Sign in to use this feature.

Years

Between: -

Subjects

remove_circle_outline
remove_circle_outline
remove_circle_outline
remove_circle_outline
remove_circle_outline
remove_circle_outline

Journals

Article Types

Countries / Regions

Search Results (13)

Search Parameters:
Keywords = flash smelting slag

Order results
Result details
Results per page
Select all
Export citation of selected articles as:
22 pages, 8976 KB  
Article
Studies on the Hydrometallurgical Transfer of Lead, Copper, and Iron from Direct-to-Blister Copper Flash Smelting Slag to Solution Using L-Ascorbic Acid
by Krzysztof Gargul, Arkadiusz Pawlik and Michał Stępień
Molecules 2025, 30(6), 1365; https://doi.org/10.3390/molecules30061365 - 18 Mar 2025
Cited by 1 | Viewed by 955
Abstract
This study explored the behavior of lead, copper, and iron during the leaching process of flash smelting slag from direct-to-blister copper flash smelting using l-ascorbic acid solutions. Flash smelting slag is generated in considerable quantities by various copper smelters worldwide. One drawback of [...] Read more.
This study explored the behavior of lead, copper, and iron during the leaching process of flash smelting slag from direct-to-blister copper flash smelting using l-ascorbic acid solutions. Flash smelting slag is generated in considerable quantities by various copper smelters worldwide. One drawback of the single-stage flash smelting technology for copper concentrates is the production of large quantities of metal-rich by-products. However, through appropriate management of postprocess waste, valuable components such as copper or lead can be recovered. In practice, the slag is typically subjected to decoppering processes involving electric and converter furnaces. The hydrometallurgical process proposed in this study is aimed at replacing high-temperature recovery methods. The primary objective of the experiments was to investigate the effects of variations in specific leaching parameters and the addition of auxiliary substances on the leaching efficiency of lead, copper, and iron. Four parameters were adjusted during the tests: concentration of l-ascorbic acid, liquid-to-solid phase ratio, temperature, and time. An oxidizing agent in the form of perhydrol and citric acid with an oxidant were used as additives. Optimal process conditions were determined to achieve maximum lead leaching efficiency while maintaining relatively low leaching of copper and iron. The experiments indicated that leaching in ascorbic acid solutions resulted in lead extraction efficiencies ranging from approximately 68% to more than 88%, depending on the conditions. Conversely, relatively low leaching efficiencies of iron (4–12%) and copper (0–29%) were observed. Full article
(This article belongs to the Special Issue Solid Waste and Fly Ash Chemical Treatment Methods)
Show Figures

Figure 1

16 pages, 5079 KB  
Article
Thermodynamic Modeling and Research for Processing Complex Concentrate Blends in Custom Copper Smelters for Maximum Revenue
by Denis Shishin, Nagendra Tripathi, Svetlana Sineva and Evgueni Jak
Processes 2024, 12(12), 2820; https://doi.org/10.3390/pr12122820 - 9 Dec 2024
Cited by 2 | Viewed by 2853
Abstract
Custom copper smelters, which are dependent on purchased concentrates, are facing increasing economic pressures amid falling treatment and refining fees. With the declining availability of high-grade, low-impurity concentrates, copper demand is expected to surge to support the transition to renewable energy. This study, [...] Read more.
Custom copper smelters, which are dependent on purchased concentrates, are facing increasing economic pressures amid falling treatment and refining fees. With the declining availability of high-grade, low-impurity concentrates, copper demand is expected to surge to support the transition to renewable energy. This study, which is based on recent observations of Chinese custom smelters, examines their strategies to address the challenge of purchasing concentrates at record-low treatment and refining charges. By investing in slag flotation technology, smelters can enhance copper, gold, and silver recovery. By blending high-grade and low-grade concentrates, they can capitalize on the gap between the recoverable and payable metals, which are often referred to as “free metals”, while also benefiting from byproducts, mainly sulfuric acid. While this approach offers economic opportunities, it introduces operational complexities. To mitigate these, laboratory testing, combined with advanced digital predictive tools based on thermodynamics, is crucial. This study demonstrates the use of thermodynamic models supported by experimental work for analyzing furnace operations. FactSage® software and a custom database are employed to define the operating window of two common flowsheets: (1) flash smelting + flash converting and (2) bottom-blown smelting + bottom-blowing converting. Full article
(This article belongs to the Special Issue Recent Trends in Extractive Metallurgy)
Show Figures

Figure 1

14 pages, 4325 KB  
Article
Settling Flow Details in the Flash Smelting Furnace—A CFD-DEM Simulation Study
by Jani-Petteri Jylhä and Ari Jokilaakso
Fluids 2023, 8(10), 283; https://doi.org/10.3390/fluids8100283 - 23 Oct 2023
Cited by 4 | Viewed by 2803
Abstract
The flash smelting furnace has previously been simulated using computational fluid dynamics (CFD). A new approach is to combine CFD and the discrete element method (DEM) for more detailed simulations of the different phenomena that occur as copper matte droplets settle through a [...] Read more.
The flash smelting furnace has previously been simulated using computational fluid dynamics (CFD). A new approach is to combine CFD and the discrete element method (DEM) for more detailed simulations of the different phenomena that occur as copper matte droplets settle through a slag layer. One of the most important phenomena found is the formation of a channeling flow which carries matte droplets faster through the slag. However, such phenomena cannot be directly observed in the flash smelting furnace settler due to the extreme temperatures of the opaque molten slag inside the furnace, therefore alternative methods are required for validating the phenomenon. In this work, the simulated channeling flow is validated with a sphere–oil model. The phenomenon was similar in all of the studied cases, although in the experimental setup the spheres settled faster in the oil model than in the simulations. The differences were most likely caused by the cohesion of the spheres and slight differences in the properties provided by the manufacturer and real properties for the oil and the spheres, and by the fact that simulation ignores surface tension and changing air–oil and water–oil interfaces. Full article
(This article belongs to the Special Issue Multiphase Flow and Granular Mechanics)
Show Figures

Figure 1

11 pages, 2015 KB  
Article
Control of Copper Content in Flash Smelting Slag and the Recovery of Valuable Metals from Slag—A Thermodynamic Consideration
by Sui Xie, Xinhua Yuan, Fupeng Liu and Baojun Zhao
Metals 2023, 13(1), 153; https://doi.org/10.3390/met13010153 - 11 Jan 2023
Cited by 11 | Viewed by 5992
Abstract
To determine slag properties and the factors influencing these properties for optimization of operating conditions in the copper flash smelting process, the composition and microstructures of the quenched smelting and converting slags have been analyzed. Thermodynamic software FactSage 8.2 has been used to [...] Read more.
To determine slag properties and the factors influencing these properties for optimization of operating conditions in the copper flash smelting process, the composition and microstructures of the quenched smelting and converting slags have been analyzed. Thermodynamic software FactSage 8.2 has been used to investigate the effects of matte grade, SO2 partial pressure, and the Fe/SiO2 ratio on the liquidus temperature and the copper content of the smelting slag. The possibility to recover valuable metals from the smelting and converting slags through pyrometallurgical reduction by carbon is also discussed. It was found that the flash smelting slag temperature is usually higher than its liquidus temperature and the copper (1.2% Cu) is mainly present in the slag as dissolved copper. In the copper flash smelting process, the copper content in the slag can be decreased by decreasing the Fe/SiO2 ratio and temperature. In pyrometallurgical slag reduction, most Cu, Mo, and Ni can be recovered as an alloy. The conditions of recovery such as the ratio of smelting slag to converting slag, temperature, and reduction extent have been discussed. Full article
(This article belongs to the Special Issue Fundamentals of Advanced Pyrometallurgy)
Show Figures

Figure 1

33 pages, 23991 KB  
Article
Mineralogical Properties of the Copper Slags from the SarCheshmeh Smelter Plant, Iran, in View of Value Recovery
by Saeed Mohamadi Nasab, Behnam Shafiei Bafti, Mohamad Reza Yarahmadi, Mohammad Mahmoudi Maymand and Javad Kamalabadi Khorasani
Minerals 2022, 12(9), 1153; https://doi.org/10.3390/min12091153 - 12 Sep 2022
Cited by 14 | Viewed by 5918
Abstract
Annually, hundreds of thousands of tons of slags are involved in the reverberator and flash smelting as well as converting operations of Cu-Fe sulfide concentrates to produce matte in the Sar Cheshmeh copper smelter plant, Iran, disposed in the landfill and cooled in [...] Read more.
Annually, hundreds of thousands of tons of slags are involved in the reverberator and flash smelting as well as converting operations of Cu-Fe sulfide concentrates to produce matte in the Sar Cheshmeh copper smelter plant, Iran, disposed in the landfill and cooled in air. Due to their relatively high average copper content (about 1.5 wt%), a mineral processing plant based on the flotation process has recently been established to produce thousands of tons of Cu-sulfide concentrate after slag crushing and fine grinding operation. In order to make the flotation process more efficient, more knowledge is required on the form and origin of the copper losses in the slag. To achieve this, mineralogical studies of the slags using optical microscopy, X-ray diffraction (XRD), and scanning electron microscopy (SEM) methods have been carried out. Mineralogical analyses showed the main part of copper losses into the semi- to fully-crystallized magnetite-rich reverberator and flash slags characterized by crystal–glass matrix ratio ≤ 1 is moderate to coarse particles of Cu-Fe sulfides, i.e., chalcopyrite (CuFeS2) and bornite (Cu5FeS4), that are mainly chemically entrapped. In contrast, the mechanically entrapped fine- to coarse-grain (from 20 up to 200 µm) spherical-shaped of high-grade matte particles with chalcocite (Cu2S) composition containing droplets or veinlets of metallic copper (Cu0) are the dominant forms of copper losses into the converter slags characterized by crystal–glass matrix ratio > 1. From the value recovery point of view, our result show that the fully crystallized slags containing moderate- to coarse-grain copper-bearing particles will result in efficient recovery of a significant amount of entrained copper due to better milling response compared to semi-crystallized ones due to locking the fine- to moderate-grain copper particles in the silicate glassy matrix. Laboratory-scale grinding experiments showed that normal (≤74 μm) to fine (≤44 μm) grinding of high- Cu grade slags lead to a significant increase in the liberation degree of copper particles. in contrast, the increase in fine particle fractions (<37 μm) due to re-grinding or ultra-fine grinding of the originally low-Cu grade slags does not lead to the liberation of copper particles, but it will reduce the efficiency of the flotation process. This study suggests that the highest rate of copper recovery of the slag by the flotation process will be obtained at particle size 80% passing 44 µm which has also reached the optimal liberation degree of copper-bearing particles. Full article
Show Figures

Figure 1

15 pages, 4691 KB  
Article
Flash Smelting Settler Design Modifications to Reduce Copper Losses Using Numerical Methods
by Nadir Ali Khan and Ari Jokilaakso
Processes 2022, 10(4), 784; https://doi.org/10.3390/pr10040784 - 16 Apr 2022
Cited by 4 | Viewed by 2880
Abstract
A mathematical modeling approach was used to test different design modifications in a flash smelting settler to reduce the copper losses in slag, which is economically disadvantageous for copper processing using the pyrometallurgical route. The main purpose of this study was to find [...] Read more.
A mathematical modeling approach was used to test different design modifications in a flash smelting settler to reduce the copper losses in slag, which is economically disadvantageous for copper processing using the pyrometallurgical route. The main purpose of this study was to find ways to reduce copper losses in slag by improving the settling and coalescence of copper matte droplets, in particular, the smallest droplet sizes of ≤100 µm. These improvements inside the flash smelting (FS) settler were targeted through different settler design modifications. Three different design schemes were tested using the commercial computational fluid dynamics (CFD) software, Ansys Fluent. These settler design modification schemes included the impact of various baffle types, positioning, the height inside the settler, and settler bottom inclinations. Simulations were carried out with and without coalescence and the results were compared with normal settler design. The results revealed that the settling phenomenon and coalescence efficiency were improved significantly with these design modifications. It was concluded that a single baffle design was optimal for reducing copper losses and increasing coalescence efficiency instead of using multiple baffle arrangements. The top-mounted baffle outperformed the bottom-mounted baffle and inclined settler design. Full article
Show Figures

Figure 1

19 pages, 1845 KB  
Article
Copper Flash Smelting Process Balance Modeling
by María Bacedoni, Ignacio Moreno-Ventas and Guillermo Ríos
Metals 2020, 10(9), 1229; https://doi.org/10.3390/met10091229 - 11 Sep 2020
Cited by 29 | Viewed by 13590
Abstract
Process control in flash smelting is based on mass and energy balance from which the operational parameters (oxygen coefficient, oxygen enrichment, and flux demand) are obtained to achieve matte and slag with defined compositions and at defined temperatures. Mineral compositions of copper concentrates, [...] Read more.
Process control in flash smelting is based on mass and energy balance from which the operational parameters (oxygen coefficient, oxygen enrichment, and flux demand) are obtained to achieve matte and slag with defined compositions and at defined temperatures. Mineral compositions of copper concentrates, and their blends, have been used in order to optimize the heat process balance. The classical balance methodology has been improved by using equations for molecular ratios and distribution coefficients that have been calculated using FactSage™. This paper describes the development of balance equations and compares their theoretical (equilibrium) results with industrial data logs of the smelting process. Full article
Show Figures

Figure 1

22 pages, 8627 KB  
Article
Integrated Battery Scrap Recycling and Nickel Slag Cleaning with Methane Reduction
by Ronja Ruismäki, Anna Dańczak, Lassi Klemettinen, Pekka Taskinen, Daniel Lindberg and Ari Jokilaakso
Minerals 2020, 10(5), 435; https://doi.org/10.3390/min10050435 - 13 May 2020
Cited by 15 | Viewed by 5594
Abstract
Innovative recycling routes are needed to fulfill the increasing demand for battery raw materials to ensure sufficiency in the future. The integration of battery scrap recycling and nickel slag cleaning by reduction with methane was experimentally researched for the first time in this [...] Read more.
Innovative recycling routes are needed to fulfill the increasing demand for battery raw materials to ensure sufficiency in the future. The integration of battery scrap recycling and nickel slag cleaning by reduction with methane was experimentally researched for the first time in this study. Industrial nickel slag from the direct Outotec nickel flash smelting (DON) process was mixed with both synthetic and industrial battery scrap. The end products of the slag-scrap mixtures after reduction at 1400 °C in a CH4 (5 vol %)-N2 atmosphere were an Ni–Co–Cu–Fe metal alloy and FeOx–SiO2 slag. It was noted that a higher initial amount of cobalt in the feed mixture increased the recovery of cobalt to the metal alloy. Increasing the reduction time decreased the fraction of sulfur in the metal alloy and magnetite in the slag. After reduction, manganese was deported in the slag and most of the zinc volatilized. This study confirmed the possibility of replacing coke with methane as a non-fossil reductant in nickel slag cleaning on a laboratory scale, and the recovery of battery metals cobalt and nickel in the slag cleaning process with good yields. Full article
(This article belongs to the Special Issue Battery Minerals)
Show Figures

Figure 1

17 pages, 5505 KB  
Article
Computational Approaches for Studying Slag–Matte Interactions in the Flash Smelting Furnace (FSF) Settler
by Jani-Petteri Jylhä, Nadir Ali Khan and Ari Jokilaakso
Processes 2020, 8(4), 485; https://doi.org/10.3390/pr8040485 - 22 Apr 2020
Cited by 15 | Viewed by 8991
Abstract
Computational methods have become reliable tools in many disciplines for research and industrial design. There are, however, an ever-increasing number of details waiting to be included in the models and software, including, e.g., chemical reactions and many physical phenomena, such as particle and [...] Read more.
Computational methods have become reliable tools in many disciplines for research and industrial design. There are, however, an ever-increasing number of details waiting to be included in the models and software, including, e.g., chemical reactions and many physical phenomena, such as particle and droplet behavior and their interactions. The dominant method for copper production, flash smelting, has been extensively investigated, but the settler part of the furnace containing molten high temperature melts termed slag and matte, still lacks a computational modeling tool. In this paper, two commercial modeling software programs have been used for simulating slag–matte interactions in the settler, the target being first to develop a robust computational fluid dynamics (CFD) model and, second, to apply a new approach for molten droplet behavior in a continuum. The latter is based on CFD coupled with the discrete element method (DEM), which was originally developed for modeling solid particle–particle interactions and movement, and is applied here for individual droplets for the first time. The results suggest distinct settling flow phenomena and the significance of droplet coalescence for settling velocity and efficiency. The computing capacity requirement for both approaches is the main limiting factor preventing full-scale geometry modeling with detailed droplet interactions. Full article
(This article belongs to the Special Issue Process Modeling in Pyrometallurgical Engineering)
Show Figures

Figure 1

15 pages, 4854 KB  
Article
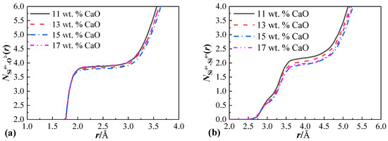
Molecular Dynamics Simulation on Microstructure and Physicochemical Properties of FexO-SiO2-CaO-MgO-“NiO” Slag in Nickel Matte Smelting under Modulating CaO Content
by Guohua Wang, Yaru Cui, Xiaoming Li, Shufeng Yang, Junxue Zhao, Hongliang Tang and Xuteng Li
Minerals 2020, 10(2), 149; https://doi.org/10.3390/min10020149 - 10 Feb 2020
Cited by 16 | Viewed by 4092
Abstract
To improve the conditions of extracting iron from nickel smelting residues, the composition modulating from FexO-SiO2-CaO-MgO-“NiO” slag source for matte smelting using high MgO nickel sulfide concentrate was carried out. Based on the molecular dynamics simulation and experimental characterization, [...] Read more.
To improve the conditions of extracting iron from nickel smelting residues, the composition modulating from FexO-SiO2-CaO-MgO-“NiO” slag source for matte smelting using high MgO nickel sulfide concentrate was carried out. Based on the molecular dynamics simulation and experimental characterization, the effect of CaO content in nickel slags on the physicochemical properties, the microstructure evolution, and the feasibility of subsequent iron extraction were analyzed. The results showed that, for nickel smelting slag with 9 wt.% MgO, 13–15 wt.% CaO and Fe/SiO2 ratio of 1.2, the melting temperature of nickel slag was lower than 1200 °C, and the viscosity was lower than 0.22 Pa·s at 1350 °C. The electric conductivity was similar to that of the industrial slag, and the interfacial tension between slag and matte was relatively large, which ensured a good separating characteristic. It not only met the requirements for the slag performances in the existing flash smelting process but also improved conditions for the subsequent iron extraction. Additionally, it could be adapted to the current situation where an increasing MgO content exists in the nickel sulfide concentrate. Full article
(This article belongs to the Section Mineral Processing and Extractive Metallurgy)
Show Figures

Figure 1

10 pages, 37614 KB  
Article
Behavior of Waste Printed Circuit Board (WPCB) Materials in the Copper Matte Smelting Process
by Xingbang Wan, Jani Fellman, Ari Jokilaakso, Lassi Klemettinen and Miikka Marjakoski
Metals 2018, 8(11), 887; https://doi.org/10.3390/met8110887 - 31 Oct 2018
Cited by 32 | Viewed by 6982
Abstract
The amount of waste electrical and electronic equipment (WEEE) in the world has grown rapidly during recent decades, and with the depletion of primary ores, there is urgent need for industries to study new sources for metals. Waste printed circuit boards (WPCB) are [...] Read more.
The amount of waste electrical and electronic equipment (WEEE) in the world has grown rapidly during recent decades, and with the depletion of primary ores, there is urgent need for industries to study new sources for metals. Waste printed circuit boards (WPCB) are a part of WEEE, which have a higher concentration of copper and precious metals when compared to primary ore sources. PCB materials can be processed using pyrometallurgical routes, and some industrial processes, such as copper flash smelting, have utilized this type of waste in limited amounts for years. For the purpose of recycling these materials through smelting processes, this work studied the behavior of WPCB scrap when dropped on top of molten slag. A series of experiments was carried out during this research at a temperature of 1350 °C, in an inert atmosphere with different melting times. The time required for complete melting of the PCB pieces was 2–5 min, after which molten alloy droplets containing Cu, Pb, Sn, Ni, Au, and Ag formed and started descending toward the bottom of the crucible. The ceramic fraction of the PCB material mixed with slag and the polymer fraction was pyrolyzed during the high-temperature experiments. The results give an understanding of PCB melting behavior and their use as a part of the smelting furnace feed mixture. However, more research is needed to fully understand how the different elements affect the process as the amount of PCB in the feed increases. The physical behavior and distribution of PCB materials in fayalite slag during the smelting process are outlined, and the results of this work form a basis for future studies about the chemical reaction behavior and kinetics when PCB materials are introduced into the copper smelting process. Full article
Show Figures

Figure 1

11 pages, 2457 KB  
Article
Effects of Matte Grade on the Distribution of Minor Elements (Pb, Zn, As, Sb, and Bi) in the Bottom Blown Copper Smelting Process
by Qinmeng Wang, Xueyi Guo, Qinghua Tian, Tao Jiang, Mao Chen and Baojun Zhao
Metals 2017, 7(11), 502; https://doi.org/10.3390/met7110502 - 14 Nov 2017
Cited by 27 | Viewed by 7308
Abstract
With increasing impurity contents in concentrates, the control of the minor elements is an important issue for the oxygen bottom blown copper smelting process (Shuikoushan process or SKS process). In this work, the distribution behaviors of the minor elements (such as Pb, Zn, [...] Read more.
With increasing impurity contents in concentrates, the control of the minor elements is an important issue for the oxygen bottom blown copper smelting process (Shuikoushan process or SKS process). In this work, the distribution behaviors of the minor elements (such as Pb, Zn, As, Sb, and Bi) among the matte, slag, and gas phases as a function of matte grades was investigated by adjusting the ratios of oxygen/ore in the SKS process. With a matte grade around 70%, about 82% As and 70% Bi enters the gas phase, and about 70% Sb and 64% Zn reports to the slag phase, while 55% lead enters the matte phase. The tendency of changes in the distribution of the minor elements in the SKS process is different from that in the Isasmelt process and the Flash smelting process. It may be concluded from this study that the distributions of the minor elements could be optimized to reduce adverse effects in the SKS process by regulating the matte grade. Full article
(This article belongs to the Special Issue Heavy Metal Determination and Removal)
Show Figures

Figure 1

12 pages, 4753 KB  
Article
Reaction Mechanism and Distribution Behavior of Arsenic in the Bottom Blown Copper Smelting Process
by Qinmeng Wang, Xueyi Guo, Qinghua Tian, Mao Chen and Baojun Zhao
Metals 2017, 7(8), 302; https://doi.org/10.3390/met7080302 - 5 Aug 2017
Cited by 39 | Viewed by 9876
Abstract
The control of arsenic, a toxic and carcinogenic element, is an important issue for all copper smelters. In this work, the reaction mechanism and distribution behavior of arsenic in the bottom blown copper smelting process (SKS process) were investigated and compared to the [...] Read more.
The control of arsenic, a toxic and carcinogenic element, is an important issue for all copper smelters. In this work, the reaction mechanism and distribution behavior of arsenic in the bottom blown copper smelting process (SKS process) were investigated and compared to the flash smelting process. There are obvious differences of arsenic distribution in the SKS process and flash process, resulting from the differences of oxygen potentials, volatilizations, smelting temperatures, reaction intensities, and mass transfer processes. Under stable production conditions, the distributions of arsenic among matte, slag, and gas phases are 6%, 12%, and 82%, respectively. Less arsenic is reported in the gas phase with the flash process than with the SKS process. The main arsenic species in gas phase are AsS (g), AsO (g), and As2 (g). Arsenic exists in the slag predominantly as As2O3 (l), and in matte as As (l). High matte grade is harmful to the elimination of arsenic to gas. The changing of Fe/SiO2 has slight effects on the distributions of arsenic. In order to enhance the removal of arsenic from the SKS smelting system to the gas phase, low oxygen concentration, low ratios of oxygen/ore, and low matte grade should be chosen. In the SKS smelting process, no dust is recycled, and almost all dust is collected and further treated to eliminate arsenic and recover valuable metals by other process streams. Full article
(This article belongs to the Special Issue Heavy Metal Determination and Removal)
Show Figures

Figure 1

Back to TopTop