Effect of Si, Mn, V and B on the Electrical Resistivity of 8030 Aluminum Rods
Abstract
1. Introduction
2. Materials and Methods
2.1. Melting Process
2.2. Insulation and Rolling Process
2.3. Testing and Characterization Instruments
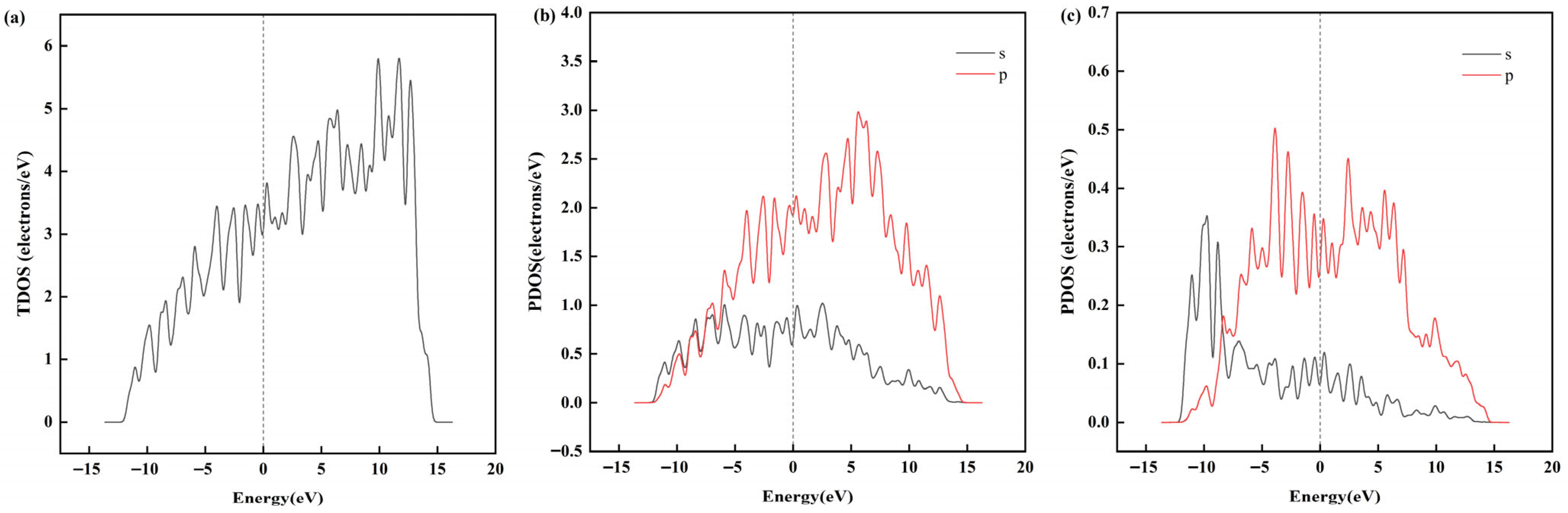
2.4. First-Principles Calculations
2.5. Description of Symbols
- (1)
- The numbers in alloys such as Al-3B, Al-10Mn, Al-5V, and Al-10Si represent the mass fraction of the respective elements in the alloy. For example, Al-3B indicates that the boron (B) content in the alloy is 3 wt.%.
- (2)
- When incorporating Al-3B, the measurement is based on the mass of the original melt. For instance, 3 kg/t means that 3 kg of Al-3B alloy is added per ton of the original melt. In this calculation, the mass of the original melt does not include Al-3B.
3. Results and Discussion
3.1. Effect of Si on the Electrical Resistivity of 8030 Aluminum Rods
3.2. Effect of Mn on the Electrical Resistivity of 8030 Aluminum Rods
3.3. Effect of V on the Electrical Resistivity of 8030 Aluminum Rods
3.4. Removal of Impurity Element V from 8030 Aluminum Rods Using Al-3B
4. Conclusions
- (1)
- For the production of 8030 aluminum rods used in the electrical cable industry, the impurity element Si in the alloy has a certain impact on the electrical resistivity of the aluminum rods, leading to an increase in electrical resistivity. However, within an appropriate range, the content of Si does not need to be strictly controlled.
- (2)
- For the production of 8030 aluminum rods used in the electrical cable industry, the impurity element Mn significantly affects the electrical resistivity of the aluminum rods, causing a rapid increase. The content of Mn in the aluminum rod must be strictly controlled.
- (3)
- For the production of 8030 aluminum rods used in the electrical cable industry, the impurity element V significantly influences the electrical resistivity of the aluminum rods, leading to a rapid increase. Therefore, the content of V in the aluminum rod must be strictly controlled.
- (4)
- The addition of B has a highly significant effect in removing the impurity element V from the 8030 aluminum rod, thereby significantly reducing the influence of V on the electrical resistivity. The formed VB2 tends to concentrate at the bottom of the melt. However, the content of Al-3B must also be controlled within a reasonable range.
Author Contributions
Funding
Data Availability Statement
Acknowledgments
Conflicts of Interest
Abbreviations
| Si | Silicon |
| Mn | Manganese |
| V | Vanadium |
| B | Boron |
| Al | Aluminum |
| ΔrG⊖m | Standard molar Gibbs free energy change |
| K⊖ | Standard equilibrium constant |
| TDOS | Total density of states |
| PDOS | Partial density of states |
References
- Climate Change—NASA Science. Available online: https://science.nasa.gov/climate-change/ (accessed on 5 January 2026).
- Dai, Y.R.; Shu, Y.M.; Zeng, Y.P. Use of learning curve to explore the competition between renewables and conventional fossil fuel power technologies in China. Energy Strategy Rev. 2024, 52, 101352. [Google Scholar] [CrossRef]
- Sahu, S.K.; Ohara, T.; Beig, G. The role of coal technology in redefining India’s climate change agents and other pollutants. Environ. Res. Lett. 2017, 12, 105006. [Google Scholar] [CrossRef]
- Sanchez Matos, J.; Elorrieta Mendoza, Á.; Kahhat, R.; Vázquez-Rowe, L. Greenhouse gas emissions related to Peruvian dietary patterns based on the national household survey in the period 2008–2022. RCR Advances 2026, 29, 200305. [Google Scholar] [CrossRef]
- Sazali, N.; Wan Salleh, W.N.; Jamaludin, A.S.; Razali, M.N.M. New Perspectives on Fuel Cell Technology: A Brief Review. Membranes 2020, 10, 99. [Google Scholar] [CrossRef]
- Kumar, N.; Singh, A.S.; Kumari, S.; Reddy, M.P. Biotechnological approaches for the genetic improvement of Jatropha curcas L.: A biodiesel plant. Ind. Crops Prod. 2015, 76, 817–828. [Google Scholar] [CrossRef]
- Ma, Q.X.; Zhang, P.; Chen, T.Z.; Li, H.; Wang, Y.; Liu, J.; Liu, P.; Mu, Y.; Liu, J.; Liu, Z.; et al. Research progress in atmospheric haze chemistry: Formation mechanism of air pollution complex and control technologies. J. Environ. Sci. 2026, 161, 75–105. [Google Scholar] [CrossRef]
- Guan, Y.; Ye, Q.; Li, B.; Xiao, Y.; Zhang, N.; Qin, C.; Shi, R. Environmental hazard and human health risk attributed to surface water pollution in China: City-level assessment and socioeconomic driver identification. J. Hazard. Mater. 2026, 501, 140827. [Google Scholar] [CrossRef]
- EBioMedicine. Wildfires, smog, and the persistent threat of air pollution to human health. EBioMedicine 2025, 112, 105602. [Google Scholar] [CrossRef]
- National Bureau of Statistics of China. Statistical Communique of the People’s Republic of China on the 2024 National Economic and Social Development; National Bureau of Statistics of China: Beijing, China, 2025. [Google Scholar]
- China Electricity Council. China Power Industry Annual Development Report 2025; China Electricity Council: Beijing, China, 2025. [Google Scholar]
- Krylov, D.A.; Putintseva, V.E. Estimates of SO2, NOx, and Solid Particles Emissions into the Atmosphere as a Result of Burning of Natural Gas and Coal by Heating and Electric Power Plants. At. Energy 2002, 92, 529–531. [Google Scholar] [CrossRef]
- Okolo, G.N.; Everson, R.C.; Neomagus, H.W.J.P.; Sakurovs, R.; Grigore, M.; Bunt, J.R. Dataset on the carbon dioxide, methane and nitrogen high-pressure sorption properties of South African bituminous coals. Data Brief 2019, 25, 104248. [Google Scholar] [CrossRef]
- Tang, H.Q.; Li, H.Y.; Jin, D.; Hu, X.H.; Xu, J.; Li, H.B. Influence of rare earth element erbium on microstructures and properties of as-cast 8030 aluminum alloy. J. Cent. South Univ. 2024, 31, 4027–4038. [Google Scholar] [CrossRef]
- Kang, F.; Zhang, B.; Wang, E.; Liu, S.; Jiang, J.; Kong, D.; Sun, M. Effects of Er and Annealing Treatment on Microstructure and Properties of 8030 Aluminum Alloy. J. Mater. Eng. Perform. 2025, 34, 1–13. [Google Scholar] [CrossRef]
- Chen, P.; Fan, X.Z.; Yang, Q.B.; Zhang, Z.Q.; Jia, Z.H.; Liu, Q. Creep behavior and microstructural evolution of 8030 aluminum alloys compressed at intermediate temperature. J. Mater. Res. Technol. 2021, 12, 1755–1761. [Google Scholar] [CrossRef]
- Guo, Y.M.; Yi, D.Q.; Liu, H.Q.; Wang, B.; Jiang, B.; Wang, H.S. Mechanical properties and conductivity of graphene/Al-8030 composites with directional distribution of graphene. J. Mater. Sci. 2020, 55, 3314–3328. [Google Scholar] [CrossRef]
- Jiang, X.Y.; Zhang, Y.; Yi, D.Q.; Wang, H.S.; Deng, X.B.; Wang, B. Low-temperature creep behavior and microstructural evolution of 8030 aluminum cables. Mater. Charact. 2017, 130, 181–187. [Google Scholar] [CrossRef]
- Huo, S.C.; Wen, S.P.; Hou, X.K.; Liang, S.S.; Wei, W.; Wu, X.L.; Huang, H.; Gao, K.Y.; Xiong, X.Y.; Nie, Z.R. Improving the strength and electrical conductivity of Al-Cu-Sn alloy by multistage rolling–aging treatment. J. Mater. Sci. 2026, 61, 2572–2589. [Google Scholar] [CrossRef]
- GB/T 3954-2022; Aluminium and Aluminium Alloys Rod for Electrical Purpose. State Administration for Market Regulation. Standardization Administration of the People’s Republic of China: Beijing, China, 2022. Available online: https://openstd.samr.gov.cn/bzgk/std/newGbInfo?hcno=1F70694F8036BFFB3245AEB39F981F3B (accessed on 5 January 2026).
- GB/T 3190-2020; Chemical Composition of Wrought Aluminium and Aluminium Alloys. State Administration for Market Regulation. Standardization Administration of the People’s Republic of China: Beijing, China, 2020. Available online: https://openstd.samr.gov.cn/bzgk/std/ (accessed on 3 January 2026).
- GB/T 351-2019; Metallic Materials—Resistivity Measurement Method. State Administration for Market Regulation. Standardization Administration of the People’s Republic of China: Beijing, China, 2019. Available online: https://openstd.samr.gov.cn/bzgk/std/newGbInfo?hcno=1FBCE1512BFFCCAE739E2FA621FD3BB8 (accessed on 9 January 2026).
- Zhang, L.; Wang, T.; Liu, F. Stability Criteria of Aluminum Lattice from First-Principles. J. Mater. Res. Technol. 2024, 34, 1144–1157. [Google Scholar] [CrossRef]
- CRC Handbook of Chemistry and Physics, 105th ed.; Rumble, J.R., Ed.; CRC Press: Boca Raton, FL, USA, 2024. [Google Scholar]
- Aydin, A.; Keski-Rahkonen, J.; Heller, E.J. Quantum Acoustics Unravels Planckian Resistivity. Proc. Natl. Acad. Sci. USA 2024, 121, e2404853121. [Google Scholar] [CrossRef]
- Bishara, H.; Lee, S.; Brink, T.; Ghidelli, M.; Dehm, G. Understanding Grain Boundary Electrical Resistivity in Cu: The Effect of Boundary Structure. ACS Nano 2021, 15, 16607–16615. [Google Scholar] [CrossRef]
- Czerwinski, F. Aluminum alloys for electrical engineering: A review. J. Mater. Sci. 2024, 59, 14847–14892. [Google Scholar] [CrossRef]
- Bishara, H.; Langenohl, L.; Zhou, X.Y.; Gault, B.; Best, J.; Dehm, G. Decoupling the electrical resistivity contribution of grain boundaries in dilute Fe-alloyed Cu thin films. Soc. Media 2023, 230, 115393. [Google Scholar] [CrossRef]
- Cinkilic, E.; Ridgeway, C.D.; Yan, X.A. Formation Map of Iron-Containing Intermetallic Phases in Recycled Cast Aluminum Alloys. Metall. Mater. Trans. A 2019, 50, 5945–5956. [Google Scholar] [CrossRef]
- Yang, W.C.; Gao, F.; Ji, S.X. Formation and sedimentation of Fe-rich intermetallics in Al–Si–Cu–Fe alloy. Trans. Nonferrous Met. Soc. China 2015, 25, 1704–1714. [Google Scholar] [CrossRef]
- Samolyuk, G.D.; Mu, S.; May, A.F.; Sales, B.C.; Wimmer, S.; Mankovsky, S.; Ebert, H.; Stocks, G.M. Temperature dependent electronic transport in concentrated solid solutions of the 3d-transition metals Ni, Fe, Co and Cr from first principles. Phys. Rev. B 2018, 98, 165141. [Google Scholar] [CrossRef]
- Mu, S.; Samolyuk, G.D.; Wimmer, S.; Troparevsky, M.C.; Khan, S.N.; Mankovsky, S.; Ebert, H.; Stocks, G.M. Uncovering electron scattering mechanisms in NiFeCoCrMn derived concentrated solid solution and high entropy alloys. npj Comput. Mater. 2019, 5, 213–218. [Google Scholar] [CrossRef]
- Pinto da Silva, A.A.A.; Chaia, N.; Ferreira, F.; Coelho, G.C.; Fiorani, J.-M.; David, N.; Vilasi, M.; Nunes, C.A. Thermodynamic Modeling of the V-Si-B System. Calphad 2017, 59, 199–206. [Google Scholar] [CrossRef]
- Kudielka, H.; Nowotny, H.; Findeisen, G. Investigation of Systems V-B, Nb-B, V-B-Si, and Ta-B-Si. Monatshefte Für Chem. 1957, 88, 1048–1055. [Google Scholar] [CrossRef]
- Shein, I.R.; Ivanovskii, A.L. Band Structure of ZrB2, VB2, NbB2, and TaB2 Hexagonal Diborides: Comparison with Superconducting MgB2. Phys. Solid State 2002, 44, 1833–1839. [Google Scholar] [CrossRef]
- Wang, P.; Kumar, R.; Sankaran, E.M.; Qi, X.; Zhang, X.; Popov, D.; Cornelius, A.L.; Li, B.; Zhao, Y.; Wang, L. Vanadium Diboride (VB2) Synthesized at High Pressure: Elastic, Mechanical, Electronic, and Magnetic Properties and Thermal Stability. Inorg. Chem. 2018, 57, 1096–1105. [Google Scholar] [CrossRef]
- Khaliq, A.; Ali, H.T.; Yusuf, M. Thermodynamic and Kinetic Analysis of CrB2 and VB2 Formation in Molten Al–Cr–V–B Alloy. Trans. Nonferrous Met. Soc. China 2021, 31, 3162–3176. [Google Scholar] [CrossRef]
- Khaliq, A.; Rhamdhani, M.A.; Brooks, G.A.; Grandfield, J.F. Removal of Vanadium from Molten Aluminum—Part II. Kinetic Analysis and Mechanism of VB2 Formation. Metall. Mater. Trans. B 2014, 45, 769–783. [Google Scholar] [CrossRef]



















| Element | Si | Fe | Cu | Mg | Zn | B | Single Other | Al |
|---|---|---|---|---|---|---|---|---|
| Content wt.% | <0.10 | 0.30~0.8 | 0.15~0.3 | <0.05 | <0.05 | 0.001~0.04 | <0.03 | Balance |
Disclaimer/Publisher’s Note: The statements, opinions and data contained in all publications are solely those of the individual author(s) and contributor(s) and not of MDPI and/or the editor(s). MDPI and/or the editor(s) disclaim responsibility for any injury to people or property resulting from any ideas, methods, instructions or products referred to in the content. |
© 2026 by the authors. Licensee MDPI, Basel, Switzerland. This article is an open access article distributed under the terms and conditions of the Creative Commons Attribution (CC BY) license.
Share and Cite
Yang, Q.; Jin, H. Effect of Si, Mn, V and B on the Electrical Resistivity of 8030 Aluminum Rods. Metals 2026, 16, 216. https://doi.org/10.3390/met16020216
Yang Q, Jin H. Effect of Si, Mn, V and B on the Electrical Resistivity of 8030 Aluminum Rods. Metals. 2026; 16(2):216. https://doi.org/10.3390/met16020216
Chicago/Turabian StyleYang, Qingping, and Huixin Jin. 2026. "Effect of Si, Mn, V and B on the Electrical Resistivity of 8030 Aluminum Rods" Metals 16, no. 2: 216. https://doi.org/10.3390/met16020216
APA StyleYang, Q., & Jin, H. (2026). Effect of Si, Mn, V and B on the Electrical Resistivity of 8030 Aluminum Rods. Metals, 16(2), 216. https://doi.org/10.3390/met16020216

