Determination of Variable Humidity Profile for Lactic Acid Maximization in Fungal Solid-State Fermentation
Abstract
1. Introduction
2. Materials and Methods
2.1. SSF Experimental Data
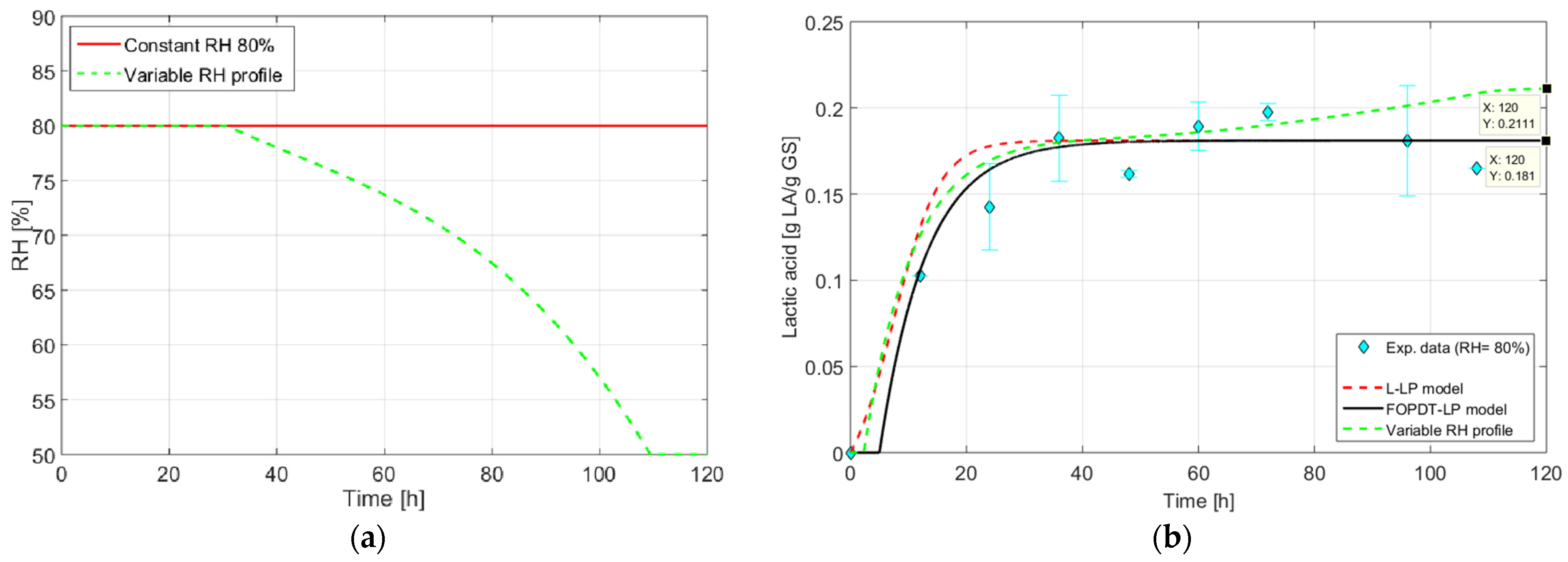
- (a)
- To avoid the effect of the moisture gradient that may occur in the substrate of SSF, agar was chosen as it is a strong gelling agent with a high water retention capacity (up to 20 times its own weight) [25]. Additionally, a sufficient layer of culture medium (Agar + GS) was placed to ensure that it does not influence mass transfer effects;
- (b)
- The nylon filter (0.2 µm porosity) placed between the culture medium and the fungus allows it to grow under the existing ambient conditions above the nylon filter. However, at the same time, the fungus is in indirect contact with the culture medium, which contains retained water for the proper metabolic development of the fungus.
2.2. Mathematical Modeling and Parametric Identification
2.3. Humidity Polynomial Relationship with the Kinetic Parameters
2.4. Optimal Control Problem Statement and LA Maximization Using Dynamic Optimization
3. Results and Discussion
3.1. SSF Experimental Data, Mathematical Modeling, and Parametric Identification
3.2. Relative Humidity Polynomial Relationship with the Kinetic Parameters
3.3. Lactic Acid Maximization Using Dynamic Optimization
4. Conclusions
Author Contributions
Funding
Institutional Review Board Statement
Informed Consent Statement
Data Availability Statement
Acknowledgments
Conflicts of Interest
References
- Alves De Oliveira, R.; Komesu, A.; Vaz Rossell, C.E.; Filho, R.M. Challenges and Opportunities in Lactic Acid Bioprocess Design—From Economic to Production Aspects. Biochem. Eng. J. 2018, 133, 219–239. [Google Scholar] [CrossRef]
- Obi, F.; Ugwuishiwu, B.; Nwakaire, J. Agricultural Waste Concept, Generation, Utilization and Management. Niger. J. Technol. 2016, 35, 957. [Google Scholar] [CrossRef]
- Atatoprak, T.; Amorim, M.M.; Ribeiro, T.; Pintado, M.; Madureira, A.R. Grape Stalk Valorization for Fermentation Purposes. Food Chem. Mol. Sci. 2022, 4, 100067. [Google Scholar] [CrossRef] [PubMed]
- Serra, M.; Casas, A.; Teixeira, J.A.; Barros, A.N. Revealing the Beauty Potential of Grape Stems: Harnessing Phenolic Compounds for Cosmetics. Int. J. Mol. Sci. 2023, 24, 11751. [Google Scholar] [CrossRef] [PubMed]
- D’ambrosio, S.; Zaccariello, L.; Sadiq, S.; D’Albore, M.; Battipaglia, G.; D’Agostino, M.; Battaglia, D.; Schiraldi, C.; Cimini, D. Grape Stalk Valorization: An Efficient Re-Use of Lignocellulosic Biomass through Hydrolysis and Fermentation to Produce Lactic Acid from Lactobacillus RHamnosus IMC501. Fermentation 2023, 9, 616. [Google Scholar] [CrossRef]
- Groff, M.C.; Scaglia, G.; Gaido, M.; Kassuha, D.; Ortiz, O.A.; Noriega, S.E. Kinetic Modeling of Fungal Biomass Growth and Lactic Acid Production in RHizopus oryzae Fermentation by Using Grape Stalk as a Solid Substrate. Biocatal. Agric. Biotechnol. 2022, 39, 102255. [Google Scholar] [CrossRef]
- Manandhar, A.; Shah, A. Techno-Economic Analysis of Bio-Based Lactic Acid Production Utilizing Corn Grain as Feedstock. Processes 2020, 8, 199. [Google Scholar] [CrossRef]
- Rahim, N.A.; Luthfi, A.A.I.; Abdul, P.M.; Jahim, J.M.; Bukhari, N.A. Towards Sustainable Production of Bio-Based Lactic Acid via a Bio-Based Technical Route: Recent Developments and the Use of Palm Kernel Cakes in the Bioconversion. BioResources 2022, 17, 3781–3809. [Google Scholar] [CrossRef]
- Statista Market Volume of Lactic Acid Worldwide from 2015 to 2022, with a Forecast for 2023 to 2030. Available online: https://www.statista.com/statistics/1310495/lactic-acid-market-volume-worldwide/ (accessed on 22 July 2024).
- MordorIntelligence Análisis de Participación y Tamaño Del Mercado de Productos Biológicos Tendencias de Crecimiento y Pronósticos (2024–2029). Available online: https://www.mordorintelligence.com/es/industry-reports/biologics-market (accessed on 15 June 2024).
- Arthur, D. Little Why Bio-Based Materials Market Finally Poised Growth? Available online: https://www.adlittle.com/en/insights/prism/why-bio-based-materials-market-finally-poised-growth (accessed on 2 June 2024).
- Baeza, J.A. Principles of Bioprocess Control. In Current Developments in Biotechnology and Bioengineering: Bioprocesses, Bioreactors and Controls; Elsevier B.V.: New York, NY, USA, 2017; pp. 527–561. ISBN 9780444636744. [Google Scholar]
- Webb, C.; Manan, M.A. Design Aspects of Solid State Fermentation as Applied to Microbial Bioprocessing. J. Appl. Biotechnol. Bioeng. 2017, 4, 511–532. [Google Scholar] [CrossRef]
- Mitchell, D.A.; Berovič, M.; Krieger, N. Solid-State Fermentation Bioreactors; Springer: Berlin/Heidelberg, Germany, 2006; ISBN 9783540312857. [Google Scholar]
- He, Q.; Peng, H.; Sheng, M.; Hu, S.; Qiu, J.; Gu, J. Humidity Control Strategies for Solid-State Fermentation: Capillary Water Supply by Water-Retention Materials and Negative-Pressure Auto-Controlled Irrigation. Front. Bioeng. Biotechnol. 2019, 7, 1–13. [Google Scholar] [CrossRef]
- Sentís-Moré, P.; Romero-Fabregat, M.P.; Rodríguez-Marca, C.; Guerra-Sánchez, A.J.; Ortega-Olivé, N. Design Optimization of a Tray Bioreactor for Solid-State Fermentation: Study of Process Parameters through Protein Modification of By-Products. Fermentation 2023, 9, 921. [Google Scholar] [CrossRef]
- Wang, H.; Sun, C.; Yang, S.; Ruan, Y.; Lyu, L.; Guo, X.; Wu, X.; Chen, Y. Exploring the Impact of Initial Moisture Content on Microbial Community and Flavor Generation in Xiaoqu Baijiu Fermentation. Food Chem. X 2023, 20, 100981. [Google Scholar] [CrossRef] [PubMed]
- Saithi, S.; Borg, J.; Nopharatana, M.; Tongta, A. Mathematical Modeling of Biomass and Enzyme Production Kinetics by Aspergillus niger in Solid-State Fermentation at Various Temperatures and Moisture Contents. J. Microb. Biochem. Technol. 2016, 8, 123–130. [Google Scholar] [CrossRef]
- Carboué, Q.; Rébufa, C.; Hamrouni, R.; Roussos, S.; Bombarda, I. Statistical Approach to Evaluate Effect of Temperature and Moisture Content on the Production of Antioxidant Naphtho-Gamma-Pyrones and Hydroxycinnamic Acids by Aspergillus tubingensis in Solid-State Fermentation. Bioprocess Biosyst. Eng. 2020, 43, 2283–2294. [Google Scholar] [CrossRef] [PubMed]
- Zain, N.A.M.; Aziman, S.N.; Suhaimi, M.S.; Idris, A. Optimization of L(+) Lactic Acid Production from Solid Pineapple Waste (SPW) by RHizopus oryzae NRRL 395. J. Polym. Environ. 2021, 29, 230–249. [Google Scholar] [CrossRef]
- Pirota, R.D.P.B.; Tonelotto, M.; Delabona, P.S.; Fonseca, R.F.; Paixão, D.A.A.; Baleeiro, F.C.F.; Bertucci Neto, V.; Farinas, C.S. Bioprocess Developments for Cellulase Production by Aspergillus oryzae Cultivated under Solid-State Fermentation. Braz. J. Chem. Eng. 2016, 33, 21–31. [Google Scholar] [CrossRef]
- Feng, J.; Feng, N.; Zhang, J.S.; Yang, Y.; Jia, W.; Lin, C.C. A New Temperature Control Shifting Strategy for Enhanced Triterpene Production by Ganoderma lucidum G0119 Based on Submerged Liquid Fermentation. Appl. Biochem. Biotechnol. 2016, 180, 740–752. [Google Scholar] [CrossRef] [PubMed]
- Cheng, K.K.; Zeng, J.; Jian, J.H.; Zhu, J.F.; Zhang, G.X.; Liu, D.H. Model-Based Temperature Control for Improving Lactic Acid Production from Glycerol. RSC Adv. 2019, 9, 11614–11620. [Google Scholar] [CrossRef] [PubMed]
- Borshchevskaya, L.N.; Gordeeva, T.L.; Kalinina, A.N.; Sineokii, S.P. Spectrophotometric Determination of Lactic Acid. J. Anal. Chem. 2016, 71, 755–758. [Google Scholar] [CrossRef]
- Bermúdez, A. AGAR-AGAR, La Versatilidad de Un Ingrediente En Expansión. Available online: https://granotec.com.ar/agar-agar-la-versatilidad-de-un-ingrediente-en-expansion/ (accessed on 8 June 2024).
- Groff, M.C.; Scaglia, G.; Ortiz, O.A.; Noriega, S.E. Modification of the Luedeking and Piret Model with a Delay Time Parameter for Biotechnological Lactic Acid Production. Biotechnol. Lett. 2022, 44, 415–427. [Google Scholar] [CrossRef]
- Groff, M.C.; Noriega, S.E.; Gil, R.M.; Pantano, N.; Scaglia, G. Dynamic Optimization of Lactic Acid Production from Grape Stalk Solid-State Fermentation with RHizopus oryzae Applying a Variable Temperature Profile. Fermentation 2024, 10, 101. [Google Scholar] [CrossRef]
- Sardella, M.F.; Serrano, M.E.; Camacho, O.; Scaglia, G.J.E. Design and Application of a Linear Algebra Based Controller from a Reduced-Order Model for Regulation and Tracking of Chemical Processes under Uncertainties. Ind. Eng. Chem. Res. 2019, 58, 15222–15231. [Google Scholar] [CrossRef]
- Scaglia, G.; Serrano, M.E.; Albertos, P. Linear Algebra Based Controllers; Springer: New York, NY, USA, 2020. [Google Scholar] [CrossRef]
- Groff, C.; Kuchen, B.; Gil, R.; Fernández, C. Scaglia Application of the Luedeking and Piret with Delay Time Model in Bioproductions with Non-Zero Kinetic Parameters. IEEE Lat. Am. Trans. 2023, 21, 882–888. [Google Scholar] [CrossRef]
- Fernández, C.; Pantano, N.; Godoy, S.; Serrano, E.; Scaglia, G. Optimización de Parámetros Utilizando Los Métodos de Monte Carlo y Algoritmos Evolutivos. Aplicación a un Controlador de Seguimiento de Trayectoria en Sistemas no Lineales. Rev. Iberoam. Automática Informática Ind. 2018, 16, 89–99. [Google Scholar] [CrossRef]
- Kroese, D.P.; Rubinstein, R.Y. Monte Carlo Methods. Wiley Interdiscip. Rev. Comput. Stat. 2012, 4, 48–58. [Google Scholar] [CrossRef]
- Walbridge, C.T. Genetic Algorithms: What Computers Can Learn from Darwin. Technol. Rev. 1989, 92, 5404766. [Google Scholar]
- Pantano, M.N.; Fernández, M.C.; Amicarelli, A.; Scaglia, G.J.E. Evolutionary Algorithms and Orthogonal Basis for Dynamic Optimization in L2 Space for Batch Biodiesel Production. Chem. Eng. Res. Des. 2022, 177, 354–364. [Google Scholar] [CrossRef]
- Pantano, M.N.; Fernandez Puchol, M.C.; Rossomando, F.G.; Scaglia, G.J.E. Open-Loop Dynamic Optimization for Nonlinear Multi-Input Systems. Application to Recombinant Protein Production. IEEE Lat. Am. Trans. 2021, 19, 1307–1314. [Google Scholar] [CrossRef]
- Attaway, S. Matlab: A Practical Introduction to Programming and Problem Solving; Elsevier: Amsterdam, The Netherlands, 2009; ISBN 9780750687621. [Google Scholar]
- Kuchen, B.; Garay, S.A.; Gil, R.M.; Vazquez, F.; Scaglia, G.J.E. Optimization of Batch Reactors: Application to the Biocontrol of Spoilage Yeasts in Wines. IEEE Lat. Am. Trans. 2022, 21, 217–225. [Google Scholar] [CrossRef]
- Pantano, M.N.; Fernández, M.C.; Ortiz, O.A.; Scaglia, G.J.E.; Vega, J.R. A Fourier-Based Control Vector Parameterization for the Optimization of Nonlinear Dynamic Processes with a Finite Terminal Time. Comput. Chem. Eng. 2020, 134, 106721. [Google Scholar] [CrossRef]
- Scaglia, G.; Serrano, E.; Rosales, A.; Albertos, P. Tracking Control Design in Nonlinear Multivariable Systems: Robotic Applications. Math. Probl. Eng. 2019, 2019, 15. [Google Scholar] [CrossRef]
- Agarwal, R.P. Difference Equations and Inequalities: Theory, Methods, and Applications; CRC Press: Boca Raton, FL, USA, 2000. [Google Scholar]
- John, B. Conway A Course in Functional Analysis, 2nd ed.; Springer: New York, NY, USA, 2007; Volume 5, ISBN 9788578110796. [Google Scholar]
- Oliver, P.J.; Shakiban, C. Applied Linear Algebra; Springer International Publishing AG: New York, NY, USA, 2018; ISBN 9783319910406. [Google Scholar]
- Manpreet, S.; Sawraj, S.; Sachin, D.; Pankaj, S.; Banerjee, U.C. Influence of Process Parameters on the Production of Metabolites in Solid-State Fermentation. Malalaysian J. Microbiol. 2005, 1, 1–9. [Google Scholar] [CrossRef]
- Chen, H. Modern Solid State Fermentation Theory and Practice; Springer: Amsterdam, The Netherlands, 2013; ISBN 9789400760424. [Google Scholar]
- Hamidi-Esfahani, Z.; Shojaosadati, S.A.; Rinzema, A. Modelling of Simultaneous Effect of Moisture and Temperature on A. niger Growth in Solid-State Fermentation. Biochem. Eng. J. 2004, 21, 265–272. [Google Scholar] [CrossRef]





| Experimental Conditions | R. oryzae Growth | |||||||
|---|---|---|---|---|---|---|---|---|
| Logistic Model | FOPDT Model | |||||||
| T | RH | X0 | Xmax | µmax | R2 | tp | t0 | R2 |
| 35 | 50 | 0.008 ± 0.002 | 0.080 ± 0.002 | 0.270 ± 0.008 | 82.77 | 4.50 ± 0.12 | 7.00 ± 0.23 | 83.55 |
| 57 | 0.0694 ± 0.001 | 0.329 ± 0.005 | 92.16 | 2.96 ± 0.10 | 4.70 ± 0.09 | 91.37 | ||
| 65 | 0.065 ± 0.002 | 0.370 ± 0.011 | 91.68 | 3.50 ± 0.11 | 3.00 ± 0.08 | 91.67 | ||
| 72 | 0.0628 ± 0.003 | 0.3498 ± 0.09 | 90.26 | 5.13 ± 0.09 | 2.19 ± 0.06 | 90.83 | ||
| 80 | 0.059 ± 0.002 | 0.250 ± 0.008 | 98.13 | 8.00 ± 0.25 | 2.00 ± 0.05 | 98.31 | ||
| Experimental Conditions | Lactic Acid Production | ||||||
|---|---|---|---|---|---|---|---|
| Luedeking and Piret with Delay-Time Model | |||||||
| Logistic Model | FOPDT Model | Both Models | |||||
| T | RH | X0 | Yp/x | R2 | Yp/x | R2 | td |
| 35 | 50 | 0.008 ± 0.002 | 0.95 ± 0.027 | 82.45 | 0.95 ± 0.027 | 81.09 | 0 |
| 57 | 0.85 ± 0.022 | 87.84 | 0.85 ± 0.022 | 88.01 | 0 | ||
| 65 | 1.40 ± 0.040 | 83.76 | 1.40 ± 0.040 | 96.89 | 0 | ||
| 72 | 2.46 ± 0.210 | 94.71 | 2.46 ± 0.210 | 94.91 | 0 | ||
| 80 | 3.55 ± 0.370 | 84.33 | 3.55 ± 0.370 | 94.52 | 5 ± 0.16 | ||
Disclaimer/Publisher’s Note: The statements, opinions and data contained in all publications are solely those of the individual author(s) and contributor(s) and not of MDPI and/or the editor(s). MDPI and/or the editor(s) disclaim responsibility for any injury to people or property resulting from any ideas, methods, instructions or products referred to in the content. |
© 2024 by the authors. Licensee MDPI, Basel, Switzerland. This article is an open access article distributed under the terms and conditions of the Creative Commons Attribution (CC BY) license (https://creativecommons.org/licenses/by/4.0/).
Share and Cite
Groff, M.C.; Noriega, S.E.; Díaz Meglioli, M.E.; Rodríguez, L.; Kuchen, B.; Scaglia, G. Determination of Variable Humidity Profile for Lactic Acid Maximization in Fungal Solid-State Fermentation. Fermentation 2024, 10, 406. https://doi.org/10.3390/fermentation10080406
Groff MC, Noriega SE, Díaz Meglioli ME, Rodríguez L, Kuchen B, Scaglia G. Determination of Variable Humidity Profile for Lactic Acid Maximization in Fungal Solid-State Fermentation. Fermentation. 2024; 10(8):406. https://doi.org/10.3390/fermentation10080406
Chicago/Turabian StyleGroff, María Carla, Sandra Edith Noriega, María Eugenia Díaz Meglioli, Laura Rodríguez, Benjamín Kuchen, and Gustavo Scaglia. 2024. "Determination of Variable Humidity Profile for Lactic Acid Maximization in Fungal Solid-State Fermentation" Fermentation 10, no. 8: 406. https://doi.org/10.3390/fermentation10080406
APA StyleGroff, M. C., Noriega, S. E., Díaz Meglioli, M. E., Rodríguez, L., Kuchen, B., & Scaglia, G. (2024). Determination of Variable Humidity Profile for Lactic Acid Maximization in Fungal Solid-State Fermentation. Fermentation, 10(8), 406. https://doi.org/10.3390/fermentation10080406

