Sign in to use this feature.

Years

Between: -

Subjects

remove_circle_outline
remove_circle_outline
remove_circle_outline
remove_circle_outline
remove_circle_outline

Journals

Article Types

Countries / Regions

Search Results (42)

Search Parameters:
Keywords = generalized Liouville–Caputo fractional differential equations

Order results
Result details
Results per page
Select all
Export citation of selected articles as:
21 pages, 776 KB  
Article
Solvability, Ulam–Hyers Stability, and Kernel Analysis of Multi-Order σ-Hilfer Fractional Systems: A Unified Theoretical Framework
by Yasir A. Madani, Mohammed Almalahi, Osman Osman, Ahmed M. I. Adam, Haroun D. S. Adam, Ashraf A. Qurtam and Khaled Aldwoah
Fractal Fract. 2026, 10(1), 21; https://doi.org/10.3390/fractalfract10010021 - 29 Dec 2025
Viewed by 434
Abstract
This paper establishes a rigorous analytical framework for a nonlinear multi-order fractional differential system governed by the generalized σ-Hilfer operator in weighted Banach spaces. In contrast to existing studies that often treat specific kernels or fixed fractional orders in isolation, our approach [...] Read more.
This paper establishes a rigorous analytical framework for a nonlinear multi-order fractional differential system governed by the generalized σ-Hilfer operator in weighted Banach spaces. In contrast to existing studies that often treat specific kernels or fixed fractional orders in isolation, our approach provides a unified treatment that simultaneously handles multiple fractional orders, a tunable kernel σ(ς), weighted integral conditions, and a nonlinearity depending on a fractional integral of the solution. By converting the hierarchical differential structure into an equivalent Volterra integral equation, we derive sufficient conditions for the existence and uniqueness of solutions using the Banach contraction principle and Mönch’s fixed-point theorem with measures of non-compactness. The analysis is extended to Ulam–Hyers stability, ensuring robustness under modeling perturbations. A principal contribution is the systematic classification of the system’s symmetric reductions—specifically the Riemann–Liouville, Caputo, Hadamard, and Katugampola forms—all governed by a single spectral condition dependent on σ(ς). The theoretical results are illustrated by numerical examples that highlight the sensitivity of solutions to the memory kernel and the fractional orders. This work provides a cohesive analytical tool for a broad class of fractional systems with memory, thereby unifying previously disparate fractional calculi under a single, consistent framework. Full article
(This article belongs to the Section General Mathematics, Analysis)
Show Figures

Figure 1

38 pages, 601 KB  
Article
A New Laplace-Type Transform on Weighted Spaces with Applications to Hybrid Fractional Cauchy Problems
by Samten Choden, Jakgrit Sompong, Ekkarath Thailert and Sotiris K. Ntouyas
Fractal Fract. 2025, 9(11), 751; https://doi.org/10.3390/fractalfract9110751 - 20 Nov 2025
Viewed by 658
Abstract
This paper develops a generalized Laplace transform theory within weighted function spaces tailored for the analysis of fractional differential equations involving the ψ-Hilfer derivative. We redefine the transform in a weighted setting, establish its fundamental properties—including linearity, convolution theorems, and action on [...] Read more.
This paper develops a generalized Laplace transform theory within weighted function spaces tailored for the analysis of fractional differential equations involving the ψ-Hilfer derivative. We redefine the transform in a weighted setting, establish its fundamental properties—including linearity, convolution theorems, and action on δψ derivatives—and derive explicit formulas for the transforms of ψ-Riemann–Liouville, ψ-Caputo, and ψ-Hilfer fractional operators. The results provide a rigorous analytical foundation for solving hybrid fractional Cauchy problems that combine classical and fractional derivatives. As an application, we solve a hybrid model incorporating both δψ derivatives and ψ-Hilfer fractional derivatives, obtaining explicit solutions in terms of multivariate Mittag-Leffler functions. The effectiveness of the method is illustrated through a capacitor charging model and a hydraulic door closer system based on a mass-damper model, demonstrating how fractional-order terms capture memory effects and non-ideal behaviors not described by classical integer-order models. Full article
Show Figures

Figure 1

37 pages, 10271 KB  
Article
The Cotangent Derivative with Respect to Another Function: Theory, Methods and Applications
by Lakhlifa Sadek and Ali Algefary
Fractal Fract. 2025, 9(11), 690; https://doi.org/10.3390/fractalfract9110690 - 27 Oct 2025
Viewed by 691
Abstract
This paper introduces a generalization of the Riemann–Liouville and Caputo cotangent derivatives and their corresponding integrals, known as the Riemann–Liouville and Caputo cotangent derivatives with respect to another function (RAF). These fractional derivatives possess the advantageous property of forming a semigroup. The paper [...] Read more.
This paper introduces a generalization of the Riemann–Liouville and Caputo cotangent derivatives and their corresponding integrals, known as the Riemann–Liouville and Caputo cotangent derivatives with respect to another function (RAF). These fractional derivatives possess the advantageous property of forming a semigroup. The paper also presents a collection of theorems and lemmas, providing solutions to linear cotangent differential equations using the generalized Laplace transform. Moreover, we present the numerical approach, the application for solving the Caputo cotangent fractional Cauchy problem, and two examples for testing this approach. Full article
Show Figures

Figure 1

18 pages, 471 KB  
Article
A Spectral Approach to Variable-Order Fractional Differential Equations: Improved Operational Matrices for Fractional Jacobi Functions
by Hany M. Ahmed, Mohammad Izadi and Carlo Cattani
Mathematics 2025, 13(16), 2544; https://doi.org/10.3390/math13162544 - 8 Aug 2025
Cited by 1 | Viewed by 773
Abstract
The current paper presents a novel numerical technique to handle variable-order multiterm fractional differential equations (VO-MTFDEs) supplemented with initial conditions (ICs) by introducing generalized fractional Jacobi functions (GFJFs). These GFJFs satisfy the associated ICs. A crucial part of this approach is using the [...] Read more.
The current paper presents a novel numerical technique to handle variable-order multiterm fractional differential equations (VO-MTFDEs) supplemented with initial conditions (ICs) by introducing generalized fractional Jacobi functions (GFJFs). These GFJFs satisfy the associated ICs. A crucial part of this approach is using the spectral collocation method (SCM) and building operational matrices (OMs) for both integer-order and variable-order fractional derivatives in the context of GFJFs. These lead to efficient and accurate computations. The suggested algorithm’s convergence and error analysis are proved. The feasibility of the suggested procedure is confirmed via five numerical test examples. Full article
Show Figures

Figure 1

22 pages, 2193 KB  
Article
Novel Hybrid Function Operational Matrices of Fractional Integration: An Application for Solving Multi-Order Fractional Differential Equations
by Seshu Kumar Damarla and Madhusree Kundu
AppliedMath 2025, 5(2), 55; https://doi.org/10.3390/appliedmath5020055 - 10 May 2025
Viewed by 1434
Abstract
Although fractional calculus has evolved significantly since its origin in the 1695 correspondence between Leibniz and L’Hôpital, the numerical treatment of multi-order fractional differential equations remains a challenge. Existing methods are often either computationally expensive or reliant on complex operational frameworks that hinder [...] Read more.
Although fractional calculus has evolved significantly since its origin in the 1695 correspondence between Leibniz and L’Hôpital, the numerical treatment of multi-order fractional differential equations remains a challenge. Existing methods are often either computationally expensive or reliant on complex operational frameworks that hinder their broader applicability. In the present study, a novel numerical algorithm is proposed based on orthogonal hybrid functions (HFs), which were constructed as linear combinations of piecewise constant sample-and-hold functions and piecewise linear triangular functions. These functions, belonging to the class of degree-1 orthogonal polynomials, were employed to obtain the numerical solution of multi-order fractional differential equations defined in the Caputo sense. A generalized one-shot operational matrix was derived to explicitly express the Riemann–Liouville fractional integral of HFs in terms of the HFs themselves. This allowed the original multi-order fractional differential equation to be transformed directly into a system of algebraic equations, thereby simplifying the solution process. The developed algorithm was then applied to a range of benchmark problems, including both linear and nonlinear multi-order FDEs with constant and variable coefficients. Numerical comparisons with well-established methods in the literature revealed that the proposed approach not only achieved higher accuracy but also significantly reduced computational effort, demonstrating its potential as a reliable and efficient numerical tool for fractional-order modeling. Full article
Show Figures

Figure 1

29 pages, 975 KB  
Article
Theoretical Results on the pth Moment of ϕ-Hilfer Stochastic Fractional Differential Equations with a Pantograph Term
by Abdelhamid Mohammed Djaouti and Muhammad Imran Liaqat
Fractal Fract. 2025, 9(3), 134; https://doi.org/10.3390/fractalfract9030134 - 20 Feb 2025
Cited by 4 | Viewed by 1065
Abstract
Here, we establish significant results on the well-posedness of solutions to stochastic pantograph fractional differential equations (SPFrDEs) with the ϕ-Hilfer fractional derivative. Additionally, we prove the smoothness theorem for the solution and present the averaging principle result. Firstly, the contraction mapping principle [...] Read more.
Here, we establish significant results on the well-posedness of solutions to stochastic pantograph fractional differential equations (SPFrDEs) with the ϕ-Hilfer fractional derivative. Additionally, we prove the smoothness theorem for the solution and present the averaging principle result. Firstly, the contraction mapping principle is applied to determine the existence and uniqueness of the solution. Secondly, continuous dependence findings are presented under the condition that the coefficients satisfy the global Lipschitz criteria, along with regularity results. Thirdly, we establish results for the averaging principle by applying inequalities and interval translation techniques. Finally, we provide numerical examples and graphical results to support our findings. We make two generalizations of these findings. First, in terms of the fractional derivative, our established theorems and lemmas are consistent with the Caputo operator for ϕ(t) = t, a=1. Our findings match the Riemann–Liouville fractional operator for ϕ(t)=t, a=0. They agree with the Hadamard and Caputo–Hadamard fractional operators when ϕ(t)=ln(t), a=0 and ϕ(t)=ln(t), a=1, respectively. Second, regarding the space, we are make generalizations for the case p=2. Full article
Show Figures

Figure 1

15 pages, 422 KB  
Article
New Results on the Stability and Existence of Langevin Fractional Differential Equations with Boundary Conditions
by Rahman Ullah Khan, Maria Samreen, Gohar Ali and Ioan-Lucian Popa
Fractal Fract. 2025, 9(2), 127; https://doi.org/10.3390/fractalfract9020127 - 18 Feb 2025
Viewed by 1022
Abstract
This manuscript aims to establish the existence, uniqueness, and stability of solutions for Langevin fractional differential equations involving the generalized Liouville-Caputo derivative. Using a novel approach, we derive existence and uniqueness results through fixed-point theorems, extending and generalizing several existing findings in the [...] Read more.
This manuscript aims to establish the existence, uniqueness, and stability of solutions for Langevin fractional differential equations involving the generalized Liouville-Caputo derivative. Using a novel approach, we derive existence and uniqueness results through fixed-point theorems, extending and generalizing several existing findings in the literature. To demonstrate the applicability of our results, we provide a practical example that validates the theoretical framework. Full article
(This article belongs to the Section General Mathematics, Analysis)
Show Figures

Figure 1

23 pages, 372 KB  
Article
Operational Calculus for the 1st-Level General Fractional Derivatives and Its Applications
by Maryam Alkandari and Yuri Luchko
Mathematics 2024, 12(17), 2626; https://doi.org/10.3390/math12172626 - 24 Aug 2024
Cited by 5 | Viewed by 1132
Abstract
The 1st-level General Fractional Derivatives (GFDs) combine in one definition the GFDs of the Riemann–Liouville type and the regularized GFDs (or the GFDs of the Caputo type) that have been recently introduced and actively studied in the fractional calculus literature. In this paper, [...] Read more.
The 1st-level General Fractional Derivatives (GFDs) combine in one definition the GFDs of the Riemann–Liouville type and the regularized GFDs (or the GFDs of the Caputo type) that have been recently introduced and actively studied in the fractional calculus literature. In this paper, we first construct an operational calculus of the Mikusiński type for the 1st-level GFDs. In particular, it includes the operational calculi for the GFDs of the Riemann–Liouville type and for the regularized GFDs as its particular cases. In the second part of the paper, this calculus is applied for the derivation of the closed-form solution formulas to the initial-value problems for the linear fractional differential equations with the 1st-level GFDs. Full article
21 pages, 358 KB  
Article
Analysis of Caputo Sequential Fractional Differential Equations with Generalized Riemann–Liouville Boundary Conditions
by Nallappan Gunasekaran, Murugesan Manigandan, Seralan Vinoth and Rajarathinam Vadivel
Fractal Fract. 2024, 8(8), 457; https://doi.org/10.3390/fractalfract8080457 - 5 Aug 2024
Cited by 2 | Viewed by 1581
Abstract
This paper delves into a novel category of nonlocal boundary value problems concerning nonlinear sequential fractional differential equations, coupled with a unique form of generalized Riemann–Liouville fractional differential integral boundary conditions. For single-valued maps, we employ a transformation technique to convert the provided [...] Read more.
This paper delves into a novel category of nonlocal boundary value problems concerning nonlinear sequential fractional differential equations, coupled with a unique form of generalized Riemann–Liouville fractional differential integral boundary conditions. For single-valued maps, we employ a transformation technique to convert the provided system into an equivalent fixed-point problem, which we then address using standard fixed-point theorems. Following this, we evaluate the stability of these solutions utilizing the Ulam–Hyres stability method. To elucidate the derived findings, we present constructed examples. Full article
27 pages, 364 KB  
Article
Fractional-Order Sequential Linear Differential Equations with Nabla Derivatives on Time Scales
by Cheng-Cheng Zhu and Jiang Zhu
Axioms 2024, 13(7), 447; https://doi.org/10.3390/axioms13070447 - 1 Jul 2024
Cited by 1 | Viewed by 1176
Abstract
In this paper, we present a general theory for fractional-order sequential differential equations with Riemann–Liouville nabla derivatives and Caputo nabla derivatives on time scales. The explicit solution, in the case of constant coefficients, for both the homogeneous and the non-homogeneous problems, are given [...] Read more.
In this paper, we present a general theory for fractional-order sequential differential equations with Riemann–Liouville nabla derivatives and Caputo nabla derivatives on time scales. The explicit solution, in the case of constant coefficients, for both the homogeneous and the non-homogeneous problems, are given using the ∇-Mittag-Leffler function, Laplace transform method, operational method and operational decomposition method. In addition, we also provide some results about a solution to a new class of fractional-order sequential differential equations with convolutional-type variable coefficients using the Laplace transform method. Full article
(This article belongs to the Special Issue Infinite Dynamical System and Differential Equations)
19 pages, 325 KB  
Article
A Qualitative Analysis of a Non-Linear Coupled System under Two Types of Fractional Derivatives along with Mixed Boundary Conditions
by Abdelkader Amara, Mohammed El-Hadi Mezabia, Brahim Tellab, Khaled Zennir, Keltoum Bouhali and Loay Alkhalifa
Fractal Fract. 2024, 8(7), 366; https://doi.org/10.3390/fractalfract8070366 - 22 Jun 2024
Cited by 1 | Viewed by 1335
Abstract
This work addresses the qualitative analysis of a novel non-linear coupled system of fractional differential problems (FDPs) using Caputo and Liouville–Riemann fractional derivatives. Fractional calculus has demonstrated significant applicability across various fields, including financial systems, optimal control, epidemiological models, chaotic systems, and engineering. [...] Read more.
This work addresses the qualitative analysis of a novel non-linear coupled system of fractional differential problems (FDPs) using Caputo and Liouville–Riemann fractional derivatives. Fractional calculus has demonstrated significant applicability across various fields, including financial systems, optimal control, epidemiological models, chaotic systems, and engineering. The proposed model builds on existing research by formulating a non-linear coupled fractional boundary value problem with mixed boundary conditions. The primary advantages of our method include its ability to capture the dynamics of complex systems more accurately and its flexibility in handling different types of fractional derivatives. The model’s solution was derived using advanced mathematical techniques, and the results confirmed the existence and uniqueness of the solutions. This approach not only generalizes classical differential equation methods but also offers a robust framework for modeling real-world phenomena governed by fractional dynamics. The study concludes with the validation of the theoretical findings through illustrative examples, highlighting the method’s efficacy and potential for further applications. Full article
17 pages, 922 KB  
Article
A New Mixed Fractional Derivative with Applications in Computational Biology
by Khalid Hattaf
Computation 2024, 12(1), 7; https://doi.org/10.3390/computation12010007 - 4 Jan 2024
Cited by 67 | Viewed by 3958
Abstract
This study develops a new definition of a fractional derivative that mixes the definitions of fractional derivatives with singular and non-singular kernels. This developed definition encompasses many types of fractional derivatives, such as the Riemann–Liouville and Caputo fractional derivatives for singular kernel types, [...] Read more.
This study develops a new definition of a fractional derivative that mixes the definitions of fractional derivatives with singular and non-singular kernels. This developed definition encompasses many types of fractional derivatives, such as the Riemann–Liouville and Caputo fractional derivatives for singular kernel types, as well as the Caputo–Fabrizio, the Atangana–Baleanu, and the generalized Hattaf fractional derivatives for non-singular kernel types. The associate fractional integral of the new mixed fractional derivative is rigorously introduced. Furthermore, a novel numerical scheme is developed to approximate the solutions of a class of fractional differential equations (FDEs) involving the mixed fractional derivative. Finally, an application in computational biology is presented. Full article
Show Figures

Figure 1

33 pages, 1380 KB  
Article
Proposal for Use of the Fractional Derivative of Radial Functions in Interpolation Problems
by Anthony Torres-Hernandez, Fernando Brambila-Paz and Rafael Ramirez-Melendez
Fractal Fract. 2024, 8(1), 16; https://doi.org/10.3390/fractalfract8010016 - 23 Dec 2023
Cited by 1 | Viewed by 7978
Abstract
This paper presents the construction of a family of radial functions aimed at emulating the behavior of the radial basis function known as thin plate spline (TPS). Additionally, a method is proposed for applying fractional derivatives, both partially and fully, to these functions [...] Read more.
This paper presents the construction of a family of radial functions aimed at emulating the behavior of the radial basis function known as thin plate spline (TPS). Additionally, a method is proposed for applying fractional derivatives, both partially and fully, to these functions for use in interpolation problems. Furthermore, a technique is employed to precondition the matrices generated in the presented problems through QR decomposition. Similarly, a method is introduced to define two different types of abelian groups for any fractional operator defined in the interval [0,1), among which the Riemann–Liouville fractional integral, Riemann–Liouville fractional derivative, and Caputo fractional derivative are worth mentioning. Finally, a form of radial interpolant is suggested for application in solving fractional differential equations using the asymmetric collocation method, and examples of its implementation in differential operators utilizing the aforementioned fractional operators are shown. Full article
Show Figures

Figure 1

17 pages, 3347 KB  
Article
Fractional Diffusion Equation under Singular and Non-Singular Kernel and Its Stability
by Enrique C. Gabrick, Paulo R. Protachevicz, Ervin K. Lenzi, Elaheh Sayari, José Trobia, Marcelo K. Lenzi, Fernando S. Borges, Iberê L. Caldas and Antonio M. Batista
Fractal Fract. 2023, 7(11), 792; https://doi.org/10.3390/fractalfract7110792 - 30 Oct 2023
Cited by 3 | Viewed by 2816
Abstract
The fractional reaction–diffusion equation has been used in many real-world applications in fields such as physics, biology, and chemistry. Motivated by the huge application of fractional reaction–diffusion, we propose a numerical scheme to solve the fractional reaction–diffusion equation under different kernels. Our method [...] Read more.
The fractional reaction–diffusion equation has been used in many real-world applications in fields such as physics, biology, and chemistry. Motivated by the huge application of fractional reaction–diffusion, we propose a numerical scheme to solve the fractional reaction–diffusion equation under different kernels. Our method can be particularly employed for singular and non-singular kernels, such as the Riemann–Liouville, Caputo, Fabrizio–Caputo, and Atangana–Baleanu operators. Moreover, we obtained general inequalities that guarantee that the stability condition depends explicitly on the kernel. As an implementation of the method, we numerically solved the diffusion equation under the power-law and exponential kernels. For the power-law kernel, we solved by considering fractional time, space, and both operators. In another example, we considered the exponential kernel acting on the time derivative and compared the numerical results with the analytical ones. Our results showed that the numerical procedure developed in this work can be employed to solve fractional differential equations considering different kernels. Full article
Show Figures

Figure 1

19 pages, 4498 KB  
Article
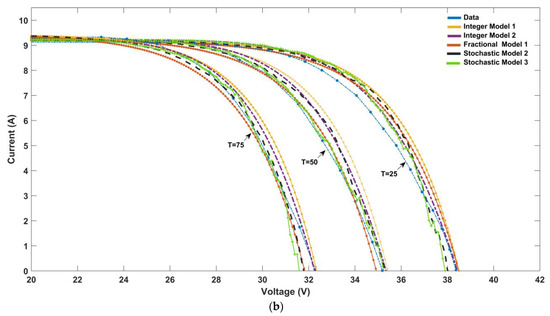
Novel Fractional Order and Stochastic Formulations for the Precise Prediction of Commercial Photovoltaic Curves
by Othman A. M. Omar, Ahmed O. Badr and Ibrahim Mohamed Diaaeldin
Mathematics 2023, 11(21), 4417; https://doi.org/10.3390/math11214417 - 25 Oct 2023
Cited by 4 | Viewed by 1397
Abstract
To effectively represent photovoltaic (PV) modules while considering their dependency on changing environmental conditions, three novel mathematical and empirical formulations are proposed in this study to model PV curves with minimum effort and short timing. The three approaches rely on distinct mathematical techniques [...] Read more.
To effectively represent photovoltaic (PV) modules while considering their dependency on changing environmental conditions, three novel mathematical and empirical formulations are proposed in this study to model PV curves with minimum effort and short timing. The three approaches rely on distinct mathematical techniques and definitions to formulate PV curves using function representations. We develop our models through fractional derivatives and stochastic white noise. The first empirical model is proposed using a fractional regression tool driven by the Liouville-Caputo fractional derivative and then implemented by the Mittag-Leffler function representation. Further, the fractional-order stochastic ordinary differential equation (ODE) tool is employed to generate two effective generic models. In this work, multiple commercial PV modules are modeled using the proposed fractional and stochastic formulations. Using the experimental data of the studied PV panels at different climatic conditions, we evaluate the proposed models’ accuracy using two effective statistical indices: the root mean squares error (RMSE) and the determination coefficient (R2). Finally, the proposed approaches are compared to several integer-order models in the literature where the proposed models’ precisely follow the real PV curves with a higher R2 and lower RMSE values at different irradiance levels lower than 800 w/m2, and module temperature levels higher than 50 °C. Full article
(This article belongs to the Section E2: Control Theory and Mechanics)
Show Figures

Figure 1

Back to TopTop