Sign in to use this feature.

Years

Between: -

Subjects

remove_circle_outline
remove_circle_outline
remove_circle_outline
remove_circle_outline
remove_circle_outline
remove_circle_outline

Journals

Article Types

Countries / Regions

Search Results (7)

Search Parameters:
Keywords = fixed-bed cultivation

Order results
Result details
Results per page
Select all
Export citation of selected articles as:
18 pages, 4115 KB  
Article
Novel Co-Cultivation Bioprocess with Immobilized Paenibacillus polymyxa and Scenedesmus obliquus for Lipid and Butanediol Production
by Jnanada Shrikant Joshi, Laura Fladung, Olaf Kruse and Anant Patel
Microorganisms 2025, 13(3), 606; https://doi.org/10.3390/microorganisms13030606 - 5 Mar 2025
Cited by 2 | Viewed by 1572
Abstract
Microalgal biotechnology is gaining attention due to its potential to produce pigments, lipids, biofuels, and value-added products. However, challenges persist in terms of the economic viability of microalgal lipid production in photobioreactors due to slow growth rates, expensive media, complex downstream processing, limited [...] Read more.
Microalgal biotechnology is gaining attention due to its potential to produce pigments, lipids, biofuels, and value-added products. However, challenges persist in terms of the economic viability of microalgal lipid production in photobioreactors due to slow growth rates, expensive media, complex downstream processing, limited product yields, and contamination risks. Recent studies suggest that co-cultivating microalgae with bacteria can enhance the profitability of microalgal bioprocesses. Immobilizing bacteria offers advantages such as protection against shear forces, the prevention of overgrowth, and continuous product secretion. Previous work has shown that biopolymeric immobilization of Paenibacillus polymyxa enhances 2,3-butanediol production. In this study, a novel co-fermentation process was developed by exploiting the chemical crosstalk between a freshwater microalga Scenedesmus obliquus, also known as Tetradesmus obliquus, and an immobilized plant-growth-promoting bacterium, Paenibacillus polymyxa. This co-cultivation resulted in increased metabolite production, with a 1.5-fold increase in the bacterial 2,3-butanediol concentration and a 3-fold increase in the microalgal growth rates compared to these values in free-cell co-cultivation. Moreover, the co-culture with the immobilized bacterium exhibited a 5-fold increase in the photosynthetic pigments and a 3-fold increase in the microalgal lipid concentration compared to these values in free-cell co-cultivation. A fixed bed photobioreactor was further constructed, and the co-cultivation bioprocess was implemented to improve the bacterial 2,3-butanediol and microalgal lipid production. In conclusion, this study provides conclusive evidence for the potential of co-cultivation and biopolymeric immobilization techniques to enhance 2,3-butanediol and lipid production. Full article
(This article belongs to the Special Issue The Application Potential of Microalgae in Green Biotechnology)
Show Figures

Figure 1

14 pages, 2075 KB  
Article
Determination of Variable Humidity Profile for Lactic Acid Maximization in Fungal Solid-State Fermentation
by María Carla Groff, Sandra Edith Noriega, María Eugenia Díaz Meglioli, Laura Rodríguez, Benjamín Kuchen and Gustavo Scaglia
Fermentation 2024, 10(8), 406; https://doi.org/10.3390/fermentation10080406 - 7 Aug 2024
Cited by 1 | Viewed by 1543
Abstract
Solid-state fermentation (SSF) is the bioprocess where microorganisms are cultivated in the absence of free water under controlled conditions. Lactic acid can be produced by Rhizopus oryzae SSF of grape stalks. During the microorganism’s growth, the temperature and water content of the solid [...] Read more.
Solid-state fermentation (SSF) is the bioprocess where microorganisms are cultivated in the absence of free water under controlled conditions. Lactic acid can be produced by Rhizopus oryzae SSF of grape stalks. During the microorganism’s growth, the temperature and water content of the solid bed fluctuate, leading to areas of either dry or excessive moisture in the solid substrate. Therefore, it is crucial to control the water supply to the matrix. In this work, we obtain lactic acid through SSF of grape stalks using Rhizopus oryzae NCIM 1299. The SSF was conducted at a fixed temperature of 35 °C, with five constant relative humidity (RH) levels: 50, 57, 65, 72, and 80%RH. Mathematical models, including the Logistic and First-Order Plus Dead-Time models for fungal biomass growth and the Luedeking and Piret with Delay Time model for lactic acid production, were adjusted to kinetic curves. Growth kinetic parameters (Xmax, μmax, Tp, T0, Yp/x, and td) were determined for all conditions. These kinetic parameters were then correlated with relative humidity using a second-degree polynomial relationship. We observed a decrease in Xmax with an increasing %RH, while the value of Yp/x increased at a higher %RH. Finally, the optimal variable relative humidity profile was obtained by applying the dynamic optimization technique, resulting in a 16.63% increase in lactic acid production. Full article
(This article belongs to the Special Issue Solid State Fermentation for Microbial Synthesis)
Show Figures

Figure 1

14 pages, 4016 KB  
Article
Thermally Modified Palygorskite Usage as Adsorbent in Fixed-Bed Reactor for High Concentration NH4+-N Removal and Further Application as N—Fertilizer in Hydroponic Cultivation
by Christina Vasiliki Lazaratou, Stylianos Dimitrios Panagopoulos, Dimitrios V. Vayenas, Dionisios Panagiotaras and Dimitrios Papoulis
Materials 2022, 15(19), 6541; https://doi.org/10.3390/ma15196541 - 21 Sep 2022
Cited by 4 | Viewed by 1988
Abstract
Palygorskite sample (Pal) underwent thermal treatment at 400 °C (T-Pal) to be used as adsorbent for the removal of 200 mg NH4+-N/L from artificial solution. After thermal treatment, the sample was characterized via X-ray diffraction (XRD) and scanning electron microscopy [...] Read more.
Palygorskite sample (Pal) underwent thermal treatment at 400 °C (T-Pal) to be used as adsorbent for the removal of 200 mg NH4+-N/L from artificial solution. After thermal treatment, the sample was characterized via X-ray diffraction (XRD) and scanning electron microscopy (SEM). For NH4+-N removal, T-Pal was added as a bed matrix in fixed-bed reactor experiments and the effect of flow rate was determined. It was indicated that with the flow rate increase from 10 mL/min to 50 mL/min, fewer liters of the solution were purified, rendering a longer residual time of interactions, which is optimal for NH4+-N removal from T-Pal. The maximum removed amount was calculated at 978 mg NH4+-N (qtotal), suggesting T-Pal is a promising ammonium adsorbent. The data of kinetic experiments were applied to Clark, Yoon–Nelson, and Thomas kinetic models, with Clark having the best fit, highlighting a heterogenous adsorption. At the end of kinetic experiments, T-Pal applied in hydroponic cultivations and presented a sufficient release rate, which was found utilizable for saturated T-Pal usage as N fertilizer that satisfactory results were deemed concerning lettuces characteristics and growth. Full article
(This article belongs to the Special Issue Adsorbents and Their Applications)
Show Figures

Figure 1

16 pages, 4773 KB  
Article
Waterborne Polyurethane Acrylates Preparation towards 3D Printing for Sewage Treatment
by Kunrong Li, Yan Li, Jiale Hu, Yuanye Zhang, Zhi Yang, Shuqiang Peng, Lixin Wu and Zixiang Weng
Materials 2022, 15(9), 3319; https://doi.org/10.3390/ma15093319 - 5 May 2022
Cited by 6 | Viewed by 2542
Abstract
Conventional immobilized nitrifying bacteria technologies are limited to fixed beds with regular shapes such as spheres and cubes. To achieve a higher mass transfer capacity, a complex-structured cultivate bed with larger specific surface areas is usually expected. Direct ink writing (DIW) 3D printing [...] Read more.
Conventional immobilized nitrifying bacteria technologies are limited to fixed beds with regular shapes such as spheres and cubes. To achieve a higher mass transfer capacity, a complex-structured cultivate bed with larger specific surface areas is usually expected. Direct ink writing (DIW) 3D printing technology is capable of preparing fixed beds where nitrifying bacteria are embedded in without geometry limitations. Nevertheless, conventional bacterial carrier materials for sewage treatment tend to easily collapse during printing procedures. Here, we developed a novel biocompatible waterborne polyurethane acrylate (WPUA) with favorable mechanical properties synthesized by introducing amino acids. End-capped by hydroxyethyl acrylate and mixed with sodium alginate (SA), a dual stimuli-responsive ink for DIW 3D printers was prepared. A robust and insoluble crosslinking network was formed by UV-curing and ion-exchange curing. This dual-cured network with a higher crosslinking density provides better recyclability and protection for cryogenic preservation. The corresponding results show that the nitrification efficiency for printed bioreactors reached 99.9% in 72 h, which is faster than unprinted samples and unmodified WPUA samples. This work provides an innovative immobilization method for 3D printing bacterial active structures and has high potential for future sewage treatment. Full article
Show Figures

Graphical abstract

13 pages, 929 KB  
Article
Screening for Biofilm-Stimulating Factors in the Freshwater Planctomycete Planctopirus limnophila to Improve Sessile Growth in a Chemically Defined Medium
by Oscar Kruppa and Peter Czermak
Microorganisms 2022, 10(4), 801; https://doi.org/10.3390/microorganisms10040801 - 12 Apr 2022
Cited by 5 | Viewed by 3159
Abstract
Planctomycetes such as Planctopirus limnophila offer a promising source of bioactive molecules, particularly when they switch from planktonic to sessile growth, but little is known about the corresponding biosynthetic gene clusters and how they are activated. We therefore screened for factors that promote [...] Read more.
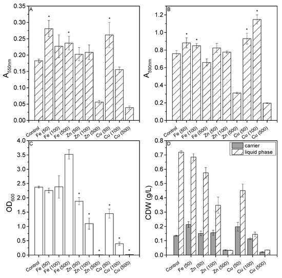
Planctomycetes such as Planctopirus limnophila offer a promising source of bioactive molecules, particularly when they switch from planktonic to sessile growth, but little is known about the corresponding biosynthetic gene clusters and how they are activated. We therefore screened for factors that promote sessile growth and biofilm formation to enable the cultivation of P. limnophila in a fixed-bed reactor. We carried out screening in microtiter plates focusing on biofilm formation and changes in optical density in response to various C:N ratios, metal ions, and oxidative stress. We used MTT assays and crystal violet staining to quantify biofilm formation. Positive factors were then validated in a fixed-bed bioreactor. The initial screen showed that D1ASO medium supplemented with NH4Cl to achieve a C:N ratio of 5.7:1, as well as 50 µM FeSO4 or CuSO4, increased the biofilm formation relative to the control medium. Exposure to H2O2 did not affect cell viability but stimulated biofilm formation. However, the same results were not replicated in the fixed-bed bioreactor, probably reflecting conditions that are unique to this environment such as the controlled pH and more vigorous aeration. Although we were able to cultivate P. limnophila in a fixed-bed bioreactor using a chemically defined medium, the factors that stimulate biofilm formation and inhibit planktonic growth were only identified in microtiter plates and further evaluation is required to establish optimal growth conditions in the bioreactor system. Full article
(This article belongs to the Section Microbial Biotechnology)
Show Figures

Figure 1

19 pages, 7274 KB  
Article
Production of Lignocellulolytic Enzymes and Biomass of Trametes versicolor from Agro-Industrial Residues in a Novel Fixed-Bed Bioreactor with Natural Convection and Forced Aeration at Pilot Scale
by Sandra Montoya, Alejandra Patiño and Óscar J. Sánchez
Processes 2021, 9(2), 397; https://doi.org/10.3390/pr9020397 - 23 Feb 2021
Cited by 34 | Viewed by 5281
Abstract
Solid-state fermentation requires the development of more efficient cultivation systems for its industrial application. The objective of this work was to evaluate the effect of aeration regime on the production of biomass and several lignocellulolytic enzymes (laccase, manganese peroxidase, endoxylanase, β-glucosidase, and total [...] Read more.
Solid-state fermentation requires the development of more efficient cultivation systems for its industrial application. The objective of this work was to evaluate the effect of aeration regime on the production of biomass and several lignocellulolytic enzymes (laccase, manganese peroxidase, endoxylanase, β-glucosidase, and total cellulases) by Trametes versicolor in a novel fixed-bed solid-state pilot-scale bioreactor. Three regimes were assessed: natural convection, low aeration level (10 min every 6 h at 10 L/h air flowrate), and high aeration level (1 h every 6 h at 10 L/h air flowrate). The mushroom was grown on a medium based on lignocellulosic residues. The design of the bioreactor, as well as the control of aeration, humidity, and temperature of the beds, allowed T. versicolor to grow properly on the medium, reaching a maximum biomass production of 204.7 mg/g dry solid (ds). The influence that aeration regime had on the production of lignocellulolytic enzymes was determined. Low level of forced aeration favored obtaining the highest titers of laccase (6.37 U/g ds) compared to natural convection and high aeration level. The greatest lignin degradation was also verified for low aeration regime. For the first time, pilot scale cultivation of T. versicolor was reported in a fixed-bed bioreactor. Full article
(This article belongs to the Special Issue Novel Processes for Development of Fermentation-Based Products)
Show Figures

Graphical abstract

16 pages, 4635 KB  
Article
Effect of Biochar Application Depth on Crop Productivity Under Tropical Rainfed Conditions
by Juana P. Moiwo, Alusine Wahab, Emmanuel Kangoma, Mohamed M. Blango, Mohamed P. Ngegba and Roland Suluku
Appl. Sci. 2019, 9(13), 2602; https://doi.org/10.3390/app9132602 - 27 Jun 2019
Cited by 12 | Viewed by 4077
Abstract
Although inherently fertile, tropical soils rapidly degrade soon after cultivation. The period of time for which crops, mulch, compost, and manure provide nutrients and maintain mineral fertilizers in the soil is relatively short. Biochar, on the other hand, has the potential to maintain [...] Read more.
Although inherently fertile, tropical soils rapidly degrade soon after cultivation. The period of time for which crops, mulch, compost, and manure provide nutrients and maintain mineral fertilizers in the soil is relatively short. Biochar, on the other hand, has the potential to maintain soil fertility and sequester carbon for hundreds or even thousands of years. This study determined the effect of biochar application depth on the productivity of NERICA-4 upland rice cultivar under tropical rainfed conditions. A fixed biochar–soil ratio of 1:20 (5% biochar) was applied in three depths—10 cm (TA), 20 cm (TB), and 30 cm (TC) with a non-biochar treatment (CK) as the control. The study showed that while crop productivity increased, root penetration depth decreased with increasing biochar application depth. Soil moisture was highest under TA (probably due to water logging in sunken-bed plots that formed after treatment) and lowest under TC (due to runoff over the raised-bed plots that formed too). Grain yield for the biochar treatments was 391.01–570.45 kg/ha (average of 480.21 kg/ha), with the potential to reach 576.47–780.57 kg/ha (average of 695.73 kg/ha) if contingent field conditions including pest damage and runoff can be prevented. By quantifying the effect of externalities on the field experiment, the study showed that biochar can enhance crop productivity. This was good for sustainable food production and for taking hungry Africa off the donor-driven food ration the nation barely survives on. Full article
(This article belongs to the Special Issue New Carbon Materials from Biomass and Their Applications)
Show Figures

Figure 1

Back to TopTop