Sign in to use this feature.

Years

Between: -

Subjects

remove_circle_outline
remove_circle_outline
remove_circle_outline
remove_circle_outline
remove_circle_outline
remove_circle_outline
remove_circle_outline
remove_circle_outline
remove_circle_outline

Journals

remove_circle_outline
remove_circle_outline
remove_circle_outline
remove_circle_outline
remove_circle_outline
remove_circle_outline
remove_circle_outline
remove_circle_outline
remove_circle_outline

Article Types

Countries / Regions

remove_circle_outline
remove_circle_outline
remove_circle_outline
remove_circle_outline

Search Results (1,354)

Search Parameters:
Keywords = frequency-domain integration

Order results
Result details
Results per page
Select all
Export citation of selected articles as:
21 pages, 3194 KB  
Article
Validation of an Automated Seizure Detection Procedure for Multi-Channel Neonatal EEG
by Cris Micheli, Antonia Thelen, Maarten De Vos, Anneleen Dereymaeker, Jens Haueisen and Patrique Fiedler
Appl. Sci. 2026, 16(1), 52; https://doi.org/10.3390/app16010052 (registering DOI) - 20 Dec 2025
Abstract
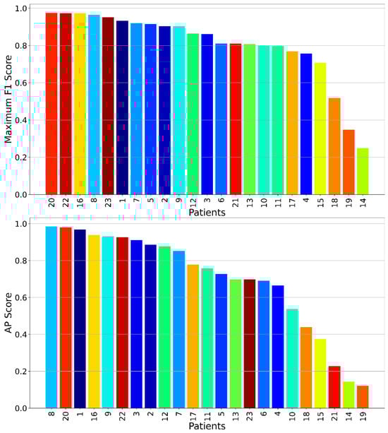
This study validates an automated seizure detection algorithm for multi-channel neonatal EEG, adapting a previously published method to a dataset with fewer electrodes. The Python-based implementation, SDApy, was applied to EEG recordings from 23 neonates to classify seizure and non-seizure epochs using a [...] Read more.
This study validates an automated seizure detection algorithm for multi-channel neonatal EEG, adapting a previously published method to a dataset with fewer electrodes. The Python-based implementation, SDApy, was applied to EEG recordings from 23 neonates to classify seizure and non-seizure epochs using a support vector machine trained on an independent dataset. The algorithm employs time- and frequency-domain features and maintains high generalization across different recording setups, achieving robust performance despite using only nine electrodes instead of nineteen. Evaluation metrics, including F1 scores and precision—recall curves, confirmed strong agreement between algorithm predictions and expert annotations for most patients. SDApy’s open-source implementation enhances accessibility compared with earlier MatLab versions, offering a transparent and cost-effective approach to clinical EEG analysis. The pipeline can operate with labels from a single expert, supports data pre-labeling for deep learning, and integrates well into neonatal intensive care unit monitoring workflows. Overall, SDApy demonstrates reliable adaptation to reduced-channel EEG and shows potential for real-time seizure detection, personalized threshold optimization, and integration into multimodal neurophysiological monitoring systems. Full article
(This article belongs to the Special Issue EEG Signal Processing in Medical Diagnosis Applications)
Show Figures

Figure 1

17 pages, 3772 KB  
Article
Research on Time-Domain Fatigue Analysis Method for Automotive Components Considering Performance Degradation
by Junru He, Chun Zhang and Ruoqing Wan
Appl. Sci. 2026, 16(1), 40; https://doi.org/10.3390/app16010040 (registering DOI) - 19 Dec 2025
Abstract
Automotive components’ exposure to prolonged random loading not only accumulates fatigue damage but also causes material stiffness degradation. The degradation of material mechanical properties leads to stress redistribution within the structure, which in turn affects the structural fatigue life. Conventional frequency-domain fatigue life [...] Read more.
Automotive components’ exposure to prolonged random loading not only accumulates fatigue damage but also causes material stiffness degradation. The degradation of material mechanical properties leads to stress redistribution within the structure, which in turn affects the structural fatigue life. Conventional frequency-domain fatigue life analysis methods often fail to take into account performance degradation, whereas time-domain approaches are constrained by computational inefficiency in dynamic response calculations. To address this, a time-domain fatigue life analysis is proposed, integrating Long Short-Term Memory (LSTM) networks with performance degradation modeling. First, short-term dynamic response data of engineering structures that contain stiffness degradation parameters are utilized to establish a training set, and an LSTM surrogate model is trained to rapidly predict stress responses in time- and degree-varying structural performance degradation. Second, the time-varying dynamic responses obtained from the LSTM surrogate model are related to the principles the fatigue damage accumulation and Miner’s criterion to quantify the stiffness degradation effects. A computational framework has been developed for fatigue life prediction through iterative alternation between dynamic response calculations and fatigue damage assessments. Case studies on notched plates demonstrate that the LSTM surrogate model approach ensures accuracy while reducing structural fatigue life analysis time by more than three orders of magnitude compared to the finite element method (FEM). Under the application of 20,000s random road loads, the damage value of the reinforced plate obtained by the surrogate model method that takes into account performance degradation is lower by 10–25% compared to that calculated by the frequency-domain or time-domain methods that neglect degradation. Full article
Show Figures

Figure 1

23 pages, 1469 KB  
Article
Wave Direction Classification for Advancing Ships Using Artificial Neural Networks Based on Motion Response Spectra
by Taehyun Yoon, Young Il Park, Won-Ju Lee and Jeong-Hwan Kim
J. Mar. Sci. Eng. 2026, 14(1), 6; https://doi.org/10.3390/jmse14010006 - 19 Dec 2025
Abstract
This study proposes a novel artificial neural network-based methodology for classifying the incident wave direction during ship navigation using the heave–roll–pitch motion response spectra as input. The proposed model demonstrated a balanced performance with an overall accuracy of approximately 0.888, effectively classifying the [...] Read more.
This study proposes a novel artificial neural network-based methodology for classifying the incident wave direction during ship navigation using the heave–roll–pitch motion response spectra as input. The proposed model demonstrated a balanced performance with an overall accuracy of approximately 0.888, effectively classifying the wave direction into three major categories: head-sea, beam-sea, and following-sea. The methodology utilizes Response Amplitude Operators derived from linear potential flow theory to generate motion response spectra, which are then used to classify the incident wave direction. The model effectively learns the frequency-distribution characteristics of the response spectrum, enabling wave direction classification without the need for complex inverse analysis procedures. This approach is significant in that it allows wave direction recognition solely based on measurable ship motion responses, without the need for additional external sensors or mathematical modeling. This data-driven approach has strong potential for integration into autonomous ship situational awareness modules and real-time wave monitoring technologies. However, the study simplified the directional domain into three representative groups, and the model was validated primarily using a numerically generated dataset, indicating the need for future improvements. Future research will expand the dataset to include a broader range of sea states, improve directional resolution, and explore continuous wave direction prediction. Additionally, further validation using field-measured data will be conducted to assess the real-time applicability of the proposed model. Full article
(This article belongs to the Special Issue Autonomous Ship and Harbor Maneuvering: Modeling and Control)
Show Figures

Figure 1

32 pages, 2975 KB  
Article
A Novel Framework for Cardiovascular Disease Detection Using a Hybrid CWT-SIFT Image Representation and a Lightweight Residual Attention Network
by Imane El Boujnouni
Diagnostics 2026, 16(1), 5; https://doi.org/10.3390/diagnostics16010005 - 19 Dec 2025
Abstract
Background: The mortality and morbidity rates of cardiovascular disease (CVD) are rising sharply in many developed and developing countries. CVD is a fatal disease that requires early and timely diagnosis to prevent further damage and ultimately save patients’ lives. In recent years, numerous [...] Read more.
Background: The mortality and morbidity rates of cardiovascular disease (CVD) are rising sharply in many developed and developing countries. CVD is a fatal disease that requires early and timely diagnosis to prevent further damage and ultimately save patients’ lives. In recent years, numerous studies have explored the automated identification of different categories of CVDs using various deep learning classifiers. However, they often rely on a substantial amount of data. The lack of representative training samples in real-world scenarios, especially in developing countries, poses a significant challenge that hinders the successful training of accurate predictive models. In this study, we introduce a framework to address this gap. Methods: The core novelty of our framework is the combination of Multi-Resolution Wavelet Features with Scale-Invariant Feature Transform (SIFT) keypoint density maps and a lightweight residual attention neural network (ResAttNet). Our hybrid approach transforms one-dimensional ECG signals into a three-channel image representation. Specifically, the CWT is used to extract hidden features in the time-frequency domain to create the first two image channels. Subsequently, the SIFT algorithm is implemented to capture additional significant features to generate the third channel. These three-channel images are then fed to our custom residual attention neural network to enhance classification performance. To tackle the challenge of class imbalance present in our dataset, we employed a hybrid strategy combining the Synthetic Minority Over-sampling Technique (SMOTE) with Edited Nearest Neighbors (ENN) to balance class samples and integrated Focal Loss into the training process to help the model focus on hard-to-classify instances. Results: The performance metrics achieved using five-fold cross-validation are 99.60% accuracy, 97.38% precision, 98.53% recall, and 97.37% F1-score. Conclusions: The experimental results showed that our proposed method outperforms current state-of-the-art methods. The primary practical implication of this work is that by combining a novel, information-rich feature representation with a lightweight classifier, our framework offers a highly accurate and computationally efficient solution, making it a significant step towards developing accessible and scalable computer-aided screening tools. Full article
Show Figures

Figure 1

28 pages, 4151 KB  
Article
FANet: Frequency-Aware Attention-Based Tiny-Object Detection in Remote Sensing Images
by Zixiao Wen, Peifeng Li, Yuhan Liu, Jingming Chen, Xiantai Xiang, Yuan Li, Huixian Wang, Yongchao Zhao and Guangyao Zhou
Remote Sens. 2025, 17(24), 4066; https://doi.org/10.3390/rs17244066 - 18 Dec 2025
Abstract
In recent years, deep learning-based remote sensing object detection has achieved remarkable progress, yet the detection of tiny objects remains a significant challenge. Tiny objects in remote sensing images typically occupy only a few pixels, resulting in low contrast, poor resolution, and high [...] Read more.
In recent years, deep learning-based remote sensing object detection has achieved remarkable progress, yet the detection of tiny objects remains a significant challenge. Tiny objects in remote sensing images typically occupy only a few pixels, resulting in low contrast, poor resolution, and high sensitivity to localization errors. Their diverse scales and appearances, combined with complex backgrounds and severe class imbalance, further complicate the detection tasks. Conventional spatial feature extraction methods often struggle to capture the discriminative characteristics of tiny objects, especially in the presence of noise and occlusion. To address these challenges, we propose a frequency-aware attention-based tiny-object detection network with two plug-and-play modules that leverage frequency-domain information to enhance the targets. Specifically, we introduce a Multi-Scale Frequency Feature Enhancement Module (MSFFEM) to adaptively highlight the contour and texture details of tiny objects while suppressing background noise. Additionally, a Channel Attention-based RoI Enhancement Module (CAREM) is proposed to selectively emphasize high-frequency responses within RoI features, further improving object localization and classification. Furthermore, to mitigate sample imbalance, we employ multi-directional flip sample augmentation and redundancy filtering strategies, which significantly boost detection performance for few-shot categories. Extensive experiments on public object detection datasets, i.e., AI-TOD, VisDrone2019, and DOTA-v1.5, demonstrate that the proposed FANet consistently improves detection performance for tiny objects, outperforming existing methods and providing new insights into the integration of frequency-domain analysis and attention mechanisms for robust tiny-object detection in remote sensing applications. Full article
(This article belongs to the Special Issue Deep Learning-Based Small-Target Detection in Remote Sensing)
Show Figures

Figure 1

28 pages, 6148 KB  
Article
A Fault Diagnosis Method for Pump Station Units Based on CWT-MHA-CNN Model for Sustainable Operation of Inter-Basin Water Transfer Projects
by Hongkui Ren, Tao Zhang, Qingqing Tian, Hongyu Yang, Yu Tian, Lei Guo and Kun Ren
Sustainability 2025, 17(24), 11383; https://doi.org/10.3390/su172411383 - 18 Dec 2025
Abstract
Inter-basin water transfer projects are core infrastructure for achieving sustainable water resource allocation and addressing regional water scarcity, and pumping station units, as their critical energy-consuming and operation-controlling components, are vital to the projects’ sustainable performance. With the growing complexity and scale of [...] Read more.
Inter-basin water transfer projects are core infrastructure for achieving sustainable water resource allocation and addressing regional water scarcity, and pumping station units, as their critical energy-consuming and operation-controlling components, are vital to the projects’ sustainable performance. With the growing complexity and scale of these projects, pumping station units have become more intricate, leading to a gradual rise in failure rates. However, existing fault diagnosis methods are relatively backward, failing to promptly detect potential faults—this not only threatens operational safety but also undermines sustainable development goals: equipment failures cause excessive energy consumption (violating energy efficiency requirements for sustainability), unplanned downtime disrupts stable water supply (impairing reliable water resource access), and even leads to water waste or environmental risks. To address this sustainability-oriented challenge, this paper focuses on the fault characteristics of pumping station units and proposes a comprehensive and accurate fault diagnosis model, aiming to enhance the sustainability of water transfer projects through technical optimization. The model utilizes advanced algorithms and data processing technologies to accurately identify fault types, thereby laying a technical foundation for the low-energy, reliable, and sustainable operation of pumping stations. Firstly, continuous wavelet transform (CWT) converts one-dimensional time-domain signals into two-dimensional time-frequency graphs, visually displaying dynamic signal characteristics to capture early fault features that may cause energy waste. Next, the multi-head attention mechanism (MHA) segments the time-frequency graphs and correlates feature-location information via independent self-attention layers, accurately capturing the temporal correlation of fault evolution—this enables early fault warning to avoid prolonged inefficient operation and energy loss. Finally, the improved convolutional neural network (CNN) layer integrates feature information and temporal correlation, outputting predefined fault probabilities for accurate fault determination. Experimental results show the model effectively solves the difficulty of feature extraction in pumping station fault diagnosis, considers fault evolution timeliness, and significantly improves prediction accuracy and anti-noise performance. Comparative experiments with three existing methods verify its superiority. Critically, this model strengthens sustainability in three key ways: (1) early fault detection reduces unplanned downtime, ensuring stable water supply (a core sustainable water resource goal); (2) accurate fault localization cuts unnecessary maintenance energy consumption, aligning with energy-saving requirements; (3) reduced equipment failure risks minimize water waste and environmental impacts. Thus, it not only provides a new method for pumping station fault diagnosis but also offers technical support for the sustainable operation of water conservancy infrastructure, contributing to global sustainable development goals (SDGs) related to water and energy. Full article
Show Figures

Figure 1

21 pages, 16524 KB  
Article
MUSIC-Based Multi-Channel Forward-Scatter Radar Using OFDM Signals
by Yihua Qin, Abdollah Ajorloo and Fabiola Colone
Sensors 2025, 25(24), 7621; https://doi.org/10.3390/s25247621 - 16 Dec 2025
Viewed by 181
Abstract
This paper presents an advanced signal processing framework for multi-channel forward-scatter radar (MC-FSR) systems based on the Multiple Signal Classification (MUSIC) algorithm. The proposed framework addresses the inherent limitations of FFT-based space-domain processing, such as limited angular resolution and the poor detectability of [...] Read more.
This paper presents an advanced signal processing framework for multi-channel forward-scatter radar (MC-FSR) systems based on the Multiple Signal Classification (MUSIC) algorithm. The proposed framework addresses the inherent limitations of FFT-based space-domain processing, such as limited angular resolution and the poor detectability of weak or closely spaced targets, which become particularly severe in low-cost FSR systems, which are typically operated with small antenna arrays. The MUSIC algorithm is adapted to operate on real-valued data obtained from the non-coherent, amplitude-based MC-FSR approach by reformulating the steering vectors and adjusting the degrees of freedom (DoFs). While compatible with arbitrary transmitting waveforms, particular emphasis is placed on Orthogonal Frequency Division Multiplexing (OFDM) signals, which are widely used in modern communication systems such as Wi-Fi and cellular networks. An analysis of the OFDM waveform’s autocorrelation properties is provided to assess their impact on target detection, including strategies to mitigate rapid target signature decay using a sub-band approach and to manage signal correlation through spatial smoothing. Simulation results, including multi-target scenarios under constrained array configurations, demonstrate that the proposed MUSIC-based approach significantly enhances angular resolution and enables reliable discrimination of closely spaced targets even with a limited number of receiving channels. Experimental validation using an S-band MC-FSR prototype implemented with software-defined radios (SDRs) and commercial Wi-Fi antennas, involving cooperative targets like people and drones, further confirms the effectiveness and practicality of the proposed method for real-world applications. Overall, the proposed MUSIC-based MC-FSR framework exhibits strong potential for implementation in low-cost, hardware-constrained environments and is particularly suited for emerging Integrated Sensing and Communication (ISAC) systems. Full article
(This article belongs to the Special Issue Advances in Multichannel Radar Systems)
Show Figures

Figure 1

33 pages, 4409 KB  
Article
An Integrated Framework for Electricity Price Analysis and Forecasting Based on DROI Framework: Application to Spanish Power Markets
by Nuo Chen, Caishan Gao, Luqi Yuan, Jiani Heng and Jianwei Fan
Sustainability 2025, 17(24), 11210; https://doi.org/10.3390/su172411210 - 15 Dec 2025
Viewed by 113
Abstract
Against the backdrop of electricity market liberalization and deregulation, accurate electricity price forecasting is critical for optimizing power dispatch and promoting the low-carbon transition of energy structures. However, electricity prices exhibit inherent complexities such as seasonality, high volatility, and non-stationarity, which undermine the [...] Read more.
Against the backdrop of electricity market liberalization and deregulation, accurate electricity price forecasting is critical for optimizing power dispatch and promoting the low-carbon transition of energy structures. However, electricity prices exhibit inherent complexities such as seasonality, high volatility, and non-stationarity, which undermine the efficacy of traditional forecasting methodologies. To address these challenges, this study proposes a four-stage Decomposition-Reconstruction-Optimization-Integration (DROI) framework, coupled with an econometric breakpoint test, to evaluate forecasting performance across distinct time segments of Spanish electricity price data. The framework employs CEEMDAN for signal decomposition, decomposing complex price sequences into intrinsic mode functions to retain essential features while mitigating noise, followed by frequency-based data reconstruction; integrates the Improved Sparrow Search Algorithm (ISSA) to optimize initial model parameters, minimizing errors induced by subjective factors; and leverages Convolutional Neural Networks (CNN) for frequency-domain feature extraction, enhanced by an attention mechanism to weight channels and prioritize critical attributes, paired with Long Short-Term Memory (LSTMs) for temporal sequence forecasting. Experimental results validate the method’s robustness in both interval forecasting (IPCP = 100% and IPNAW is the smallest, Experiment 1.3) and point forecasting tasks (MAPE = 1.3758%, Experiment 1.1), outperforming naive approaches in processing stationary sequence clusters and demonstrating substantial economic utility to inform sustainable power system management. Full article
(This article belongs to the Special Issue Energy Price Forecasting and Sustainability on Energy Transition)
Show Figures

Figure 1

35 pages, 457 KB  
Review
Electroencephalographic Biomarkers in Tinnitus: A Narrative Review of Current Approaches and Clinical Perspectives
by Hyeonsu Oh, Dongwoo Lee, Jae-Kwon Song, Seunghyeon Baek and In-Ki Jin
Brain Sci. 2025, 15(12), 1332; https://doi.org/10.3390/brainsci15121332 - 14 Dec 2025
Viewed by 444
Abstract
Background/Objectives: Tinnitus causes significant cognitive and emotional distress; however, its clinical assessment mostly relies on subjective measures without evaluation of objective indices. In this narrative review, we examined the potential of electroencephalography (EEG)-based neurophysiological markers as objective biomarkers in tinnitus assessment. Methods [...] Read more.
Background/Objectives: Tinnitus causes significant cognitive and emotional distress; however, its clinical assessment mostly relies on subjective measures without evaluation of objective indices. In this narrative review, we examined the potential of electroencephalography (EEG)-based neurophysiological markers as objective biomarkers in tinnitus assessment. Methods: The Web of Science, PubMed, EMBASE, and MEDLINE databases were searched to identify research articles on EEG-based analysis of individuals with tinnitus. Studies in which treatment and control groups were compared across four analytical domains (spectral power analysis, functional connectivity, microstate analysis, and entropy measures) were included. Qualitative synthesis was conducted to elucidate neurophysiological mechanisms, methodological characteristics, and clinical implications. Results: Analysis of 18 studies (n = 1188 participants) revealed that tinnitus is characterized by distributed neural dysfunction that extends beyond the auditory system. Spectral power analyses revealed sex-dependent, frequency-specific abnormalities across distributed brain regions. Connectivity analyses demonstrated elevated long-range coupling in high-frequency bands concurrent with diminished low-frequency synchronization. Microstate analyses revealed alterations in spatial configuration and transition probabilities. Entropy quantification indicated elevated complexity, particularly in the frontal and auditory cortices. Conclusions: EEG-derived neurophysiological markers demonstrate associations with tinnitus in group analyses and show potential for elucidating pathophysiological mechanisms. However, significant limitations, including low spatial resolution, small sample sizes, methodological heterogeneity, and lack of validation for individual-level diagnosis or treatment prediction, highlight the need for cautious interpretation. Standardized analytical protocols, larger validation studies, multimodal neuroimaging integration, and demonstration of clinical utility in prospective trials are required before EEG markers can be established as biomarkers for tinnitus diagnosis and management. Full article
17 pages, 853 KB  
Article
Robust ENF-Based Inter-Grid Geo-Localization via Real-Time Online Multimedia Data
by Sijin Wu, Haijian Zhang, Shiyu Zuo and Yurao Zhou
Electronics 2025, 14(24), 4905; https://doi.org/10.3390/electronics14244905 - 13 Dec 2025
Viewed by 129
Abstract
The electric network frequency (ENF) serves as a vital criterion in geographical localization because its frequency fluctuations remain consistent within the same power grid. However, the performance of existing ENF-based audio geo-localization methods is limited when dealing with real-world scenarios, such as short [...] Read more.
The electric network frequency (ENF) serves as a vital criterion in geographical localization because its frequency fluctuations remain consistent within the same power grid. However, the performance of existing ENF-based audio geo-localization methods is limited when dealing with real-world scenarios, such as short audio durations and noisy environments. Moreover, the size of available ENF data is still small. To address these issues, we propose a novel audio inter-grid geo-localization method utilizing real-time online multimedia data. First, we construct the China-Online-Data dataset using online data, which integrates enhancement and harmonic selection to reduce noise and improve ENF estimation accuracy. Subsequently, we propose an ENF-based Dual-Channel Geo-Localization Network (DC-GLNet), which leverages both time and time-frequency domain information to improve feature extraction and classification performance. Experimental results demonstrate that the proposed method outperforms existing methods, particularly in short audio scenarios, achieving superior accuracy for inter-grid geo-localization. Full article
(This article belongs to the Special Issue Intelligent Computing and Signal Processing in Electronics Multimedia)
Show Figures

Figure 1

36 pages, 7233 KB  
Article
Deep Learning for Tumor Segmentation and Multiclass Classification in Breast Ultrasound Images Using Pretrained Models
by K. E. ArunKumar, Matthew E. Wilson, Nathan E. Blake, Tylor J. Yost and Matthew Walker
Sensors 2025, 25(24), 7557; https://doi.org/10.3390/s25247557 - 12 Dec 2025
Viewed by 267
Abstract
Early detection of breast cancer commonly relies on imaging technologies such as ultrasound, mammography and MRI. Among these, breast ultrasound is widely used by radiologists to identify and assess lesions. In this study, we developed image segmentation techniques and multiclass classification artificial intelligence [...] Read more.
Early detection of breast cancer commonly relies on imaging technologies such as ultrasound, mammography and MRI. Among these, breast ultrasound is widely used by radiologists to identify and assess lesions. In this study, we developed image segmentation techniques and multiclass classification artificial intelligence (AI) tools based on pretrained models to segment lesions and detect breast cancer. The proposed workflow includes both the development of segmentation models and development of a series of classification models to classify ultrasound images as normal, benign or malignant. The pretrained models were trained and evaluated on the Breast Ultrasound Images (BUSI) dataset, a publicly available collection of grayscale breast ultrasound images with corresponding expert-annotated masks. For segmentation, images and ground-truth masks were used to pretrained encoder (ResNet18, EfficientNet-B0 and MobileNetV2)–decoder (U-Net, U-Net++ and DeepLabV3) models, including the DeepLabV3 architecture integrated with a Frequency-Domain Feature Enhancement Module (FEM). The proposed FEM improves spatial and spectral feature representations using Discrete Fourier Transform (DFT), GroupNorm, dropout regularization and adaptive fusion. For classification, each image was assigned a label (normal, benign or malignant). Optuna, an open-source software framework, was used for hyperparameter optimization and for the testing of various pretrained models to determine the best encoder–decoder segmentation architecture. Five different pretrained models (ResNet18, DenseNet121, InceptionV3, MobielNetV3 and GoogleNet) were optimized for multiclass classification. DeepLabV3 outperformed other segmentation architectures, with consistent performance across training, validation and test images, with Dice Similarity Coefficient (DSC, a metric describing the overlap between predicted and true lesion regions) values of 0.87, 0.80 and 0.83 on training, validation and test sets, respectively. ResNet18:DeepLabV3 achieved an Intersection over Union (IoU) score of 0.78 during training, while ResNet18:U-Net++ achieved the best Dice coefficient (0.83) and IoU (0.71) and area under the curve (AUC, 0.91) scores on the test (unseen) dataset when compared to other models. However, the proposed Resnet18: FrequencyAwareDeepLabV3 (FADeepLabV3) achieved a DSC of 0.85 and an IoU of 0.72 on the test dataset, demonstrating improvements over standard DeepLabV3. Notably, the frequency-domain enhancement substantially improved the AUC from 0.90 to 0.98, indicating enhanced prediction confidence and clinical reliability. For classification, ResNet18 produced an F1 score—a measure combining precision and recall—of 0.95 and an accuracy of 0.90 on the training dataset, while InceptionV3 performed best on the test dataset, with an F1 score of 0.75 and accuracy of 0.83. We demonstrate a comprehensive approach to automate the segmentation and multiclass classification of breast cancer ultrasound images into benign, malignant or normal transfer learning models on an imbalanced ultrasound image dataset. Full article
Show Figures

Figure 1

22 pages, 492 KB  
Article
Measuring Statistical Dependence via Characteristic Function IPM
by Povilas Daniušis, Shubham Juneja, Lukas Kuzma and Virginijus Marcinkevičius
Entropy 2025, 27(12), 1254; https://doi.org/10.3390/e27121254 - 12 Dec 2025
Viewed by 342
Abstract
We study statistical dependence in the frequency domain using the integral probability metric (IPM) framework. We propose the uniform Fourier dependence measure (UFDM) defined as the uniform norm of the difference between the joint and product-marginal characteristic functions. We provide a theoretical analysis, [...] Read more.
We study statistical dependence in the frequency domain using the integral probability metric (IPM) framework. We propose the uniform Fourier dependence measure (UFDM) defined as the uniform norm of the difference between the joint and product-marginal characteristic functions. We provide a theoretical analysis, highlighting key properties, such as invariances, monotonicity in linear dimension reduction, and a concentration bound. For the estimation of the UFDM, we propose a gradient-based algorithm with singular value decomposition (SVD) warm-up and show that this warm-up is essential for stable performance. The empirical estimator of UFDM is differentiable, and it can be integrated into modern machine learning pipelines. In experiments with synthetic and real-world data, we compare UFDM with distance correlation (DCOR), Hilbert–Schmidt independence criterion (HSIC), and matrix-based Rényi’s α-entropy functional (MEF) in permutation-based statistical independence testing and supervised feature extraction. Independence test experiments showed the effectiveness of UFDM at detecting some sparse geometric dependencies in a diverse set of patterns that span different linear and nonlinear interactions, including copulas and geometric structures. In feature extraction experiments across 16 OpenML datasets, we conducted 160 pairwise comparisons: UFDM statistically significantly outperformed other baselines in 20 cases and was outperformed in 13. Full article
Show Figures

Figure 1

16 pages, 2128 KB  
Article
Robust Motor Imagery–Brain–Computer Interface Classification in Signal Degradation: A Multi-Window Ensemble Approach
by Dong-Geun Lee and Seung-Bo Lee
Biomimetics 2025, 10(12), 832; https://doi.org/10.3390/biomimetics10120832 - 12 Dec 2025
Viewed by 261
Abstract
Electroencephalography (EEG)-based brain–computer interface (BCI) mimics the brain’s intrinsic information-processing mechanisms by translating neural oscillations into actionable commands. In motor imagery (MI) BCI, imagined movements evoke characteristic patterns over the sensorimotor cortex, forming a biomimetic channel through which internal motor intentions are decoded. [...] Read more.
Electroencephalography (EEG)-based brain–computer interface (BCI) mimics the brain’s intrinsic information-processing mechanisms by translating neural oscillations into actionable commands. In motor imagery (MI) BCI, imagined movements evoke characteristic patterns over the sensorimotor cortex, forming a biomimetic channel through which internal motor intentions are decoded. However, this biomimetic interaction is highly vulnerable to signal degradation, particularly in mobile or low-resource environments where low sampling frequencies obscure these MI-related oscillations. To address this limitation, we propose a robust MI classification framework that integrates spatial, spectral, and temporal dynamics through a filter bank common spatial pattern with time segmentation (FBCSP-TS). This framework classifies motor imagery tasks into four classes (left hand, right hand, foot, and tongue), segments EEG signals into overlapping time domains, and extracts frequency-specific spatial features across multiple subbands. Segment-level predictions are combined via soft voting, reflecting the brain’s distributed integration of information and enhancing resilience to transient noise and localized artifacts. Experiments performed on BCI Competition IV datasets 2a (250 Hz) and 1 (100 Hz) demonstrate that FBCSP-TS outperforms CSP and FBCSP. A paired t-test confirms that accuracy at 110 Hz is not significantly different from that at 250 Hz (p < 0.05), supporting the robustness of the proposed framework. Optimal temporal parameters (window length = 3.5 s, moving length = 0.5 s) further stabilize transient-signal capture and improve SNR. External validation yielded a mean accuracy of 0.809 ± 0.092 and Cohen’s kappa of 0.619 ± 0.184, confirming strong generalizability. By preserving MI-relevant neural patterns under degraded conditions, this framework advances practical, biomimetic BCI suitable for wearable and real-world deployment. Full article
Show Figures

Graphical abstract

12 pages, 3631 KB  
Article
A Study on the Lithium-Ion Battery Fire Prevention Diagnostic Technique Based on Time-Resolved Partial Discharge Algorithm
by Wen-Cheng Jin, Chang-Won Kang, Soon-Hyung Lee, Kyung-Min Lee and Yong-Sung Choi
Energies 2025, 18(24), 6510; https://doi.org/10.3390/en18246510 - 12 Dec 2025
Viewed by 227
Abstract
Lithium-ion batteries are extensively employed in electric vehicles (EVs) and energy storage systems (ESSs) owing to their high energy density, long cyclability, and cost-effectiveness. However, the use of flammable electrolytes makes them inherently susceptible to thermal runaway (TR), which can lead to ignition, [...] Read more.
Lithium-ion batteries are extensively employed in electric vehicles (EVs) and energy storage systems (ESSs) owing to their high energy density, long cyclability, and cost-effectiveness. However, the use of flammable electrolytes makes them inherently susceptible to thermal runaway (TR), which can lead to ignition, explosion, and large-scale fires. Accordingly, early detection of defect internal conditions that precede thermal events is essential for ensuring battery safety. This study proposes a time-resolved partial discharge (TRPD)-based diagnostic method for identifying early electrical precursors of fire hazards in lithium-ion batteries. Both destructive (ex situ) and non-destructive (in situ) experiments were performed to collect defect signal data under physical deformation and accelerated degradation conditions. Through fast fourier transform (FFT) analysis of the acquired signals, specific frequency-domain characteristics associated with micro internal short circuits (MISC) were identified, particularly within the 3.9 MHz, 11.9 MHz, and 19 MHz bands. Defect signals were clearly distinguishable from background common-mode voltage (CMV) noise, confirming the diagnostic sensitivity of the proposed approach. The results demonstrate that the TRPD-based technique enables early recognition of latent insulation degradation and internal short-circuit phenomena before thermal runaway occurs. This work bridges the gap between conventional insulation monitoring and battery safety diagnostics, providing a scalable framework for integrating high-frequency signal analysis into EV and ESS battery management systems for fire prevention. Full article
(This article belongs to the Special Issue Advances in Battery Modelling, Applications, and Technology)
Show Figures

Figure 1

17 pages, 4348 KB  
Article
Experimental Demonstration of OAF Fiber-FSO Relaying for 60 GBd Transmission in Urban Environment
by Evrydiki Kyriazi, Panagiotis Toumasis, Panagiotis Kourelias, Argiris Ntanos, Aristeidis Stathis, Dimitris Apostolopoulos, Nikolaos Lyras, Hercules Avramopoulos and Giannis Giannoulis
Photonics 2025, 12(12), 1222; https://doi.org/10.3390/photonics12121222 - 11 Dec 2025
Viewed by 206
Abstract
We present an experimental demonstration of a daylight-capable Optical Amplify-and-Forward (OAF) relaying system designed to support flexible and high-capacity network topologies. The proposed architecture integrates fiber-based infrastructure with OAF Free Space Optics (FSO) relaying, enabling bidirectional optical communication over 460 m (x2) using [...] Read more.
We present an experimental demonstration of a daylight-capable Optical Amplify-and-Forward (OAF) relaying system designed to support flexible and high-capacity network topologies. The proposed architecture integrates fiber-based infrastructure with OAF Free Space Optics (FSO) relaying, enabling bidirectional optical communication over 460 m (x2) using SFP-compatible schemes, while addressing Non-Line-of-Sight (NLOS) constraints and fiber disruptions. This work achieves a Bit Error Rate (BER) below the Hard-Decision Forward Error Correction (HD-FEC) limit, validating the feasibility of high-speed urban FSO links. By leveraging low-cost fiber-coupled optical terminals, the system transmits single-carrier 120 Gbps Intensity Modulation/Direct Detection (IM/DD) signals using NRZ (Non-Return-to-Zero) and PAM4 (4-Pulse Amplitude Modulation) modulation formats. Operating entirely in the optical C-Band domain, this approach ensures compatibility with existing infrastructure, supporting scalable mesh FSO deployments and seamless integration with hybrid Radio Frequency (RF)/FSO systems. Full article
(This article belongs to the Special Issue Advances in Free-Space Optical Communications)
Show Figures

Figure 1

Back to TopTop