Sign in to use this feature.

Years

Between: -

Subjects

remove_circle_outline
remove_circle_outline
remove_circle_outline
remove_circle_outline
remove_circle_outline
remove_circle_outline

Journals

Article Types

Countries / Regions

Search Results (28)

Search Parameters:
Keywords = flavone glucuronide

Order results
Result details
Results per page
Select all
Export citation of selected articles as:
17 pages, 2910 KB  
Article
Bioavailability and Metabolic Fate of (Poly)phenols from Hull-Less Purple Whole-Grain Barley in Humans
by María-Engracia Cortijo-Alfonso, Silvia Yuste, Mariona Martínez-Subirà, Marian Moralejo, Carme Piñol-Felis, Alba Macià and Laura Rubió-Piqué
Nutrients 2025, 17(19), 3086; https://doi.org/10.3390/nu17193086 - 28 Sep 2025
Viewed by 199
Abstract
Background and Objectives: Anthocyanin-rich barley varieties have recently gained attention due to their high (poly)phenolic content and potential health benefits, yet human data on their bioavailability remain scarce. This study aimed to characterize the absorption, metabolism, and excretion of (poly)phenolic compounds from a [...] Read more.
Background and Objectives: Anthocyanin-rich barley varieties have recently gained attention due to their high (poly)phenolic content and potential health benefits, yet human data on their bioavailability remain scarce. This study aimed to characterize the absorption, metabolism, and excretion of (poly)phenolic compounds from a novel hull-less purple whole-grain barley (WGB) genotype. Methods: Eleven healthy volunteers consumed 140 g of purple WGB biscuits, and plasma and urine samples were collected over 6 h and 48 h, respectively. Results: UPLC-MS/MS analysis revealed a broad range of metabolites, with 11 (poly)phenolic compounds identified in plasma and 80 in urine. The biscuits were particularly rich in flavones (217 mg/140 g, mainly chrysoeriol derivatives), followed by hydroxycinnamic acids (~54 mg, mainly 4′-hydroxy-3′-methoxycinnamic acid), anthocyanins (44.8 mg), and flavan-3-ols (16.8 mg). In plasma, glycosylated anthocyanins and flavone conjugates (e.g., peonidin-3-O-glucuronide, chrysoeriol-O-glucuronide) were detectable within 1–2 h, consistent with early absorption. In contrast, microbial-derived catabolites—including valerolactones, phenylacetic and benzoic acids—were mainly excreted in urine between 8 and 24 h, reaching concentrations above 1000 nM. Conclusions: These findings provide novel insights into the bioavailability and metabolic fate of barley (poly)phenols, supporting their potential contribution to host and gut health. As a proof-of-concept study, it complements the limited data available from pigmented cereals and underscores the need for validation in larger cohorts. Full article
(This article belongs to the Section Nutrition and Metabolism)
Show Figures

Figure 1

21 pages, 2336 KB  
Article
Conserved and Divergent Phytochemical Profiles in Native and Micropropagated Micromeria croatica (Pers.) Schott: An LC-HRMS Study Across Solvent Extracts
by Svetlana M. Tošić, Marija Ilić, Ljubica Svilar, Jelena Nikolić, Milan Mitić, Violeta Mitić and Vesna P. Stankov Jovanović
Plants 2025, 14(19), 2971; https://doi.org/10.3390/plants14192971 - 25 Sep 2025
Viewed by 286
Abstract
Micromeria croatica (Pers.) Schott is a Balkan endemic of the Lamiaceae family, valued for its aromatic and medicinal properties, but it is threatened by its limited natural distribution. Micropropagation offers a sustainable method for securing biomass and provides material for chemical studies. In [...] Read more.
Micromeria croatica (Pers.) Schott is a Balkan endemic of the Lamiaceae family, valued for its aromatic and medicinal properties, but it is threatened by its limited natural distribution. Micropropagation offers a sustainable method for securing biomass and provides material for chemical studies. In this work, we present the first LC-HRMS profiling of extracts (in methanol, ethyl acetate, and hexane) obtained from both native and micropropagated plants. A total of 29 metabolites were identified. A diverse spectrum of secondary metabolites was identified, including phenolic acids (gallic acid monohydrate, vanillic acid, trans-cinnamic acid), flavonoids (luteolin-7-O-rutinoside, diosmetin-7-O-glucoside, kaempferol-O-rutinoside, eriocitrin), and terpenoids (ursolic acid, tanshinone I, riligustilide). The analysis revealed that all compounds detected in native plants were also present in micropropagated material, demonstrating the preservation of the characteristic phytochemical profile in vitro. Moreover, several compounds, such as apigenin, apigenin-7-O-glucuronide, isomaltopaeoniflorin, and methoxylated flavones, were found exclusively in micropropagated samples, indicating that tissue culture may enhance the chemical diversity of the species. Ethyl acetate extracts showed the highest degree of overlap between native and in vitro plants, whereas methanol and hexane extracts contained a greater number of unique metabolites in micropropagated material. This first comprehensive phytochemical report on M. croatica highlights the importance of micropropagation as a sustainable strategy for conserving rare species while ensuring a reliable source of bioactive metabolites. Full article
(This article belongs to the Section Phytochemistry)
Show Figures

Figure 1

26 pages, 3907 KB  
Article
Changes in Growth and Metabolic Profile of Scutellaria baicalensis Georgi in Response to Sodium Chloride
by Sylwester Ślusarczyk, Kajetan Grzelka, Joanna Jaśpińska, Anna Pawlikowska-Bartosz, Łukasz Pecio, Marta Stafiniak, Mehdi Rahimmalek, Wojciech Słupski, Adam Cieślak and Adam Matkowski
Biology 2024, 13(12), 1058; https://doi.org/10.3390/biology13121058 - 17 Dec 2024
Cited by 1 | Viewed by 1497
Abstract
Scutellaria baicalensis Georgi is a valuable medicinal plant of the Lamiaceae family. Its roots have been used in Traditional Chinese Medicine (under the name Huang-qin) since antiquity and are nowadays included in Chinese and European Pharmacopoeias. It is abundant in bioactive compounds which [...] Read more.
Scutellaria baicalensis Georgi is a valuable medicinal plant of the Lamiaceae family. Its roots have been used in Traditional Chinese Medicine (under the name Huang-qin) since antiquity and are nowadays included in Chinese and European Pharmacopoeias. It is abundant in bioactive compounds which constitute up to 20% of dried root mass. These substances are lipophilic flavones with unsubstituted B-ring, baicalein, and wogonin and their respective glucuronides–baicalin and wogonoside being the most abundant. The content of these compounds is variable and the environmental factors causing this remain partially unknown. The role of these compounds in stress response is still being investigated and in our efforts to measure the effect of NaCl treatment on S. baicalensis growth and metabolic profile, we hope to contribute to this research. Short-term exposure to salt stress (50, 100, and 150 mM NaCl) resulted in a marked increase of baicalein from 1.55 mg to 2.55 mg/g DM (1.6-fold), baicalin from 8.2 mg to 14.7 mg (1.8-fold), wogonin from 4.9 to 6.8 (1.4-fold), and wogonoside from 3.3 to 6.8 mg/g DM (2-fold) in the roots. Conversely, in the aerial parts, the content of individual major flavonoids: carthamidine-7-O-glucuronide and scutellarein-7-O-glucuronide decreased the most by 10–50% from 18.6 mg to 11.3 mg/g (1.6-fold less) and from 6.5 mg to 3.4 mg/g DM (0.52-fold less), respectively. The amino acid profile was also altered with an increase in root concentrations of the following amino acids: arginine from 0.19 to 0.33 mg/g (1.7-fold), glutamate from 0.09 to 0.16 mg/g DM (1.6-fold), alanine from 0.009 to 0.06 mg/g (6.8-fold), proline from 0.011 to 0.029 (2.4-fold) and lysine from 0.016 to 0.063 mg/g (3.9-fold). Aspartate concentration decreased from 0.01 to 0.002 mg/g (4.8-fold less) at 150 mM NaCl. In the aerial parts, the concentration and variation in levels of specific amino acids differed among groups. For instance, the glutamate content exhibited a significant increase exclusively in the treatment group, rising from 0.031 to 0.034 mg/g, representing a 1.2-fold increase. Proline concentration showed a marked increase across all treated groups with the highest from 0.011 to 0.11 mg/g (10-fold). In conclusion, moderate salt stress was shown to increase S. baicalensis root biomass and flavonoid content which is rarely observed in a glycophyte species and provides a foundation for further studies on the mechanisms of osmotic stress adaptation on the specialized metabolism level. Full article
(This article belongs to the Section Plant Science)
Show Figures

Graphical abstract

12 pages, 3409 KB  
Article
Anti-Inflammatory Flavonoids from Agrimonia pilosa Ledeb: Focusing on Activity-Guided Isolation
by Mijin Park, Dahye Ryu, Jwayeong Cho, Kang-Mo Ku and Young-Hwa Kang
Molecules 2024, 29(2), 283; https://doi.org/10.3390/molecules29020283 - 5 Jan 2024
Cited by 4 | Viewed by 2357
Abstract
To elucidate the anti-inflammatory properties and constituents of Agrimonia pilosa Ledeb. (A. pilosa), a comprehensive investigation was conducted employing activity-guided isolation. The anti-inflammatory effects were evaluated through an in vitro nitric oxide (NO) assay on lipopolysaccharide (LPS)-treated RAW 264.7 macrophage cells. [...] Read more.
To elucidate the anti-inflammatory properties and constituents of Agrimonia pilosa Ledeb. (A. pilosa), a comprehensive investigation was conducted employing activity-guided isolation. The anti-inflammatory effects were evaluated through an in vitro nitric oxide (NO) assay on lipopolysaccharide (LPS)-treated RAW 264.7 macrophage cells. Seven bio-active compounds with anti-inflammatory properties were successfully isolated from the butanol fraction and identified as follows: quercetin-7-O-β-d-rhamnoside (1), apigenin-7-O-β-d-glucopyranoside (2), kaempferol-7-O-β-d-glucopyranoside (3), quercetin (4), kaempferol (5), apigenin (6), and apigenin-7-O-β-d-glucuronide-6″-butylester (7). All isolated compounds showed strong NO inhibitory activity with IC50 values ranging from 1.4 to 31 µM. Compound 6 demonstrated the most potent NO inhibition. Compound 7, a rare flavonoid, was discerned as a novel anti-inflammatory agent, ascertained through its inaugural demonstration of nitric oxide inhibition. Subsequently, a comprehensive structure-activity relationship (SAR) analysis was conducted employing eight flavonoids derived from A. pilosa. The outcomes elucidated that flavones exhibit superior NO inhibitory effects compared to flavonols, and the aglycone form manifests greater potency in NO inhibition than the glycone counterpart. These results highlight A. pilosa as a promising source of effective anti-inflammatory agents and indicate its potential as a health-beneficial dietary supplement and therapeutic material. Full article
(This article belongs to the Special Issue Anti-inflammatory Activities of Natural Compounds)
Show Figures

Figure 1

22 pages, 2553 KB  
Article
Maximizing the Recovery of Phenolic Antioxidants from Wild Strawberry (Fragaria vesca) Leaves Using Microwave-Assisted Extraction and Accelerated Solvent Extraction
by Petra Terpinc, Erika Dobroslavić, Ivona Elez Garofulić, Maja Repajić, Ena Cegledi, Ana Dobrinčić, Sandra Pedisić and Branka Levaj
Processes 2023, 11(12), 3378; https://doi.org/10.3390/pr11123378 - 6 Dec 2023
Cited by 6 | Viewed by 2629
Abstract
Due to the presence of diverse phenolic classes in wild strawberry (Fragaria vesca L.) leaves, there is an ever-growing effort to find new, efficient methods for their recovery and detailed characterization. Microwave-assisted extraction (MAE) and accelerated solvent extraction (ASE) were evaluated to [...] Read more.
Due to the presence of diverse phenolic classes in wild strawberry (Fragaria vesca L.) leaves, there is an ever-growing effort to find new, efficient methods for their recovery and detailed characterization. Microwave-assisted extraction (MAE) and accelerated solvent extraction (ASE) were evaluated to understand the impact of the extraction temperature, extraction time, and solvent-to-sample ratio (SSR) on the quantitative and qualitative properties of the obtained extracts. The highest total phenolic content (8027 mg GA/100 g DW), as well as the highest DPPH antiradical activity (903 μmol TE/g DW), was obtained with ASE at 150 °C with a static time of 5 min and an SSR of 40:1, while the highest ABTS•+ antiradical activity (681 μmol TE/g DW) and FRAP (2389 μmol TE/g DW) were obtained with MAE after 5 min at 80 °C and an SSR of 40:1. A total of 54 different phenolics were identified by UPLC/MS-MS, some for the first time. The MAE extract had a higher content of phenolic acids (40%; esp. p-hydroxybenzoic acid, gallic acid) and myricetin, while the ASE extract was richer in proanthocyanidins (88%; esp. procyanidin B1, procyanidin trimer), flavonols (29%; esp. quercetin, quercetin-3-glucuronide, rutin), flavan-3-ols (50%; esp. epicatechin), and flavones (39%; esp. luteolin). The results indicated that for optimal extraction conditions, the target phenolics and the desired antioxidant properties of the obtained extracts should be considered. Full article
(This article belongs to the Special Issue Separation and Extraction Techniques in Food Processing and Analysis)
Show Figures

Figure 1

6 pages, 810 KB  
Proceeding Paper
Characterization of Phenolic Compounds of Arnica montana Conventional Extracts
by Paula Garcia-Oliveira, Franklin Chamorro, Pauline Donn, Pascual Garcia-Perez, Sepidar Seyyedi-Mansour, Aurora Silva, Javier Echave, Jesus Simal-Gandara, Lucia Cassani and Miguel A. Prieto
Eng. Proc. 2023, 48(1), 61; https://doi.org/10.3390/CSAC2023-15164 - 20 Oct 2023
Cited by 4 | Viewed by 1640
Abstract
Arnica montana L. (Asteraceae family) is a plant commonly used in traditional medicine, and several reports have characterized this plant’s bioactivities, especially its phenolic compounds. These compounds are well known for their numerous beneficial biological properties. Consequently, industry stakeholders from the feed, food, [...] Read more.
Arnica montana L. (Asteraceae family) is a plant commonly used in traditional medicine, and several reports have characterized this plant’s bioactivities, especially its phenolic compounds. These compounds are well known for their numerous beneficial biological properties. Consequently, industry stakeholders from the feed, food, cosmetic, and pharmaceutical sectors are seeking extracts rich in phenolic compounds, which could be interesting for the development of bio-based applications. The objective of the present study was to characterize the phenolic profile of this species to lay the groundwork for further optimization studies to obtain the highest amount of phenolic compounds. Therefore, A. montana was extracted with an ethanol/water ratio of 80:20 (v/v) at room temperature for 1 h, and phenolic compounds were identified and quantified through UPLC (HPLC Dionex Ultimate 3000) with a mass detector (TSQ Quantis). In the extract, phenolics belonging to different groups were identified, namely eriodictyol-O-glucuronide (flavanone), hispidulin and luteolin (flavones), kaempferol and 6-methoxykaempferol, (flavonols), p-coumaric, feruloylquinic, caffeoylquinic, and dicaffeoylquinic isomers (hydroxycinnamic acids). However, only four of them could be quantified: kaempferol and the three hydroxycinnamic acids. The total phenolic content (mg/g of dry sample) was estimated to be 27.34 mg/g, with the most prevalent compounds being the dicaffeoylquinic acids (accounting for 79.5% of the total phenolics). It has been demonstrated that dicaffeoylquinic acids present anti-inflammatory and antioxidant activities, which have been linked to several beneficial effects. Thus, obtaining phenolic-rich extracts of A. montana may allow us to exploit this plant’s significant biological properties, and it could be a new ingredient for developing new applications in the nutraceutical, cosmetic, and/or pharmaceutical industries. Full article
Show Figures

Figure 1

15 pages, 1821 KB  
Article
Determination of Phytochemical Contents in Extracts from Different Growth Stages of Oroxylum indicum Fruits Using HPLC-DAD and QAMS Methods
by Piyanuch Rojsanga, Stefan Schwaiger, Hermann Stuppner and Pongtip Sithisarn
Molecules 2023, 28(19), 6837; https://doi.org/10.3390/molecules28196837 - 28 Sep 2023
Cited by 8 | Viewed by 2825
Abstract
Flavones are major compounds found in several parts of Oroxylum indicum (O. indicum). The quantification of multiple components by one marker (QAMS) method and the high-performance liquid chromatography (HPLC) method were developed for the quantitative analysis of extracts from the young [...] Read more.
Flavones are major compounds found in several parts of Oroxylum indicum (O. indicum). The quantification of multiple components by one marker (QAMS) method and the high-performance liquid chromatography (HPLC) method were developed for the quantitative analysis of extracts from the young fruits, green mature fruits, dry pod coats and seeds of O. indicum. Oroxin A, oroxin B and chrysin-7-O-glucuronide were identified in the O. indicum extracts. Oroxylin A and 5-hydroxymethylfurfural were isolated and structurally identified from the pod coat and young fruit extracts, respectively. From the HPLC analysis of the seven major flavones in the extracts, baicalin was the major compound in all extracts investigated (0.4–11% w/w of the extract). All flavone contents were low in the young fruit extract (<1% w/w of the extract). The green mature fruit and dry pod coat extracts showed similar constituent compositions. They contained small amounts of baicalin and oroxylin A, which were found only in these two extracts. Oroxylin A could be used as a marker to indicate the maturity of O. indicum fruits, while 5-hydroxymethylfurfural could be used as a marker for the young fruits. Baicalin was found to be a suitable single marker to calculate the contents of all flavones in the O. indicum extracts. Full article
Show Figures

Figure 1

15 pages, 3528 KB  
Article
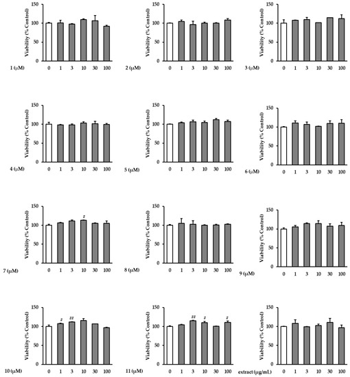
The Effects of Flavonol and Flavone Glucuronides from Potentilla chinensis Leaves on TNF-α-Exposed Normal Human Dermal Fibroblasts
by Yea Jung Choi, So Young Lee, So-Ri Son, Jun Yeon Park, Dae Sik Jang and Sullim Lee
Antioxidants 2023, 12(10), 1803; https://doi.org/10.3390/antiox12101803 - 27 Sep 2023
Cited by 4 | Viewed by 1871
Abstract
Skin aging is a complex biological process influenced by a variety of factors, including UV radiation. UV radiation accelerates collagen degradation via the production of reactive oxygen species (ROS) and cytokines, including TNF-α. In a prior investigation, the inhibitory properties of flavonol and [...] Read more.
Skin aging is a complex biological process influenced by a variety of factors, including UV radiation. UV radiation accelerates collagen degradation via the production of reactive oxygen species (ROS) and cytokines, including TNF-α. In a prior investigation, the inhibitory properties of flavonol and flavone glucuronides derived from Potentilla chinensis on TNF-α-induced ROS and MMP-1 production were explored. Consequently, we verified the skin-protective effects of these flavonol and flavone glucuronides, including potentilloside A, from P. chinensis, and conducted a structure–activity relationship analysis as part of our ongoing research. We investigated the protective effects of the extract and its 11 isolates on TNF-α-stimulated normal human dermal fibroblasts (NHDFs). Ten flavonol and flavone glucuronides significantly inhibited ROS generation (except for 7) and suppressed MMP-1 secretion, except for 2. In contrast, six isolates (1, 5, 6, 11, 9, 10, and 11) showed a significant reverse effect on COLIA1 secretion. Comparing the three experimental results of each isolate, potentilloside A (1) showed the most potent skin cell-protective effect among the isolates. Evaluation of the signaling pathway of potentilloside A in TNF-α-stimulated NHDF revealed that potentilloside A inhibits the phosphorylation of ERK, JNK, and c-Jun. Taken together, these results suggest that compounds isolated from P. chinensis, especially potentilloside A, can be used to inhibit skin damage, including aging. Full article
(This article belongs to the Section Health Outcomes of Antioxidants and Oxidative Stress)
Show Figures

Figure 1

16 pages, 2941 KB  
Article
Enzymatic Synthesis of α-Glucosyl-Baicalin through Transglucosylation via Cyclodextrin Glucanotransferase in Water
by Carole Lambert, Perrine Lemagnen, Eglantine Don Simoni, Jane Hubert, Alexis Kotland, Chantal Paulus, Audrey De Bizemont, Sylvie Bernard, Anne Humeau, Daniel Auriol and Romain Reynaud
Molecules 2023, 28(9), 3891; https://doi.org/10.3390/molecules28093891 - 5 May 2023
Cited by 4 | Viewed by 2577
Abstract
Baicalin is a biologically active flavone glucuronide with poor water solubility that can be enhanced via glucosylation. In this study, the transglucosylation of baicalin was successfully achieved with CGTases from Thermoanaerobacter sp. and Bacillus macerans using α-cyclodextrin as a glucosyl donor. The synthesis [...] Read more.
Baicalin is a biologically active flavone glucuronide with poor water solubility that can be enhanced via glucosylation. In this study, the transglucosylation of baicalin was successfully achieved with CGTases from Thermoanaerobacter sp. and Bacillus macerans using α-cyclodextrin as a glucosyl donor. The synthesis of baicalin glucosides was optimized with CGTase from Thermoanaerobacter sp. Enzymatically modified baicalin derivatives were α-glucosylated with 1 to 17 glucose moieties. The two main glucosides were identified as Baicalein-7-O-α-D-Glucuronidyl-(1→4′)-O-α-D-Glucopyranoside (BG1) and Baicalein-7-O-α-D-Glucuronidyl-(1→4′)-O-α-D-Maltoside (BG2), thereby confirming recent findings reporting that glucuronyl groups are acceptors of this CGTase. Optimized conditions allowed for the attainment of yields above 85% (with a total glucoside content higher than 30 mM). BG1 and BG2 were purified via centrifugal partition chromatography after an enrichment through deglucosylation with amyloglucosidase. Transglucosylation increased the water solubility of BG1 by a factor of 188 in comparison to that of baicalin (molar concentrations), while the same value for BG2 was increased by a factor of 320. Finally, BG1 and BG2 were evaluated using antioxidant and anti-glycation assays. Both glucosides presented antioxidant and anti-glycation properties in the same order of magnitude as that of baicalin, thereby indicating their potential biological activity. Full article
(This article belongs to the Topic Green and Sustainable Chemistry)
Show Figures

Figure 1

17 pages, 758 KB  
Article
Chemical Characterization and Determination of the Antioxidant Properties of Phenolic Compounds in Three Scutellaria sp. Plants Grown in Colombia
by Silvia M. Porras, Rogerio A. Saavedra, Lady J. Sierra, Robert T. González, Jairo R. Martínez and Elena E. Stashenko
Molecules 2023, 28(8), 3474; https://doi.org/10.3390/molecules28083474 - 14 Apr 2023
Cited by 1 | Viewed by 2659
Abstract
Plants of the genus Scutellaria (Lamiaceae) have a wide variety of bioactive secondary metabolites with diverse biological properties, e.g., anti-inflammatory, antiallergenic, antioxidant, antiviral, and antitumor activities. The chemical composition of the hydroethanolic extracts, obtained from dried plants of S. incarnata, S [...] Read more.
Plants of the genus Scutellaria (Lamiaceae) have a wide variety of bioactive secondary metabolites with diverse biological properties, e.g., anti-inflammatory, antiallergenic, antioxidant, antiviral, and antitumor activities. The chemical composition of the hydroethanolic extracts, obtained from dried plants of S. incarnata, S. coccinea, and S. ventenatii × S. incarnata, was determined by UHPLC/ESI-Q-Orbitrap-MS. The flavones were found in a higher proportion. Baicalin and dihydrobaicalein-glucuronide were the major extract components in S. incarnata (287.127 ± 0.005 mg/g and 140.18 ± 0.07 mg/g), in S. coccinea (158.3 ± 0.34 mg/g and 51.20 ± 0.02 mg/g), and in S. ventenatii × S. incarnata (186.87 ± 0.01 mg/g and 44.89 ± 0.06 mg/g). The S. coccinea extract showed the highest antioxidant activity in the four complementary techniques employed to evaluate all extracts: ORAC (3828 ± 3.0 µmol Trolox®/g extract), ABTS+• (747 ± 1.8 µmol Trolox®/g extract), online HPLC-ABTS+• (910 ± 1.3 µmol Trolox®/g extract), and β-carotene (74.3 ± 0.8 µmol Trolox®/g extract). Full article
Show Figures

Figure 1

14 pages, 3216 KB  
Article
Potentilloside A, a New Flavonol-bis-Glucuronide from the Leaves of Potentilla chinensis, Inhibits TNF-α-Induced ROS Generation and MMP-1 Secretion
by So Young Lee, Yea Jung Choi, So-Ri Son, Young-Seo Yoon, Sun-Hee Lee, Kyung-Tae Lee, Sullim Lee and Dae Sik Jang
Plants 2022, 11(23), 3318; https://doi.org/10.3390/plants11233318 - 1 Dec 2022
Cited by 5 | Viewed by 2780
Abstract
The major contributor to skin aging is UV radiation, which activates pro-inflammatory cytokines including TNF-α. TNF-α is involved in the acceleration of skin aging via ROS generation and MMP-1 secretion. In our preliminary study, a 30% EtOH extract from the leaves of Potentilla [...] Read more.
The major contributor to skin aging is UV radiation, which activates pro-inflammatory cytokines including TNF-α. TNF-α is involved in the acceleration of skin aging via ROS generation and MMP-1 secretion. In our preliminary study, a 30% EtOH extract from the leaves of Potentilla chinensis (LPCE) significantly inhibited TNF-α-induced ROS generation in human dermal fibroblasts (HDFs). Therefore, the objective of this study is to identify the active components in LPCE. A new flavonol-bis-glucuronide (potentilloside A, 1) and 14 known compounds (215) were isolated from an LPCE by repeated chromatography. The chemical structure of the new compound 1 was determined by analyzing its spectroscopic data (NMR and HRMS) and by acidic hydrolysis. Nine flavonols (29 and 11) and two flavone glycosides (12 and 13) from P. chinensis were reported for the first time in this study. Next, we evaluated the effects of the isolates (115) on TNF-α-induced ROS generation in HDFs. As a result, all compounds significantly inhibited ROS generation. Furthermore, LPCE and potentilloside A (1) remarkably suppressed MMP-1 secretion in HDFs stimulated by TNF-α. The data suggested that LPCE and potentilloside A (1) are worthy of further experiments for their potential as anti-skin aging agents. Full article
(This article belongs to the Special Issue Pharmacological and Toxicological Study of Medicinal Plants)
Show Figures

Graphical abstract

15 pages, 1909 KB  
Article
Feasibility of Defatted Juice from Sea-Buckthorn Berries (Hippophae rhamnoides L.) as a Wheat Beer Enhancer
by Justyna Belcar and Józef Gorzelany
Molecules 2022, 27(12), 3916; https://doi.org/10.3390/molecules27123916 - 18 Jun 2022
Cited by 6 | Viewed by 2734
Abstract
Juice made from sea-buckthorn berries (Hippophae rhamnoides L.) is a valuable source of bioactive compounds, vitamins, as well as micro- and macronutrients. By applying defatted sea-buckthorn juice, it is possible to enhance wheat beer and change its sensory properties and the contents [...] Read more.
Juice made from sea-buckthorn berries (Hippophae rhamnoides L.) is a valuable source of bioactive compounds, vitamins, as well as micro- and macronutrients. By applying defatted sea-buckthorn juice, it is possible to enhance wheat beer and change its sensory properties and the contents of bioactive compounds in the finished product. A sensory assessment showed that wheat beers with a 5% v/v addition of sea-buckthorn juice were characterised by a balanced taste and aroma (overall impression). Physicochemical analyses showed that, compared to the control samples, wheat beers enhanced with defatted sea-buckthorn juice at a rate of 5% v/v or 10% v/v had high total acidity with respective mean values of 5.30 and 6.88 (0.1 M NaOH/100 mL), energy values lower on average by 4.04% and 8.35%, respective polyphenol contents of 274.1 mg GAE/L and 249.7 mg GAE/L, as well as higher antioxidant activity (measured using DPPH, FRAP, and ABTS assays). The findings show that the samples of wheat beer enhanced with sea-buckthorn juice had average ascorbic acid contents of 2.5 and 4.5 mg/100 mL (in samples with 5% v/v and 10% v/v additions, respectively) and contained flavone glycosides, e.g., kaempferol-3-O-glucuronide-7-O-hexoside. Based on the current findings, it can be concluded that wheat beer enhanced with sea-buckthorn juice could emerge as a new trend in the brewing industry. Full article
Show Figures

Graphical abstract

29 pages, 6850 KB  
Article
Pharmacokinetics, Prostate Distribution and Metabolic Characteristics of Four Representative Flavones after Oral Administration of the Aerial Part of Glycyrrhiza uralensis in Rats
by Haifan Liu, Guanhua Chang, Wenquan Wang, Zuen Ji, Jie Cui and Yifeng Peng
Molecules 2022, 27(10), 3245; https://doi.org/10.3390/molecules27103245 - 19 May 2022
Cited by 12 | Viewed by 3115
Abstract
(1) Background: The aerial part of G. uralensis had pharmacological effects against chronic non-bacterial prostatitis (CNP), and flavonoids are the main efficacy components. The purpose of this study was to obtain the pharmacokinetics, prostate distribution and metabolic characteristics of some flavonoids in rats. [...] Read more.
(1) Background: The aerial part of G. uralensis had pharmacological effects against chronic non-bacterial prostatitis (CNP), and flavonoids are the main efficacy components. The purpose of this study was to obtain the pharmacokinetics, prostate distribution and metabolic characteristics of some flavonoids in rats. (2) Methods: The prototype flavones and the metabolites of four representative flavonoids, namely puerarin, luteolin, kaempferol and pinocembrin in plasma, prostate, urine and feces of rats were analyzed by UPLC-Q-Exactive Orbitrap-MS. In addition, the pharmacokinetic parameters in plasma and distribution of prostate of four components were analyzed by HPLC-MS/MS. (3) Results: In total, 22, 17, 22 and 11 prototype flavones were detected in the prostate, plasma, urine and feces, respectively. The metabolites of puerarin in the prostate are hydrolysis and glucose-conjugated products, the metabolites of kaempferol and luteolin in the prostate are methylation and glucuronidation, and the metabolites of pinocembrin in the prostate are naringenin, oxidation, sulfation, methylation and glucuronidation products. The t1/2 of puerarin, luteolin, kaempferol and pinocembrin was 6.43 ± 0.20, 31.08 ± 1.17, 18.98 ± 1.46 and 13.18 ± 0.72 h, respectively. The concentrations of the four flavonoids in prostate were ranked as kaempferol > pinocembrin > luteolin > puerarin. (4) Conclusions: Methylation and glucuronidation metabolites were the main metabolites detected in the prostate. A sensitive and validated HPLC–MS/MS method for simultaneous determination of puerarin, luteolin, kaempferol and pinocembrin in rat plasma and prostate was described, and it was successfully applied to the pharmacokinetic and prostate distribution studies. Full article
(This article belongs to the Special Issue Discovery of Bioactive Compounds for Inflammatory Diseases)
Show Figures

Figure 1

14 pages, 8766 KB  
Article
In Vitro Liver Metabolism of Six Flavonoid C-Glycosides
by Martina Tremmel, Christian Paetz and Jörg Heilmann
Molecules 2021, 26(21), 6632; https://doi.org/10.3390/molecules26216632 - 1 Nov 2021
Cited by 4 | Viewed by 6306
Abstract
Several medical plants belonging to the genera Passiflora, Viola, and Crataegus accumulate flavonoid C-glycosides, which likely contribute to their efficacy. Information regarding their phase I and II metabolism in the liver are lacking. Thus, in vitro liver metabolism of orientin, isoorientin, [...] Read more.
Several medical plants belonging to the genera Passiflora, Viola, and Crataegus accumulate flavonoid C-glycosides, which likely contribute to their efficacy. Information regarding their phase I and II metabolism in the liver are lacking. Thus, in vitro liver metabolism of orientin, isoorientin, schaftoside, isoschaftoside, vitexin, and isovitexin, all of which accumulated in Passiflora incarnata L., was investigated by incubation in subcellular systems with human liver microsomes and human liver S9 fraction. All metabolite profiles were comprehensively characterized using HPLC-DAD and UHPLC–MS/MS analysis. Mono-glycosylic flavones of the luteolin-type orientin and isoorientin showed a broad range of mono-glucuronidated and mono-sulfated metabolites, whereas for mono-glycosylic flavones of the apigenin-type vitexin and isovitexin, only mono-glucuronidates could be detected. For di-glycosylic flavones of the apigenin-type schaftosid and isoschaftosid, no phase I or II metabolites were identified. The main metabolite of isoorientin was isolated using solid-phase extraction and prep. HPLC-DAD and identified as isoorientin-3′-O-α-glucuronide by NMR analysis. A second isolated glucuronide was assigned as isoorientin 4′-O-α-glucuronide. These findings indicate that vitexin and isovitexin are metabolized preferentially by uridine 5′-diphospho glucuronosyltransferases (UGTs) in the liver. As only orientin and isoorientin showed mono-sulfated and mono-glucuronidated metabolites, the dihydroxy group in 3′,4′-position may be essential for additional sulfation by sulfotransferases (SULTs) in the liver. The diglycosylic flavones schaftoside and isoschaftoside are likely not accepted as substrates of the used liver enzymes under the chosen conditions. Full article
Show Figures

Graphical abstract

12 pages, 2206 KB  
Article
Hairy Roots of Scutellaria spp. (Lamiaceae) as Promising Producers of Antiviral Flavones
by Anna Yurievna Stepanova, Aleksandra Ivanovna Solov’eva, Maria Victorovna Malunova, Svetlana Andreevna Salamaikina, Yury Mikhailovich Panov and Andrey Aleksandrovich Lelishentsev
Molecules 2021, 26(13), 3927; https://doi.org/10.3390/molecules26133927 - 27 Jun 2021
Cited by 24 | Viewed by 3750
Abstract
We measured and studied the growth parameters and the qualitative and quantitative composition of the flavones of hairy roots of the Scutellaria genus: S. lateriflora, S. przewalskii and S. pycnoclada. Hairy roots were obtained using wild-type Agrobacterium rhizogenes A4 by co-cultivation [...] Read more.
We measured and studied the growth parameters and the qualitative and quantitative composition of the flavones of hairy roots of the Scutellaria genus: S. lateriflora, S. przewalskii and S. pycnoclada. Hairy roots were obtained using wild-type Agrobacterium rhizogenes A4 by co-cultivation of explants (cotyledons) in a suspension of Agrobacterium. The presence of the rol-genes was confirmed by PCR analysis. The hairy roots of the most studied plant from the Scutellaria genus, S. baicalensis, were obtained earlier and used as a reference sample. HPLC-MS showed the predominance of four main flavones (baicalin, baicalein, wogonin and wogonoside) in the methanol extracts of the studied hairy roots. In addition to the four main flavones, the other substances which are typical to the aerial part of plants were found in all the extracts: apigenin, apigetrin, scutellarin and chrysin-7-O-β-d-glucuronide. According to the total content of flavones, the hairy roots of the studied skullcaps form the following series: S. przewalskii (33 mg/g dry weight) > S. baicalensis (17.04 mg/g dry weight) > S. pycnoclada (12.9 mg/g dry weight) > S. lateriflora (4.57 mg/g dry weight). Therefore, the most promising producer of anti-coronavirus flavones is S. przewalskii. Full article
(This article belongs to the Special Issue Flavonoids and Their Disease Prevention and Treatment Potential 2021)
Show Figures

Figure 1

Back to TopTop