Numerical examples indicate that the proposed GLRT and Wald test can provide better detection performance than the existing detectors. Full article
(This article belongs to the Section Radar Sensors)
Show Figures

Figure 1

Back to TopTop