Sign in to use this feature.

Years

Between: -

Subjects

remove_circle_outline
remove_circle_outline
remove_circle_outline
remove_circle_outline
remove_circle_outline
remove_circle_outline
remove_circle_outline
remove_circle_outline
remove_circle_outline

Journals

remove_circle_outline
remove_circle_outline
remove_circle_outline
remove_circle_outline
remove_circle_outline
remove_circle_outline
remove_circle_outline
remove_circle_outline
remove_circle_outline
remove_circle_outline
remove_circle_outline
remove_circle_outline

Article Types

Countries / Regions

remove_circle_outline
remove_circle_outline
remove_circle_outline
remove_circle_outline
remove_circle_outline
remove_circle_outline
remove_circle_outline

Search Results (1,694)

Search Parameters:
Keywords = generalized fractional derivative

Order results
Result details
Results per page
Select all
Export citation of selected articles as:
13 pages, 1722 KB  
Article
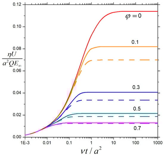
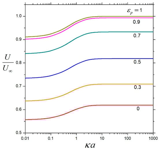
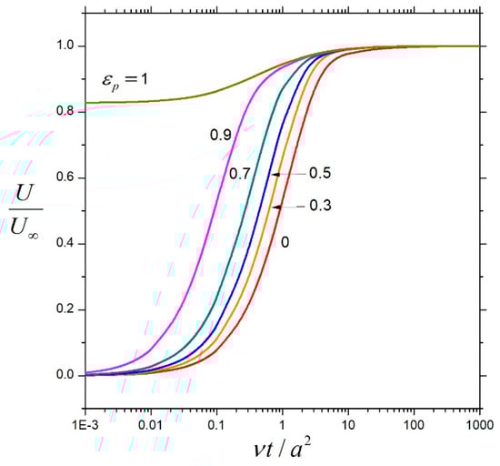
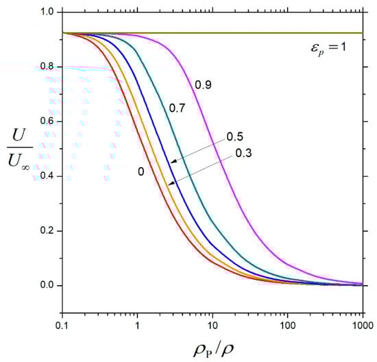
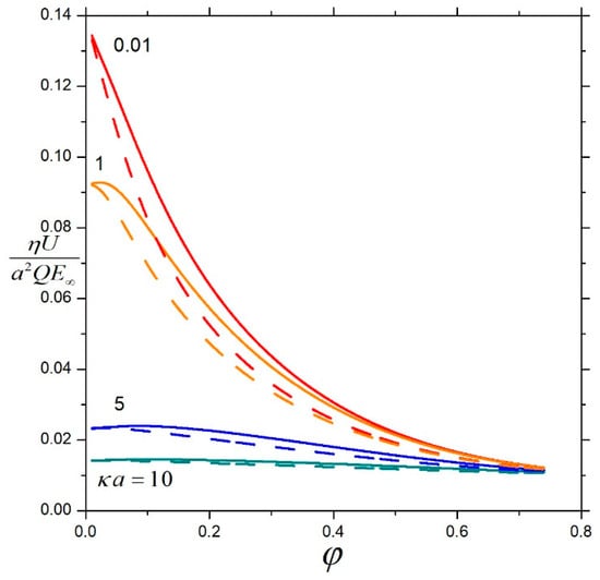
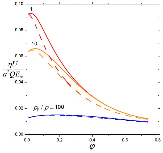
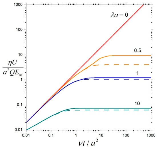
Transient Electrophoresis in Suspensions of Charged Porous Particles
by Wei Z. Chen and Huan J. Keh
Fluids 2026, 11(1), 13; https://doi.org/10.3390/fluids11010013 (registering DOI) - 30 Dec 2025
Abstract
The start-up of electrophoretic motion in a suspension of uniformly charged, porous, spherical particles within an arbitrary electrolyte solution under a suddenly applied electric field is investigated. The unsteady Stokes/Brinkman equations, modified to include the electric body force, are solved for the fluid [...] Read more.
The start-up of electrophoretic motion in a suspension of uniformly charged, porous, spherical particles within an arbitrary electrolyte solution under a suddenly applied electric field is investigated. The unsteady Stokes/Brinkman equations, modified to include the electric body force, are solved for the fluid velocity field using a unit cell model to account for the particle-particle interactions. An explicit expression for the transient electrophoretic velocity of a porous particle in a unit cell is derived in the Laplace transform domain as a function of the key governing parameters. The transient electrophoretic velocity, when normalized by its steady-state counterpart, increases monotonically with both elapsed time and the ratio of particle radius to Debye length, with other parameters held constant. It generally increases with the ratio of particle radius to permeation length and with porosity, while decreasing monotonically with an increase in the particle-to-fluid density ratio. Similar to its steady-state value, the transient electrophoretic mobility of the suspension is typically a decreasing function of the particle volume fraction. However, under conditions of small elapsed time and large density ratio, the transient mobility may exhibit an initial increase with particle volume fraction. Full article
(This article belongs to the Special Issue 10th Anniversary of Fluids—Recent Advances in Fluid Mechanics)
Show Figures

Figure 1

15 pages, 409 KB  
Article
New Findings of Gronwall–Bellman–Bihari Type Integral Inequalities with Applications to Fractional and Composite Nonlinear Systems
by Liqiang Chen and Norazrizal Aswad Abdul Rahman
Mathematics 2026, 14(1), 136; https://doi.org/10.3390/math14010136 (registering DOI) - 29 Dec 2025
Abstract
This paper is dedicated to the investigation of new generalizations of the classical Gronwall–Bellman–Bihari integral inequalities, which are fundamental tools in the qualitative and quantitative analysis of differential, integral, and integro-differential equations. We establish two primary, novel theorems. The first theorem presents a [...] Read more.
This paper is dedicated to the investigation of new generalizations of the classical Gronwall–Bellman–Bihari integral inequalities, which are fundamental tools in the qualitative and quantitative analysis of differential, integral, and integro-differential equations. We establish two primary, novel theorems. The first theorem presents a significant generalization for inequalities involving composite nonlinear functions and iterated integrals. This result provides an explicit bound for an unknown function u(t) satisfying an inequality of the form Φ(u(t))a(t)+t0tf(s)Ψ(u(s))ds+t0tg(s)Ω(t0sh(τ)K(u(τ))dτ)ds. The proof is achieved by defining a novel auxiliary function and applying a rigorous comparison principle. The second main theorem establishes a new bound for a class of fractional integral inequalities involving the Riemann–Liouville fractional integral operator Iα and a non-constant coefficient function b(t) in the form u(t)a(t)+b(t)Iα[ω(u(s))]. This result extends several recent findings in the field of fractional calculus. The mathematical derivations are detailed, and the assumptions on the involved functions are made explicit. To illustrate the utility and potency of our main results, we present two applications. The first application demonstrates how our first theorem can be used to establish uniqueness and boundedness for solutions to a complex class of nonlinear integro-differential equations. The second application utilizes our fractional inequality theorem to analyze the qualitative behavior (specifically, the boundedness of solutions) for a generalized class of fractional integral equations. These new inequalities provide a powerful analytical framework for studying complex dynamical systems that were not adequately covered by existing results. Full article
21 pages, 776 KB  
Article
Solvability, Ulam–Hyers Stability, and Kernel Analysis of Multi-Order σ-Hilfer Fractional Systems: A Unified Theoretical Framework
by Yasir A. Madani, Mohammed Almalahi, Osman Osman, Ahmed M. I. Adam, Haroun D. S. Adam, Ashraf A. Qurtam and Khaled Aldwoah
Fractal Fract. 2026, 10(1), 21; https://doi.org/10.3390/fractalfract10010021 (registering DOI) - 29 Dec 2025
Abstract
This paper establishes a rigorous analytical framework for a nonlinear multi-order fractional differential system governed by the generalized σ-Hilfer operator in weighted Banach spaces. In contrast to existing studies that often treat specific kernels or fixed fractional orders in isolation, our approach [...] Read more.
This paper establishes a rigorous analytical framework for a nonlinear multi-order fractional differential system governed by the generalized σ-Hilfer operator in weighted Banach spaces. In contrast to existing studies that often treat specific kernels or fixed fractional orders in isolation, our approach provides a unified treatment that simultaneously handles multiple fractional orders, a tunable kernel σ(ς), weighted integral conditions, and a nonlinearity depending on a fractional integral of the solution. By converting the hierarchical differential structure into an equivalent Volterra integral equation, we derive sufficient conditions for the existence and uniqueness of solutions using the Banach contraction principle and Mönch’s fixed-point theorem with measures of non-compactness. The analysis is extended to Ulam–Hyers stability, ensuring robustness under modeling perturbations. A principal contribution is the systematic classification of the system’s symmetric reductions—specifically the Riemann–Liouville, Caputo, Hadamard, and Katugampola forms—all governed by a single spectral condition dependent on σ(ς). The theoretical results are illustrated by numerical examples that highlight the sensitivity of solutions to the memory kernel and the fractional orders. This work provides a cohesive analytical tool for a broad class of fractional systems with memory, thereby unifying previously disparate fractional calculi under a single, consistent framework. Full article
(This article belongs to the Section General Mathematics, Analysis)
Show Figures

Figure 1

18 pages, 35027 KB  
Article
A Finite Difference Method for Caputo Generalized Time Fractional Diffusion Equations
by Jun Li, Jiejing Zhang and Yingjun Jiang
Fractal Fract. 2026, 10(1), 19; https://doi.org/10.3390/fractalfract10010019 - 28 Dec 2025
Viewed by 85
Abstract
This paper presents a finite difference method for solving the Caputo generalized time fractional diffusion equation. The method extends the L1 scheme to discretize the time fractional derivative and employs the central difference for the spatial diffusion term. Theoretical analysis demonstrates that [...] Read more.
This paper presents a finite difference method for solving the Caputo generalized time fractional diffusion equation. The method extends the L1 scheme to discretize the time fractional derivative and employs the central difference for the spatial diffusion term. Theoretical analysis demonstrates that the proposed numerical scheme achieves a convergence rate of order 2α in time and second order in space. These theoretical findings are further validated through numerical experiments. Compared to existing methods that only achieve a temporal convergence of order 1α, the proposed approach offers improved accuracy and efficiency, particularly when the fractional order α is close to zero. This makes the method highly suitable for simulating transport processes with memory effects, such as oil pollution dispersion and biological population dynamics. Full article
(This article belongs to the Special Issue Advances in Fractional Modeling and Computation, Second Edition)
Show Figures

Figure 1

17 pages, 589 KB  
Review
Biomarkers of Motor Recovery After Corticospinal Tract Damage in Stroke: A Scoping Review
by Błażej Cieślik, Pierre Bouquillon, Roberto De Almeida Lomba, Thibault Chatton, Davide Grillo, Mirko Zitti, Silvia Zangarini, Tomasz Rutkowski, Roberto Meroni and Pawel Kiper
Appl. Sci. 2026, 16(1), 317; https://doi.org/10.3390/app16010317 - 28 Dec 2025
Viewed by 107
Abstract
Motor recovery after stroke is highly variable and closely linked to the extent of corticospinal tract (CST) damage. Neurophysiological biomarkers, such as motor evoked potentials (MEPs) and structural imaging markers, including CST lesion load and fractional anisotropy (FA), show promise for predicting motor [...] Read more.
Motor recovery after stroke is highly variable and closely linked to the extent of corticospinal tract (CST) damage. Neurophysiological biomarkers, such as motor evoked potentials (MEPs) and structural imaging markers, including CST lesion load and fractional anisotropy (FA), show promise for predicting motor outcomes. This scoping review evaluated the prognostic value of these biomarkers and the utility of multimodal models for individualized rehabilitation. A systematic search (April 2024) in PubMed, the Cochrane Library, and Scopus identified empirical studies examining biomarkers predictive of post-stroke motor recovery. Biomarkers were primarily derived from magnetic resonance imaging (resting-state functional connectivity and diffusion-weighted imaging) and transcranial magnetic stimulation. Nineteen studies (1219 patients) met the inclusion criteria. Structural biomarkers, particularly lower CST FA and higher weighted lesion load, were generally associated with poorer motor recovery. Combining neurophysiological measures, such as MEP status, with functional imaging and artificial intelligence-based analyses may improve prognostic precision. Multimodal approaches appeared promising in some studies, but evidence remains limited and heterogeneous. Integrating diverse biomarkers into multimodal prognostic models may enhance the prediction of motor recovery and support personalized rehabilitation after stroke, although heterogeneity in study design and outcome assessment highlights the need for standardized, large-scale longitudinal studies to enable clinical implementation. Full article
(This article belongs to the Section Applied Neuroscience and Neural Engineering)
Show Figures

Figure 1

17 pages, 296 KB  
Article
Combinatorial Properties and Values of High-Order Eulerian Numbers
by Tian-Xiao He
Axioms 2026, 15(1), 16; https://doi.org/10.3390/axioms15010016 - 25 Dec 2025
Viewed by 101
Abstract
This paper studies higher-order Eulerian numbers based on Stirling permutations and utilizing Eulerian triangles. It primarily focuses on the chain of higher-order Eulerian numbers, higher-order Eulerian polynomials, and higher-order Eulerian fractions, especially their computation. Many results for Eulerian numbers and second-order Eulerian numbers [...] Read more.
This paper studies higher-order Eulerian numbers based on Stirling permutations and utilizing Eulerian triangles. It primarily focuses on the chain of higher-order Eulerian numbers, higher-order Eulerian polynomials, and higher-order Eulerian fractions, especially their computation. Many results for Eulerian numbers and second-order Eulerian numbers are generalized to higher-order Eulerian numbers. More specifically, we present recurrence relations of high-order Eulerian numbers, row-generating functions, and row sums of higher-order Eulerian triangles. Furthermore, we investigate the higher-order Eulerian fraction and its alternative form. Some properties of higher-order Eulerian fractions are expressed using differentiation and integration. We derive the inversion relations between second-order Eulerian numbers and Stirling numbers of the second and first kinds. Finally, we provide exact expressions and a computational method for higher-order Eulerian numbers. Full article
30 pages, 6037 KB  
Article
Biopolymer Development from Agro-Food and Aquaculture By-Products with Antioxidant Hydrolysates of Cyprinus carpio, Produced via Enzymatic Preparations of Pineapple and Papaya
by Guadalupe López-García, Octavio Dublán-García, Francisco Antonio López-Medina, Ana Gabriela Morachis-Valdez, Karinne Saucedo-Vence, Daniel Arizmendi-Cotero, Daniel Díaz-Bandera, Gerardo Heredia-García, Angel Santillán-Álvarez, Luis Alberto Cira-Chávez and Baciliza Quintero-Salazar
Int. J. Mol. Sci. 2026, 27(1), 148; https://doi.org/10.3390/ijms27010148 - 23 Dec 2025
Viewed by 127
Abstract
This study describes the development of a biodegradable biopolymer formulated from protein–polysaccharide matrices enriched with antioxidant hydrolysates obtained from Cyprinus carpio by-products. The hydrolysates were produced through targeted enzymatic hydrolysis using plant-derived proteases, yielding peptide fractions with relevant radical-scavenging activity. Molecular characterization (DSC) [...] Read more.
This study describes the development of a biodegradable biopolymer formulated from protein–polysaccharide matrices enriched with antioxidant hydrolysates obtained from Cyprinus carpio by-products. The hydrolysates were produced through targeted enzymatic hydrolysis using plant-derived proteases, yielding peptide fractions with relevant radical-scavenging activity. Molecular characterization (DSC) confirmed the presence of thermal stability suitable for cold-chain applications, while the resulting biopolymer displayed flexible and cohesive structural behavior. The material was evaluated as an edible coating for raspberries stored at 4 °C. Coatings containing the hydrolysates, particularly those generated with bromelain, more effectively slowed physicochemical deterioration, modulated oxidative reactions, and helped to preserve nutritional quality during storage. These findings indicate that integrating bioactive peptide hydrolysates into biodegradable polymer networks enhances their functional performance, offering a sustainable approach for food preservation and valorization of agro-aquaculture residues. Full article
Show Figures

Figure 1

35 pages, 2441 KB  
Article
Power Normalized and Fractional Power Normalized Least Mean Square Adaptive Beamforming Algorithm
by Yuyang Liu and Hua Wang
Electronics 2026, 15(1), 49; https://doi.org/10.3390/electronics15010049 - 23 Dec 2025
Viewed by 119
Abstract
With the rapid deployment of high-speed maglev transportation systems worldwide, the operational velocity, electromagnetic complexity, and channel dynamics have far exceeded those of conventional rail systems, imposing more stringent requirements on real-time capability, reliability, and interference robustness in wireless communication. In maglev environments [...] Read more.
With the rapid deployment of high-speed maglev transportation systems worldwide, the operational velocity, electromagnetic complexity, and channel dynamics have far exceeded those of conventional rail systems, imposing more stringent requirements on real-time capability, reliability, and interference robustness in wireless communication. In maglev environments exceeding 600 km/h, the channel becomes predominantly line-of-sight with sparse scatterers, exhibiting strong Doppler shifts, rapidly varying spatial characteristics, and severe interference, all of which significantly degrade the stability and convergence performance of traditional beamforming algorithms. Adaptive smart antenna technology has therefore become essential in high-mobility communication and sensing systems, as it enables real-time spatial filtering, interference suppression, and beam tracking through continuous weight updates. To address the challenges of slow convergence and high steady-state error in rapidly varying maglev channels, this work proposes a new Fractional Proportionate Normalized Least Mean Square (FPNLMS) adaptive beamforming algorithm. The contributions of this study are twofold. (1) A novel FPNLMS algorithm is developed by embedding a fractional-order gradient correction into the power-normalized and proportionate gain framework of PNLMS, forming a unified LMS-type update mechanism that enhances error tracking flexibility while maintaining O(L) computational complexity. This integrated design enables the proposed method to achieve faster convergence, improved robustness, and reduced steady-state error in highly dynamic channel conditions. (2) A unified convergence analysis framework is established for the proposed algorithm. Mean convergence conditions and practical step-size bounds are derived, explicitly incorporating the fractional-order term and generalizing classical LMS/PNLMS convergence theory, thereby providing theoretical guarantees for stable deployment in high-speed maglev beamforming. Simulation results verify that the proposed FPNLMS algorithm achieves significantly faster convergence, lower mean square error, and superior interference suppression compared with LMS, NLMS, FLMS, and PNLMS, demonstrating its strong applicability to beamforming in highly dynamic next-generation maglev communication systems. Full article
(This article belongs to the Special Issue 5G and Beyond Technologies in Smart Manufacturing, 2nd Edition)
Show Figures

Figure 1

19 pages, 3961 KB  
Article
Retinal Degeneration in Alzheimer’s Disease 5xFAD Mice Fed DHA-Enriched Diets
by Mário S. Pinho, Husaifa Ahfaz, Sandra Carvalho, Jorge Correia, Maria Spínola, José M. Pestana, Narcisa M. Bandarra and Paula A. Lopes
Cells 2026, 15(1), 8; https://doi.org/10.3390/cells15010008 - 19 Dec 2025
Viewed by 354
Abstract
Alzheimer’s disease (AD) is marked by cognitive decline, and also by retinal degeneration. Having in mind that docosahexaenoic acid (DHA, 22:6n − 3) is a safe, low-cost, and pivotal fatty acid for brain health and sustained cognitive function, this study exploits environmentally friendly [...] Read more.
Alzheimer’s disease (AD) is marked by cognitive decline, and also by retinal degeneration. Having in mind that docosahexaenoic acid (DHA, 22:6n − 3) is a safe, low-cost, and pivotal fatty acid for brain health and sustained cognitive function, this study exploits environmentally friendly non-fish sources as potential dietary supplements enriched with DHA to prevent or reverse AD. Forty 5xFAD transgenic male mice, aged five weeks old, were randomly distributed by five body weight-matched dietary groups (with eight animals each) and fed isocaloric diets based on the AIN-93M standard formulation for rodents for 6 months. Except for the control feed (without supplementation), each diet contained a modified lipidic fraction supplemented with 2% of the following: (1) linseed oil (LSO, rich in alpha-linolenic acid (ALA, 18:3n − 3)); (2) cod liver oil (fish oil, FO, rich in both DHA and eicosapentaenoic acid (EPA, 20:5n − 3)); (3) Schizochytrium sp. microalga oil (Schizo, with 40% of DHA); and (4) commercial DHASCO (DHASCO, with 70% of DHA). The aim of this study was to measure retinal neural layer thickness, calculate ganglion cell layer (GCL) density, and assess retinal injury by means of immunohistochemical staining for β-amyloid plaques deposition, TAU protein levels, and IBA1, as hallmark features of AD progression, in order to elucidate the effects of different dietary DHA treatments in Alzheimer’s retinas. Although no statistical differences were observed across retinal layer thicknesses depending on the diet (p > 0.05), there was a consistent pattern for slightly increased retinal thickness in 5xFAD mice fed fish oil relative to the others for the measurement of total layers, in general and for the inner segment/outer segment layer, the outer nuclear layer, the outer plexiform layer, the inner nuclear layer, and the inner plexiform layer, in particular. The ganglion cell layer (GCL) density was increased in 5xFAD mice fed the DHASCO oil diet relative to the control (p < 0.05), suggesting a benefit of DHA supplementation on the number of viable ganglion cells. No positive staining was observed for β-amyloid plaques deposition or the neuroinflammatory marker, IBA1, corroborating previous findings in human AD retinas. Conversely, the internal retinal layers showed intense TAU immunostaining. Immnunostained TAU area was significantly reduced in 5xFAD mice fed a fish oil diet compared to control (p < 0.05), although the number of TAU-positive cells did not differ across diets (p > 0.05). The retinal protected integrity derived from the benefits of DHA supplementation found, either from fish oil or DHASCO oil, underscores the potential of retinal biomarkers as non-invasive indicators of cognitive decline and overall brain health, opening new avenues for investigating AD pathophysiology in the retina. Full article
(This article belongs to the Special Issue Advances in the Discovery of Retinal Degeneration)
Show Figures

Figure 1

23 pages, 69855 KB  
Article
The Fractional SI Reaction–Diffusion Model with Incommensurate Orders: Stability Analysis and Numerical Simulations
by Ali Aloui, Amel Hioual, Omar Kahouli, Adel Ouannas, Lilia El Amraoui and Mohamed Ayari
Fractal Fract. 2026, 10(1), 3; https://doi.org/10.3390/fractalfract10010003 - 19 Dec 2025
Viewed by 299
Abstract
In this work, we present a fractional-order reaction–diffusion model for the spread of infectious diseases, incorporating incommensurate Caputo derivatives to capture memory effects and heterogeneous temporal behavior across compartments. Focusing on a generalized SI model with nonlinear incidence, we explore the local asymptotic [...] Read more.
In this work, we present a fractional-order reaction–diffusion model for the spread of infectious diseases, incorporating incommensurate Caputo derivatives to capture memory effects and heterogeneous temporal behavior across compartments. Focusing on a generalized SI model with nonlinear incidence, we explore the local asymptotic stability of both disease-free and endemic equilibria. The model accommodates spatial diffusion, saturation effects, and varying fractional orders, yielding a more realistic depiction of epidemic propagation. Analytical techniques—ranging from linearization to spectral analysis—are employed to rigorously establish stability conditions. Numerical simulations support the theoretical findings, highlighting the impact of memory and spatial structure on long-term dynamics. This study offers a refined mathematical lens to understand the persistence or eradication of infectious diseases under memory-dependent and spatially heterogeneous environments. Full article
17 pages, 1227 KB  
Article
Enhancing the Biorefinery of Chestnut Burrs, Part II: Influence of Pretreatment with Choline Chloride–Urea-Diluted Deep Eutectic Solvent on Enzymatic Hydrolysis
by Iván Costa-Trigo, María Guadalupe Morán-Aguilar, Nelson Pérez Guerra, Ricardo Pinheiro de Souza Oliveira and José Manuel Domínguez
Processes 2025, 13(12), 4090; https://doi.org/10.3390/pr13124090 - 18 Dec 2025
Viewed by 164
Abstract
Agro-industrial chestnut waste derived from chestnut processing is usually discharged without further use. However, these residues are attractive due to their high-value composition, rich in sugars and lignin. Among these residues, chestnut burrs (CB) represent a promising feedstock for biorefinery applications aimed at [...] Read more.
Agro-industrial chestnut waste derived from chestnut processing is usually discharged without further use. However, these residues are attractive due to their high-value composition, rich in sugars and lignin. Among these residues, chestnut burrs (CB) represent a promising feedstock for biorefinery applications aimed at maximizing the valorization of their main constituents. In this study, we propose an environmentally friendly approach based on deep eutectic solvents (DES) formed by choline chloride and urea (ChCl/U) (1:2, mol/mol) for the selective deconstruction of lignocellulosic architecture, followed by enzymatic hydrolysis to release second-generation (2G) fermentable sugars. Pretreatments were applied to raw CB, washed CB (W-CB), and the obtained solid fraction after prehydrolysis (PreH). Structural and morphological modifications, as well as crystallinity induced by DES pretreatment, were characterized using attenuated total reflectance Fourier-transform infrared spectroscopy (ATR-FTIR), field emission scanning electron microscopy (FE-SEM), and X-ray diffraction (XRD). Remarkable results in terms of effectiveness and environmental friendliness on saccharification yields were achieved for PreH subjected to DES treatment for 8 h, reaching approximately 60% glucan and 74% xylan conversion under the lower enzyme loading (23 FPU/g) and liquid-to-solid ratio (LSR) of 20:1 studied. This performance significantly reduces DES pretreatment time from 16 h to 8 h at mild conditions (100 °C), lowers the LSR for enzymatic hydrolysis from 30:1 to 20:1, and decreases enzyme loading from 63.5 FPU/g to 23 FPU/g, therefore improving process efficiency and sustainability. Full article
(This article belongs to the Special Issue Advances in Green Extraction and Separation Processes)
Show Figures

Graphical abstract

14 pages, 6238 KB  
Article
Source-Dependent Phenotypic Differences in Canine Olfactory Ensheathing Cell Cultures from Olfactory Bulb and Mucosa
by Tomasz Gębarowski, Aldona Głowa, Małgorzata Tarnowska, Dawid Jeżewski, Piotr Kuropka, Radomir Henklewski, Maciej Janeczek and Benita Wiatrak
Biomedicines 2025, 13(12), 3120; https://doi.org/10.3390/biomedicines13123120 - 18 Dec 2025
Viewed by 238
Abstract
Background/Aim: Olfactory ensheathing cells (OECs) are widely studied for neural repair, yet OB- and OM-derived primary cultures differ in accessibility and cellular composition. This study aimed to establish donor-matched canine OB- and OM-derived primary cultures using harmonized isolation conditions and to quantify [...] Read more.
Background/Aim: Olfactory ensheathing cells (OECs) are widely studied for neural repair, yet OB- and OM-derived primary cultures differ in accessibility and cellular composition. This study aimed to establish donor-matched canine OB- and OM-derived primary cultures using harmonized isolation conditions and to quantify source-dependent differences in culture composition and proliferative activity. Materials and Methods: Olfactory bulbs (OBs) and olfactory mucosa (OM) were collected post-mortem from client-owned dogs (n = 10). Primary cultures were established under identical enzymatic dissociation and culture conditions. Culture composition was quantified by immunocytochemistry using p75^NTR (OEC marker) and fibronectin (fibroblast-associated marker), with an epithelial fraction assessed morphologically in OM. Proliferation was assessed by Ki-67 labeling using the Muse® Ki-67 kit (n = 5 donors/group). Results: Both tissues yielded viable primary cultures. OB-derived cultures had a higher OEC fraction than OM-derived cultures (60.7 ± 6.4% vs. 39.0 ± 6.2%), whereas OM cultures consistently included an epithelial component (27.0 ± 6.6%). Ki-67 labeling was higher in OB-derived cultures than OM-derived cultures (30.2 ± 6.2% vs. 13.0 ± 2.5%; Welch’s t-test p = 0.0018). Conclusions: Canine OB and OM generate source-distinct primary cultures under standardized conditions: OB-derived cultures are OEC-enriched and more proliferative in vitro, while OM-derived cultures are more heterogeneous. These findings inform future optimization of OM-based protocols and motivate functional assays to test regenerative efficacy. Full article
(This article belongs to the Special Issue Updates on Tissue Repair and Regeneration Pathways)
Show Figures

Figure 1

22 pages, 4171 KB  
Article
Evaluation of Subcutaneous and Intermuscular Adipose Tissues by Application of Pattern Recognition and Neural Networks to Ultrasonic Data: A Model Study
by Alexey Tatarinov, Aleksandrs Sisojevs, Vladislavs Agarkovs and Jegors Lukjanovs
Bioengineering 2025, 12(12), 1373; https://doi.org/10.3390/bioengineering12121373 - 17 Dec 2025
Viewed by 293
Abstract
Distinguishing subcutaneous adipose tissue (SAT) from intermuscular adipose tissue (IMAT) is clinically important because IMAT infiltration is strongly associated with age-related functional decline, sarcopenia, diabetes, cardiovascular disease, and obesity. Current assessments rely on MRI or CT, which are stationary, costly, and labor-intensive. Portable [...] Read more.
Distinguishing subcutaneous adipose tissue (SAT) from intermuscular adipose tissue (IMAT) is clinically important because IMAT infiltration is strongly associated with age-related functional decline, sarcopenia, diabetes, cardiovascular disease, and obesity. Current assessments rely on MRI or CT, which are stationary, costly, and labor-intensive. Portable ultrasound-based solutions could enable broader, proactive screening. This model study investigated the feasibility of differentially assessing SAT and IMAT using features extracted from propagating ultrasound signals. Twenty-five phantoms were constructed using gelatin as a muscle-mimicking matrix and oil as the SAT and IMAT compartments, arranged to provide gradual variations in fat fractions ranging from 0% to 50%. Ultrasound measurements were collected at 0.8 MHz and 2.2 MHz, and multiple evaluation criteria were computed, including ultrasound velocity and parameters derived from the signal intensity. Classification domains were then generated from intersecting decision rules associated with these criteria. In parallel, artificial neural networks (ANN/LSTM) were trained and tested on identical phantom subsets to evaluate data-driven classification performance. Both the rule-based and ANN/LSTM approaches achieved diagnostically meaningful separation of SAT and IMAT. The aim of this work was to perform an experimental proof-of-concept study on idealized tissue models to demonstrate that ultrasound measurements can reliably differentiate SAT and IMAT, supporting the development of future screening devices. Full article
(This article belongs to the Special Issue AI and Data Science in Bioengineering: Innovations and Applications)
Show Figures

Graphical abstract

24 pages, 13336 KB  
Article
Real-Time Zero-Sequence-Voltage Estimation and Fault-Tolerant Control for an Open-Winding Five-Phase Fault-Tolerant Fractional-Slot Concentrated-Winding IPM Motor Under Inter-Turn Short-Circuit Fault
by Ronghua Cui, Qingpeng Ji, Shitao Zhang and Huaxin Li
Sensors 2025, 25(24), 7655; https://doi.org/10.3390/s25247655 - 17 Dec 2025
Viewed by 293
Abstract
Inter-turn short-circuit (ITSC) faults in motor drives can induce substantial circulating currents and localized thermal stress, ultimately degrading winding insulation and compromising torque stability. To enhance the operational reliability of open-winding (OW) five-phase fault-tolerant fractional-slot concentrated-winding interior permanent-magnet (FTFSCW-IPM) motor drive systems, this [...] Read more.
Inter-turn short-circuit (ITSC) faults in motor drives can induce substantial circulating currents and localized thermal stress, ultimately degrading winding insulation and compromising torque stability. To enhance the operational reliability of open-winding (OW) five-phase fault-tolerant fractional-slot concentrated-winding interior permanent-magnet (FTFSCW-IPM) motor drive systems, this paper proposes a real-time fault-tolerant control strategy that provides current suppression and torque stabilization under ITSC conditions. Upon fault detection, the affected phase is actively isolated and connected to an external dissipative resistor, thereby limiting the fault-phase current and inhibiting further propagation of insulation damage. This reconfiguration allows the drive system to uniformly accommodate both open-circuit (OC) and ITSC scenarios without modification of the underlying control architecture. For OC operation, an equal-amplitude modulation scheme based on carrier-based pulse-width modulation (CPWM) is formulated to preserve the required magnetomotive-force distribution. Under ITSC conditions, a feedforward compensation mechanism is introduced to counteract the disturbance generated by the short-circuit loop. A principal contribution of this work is the derivation of a compensation term that can be estimated online using zero-sequence voltage (ZSV) together with measured phase currents, enabling accurate adaptation across varying ITSC severities. Simulation and experimental results demonstrate that the proposed method effectively suppresses fault-phase current, maintains near-sinusoidal current waveforms in the remaining healthy phases, and stabilizes torque production over a wide range of fault and load conditions. Full article
(This article belongs to the Section Fault Diagnosis & Sensors)
Show Figures

Figure 1

23 pages, 346 KB  
Article
Fractional Stochastic Systems Driven by Fractional Brownian Motion: Existence, Uniqueness, and Approximate Controllability with Generalized Memory Effects
by Muhammad Imran Liaqat, Abdelhamid Mohammed Djaouti and Ashraf Al-Quran
Axioms 2025, 14(12), 921; https://doi.org/10.3390/axioms14120921 - 14 Dec 2025
Viewed by 233
Abstract
In this research work, we present findings on fractional stochastic systems characterized by fractional Brownian motion, which is defined by a Hurst parameter H12,1. These systems are crucial for modeling complex phenomena that diverge from Markovian behavior [...] Read more.
In this research work, we present findings on fractional stochastic systems characterized by fractional Brownian motion, which is defined by a Hurst parameter H12,1. These systems are crucial for modeling complex phenomena that diverge from Markovian behavior and exhibit long-range dependence, particularly in areas such as financial engineering and statistical physics. We utilize the fixed-point iteration method to demonstrate the existence and uniqueness (Ex-Un) of mild solutions. Additionally, we investigate the approximate controllability of the system. We establish all results within the framework of the μ-Caputo fractional derivative. This study makes a meaningful contribution to the existing body of literature by rigorously establishing the existence, uniqueness, and approximate controllability of mild solutions to generalized Caputo fractional stochastic differential equations driven by fractional Brownian motion. Full article
(This article belongs to the Special Issue Fractional Calculus—Theory and Applications, 3rd Edition)
Show Figures

Figure 1

Back to TopTop