Sign in to use this feature.

Years

Between: -

Subjects

remove_circle_outline
remove_circle_outline
remove_circle_outline
remove_circle_outline
remove_circle_outline
remove_circle_outline
remove_circle_outline
remove_circle_outline
remove_circle_outline

Journals

remove_circle_outline
remove_circle_outline
remove_circle_outline
remove_circle_outline
remove_circle_outline
remove_circle_outline
remove_circle_outline
remove_circle_outline
remove_circle_outline
remove_circle_outline

Article Types

Countries / Regions

Search Results (143)

Search Parameters:
Keywords = fluency enhancement

Order results
Result details
Results per page
Select all
Export citation of selected articles as:
29 pages, 1074 KB  
Article
Leveraging Generative AI for IELTS Preparation: Student Perspectives on Language Learning
by Michael James Day and Tracy Zhang
Educ. Sci. 2026, 16(5), 673; https://doi.org/10.3390/educsci16050673 - 23 Apr 2026
Viewed by 123
Abstract
This study investigates Chinese students’ perspectives on leveraging Generative Artificial Intelligence (GenAI) to enhance reading and writing abilities in preparation for the language learning and examination. 76 students enrolled in an online virtual learning environment (VLE) and participated in forum discussions prompted by [...] Read more.
This study investigates Chinese students’ perspectives on leveraging Generative Artificial Intelligence (GenAI) to enhance reading and writing abilities in preparation for the language learning and examination. 76 students enrolled in an online virtual learning environment (VLE) and participated in forum discussions prompted by questions relating to AI use and different study practices. Analysis identified 33 detailed forum posts written by and between students that specifically engaged in discussions concerning the use of AI to support English as an Additional Language (EAL) fluency, academic reading/writing skills, and IELTS-related skills development. This article presents an analysis of these contributions using thematic analysis. An inductive approach enabled the identification of key themes relating to students’ perceptions. Findings indicated that students appreciated AI’s capacity for personalised language learning, reading and writing practice while expressing reservations about overreliance on digital tools. The concept of Artificially Intelligent Mediated Counterbalance (AIMC) is proposed to capture students’ reported strategies for integrating AI tools with traditional study methods to maintain authentic language development. The article concludes by discussing the implications of AIMC for educators and policymakers seeking to support the responsible integration of AI into language education. Full article
(This article belongs to the Special Issue The Impact of Artificial Intelligence on Teaching and Learning)
20 pages, 7589 KB  
Article
AEConvs: A Novel Dataset and Benchmark for Evaluating Empathetic Response Generation in Arabic LLMs
by Afnan Alkhathlan and Abdulrahman A. Mirza
Data 2026, 11(4), 85; https://doi.org/10.3390/data11040085 - 14 Apr 2026
Viewed by 199
Abstract
Empathy—the ability to understand and respond to others’ emotions and perspectives—is a key communication skill for humans; however, it is under-explored within current conversational systems. While large language models (LLMs) have demonstrated a remarkable capability to generate coherent and contextually relevant output, they [...] Read more.
Empathy—the ability to understand and respond to others’ emotions and perspectives—is a key communication skill for humans; however, it is under-explored within current conversational systems. While large language models (LLMs) have demonstrated a remarkable capability to generate coherent and contextually relevant output, they often struggle to exhibit genuine empathy, resulting in artificial and dull responses, particularly in low-resource languages such as Arabic. Notably, the research on empathetic conversational systems in Arabic is still in its early stages, mainly due to the scarcity of open-domain conversational data. To address this gap, we introduce Arabic Empathetic Conversations (AEConvs), a genuine Arabic conversational dataset featuring more than 4K open-domain dyadic empathetic conversations. This dataset provides a valuable resource that captures nuanced emotional and empathetic cues in the Arabic language. Using AEConvs, we evaluate and compare the empathetic capabilities of two state-of-the-art generative Arabic LLMs—AceGPT-chat and Jais-chat—under zero-shot and fine-tuning training settings. Human evaluation results demonstrate that while both models exhibit some form of empathy in zero-shot settings, fine-tuning on AEConvs improved their ability to generate more fine-grained empathetic responses while also yielding enhancements in fluency and context adherence. Additionally, automatic evaluation indicated improved language modeling and better lexical and semantic similarity with human reference responses. This study highlights the importance of culturally and linguistically tailored datasets in advancing empathetic conversational AI. We publicly release the AEConvs dataset, providing a valuable resource for future advancements in the field. Full article
(This article belongs to the Section Information Systems and Data Management)
Show Figures

Figure 1

23 pages, 401 KB  
Entry
Singing-Oriented Language and Music Education (SOLME)
by Markus Christiner and Karen M. Ludke
Encyclopedia 2026, 6(4), 85; https://doi.org/10.3390/encyclopedia6040085 - 6 Apr 2026
Viewed by 589
Definition
Singing-Oriented Language and Music Education (SOLME) is an accessible, low-resource pedagogical and cognitive framework in which singing serves as the primary interface through which musical activities support both first and foreign language acquisition processes. Early vocalizations in infancy make the overlap between singing [...] Read more.
Singing-Oriented Language and Music Education (SOLME) is an accessible, low-resource pedagogical and cognitive framework in which singing serves as the primary interface through which musical activities support both first and foreign language acquisition processes. Early vocalizations in infancy make the overlap between singing and speech highly perceptible, forming a continuum rather than clearly separable domains. Child-directed speech similarly shares key features with singing—such as repetition, emotional engagement, exaggerated pitch variation and rhythm—and both input forms inherently combine musical and linguistic elements. Research has shown that the overlap between singing and language abilities persists throughout the lifespan, positioning singing as a valuable facilitator of language learning processes. Singing, integrated as a musical tool, has proven effective in enhancing key abilities for (foreign) language learning—including phonological awareness, pronunciation, and verbal memory, among others—and in supporting language functioning across diverse communication disorders, from developmental fluency challenges to acquired impairments. This entry outlines the benefits of singing as an integrated means to support musical development as well as first and second language acquisition processes. It outlines functional and structural similarities between singing and language development, from early caregiver–infant interaction to formal foreign-language instruction, and then discusses the many advantages of embedding singing as a musical tool in the (foreign) language learning process. Full article
(This article belongs to the Collection Encyclopedia of Social Sciences)
23 pages, 9518 KB  
Article
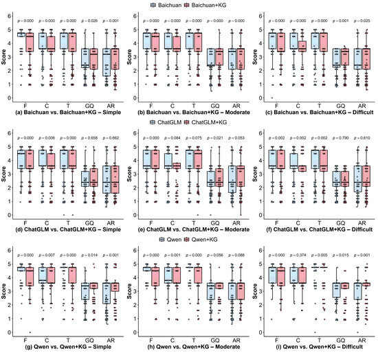
Design and Evaluation of a Question-Answering System Based on Knowledge Graph-Augmented Large Language Models in K–12 Artificial Intelligence Curriculum
by Jingxiu Huang, Feiyu Lai, Zixuan Zheng, Ruilin Lai, Xingyu Chen, Jun Tian and Yunxiang Zheng
Appl. Sci. 2026, 16(7), 3552; https://doi.org/10.3390/app16073552 - 5 Apr 2026
Viewed by 479
Abstract
Digital transformation is reshaping the education sector, fostering an AI-enabled, learner-centered ecosystem. This shift is characterized by the adoption of large language models (LLMs) in education, which is forging a new paradigm for intelligent teaching. However, the integration of LLMs into K–12 AI [...] Read more.
Digital transformation is reshaping the education sector, fostering an AI-enabled, learner-centered ecosystem. This shift is characterized by the adoption of large language models (LLMs) in education, which is forging a new paradigm for intelligent teaching. However, the integration of LLMs into K–12 AI education is often hindered by their tendency to generate factually inaccurate and pedagogically misaligned content. To address this, we constructed a knowledge graph (KG) of the K–12 AI curriculum and developed a question-answering system based on KG-augmented LLMs. The system was evaluated on a dedicated AI curriculum dataset comprising 1098 questions categorized into three difficulty levels. The evaluation employed the G-Eval with no-reference metrics. Using DeepSeek-V3 as the scoring model, the system performance was assessed across three mainstream LLMs and measured along five distinct dimensions. Results indicated that the integration of curriculum KG significantly enhanced the factual accuracy and relevance of LLM-generated answers in K–12 AI education. However, this enhancement involves a trade-off, as the incorporation of non-declarative knowledge can negatively affect linguistic fluency and coherence. Performance gains varied across LLMs: Qwen and Baichuan demonstrated the strongest improvements, particularly in complex tasks. This study provides a scalable, knowledge-anchored framework for developing reliable AI teaching assistants, demonstrating a practical pathway to mitigate domain-specific hallucinations in educational applications. Full article
(This article belongs to the Section Computing and Artificial Intelligence)
Show Figures

Figure 1

24 pages, 1929 KB  
Article
Speech-Adaptive Detection of Unnatural Intra-Sentential Pauses Using Contextual Anomaly Modeling for Interpreter Training
by Hyoeun Kang, Jin-Dong Kim, Juriae Lee, Hee-Jo Nam, Kon Woo Kim, Joowon Lim and Hyun-Seok Park
Appl. Sci. 2026, 16(7), 3492; https://doi.org/10.3390/app16073492 - 3 Apr 2026
Viewed by 348
Abstract
Detecting unnatural pauses is a critical component of automated quality assessment (AQA) in interpreter training, as pause patterns directly reflect an interpreter’s cognitive load and fluency. Traditional pause detection methods rely on static temporal thresholds (e.g., 1.0 s), which often fail to account [...] Read more.
Detecting unnatural pauses is a critical component of automated quality assessment (AQA) in interpreter training, as pause patterns directly reflect an interpreter’s cognitive load and fluency. Traditional pause detection methods rely on static temporal thresholds (e.g., 1.0 s), which often fail to account for segment-specific speech rate variability and individual speaking styles. This study proposes a context-adaptive pause detection framework that integrates unsupervised anomaly detection using Isolation Forest (iForest) with a sliding window technique. To enhance pedagogical validity, we specifically focused on intra-sentential pauses by delineating sentence boundaries using a specialized segmentation model. The proposed model was evaluated against ground-truth labels annotated by professional interpreting experts. Our results demonstrate that the sliding window–based contextual anomaly detection model significantly outperforms the conventional static baseline, particularly in terms of recall and Cohen’s kappa. Furthermore, by applying a weighted F3-score and the “Recognition-over-Recall” principle, we confirmed that the proposed model substantially reduces the instructor’s total operational burden by shifting the workload from de novo annotation creation to more efficient corrective pruning. These findings suggest that speech-adaptive modeling provides a more reliable and labor-saving framework for automated interpreting assessment and feedback. Specifically, this study makes three main contributions: (1) the proposal of a context-adaptive pause detection framework using anomaly detection, (2) the integration of sliding window–based local contextual modeling for speech-rate–aware analysis, and (3) the introduction of an evaluation strategy based on the Recognition-over-Recall principle to reduce instructor workload in interpreter training. Full article
(This article belongs to the Special Issue The Application of Digital Technology in Education)
Show Figures

Figure 1

18 pages, 618 KB  
Article
The Role of an Early Childhood Teacher in Fostering and Enhancing Children’s Creativity Through Creative Play
by Evi Kyriakou Loizou and Eleni Loizou
Educ. Sci. 2026, 16(4), 563; https://doi.org/10.3390/educsci16040563 - 2 Apr 2026
Viewed by 1094
Abstract
This study aims to examine the involvement of an early childhood teacher (ECT) during creative play and how such involvement supports children’s creativity. Creative play offers children opportunities to develop creativity while engaging in arts-based play activities. An ECT’s active participation in children’s [...] Read more.
This study aims to examine the involvement of an early childhood teacher (ECT) during creative play and how such involvement supports children’s creativity. Creative play offers children opportunities to develop creativity while engaging in arts-based play activities. An ECT’s active participation in children’s play can enhance their play skills and promote development within the Zone of Proximal Development. Using an action research approach, this case study involved sixteen children aged 4–6 years and their ECT. Data were collected through video recordings and the ECT’s reflective journal, focusing on two play areas: the Bakery and the Toy Factory. The data were analyzed using thematic analysis informed by creativity-related themes and subthemes. The findings highlight the ECT’s role as a co-player in children’s creative play, during which she employed a range of strategies aligned with different creativity variables, such as idea fluency, elaboration, and problem solving. Her purposeful participation evolved from supporting children with basic play actions to guiding them through more elaborate and complex creative processes. This progressive support enhanced children’s creativity within what we defined as the Zone of Proximal Creative Development (ZPCD). The teacher created the ZPCD, enhancing the children’s actual creativity development, moving from creation to creativity. Teachers’ intentional engagement enhances children’s creativity within their ZPCD, highlighting creative play as a valuable context for creativity development in early childhood education. Full article
(This article belongs to the Special Issue Learning Through Play: Reimagining Pedagogies in Early Childhood)
Show Figures

Figure 1

25 pages, 626 KB  
Article
Impacting Brand Awareness and Emotions in Retail Consumer Decision-Making Within a Digital Context
by Hiba Jbara, Sam El Nemar, Wael Bakhit, Demetris Vrontis and Alkis Thrassou
Analytics 2026, 5(2), 16; https://doi.org/10.3390/analytics5020016 - 30 Mar 2026
Viewed by 590
Abstract
This study explores the intricate behavioral consumer psychology dynamics of how certain elements—color, price, gender differences, and the concept of the frequency illusion—affect emotions, brand awareness, and consumer decision-making in a digital environment. Going beyond conventional analyses, this study also explores the intersection [...] Read more.
This study explores the intricate behavioral consumer psychology dynamics of how certain elements—color, price, gender differences, and the concept of the frequency illusion—affect emotions, brand awareness, and consumer decision-making in a digital environment. Going beyond conventional analyses, this study also explores the intersection of sustainable business practices, elucidating the potential for ethical, environmentally conscious, and business-sustainable decision-making. Utilizing a quantitative method and survey data from 207 respondents, this research contributes to a more profound level of understanding of consumer decision-making in the Lebanese retail sector, offering strategic insights for organizations seeking to enhance brand recognition, while aligning with responsible and sustainable practices in today’s dynamic and competitive environment. The study found that psychological cues—color, price, gender differences, and frequency illusion—significantly influence emotions, brand awareness, and consumer decision-making in retail. Future research should examine the tensions in consumer decision-making, where brand awareness and emotional cues can simultaneously facilitate and bias choices, with effects contingent on exposure, demographic characteristics, digital fluency, and cultural context. Full article
Show Figures

Figure 1

18 pages, 1870 KB  
Article
Transcranial Alternating Current Stimulation as an Adjuvant for Nonfluent Aphasia: A Proof-of-Concept Study
by Lynsey M. Keator, Lisa Johnson, Roger Newman-Norlund, Kyler Spell, Samaneh Nemati, Leigh Ann Spell, Dirk B. den Ouden, Christopher Rorden and Julius Fridriksson
Bioengineering 2026, 13(3), 372; https://doi.org/10.3390/bioengineering13030372 - 23 Mar 2026
Viewed by 611
Abstract
Effective rehabilitation tools are essential for improving language outcomes in chronic aphasia. Speech entrainment is a behavioral treatment that has shown promise in enhancing speech output in nonfluent aphasia, potentially by acting as an external mechanism to synchronize anterior and posterior language regions [...] Read more.
Effective rehabilitation tools are essential for improving language outcomes in chronic aphasia. Speech entrainment is a behavioral treatment that has shown promise in enhancing speech output in nonfluent aphasia, potentially by acting as an external mechanism to synchronize anterior and posterior language regions in the left hemisphere. Transcranial alternating current stimulation has been hypothesized to enhance functional connectivity between brain regions by amplifying endogenous oscillations. This proof-of-concept study explored whether high-definition tACS (HD-tACS) could improve speech fluency in nonfluent aphasia when paired with speech entrainment. In a double-blind, pseudorandomized study, 1 mA of HD-tACS at 7 Hz was applied to anterior and posterior left-hemisphere regions of individuals with nonfluent aphasia (N = 13). Stimulation was applied under three conditions: in-phase, anti-phase, and sham, and paired speech entrainment. Three outcome measures were examined: (1) number of words produced; (2) number of errors, and (3) ‘entrainment’ to the speech entrainment model. Group-level analyses for two of the three outcome measures reveal statistically significant differences between the experimental conditions. In-phase alternating current stimulation yielded more words and better entrainment to the audiovisual model than the sham condition. This study provides promising evidence that HD-tACS could improve speech production in individuals with nonfluent aphasia. These results contribute to growing evidence supporting the therapeutic potential of non-invasive brain stimulation approaches as an adjuvant to traditional behavioral speech-language therapy in stroke survivors. Full article
Show Figures

Figure 1

16 pages, 1063 KB  
Article
Integrating Inverse Prompting and Chain-of-Thought Reasoning for Automated Flood Control Text Generation: A Case Study of the Lixiahe Region
by Hui Min, Feng Ye, Dong Xu, Jin Xu and Xiaoping Liao
Water 2026, 18(6), 686; https://doi.org/10.3390/w18060686 - 15 Mar 2026
Viewed by 364
Abstract
Flood control briefings are critical emergency response documents that provide timely decision support for urban safety and regional development under climate change challenges. However, existing large language models (LLMs) face significant difficulties in domain-specific adaptation, content controllability, and logical consistency when processing complex [...] Read more.
Flood control briefings are critical emergency response documents that provide timely decision support for urban safety and regional development under climate change challenges. However, existing large language models (LLMs) face significant difficulties in domain-specific adaptation, content controllability, and logical consistency when processing complex water conservancy data. This study aims to develop a robust automated text generation method that ensures high accuracy and logical rigor for flood prevention in the Lixiahe region. We propose an IP-CoT method that integrates Chain-of-Thought (CoT) reasoning for structured information extraction and an Inverse Prompting (IP) mechanism with beam search to optimize content relevance using the DeepSeek-R1 model. Validated on a constructed dataset comprising flood control records from the Lixia River network from 2010 to 2024, the proposed method achieved an accuracy rate of 95.32% in the verification of emotional attributes, which is 2% to 15% higher than most traditional models. Additionally, in the verification of thematic attributes, fluency and diversity were improved, showing significant enhancements compared to the baseline model. This approach significantly enhances the quality and efficiency of domain-specific text generation, providing a reliable intelligent solution for modernizing regional flood control decision-making systems. Full article
(This article belongs to the Section Hydrology)
Show Figures

Figure 1

17 pages, 295 KB  
Review
Exploring Photobiomodulation as a Potential Novel Intervention for Developmental Stuttering: A Review and Hypothesis
by Borja Ignacio Ferreras, Manuela Goyeneche, Paolo Cassano, Frank H. Guenther and Victoria Tumanova
J. Clin. Med. 2026, 15(5), 2041; https://doi.org/10.3390/jcm15052041 - 7 Mar 2026
Viewed by 701
Abstract
Developmental stuttering (DS) is a complex neurodevelopmental disorder affecting approximately 5% of children, characterized by involuntary disruptions in speech fluency. Despite its prevalence, the precise pathophysiology remains elusive, and current behavioral and pharmacological interventions often yield variable long-term efficacy. This scoping review evaluates [...] Read more.
Developmental stuttering (DS) is a complex neurodevelopmental disorder affecting approximately 5% of children, characterized by involuntary disruptions in speech fluency. Despite its prevalence, the precise pathophysiology remains elusive, and current behavioral and pharmacological interventions often yield variable long-term efficacy. This scoping review evaluates the therapeutic potential of transcranial photobiomodulation (t-PBM), a non-invasive neuromodulation technique, by summarizing its mechanisms of action with the known neurophysiological deficits of DS. Evidence indicates that DS is associated with reduced regional cerebral blood flow (rCBF) in Broca’s area, mitochondrial dysfunction, and impaired neural connectivity. t-PBM may address these deficits by stimulating cytochrome c oxidase, thereby increasing ATP production and triggering nitric oxide-mediated vasodilation to enhance rCBF. Furthermore, t-PBM promotes neuroplasticity, modulates astrocyte function—potentially counteracting GNPTAB-related deficits—and exhibits anxiolytic effects that may alleviate the secondary psychological burden of DS. By targeting these multifactorial underpinnings, t-PBM may represent a promising, low-risk adjunct or primary intervention for DS, though this remains to be tested empirically. While the theoretical framework is robust, clinical trials are needed to determine whether t-PBM has therapeutic utility, to optimize treatment parameters, establish longitudinal efficacy, and explore synergistic effects with established speech-language therapies. Full article
22 pages, 3288 KB  
Article
An Intelligent Real-Time System for Sentence-Level Recognition of Continuous Saudi Sign Language Using Landmark-Based Temporal Modeling
by Adel BenAbdennour, Mohammed Mukhtar, Osama Almolike, Bilal A. Khawaja and Abdulmajeed M. Alenezi
Sensors 2026, 26(5), 1652; https://doi.org/10.3390/s26051652 - 5 Mar 2026
Viewed by 522
Abstract
A persistent challenge for Deaf and Hard-of-Hearing individuals is the communication gap between sign language users and the hearing community, particularly in regions with limited automated translation resources. In Saudi Arabia, this gap is amplified by the reliance on Saudi Sign Language (SSL) [...] Read more.
A persistent challenge for Deaf and Hard-of-Hearing individuals is the communication gap between sign language users and the hearing community, particularly in regions with limited automated translation resources. In Saudi Arabia, this gap is amplified by the reliance on Saudi Sign Language (SSL) and the scarcity of real-time, sentence-level translation systems. This paper presents a real-time system for sentence-level recognition of continuous SSL and direct mapping to natural spoken Arabic. The proposed system operates end-to-end on live video streams or pre-recorded content, extracting spatio-temporal landmark features using the MediaPipe Holistic framework. For classification, the input feature vector consists of 225 features derived from hand and body pose landmarks. These features are processed by a Bidirectional Long Short-Term Memory (BiLSTM) network trained on the ArabSign (ArSL) dataset to perform direct sentence-level classification over a vocabulary of 50 continuous Arabic sign language sentences, supported by an idle-based segmentation mechanism that enables natural, uninterrupted signing. Experimental evaluation demonstrates robust generalization: under a Leave-One-Signer-Out (LOSO) cross-validation protocol, the model attains a mean sentence-level accuracy of 94.2%, outperforming the fixed signer-independent split baseline of 92.07%, while maintaining real-time performance suitable for interactive use. To enhance linguistic fluency, an optional post-recognition refinement stage is incorporated using a large language model (LLM), followed by text-to-speech synthesis to produce audible Arabic output; this refinement operates strictly as post-processing and is not included in the reported recognition accuracy metrics. The results demonstrate that direct sentence-level modeling, combined with landmark-based feature extraction and real-time segmentation, provides an effective and practical solution for continuous SSL sentence recognition in real-time. Full article
(This article belongs to the Special Issue Sensor Systems for Gesture Recognition (3rd Edition))
Show Figures

Figure 1

17 pages, 278 KB  
Article
Augmented Reality’s Impact on Student Creativity in Design and Technology: An Immersive Learning Study
by Zuraini Yakob, Nazlena Mohamad Ali, Mohamad Hidir Mhd Salim and Norshita Mat Nayan
Multimodal Technol. Interact. 2026, 10(3), 25; https://doi.org/10.3390/mti10030025 - 4 Mar 2026
Viewed by 641
Abstract
This quasi-experimental study examined the effectiveness of Augmented Reality (AR)-enhanced instruction on creativity development in Malaysian Design and Technology education. Forty-six, fifteen-year-old female students were assigned to AR-enhanced (n = 23) or traditional instruction (n = 23) groups for a four-week [...] Read more.
This quasi-experimental study examined the effectiveness of Augmented Reality (AR)-enhanced instruction on creativity development in Malaysian Design and Technology education. Forty-six, fifteen-year-old female students were assigned to AR-enhanced (n = 23) or traditional instruction (n = 23) groups for a four-week Mechatronic Design unit. Creativity was assessed using an adapted Torrance Tests of Creative Thinking-Figural (TTCT-F) instrument with expert validation and independent scoring by three raters. Bootstrapped ANCOVA (5000 iterations) controlling for pretest differences revealed significant improvements across all Guilford creativity components in the AR group: Elaboration (F = 27.093, p < 0.001, η2 = 0.387), Originality (F = 20.445, p < 0.001, η2 = 0.322), Fluency (F = 17.896, p < 0.001, η2 = 0.294), and Flexibility (F = 7.593, p = 0.008, η2 = 0.150). The differential effect pattern suggests AR operates through multiple mechanisms, primarily socio-constructivist collaborative scaffolding, followed by motivational enhancement and cognitive load reduction. These findings demonstrate AR’s substantial potential for creativity development in Design and Technology education, particularly for collaborative elaboration and generative ideation. However, single gender sampling, brief intervention duration, and quasi-experimental design limit generalizability, warranting future research with diverse populations and extended interventions. Full article
28 pages, 6904 KB  
Article
The Priming Effect of Auxiliary Line Construction on Mathematical Creative Thinking: An fNIRS Study
by Chunli Zhang, Kai An, Jiacheng Li, Qinchen Yang, Meihui Song and Li Wang
J. Intell. 2026, 14(3), 40; https://doi.org/10.3390/jintelligence14030040 - 3 Mar 2026
Viewed by 644
Abstract
Auxiliary line construction has been identified as a crucial approach to fostering mathematical creative thinking. However, existing studies have only focused on the correlations between auxiliary line construction tasks and mathematical creative thinking, without investigating whether engaging in auxiliary line construction can improve [...] Read more.
Auxiliary line construction has been identified as a crucial approach to fostering mathematical creative thinking. However, existing studies have only focused on the correlations between auxiliary line construction tasks and mathematical creative thinking, without investigating whether engaging in auxiliary line construction can improve mathematical creativity. As a well-established research paradigm, cognitive priming can elicit changes in thinking within a short period. Based on this idea, the present study adopted the cognitive priming paradigm combined with functional near-infrared spectroscopy (fNIRS) technology, and randomly assigned 42 Chinese college students to an auxiliary line group or a control group. The students’ brain activity was monitored in real time during the priming phase (the auxiliary line group completed geometric problems requiring auxiliary line construction, while the control group finished proof problems with pre-set auxiliary lines) and the post-test phase (both groups completed a mathematical creative thinking test). The behavioral results showed that the auxiliary line group achieved significantly higher scores in fluency and originality of mathematical creative thinking than the control group in the post-test phase. The fNIRS data revealed that during the priming phase, the auxiliary line group exhibited stronger activation of the right superior frontal gyrus and higher variability in dynamic functional connectivity; meanwhile, in the post-test phase, the right superior frontal gyrus and right middle frontal gyrus maintained robust neural activation, and brain functional connectivity exhibited a lower clustering coefficient and attenuated small-world network properties. This study confirms that short-term engagement in auxiliary line construction exerts a priming effect on the fluency and originality of mathematical creative thinking, which may be associated with the enhanced activation of specific brain regions and the dynamic adjustment of brain functional connectivity. These findings provide theoretical and empirical evidence for the cultivation of mathematical creative thinking. Full article
(This article belongs to the Section Studies on Cognitive Processes)
Show Figures

Figure 1

23 pages, 4785 KB  
Article
Form and Culture in Children’s Picture Books: A Panofskian, Computer-Vision-Assisted Comparison of AI Images Generated by Doubao and Handcrafted Journey to the West Illustrations
by Xinyu Du and Yanfang Han
Educ. Sci. 2026, 16(3), 367; https://doi.org/10.3390/educsci16030367 - 26 Feb 2026
Viewed by 513
Abstract
This experimental study examines how generative AI reshapes the balance between perceptual fluency and cultural semiosis in children’s picture-book illustration by using a corpus derived from The Monkey King picture-book series, adapted from the classical Chinese novel Journey to the West. The [...] Read more.
This experimental study examines how generative AI reshapes the balance between perceptual fluency and cultural semiosis in children’s picture-book illustration by using a corpus derived from The Monkey King picture-book series, adapted from the classical Chinese novel Journey to the West. The study compares 224 handcrafted illustrations with 224 AI images generated by the Doubao platform (Seedream-3.0). Computational visual metrics, edge curvature and color entropy were calculated using OpenCV, while iconographic features were manually annotated with the UAM Image Tool (Mick O’Donnell, Universidad Autónoma de Madrid, Madrid, Spain). Quantitative analysis reveals statistically significant formal divergences between the two illustration modes. AI images generated by the Doubao platform exhibit a shift toward more outwardly convex contours and reduced color entropy, indicating smoother contours and chromatic homogenization that enhance perceptual accessibility. Iconographic analysis, however, demonstrates an attenuation of culturally specific symbols. High-frequency, contour-salient attributes are largely preserved, whereas low-frequency, ritualized, and hierarchically organized elements are frequently omitted or simplified. The findings reveal a tension between perceptual fluency and cultural–semantic stability in AI images generated by Doubao (ByteDance, Beijing, China), employing the Seedream 3.0 model. They support a framework of conditional applicability, with implications for picture-book illustration, cultural adaptation, and children’s visual-literacy education. Full article
Show Figures

Figure 1

25 pages, 1454 KB  
Article
Generative AI-Enabled Precision Recommendation for Green Products: Mechanisms of Consumer Cognitive Fluency and Low-Carbon Purchase Decisions
by Kai Si, Cenpeng Wang, Sizheng Wei and Yafei Lan
Sustainability 2026, 18(4), 2018; https://doi.org/10.3390/su18042018 - 16 Feb 2026
Viewed by 590
Abstract
To address the information-processing burden faced by consumers in green consumption markets due to complex carbon footprint labels, opaque certification standards, and vague descriptions of environmental benefits, this study proposes a generative artificial intelligence (GenAI)-based precision recommendation mechanism for green products. The mechanism [...] Read more.
To address the information-processing burden faced by consumers in green consumption markets due to complex carbon footprint labels, opaque certification standards, and vague descriptions of environmental benefits, this study proposes a generative artificial intelligence (GenAI)-based precision recommendation mechanism for green products. The mechanism aims to enhance cognitive fluency and promote low-carbon purchase decisions. An experimental system, termed Eco-GenRec, is developed by integrating large language models (LLMs), multimodal generation, and retrieval-augmented generation (RAG) techniques to enable personalized presentation of green product information. Based on inferred user cognitive styles, the system transforms product information into chart-based representations for analytical users or emotionally framed scenario narratives for intuitive users. This study is conducted on a web-based simulated shopping platform and employs a fully randomized design. A total of 1000 participants are randomly assigned to either a standardized information display group (control group) or an Eco-GenRec-generated display group (experimental group). Participants are drawn from diverse socioeconomic backgrounds and cover a wide age range. The sample exhibits substantial demographic diversity, which enhances the representativeness of the findings. Cognitive fluency and low-carbon purchase conversion rates are measured as the primary outcomes. The results show that the Eco-GenRec group achieves a significantly higher cognitive fluency score (M = 5.68, SD = 0.89) than the control group (M = 4.60, SD = 1.01). This represents an increase of 23.4% (t = 18.34, p < 0.001, effect size d = 1.17). In addition, the low-carbon purchase conversion rate in the experimental group (36.3%) is significantly higher than that in the control group (17.6%). The absolute increase of 18.7% is statistically significant (χ2 = 70.28, p < 0.001, effect size Cramér’s V = 0.265). Under conditions of high cognitive-style matching, the conversion rate improvement reaches 27.2%. Mechanism analysis shows that cognitive fluency mediates the relationship between GenAI-based recommendations and purchase intention. By transforming abstract environmental parameters into intuitive and easily interpretable content, artificial intelligence reduces information-processing burden and activates positive affect and trust among consumers. Overall, this study empirically validates the effectiveness of GenAI in green product recommendation. It provides a practical pathway for addressing the “comprehension barrier” in green consumption and extends the theoretical boundaries of research on cognitive fluency and low-carbon decision-making. Full article
(This article belongs to the Special Issue Sustainable Consumption in the Digital Economy: Second Edition)
Show Figures

Figure 1

Back to TopTop