Sign in to use this feature.

Years

Between: -

Subjects

remove_circle_outline
remove_circle_outline
remove_circle_outline
remove_circle_outline
remove_circle_outline
remove_circle_outline
remove_circle_outline
remove_circle_outline
remove_circle_outline

Journals

remove_circle_outline
remove_circle_outline
remove_circle_outline
remove_circle_outline
remove_circle_outline
remove_circle_outline
remove_circle_outline
remove_circle_outline
remove_circle_outline
remove_circle_outline
remove_circle_outline
remove_circle_outline
remove_circle_outline
remove_circle_outline
remove_circle_outline
remove_circle_outline
remove_circle_outline
remove_circle_outline

Article Types

Countries / Regions

remove_circle_outline
remove_circle_outline
remove_circle_outline
remove_circle_outline
remove_circle_outline
remove_circle_outline
remove_circle_outline
remove_circle_outline

Search Results (1,950)

Search Parameters:
Keywords = finning

Order results
Result details
Results per page
Select all
Export citation of selected articles as:
33 pages, 7644 KB  
Article
Modeling and Experimental Validation of a Bionic Underwater Robot with Undulating and Flapping Composite Propulsion
by Haisen Zeng, Minghai Xia, Qian Yin, Ganzhou Yao, Zhongyue Lu and Zirong Luo
Biomimetics 2025, 10(10), 678; https://doi.org/10.3390/biomimetics10100678 (registering DOI) - 9 Oct 2025
Abstract
As the demand for marine resource development escalates, underwater robots have gained prominence as a technological alternative to human participation in deep-sea exploration, resource assessments, and other intricate tasks, underscoring their academic and engineering importance. Traditional underwater robots, however, typically exhibit limited resilience [...] Read more.
As the demand for marine resource development escalates, underwater robots have gained prominence as a technological alternative to human participation in deep-sea exploration, resource assessments, and other intricate tasks, underscoring their academic and engineering importance. Traditional underwater robots, however, typically exhibit limited resilience to environmental disturbances and are readily obstructed or interfered with by aquatic vegetation, sediments, and other physical impediments. This paper examines the biological locomotion mechanisms of black ghostfish, which utilize undulatory fins and flapping wings, and presents a coupled undulatory-flapping propulsion strategy to facilitate rapid movement and precise posture adjustment in underwater robots. A multimodal undulatory-flapping bio-inspired underwater robotic platform is proposed, with a systematic explanation of its structure and motion principles. Additionally, kinematic and dynamic models for coordinated propulsion with multiple actuators are developed, and the robot’s performance under various driving modes is evaluated using computational fluid dynamics simulations. The simulation outcomes confirm the viability of the developed dynamic model. A prototype was constructed, and a PID-based control algorithm was developed to assess the robot’s performance in linear movement, turning, and other behaviors in both undulatory fin and flapping modes. Experimental findings indicate that the robot, functioning in undulatory fin propulsion mode at a frequency of 2.5 Hz, attains a velocity of 0.35 m/s, while maintaining attitude angle fluctuation errors within ±5°. In the flapping propulsion mode, precise posture modifications can be executed. These results validate the feasibility of the proposed multimodal bio-inspired underwater robot design and provide a new approach for the development of high-performance, autonomous bio-inspired underwater robots. Full article
(This article belongs to the Section Locomotion and Bioinspired Robotics)
17 pages, 8015 KB  
Article
Numerical Study of 3D Heat Transfer in Heat Sinks with Circular Profile Fins Using CFD
by Fernando Toapanta-Ramos, Mayra Guashco Rubio, Fernando Ortega-Loza and William Diaz
Processes 2025, 13(10), 3199; https://doi.org/10.3390/pr13103199 - 9 Oct 2025
Abstract
A 3D numerical study using computational fluid dynamics simulations is carried out on a heat sink with circular fins. These devices are used to reject heat on motherboards and graphics cards. The software used in this investigation was ANSYS Fluent-CFD, with energy- and [...] Read more.
A 3D numerical study using computational fluid dynamics simulations is carried out on a heat sink with circular fins. These devices are used to reject heat on motherboards and graphics cards. The software used in this investigation was ANSYS Fluent-CFD, with energy- and momentum-conservation models, as well as two-equation κϵ turbulence models. Three temperatures are set at the base of the heat sink: 80 °C, 90 °C, and 100 °C; as well as three air velocities for cooling: 10 m/s, 15 m/s, and 20 m/s. The analysis determined that the temperature at the fins depends on the length of time the heat sink is exposed to high temperatures. Furthermore, the temperature in the center of the heat sink is lower than at the edges. On the other hand, the analysis times with periods of 2 s, 5 s, and 10 s, this variable being the most fluctuating since significant changes in the temperature of the fins and the surrounding air are observed; increases are determined ranging from 7.96% for the shortest time of exposure to forced convective air, up to 54.55%, for the longest heat-transfer time. However, in the simulations it was observed that from the eighth second the heat transfer stabilizes. Full article
(This article belongs to the Special Issue Numerical Simulation of Flow and Heat Transfer Processes)
Show Figures

Figure 1

18 pages, 8334 KB  
Article
Towards a Balanced Design of a Grid Fin with Lightweight Aerodynamics and Structural Integrity
by Yuxin Liu, Mingliang Zhu and Fuzhen Xuan
Aerospace 2025, 12(10), 899; https://doi.org/10.3390/aerospace12100899 - 5 Oct 2025
Viewed by 207
Abstract
It is widely accepted that the lightweight design of a grid fin is closely related to its aerodynamic performance and structural integrity, while limited work seeks their balance. This study proposes a lightweight grid fin design method by taking the locally swept-back angle [...] Read more.
It is widely accepted that the lightweight design of a grid fin is closely related to its aerodynamic performance and structural integrity, while limited work seeks their balance. This study proposes a lightweight grid fin design method by taking the locally swept-back angle as a variable based on three-dimensional computational fluid dynamics and fluid–thermo–structure coupling analysis for Mach numbers ranging from 0.8 to 5. The effect of the swept-back angle on the relative aerodynamic efficiency profit, weight saving, and structural integrity (with a focus on static strength) was analyzed. The results showed that the locally swept-back configuration maintained structural integrity while enabling simultaneous aerodynamic performance improvement and weight saving across different Mach numbers through swept-back angle adjustment. At Mach 0.8, 1.5, and 2.0, the 20° swept-back configuration achieved a 13.2% weight saving and improved aerodynamic performance. At Mach 0.9, the 15° configuration delivered optimal aerodynamic enhancement with a 10% weight saving. Notably, the 15° configuration demonstrated excellent balance after evaluating all Mach number operating conditions. All these highlight a good attempt for the trade-off design of structures among weight saving, aerodynamic performance, and structural integrity. Full article
(This article belongs to the Section Aeronautics)
Show Figures

Figure 1

12 pages, 283 KB  
Article
Association Between Serum Cobalt and Manganese Levels with Insulin Resistance in Overweight and Obese Mexican Women
by Jacqueline Soto-Sánchez, Héctor Hernández-Mendoza, Gilberto Garza-Treviño, Lorena García Morales, Bertha Irene Juárez Flores, Andrea Arreguín-Coronado, Luis Cesar Vázquez-Vázquez and María Judith Rios-Lugo
Healthcare 2025, 13(19), 2511; https://doi.org/10.3390/healthcare13192511 - 2 Oct 2025
Viewed by 294
Abstract
Background: Insulin resistance (IR) is common in overweight or obese individuals. Dysregulation of trace elements such as cobalt (Co) and manganese (Mn) has been associated with obesity and IR markers in individuals with diabetes. However, their role in non-diabetic states is less understood. [...] Read more.
Background: Insulin resistance (IR) is common in overweight or obese individuals. Dysregulation of trace elements such as cobalt (Co) and manganese (Mn) has been associated with obesity and IR markers in individuals with diabetes. However, their role in non-diabetic states is less understood. Objective: This study aimed to analyze the association between serum Co and Mn levels and IR in overweight and obese women without diabetes. Methods: A total of 112 overweight or obese women were evaluated for their anthropometric, metabolic, and biochemical characteristics. To estimate IR, the homeostatic model assessment of insulin resistance (HOMA-IR), quantitative insulin sensitivity check index (QUICKI), triglyceride–glucose index (TyG), and triglyceride–glucose–body mass index (TyG-BMI) were calculated. Serum Co and Mn concentrations were quantified by inductively coupled plasma mass spectrometry (ICP-MS). Results: Our results show that 77% of participants exhibited central fat accumulation and a high prevalence of IR. Fasting insulin (FINS), HOMA-IR, and TyG-BMI were significantly higher in obese women, while adiponectin (Adpn) was lower. Moreover, Co was inversely associated with FINS (p = 0.003) and HOMA-IR (p = 0.011), and positively associated with QUICKI (p = 0.011) in obese women. In contrast, serum Mn levels showed negative correlations with fasting glucose (FG) (p = 0.021) and the TyG index (p = 0.048) in overweight women. Conclusions: Co serum levels were positively associated with FG and QUICKI and negatively associated with FINS and HOMA-IR in the obese group. Mn showed negative associations with FG and the TyG index, suggesting that these trace elements may play a role in the IR in people with obesity. Full article
(This article belongs to the Special Issue Obesity and Metabolic Abnormalities)
16 pages, 2342 KB  
Systematic Review
The Impact of Intermittent Fasting on Metabolic and Hormonal Profile in Patients with Polycystic Ovary Syndrome: A Systematic Review and Meta-Analysis
by Iman Aolymat, Suhad Abumweis, Hafez Al-Momani, Diala Walid Abu-Hassan, Majd M. Albarakat, Ahmad Alzoubi, Mohammed Abu saleh, Ayah Khleaf Oleimat, Shaimaa Nasr Amin, Walaa Bayoumie El Gazzar, Ahmed Salem, Amin N. Olaimat, Heba A. Ali and Abd Al-Rahman Al-Shudiefat
Metabolites 2025, 15(10), 654; https://doi.org/10.3390/metabo15100654 - 2 Oct 2025
Viewed by 214
Abstract
Background: Polycystic ovarian syndrome (PCOS) is one of the most prevalent reproductive, endocrine, and metabolic disorders inflicting women of childbearing age. Dietary interventions have gained interest as non-pharmacological approach to control obesity and metabolic disturbances. However, the effects of intermittent fasting (IF) on [...] Read more.
Background: Polycystic ovarian syndrome (PCOS) is one of the most prevalent reproductive, endocrine, and metabolic disorders inflicting women of childbearing age. Dietary interventions have gained interest as non-pharmacological approach to control obesity and metabolic disturbances. However, the effects of intermittent fasting (IF) on metabolic and hormonal profiles of PCOS patients is debatable. Objectives: We performed this systematic review and meta-analysis to explore IF’s effect on PCOS women’s metabolic and hormonal profile (PROSPERO: CRD42024511520). Eligible studies included IF interventions in women with PCOS, with metabolic and hormonal profiles being reported. Methods: A systematic literature search using three databases, including PubMed, SCOPUS, and Web of Science, was conducted. The systematic review was performed following PRISMA guidelines. Results: A total of four studies were included (N = 4). IF is not associated with significant change in BMI (MD = −0.200, 95% CI [−0.807, 0.407], p = 0.518). The analysis revealed that IF had no statistically significant impact on FBG (MD = −0.569, 95% CI [−9.955, 8.818], p = 0.906), HOMA-IR (MD = −0.862, 95% CI [−1.737, 0.014], p = 0.054), and FINS (MD = −2.749, 95% CI [−6.441, 0.943], p = 0.145). No significant change in TG (MD = −3.120, 95% CI [−9.624, 3.385], p = 0.347), total cholesterol (MD = −0.918, 95% CI [−2.960, 1.124], p = 0.378), and LDL levels (MD = −0.433, 95% CI [−1.224, 0.359], p = 0.284) between IF and pre-fasting or non-intervention diet groups. However, the explanation is limited by the small number of studies, duration of fasting regimes, and/or variations in fasting strategies. Sex hormone data were collected but were insufficient for a pooled analysis. Conclusions: Overall, our study suggests that IF is not an effective intervention to enhance BMI, glycaemic control, and lipid metabolism in PCOS patients. Nevertheless, the current conclusion is inconclusive and preliminary, as additional well-designed studies are required to support this conclusion. Full article
Show Figures

Figure 1

13 pages, 7569 KB  
Article
New Light on an Old Story: Lymphocystis Disease in Copperband Butterflyfish (Chelmon rostratus) and Orbicular Batfish (Platax orbicularis)
by Márton Hoitsy, Endre Sós, János Gál, Árisz Ziszisz, Ferenc Baska, Lars August Folkman, Giuseppe Mark Marcello, Krisztina Bali, Gergő Mitró and Andor Doszpoly
Pathogens 2025, 14(10), 988; https://doi.org/10.3390/pathogens14100988 - 1 Oct 2025
Viewed by 276
Abstract
Although the clinical course and pathogenesis of lymphocystis disease virus (LCDV) infection have been extensively described in freshwater and seawater environments, lymphocystis disease has not been studied in the copperband butterflyfish (Chelmon rostratus) or described at the molecular level in orbicular [...] Read more.
Although the clinical course and pathogenesis of lymphocystis disease virus (LCDV) infection have been extensively described in freshwater and seawater environments, lymphocystis disease has not been studied in the copperband butterflyfish (Chelmon rostratus) or described at the molecular level in orbicular batfish (Platax orbicularis). The present study aimed to identify LCDV in a copperband butterflyfish and an orbicular batfish using light and electron microscopy (morphological) and molecular methods, namely PCR followed by phylogenetic analysis. We present a case series of two representatives of two distinct fish species with stress-induced chronic LCDV infection, which presented with typical, recurring, macroscopically visible lymphocystis nodules on their pectoral, caudal, and dorsal fins. After collecting lymphocystis nodules from live animals using skin scraping, we processed the hypertrophic giant cells for qualitative analysis using light and electron microscopy. Through our qualitative morphological analysis, we also share intimate observations of putative viral replication and assembly in the intracytoplasmic inclusion bodies of lymphocystis nodules. We present LCDV infection in a novel species, the copperband butterflyfish, and our molecular analysis identified the virus from the orbicular batfish as a novel LCDV species. Full article
(This article belongs to the Section Viral Pathogens)
Show Figures

Figure 1

26 pages, 9821 KB  
Article
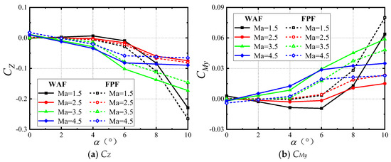
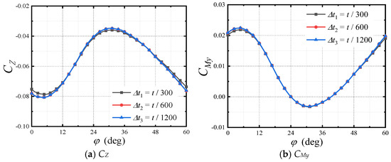
Angular Motion Stability of Large Fineness Ratio Wrap-Around-Fin Rotating Rockets
by Zheng Yong, Juanmian Lei and Jintao Yin
Aerospace 2025, 12(10), 890; https://doi.org/10.3390/aerospace12100890 (registering DOI) - 30 Sep 2025
Viewed by 120
Abstract
Long-range rotating wrap-around-fin rockets may exhibit non-convergent conical motion at high Mach numbers, causing increased drag, reduced range, and potential flight instability. This study employs the implicit dual time-stepping method to solve the unsteady Reynolds-averaged Navier–Stokes (URANS) equations for simulating the flow field [...] Read more.
Long-range rotating wrap-around-fin rockets may exhibit non-convergent conical motion at high Mach numbers, causing increased drag, reduced range, and potential flight instability. This study employs the implicit dual time-stepping method to solve the unsteady Reynolds-averaged Navier–Stokes (URANS) equations for simulating the flow field around a high aspect ratio wrap-around-fin rotating rocket at supersonic speeds. Validation of the numerical method in predicting aerodynamic characteristics at small angles of attack is achieved by comparing numerically obtained side force and yawing moment coefficients with experimental data. Analyzing the rocket’s angular motion process, along with angular motion equations, reveals the necessary conditions for the yawing moment to ensure stability during angular motion. Shape optimization is performed based on aerodynamic coefficient features and flow field structures at various angles of attack and Mach numbers, using the yawing moment stability condition as a guideline. Adjustments to parameters such as tail fin curvature radius, tail fin aspect ratio, and body aspect ratio diminish the impact of asymmetric flow induced by the wrap-around fin on the lateral moment, effectively resolving issues associated with near misses and off-target impacts resulting from dynamic instability at high Mach numbers. Full article
Show Figures

Figure 1

15 pages, 6592 KB  
Article
Revealing Phenotypic Differentiation in Ochetobius elongatus from the Middle Yangtze River Through Geometric Morphometrics
by Fangtao Cai, Zhiyuan Qi, Ziheng Hu, Dongdong Zhai, Yuanyuan Chen, Fei Xiong and Hongyan Liu
Animals 2025, 15(19), 2870; https://doi.org/10.3390/ani15192870 - 30 Sep 2025
Viewed by 134
Abstract
Ochetobius elongatus, a critically endangered (CR) fish species of the Yangtze River Basin in China, has experienced a severe decline in its wild population. Understanding its mechanisms of phenotypic variation is essential for developing effective conservation and restoration strategies. Using geometric morphometrics [...] Read more.
Ochetobius elongatus, a critically endangered (CR) fish species of the Yangtze River Basin in China, has experienced a severe decline in its wild population. Understanding its mechanisms of phenotypic variation is essential for developing effective conservation and restoration strategies. Using geometric morphometrics based on 14 landmarks, we examined the phenotypic difference among five populations from the mainstem, the tributary, and the river-connected lakes of the middle Yangtze River. The results showed that significant phenotypic divergence was detected between river and lake populations. River individuals exhibited a more elongated body, smaller head, inferior mouth position, larger operculum, and narrower caudal peduncle, whereas lake individuals showed a deeper body, and anterior shift in the origin of pelvic fin. The first canonical variable effectively distinguished river and lake populations, with the accuracy of both original and cross-validation classification exceeding 90%, indicating that habitat heterogeneity was the primary driver of phenotypic differentiation. No significant correlation was found between morphological distance and geographical distance. Water temperature, flow velocity, water depth, and food abundance significantly influenced phenotypic variation, but their individual effects were limited, which suggested that environmental shaping of morphology depended more on synergistic effects. Our findings provide important insights into the adaptive evolution of this critically endangered species and offer a scientific basis for conservation efforts. Full article
Show Figures

Figure 1

28 pages, 770 KB  
Article
FinTech-Driven Corporate Sustainability: A Technology–Organization–Environment Framework Analysis
by Guosong Wang and Huizhen Zhang
Sustainability 2025, 17(19), 8748; https://doi.org/10.3390/su17198748 - 29 Sep 2025
Viewed by 442
Abstract
At the intersection of the digital economy and sustainable development, FinTech emerges as a pivotal force reshaping corporate operations. However, existing research lacks a systemic analysis of how technology, organizational synergy, and environmental factors jointly drive corporate sustainability. Building on this, this study [...] Read more.
At the intersection of the digital economy and sustainable development, FinTech emerges as a pivotal force reshaping corporate operations. However, existing research lacks a systemic analysis of how technology, organizational synergy, and environmental factors jointly drive corporate sustainability. Building on this, this study employs the technology–organization–environment (TOE) framework to analyze panel data from China’s A-share non-financial listed companies (2012–2022). Our findings reveal the following: (1) FinTech directly enhances corporate sustainability and indirectly does so through supply chain finance (33.30% mediation effect). (2) Digital infrastructure and marketization level amplify FinTech’s impact, with effects 52.27% stronger in high-marketization regions and 48.84% stronger in regions with advanced digital infrastructure. (3) Heterogeneity analysis indicates the positive impact is more pronounced for enterprises with higher digital transformation maturity, those in technology-intensive industries, and those located in eastern China. These results offer policymakers and enterprises a systemic framework and empirical evidence to co-design FinTech-enabled sustainable development strategies, emphasizing cross-sector collaboration and region-specific interventions. Full article
Show Figures

Figure 1

24 pages, 6128 KB  
Article
DC/AC/RF Characteristic Fluctuation of N-Type Bulk FinFETs Induced by Random Interface Traps
by Sekhar Reddy Kola and Yiming Li
Processes 2025, 13(10), 3103; https://doi.org/10.3390/pr13103103 - 28 Sep 2025
Viewed by 315
Abstract
Three-dimensional bulk fin-type field-effect transistors (FinFETs) have been the dominant devices since the sub-22 nm technology node. Electrical characteristics of scaled devices suffer from different process variation effects. Owing to the trapping and de-trapping of charge carriers, random interface traps (RITs) degrade device [...] Read more.
Three-dimensional bulk fin-type field-effect transistors (FinFETs) have been the dominant devices since the sub-22 nm technology node. Electrical characteristics of scaled devices suffer from different process variation effects. Owing to the trapping and de-trapping of charge carriers, random interface traps (RITs) degrade device characteristics, and, to study this effect, this work investigates the impact of RITs on the DC/AC/RF characteristic fluctuations of FinFETs. Under high gate bias, the device screening effect suppresses large fluctuations induced by RITs. In relation to different densities of interface traps (Dit), fluctuations of short-channel effects, including potential barriers and current densities, are analyzed. Bulk FinFETs exhibit entirely different variability, despite having the same number of RITs. Potential barriers are significantly altered when devices with RITs are located near the source end. An analysis and a discussion of RIT-fluctuated gate capacitances, transconductances, cut-off, and 3-dB frequencies are provided. Under high Dit conditions, we observe ~146% variation in off-state current, ~26% in threshold voltage, and large fluctuations of ~107% and ~131% in gain and cut-off frequency, respectively. The effects of the random position of RITs on both AC and RF characteristic fluctuations are also discussed and designed in three different scenarios. Across all densities of interface traps, the device with RITs near the drain end exhibits relatively minimal fluctuations in gate capacitance, voltage gain, cut-off, and 3-dB frequencies. Full article
(This article belongs to the Special Issue New Trends in the Modeling and Design of Micro/Nano-Devices)
Show Figures

Figure 1

34 pages, 1081 KB  
Article
Smart Growth or Footprint Trap? A Quantile Approach to FinTech, Natural Resources, and Governance in Emerging Markets
by Jinzhou Yin and Daniel Edward
Sustainability 2025, 17(19), 8673; https://doi.org/10.3390/su17198673 - 26 Sep 2025
Viewed by 250
Abstract
Amid rapid industrialization and the growing integration of financial technologies, emerging economies face increasing pressure from rising ecological footprints (ECOF). This study examines the environmental impacts of natural resource rents (NRES) and digital financial technology (DFIN), emphasizing the moderating role of governance (INST), [...] Read more.
Amid rapid industrialization and the growing integration of financial technologies, emerging economies face increasing pressure from rising ecological footprints (ECOF). This study examines the environmental impacts of natural resource rents (NRES) and digital financial technology (DFIN), emphasizing the moderating role of governance (INST), using data from the top 10 emerging economies between 1995 and 2023. The Method of Moments Quantile Regression (MMQR) approach is employed to capture heterogeneous effects across different levels of environmental stress. The results reveal that both NRES and DFIN exacerbate ECOF, particularly in economies facing higher ecological pressures. However, strong governance significantly reduces these adverse effects, especially at higher ECOF quantiles, highlighting its pivotal role in aligning resource management and digital innovation with environmental sustainability goals. Interaction terms further confirm that effective institutional quality can buffer the ecological risks associated with resource exploitation and FinTech expansion. Additionally, Dumitrescu–Hurlin panel causality tests reveal a unidirectional causality from NRES and economic growth (EGRO) to ECOF, while bidirectional relationships are observed between DFIN, INST, education, urbanization, renewable energy, and ECOF. These findings underscore the complex interlinkages between economic growth, technological advancement, and institutional frameworks. In the context of post-COP28 climate commitments and Sustainable Development Goals, this study provides timely policy recommendations to promote sustainable growth through robust governance, responsible resource utilization, and balanced FinTech integration. Full article
Show Figures

Figure 1

19 pages, 581 KB  
Article
Unveiling the Future of FinTech: Exploring the Behavioral Intentions Behind FinTech Adoption
by Attila Kurucz, Tamás Vinkóczi, Borbála Tamás and Ewelina Idziak
J. Risk Financial Manag. 2025, 18(10), 546; https://doi.org/10.3390/jrfm18100546 - 26 Sep 2025
Viewed by 715
Abstract
In addition to the technological aspects of FinTech solutions, it is important to consider user willingness, particularly among the digitally savvy Generation Z. We conducted a survey in Hungary and Poland to gather information on young people’s use of FinTech applications and their [...] Read more.
In addition to the technological aspects of FinTech solutions, it is important to consider user willingness, particularly among the digitally savvy Generation Z. We conducted a survey in Hungary and Poland to gather information on young people’s use of FinTech applications and their attitudes towards FinTech services. In our research, we built on the already known technology adoption model (UTAUT) and combined it with an attitudinal study. To determine the factors that influence the propensity to use these services, we developed a hypothetical model and tested it with the results of the first round of the survey (n = 117). CB-SEM was used to investigate the relationship between attitudes, social influence, and intention to use behavior. The paper presents the significant relationship characteristics, model structure, and potential business applications of the results. Full article
(This article belongs to the Section Financial Technology and Innovation)
Show Figures

Figure 1

11 pages, 2075 KB  
Article
Highly Selective Isotropic Etching of Si to SiGe Using CF4/O2/N2 Plasma for Advanced GAA Nanosheet Transistor
by Jiayang Li, Xin Sun, Ziqiang Huang and David Wei Zhang
Nanomaterials 2025, 15(19), 1469; https://doi.org/10.3390/nano15191469 - 25 Sep 2025
Viewed by 401
Abstract
The paradigm shift from FinFET to gate-all-around nanosheet (GAA-NS) transistor architectures necessitates fundamental innovations in channel material engineering. This work addresses the critical challenge of pFET performance degradation in GAA-NS technologies through the development of an advanced selective etching process for strain-engineered SiGe [...] Read more.
The paradigm shift from FinFET to gate-all-around nanosheet (GAA-NS) transistor architectures necessitates fundamental innovations in channel material engineering. This work addresses the critical challenge of pFET performance degradation in GAA-NS technologies through the development of an advanced selective etching process for strain-engineered SiGe channel formation. We present a systematic investigation of Si selective etching using CF4/O2/N2 gas mixture in a remote plasma source reactor. It is demonstrated that the addition of N2 to CF4/O2 plasmas significantly improves the selectivity of Si to SiGe (up to 58), by promoting NO* radical-induced passivation layer disruption on Si surfaces. Furthermore, an increase in the F:O ratio has been shown to mitigate stress-induced lateral micro-trenching (“Si-tip”), achieving near-zero tip length at high CF4 flow (500 sccm) while retaining selectivity (>40). Transmission electron microscopy and energy-dispersive X-ray spectroscopy confirm the complete removal of the Si sacrificial layer with minimal SiGe channel loss, validating the process for high-performance SiGe GAA-NS FET integration. These findings provide critical insights into strain-engineered SiGe channel fabrication, enabling balanced NFET/PFET performance in next-generation semiconductor technologies. Full article
(This article belongs to the Section Nanoelectronics, Nanosensors and Devices)
Show Figures

Figure 1

33 pages, 30964 KB  
Article
Experimental Assessment of a Passive Waste Heat Recovery System Using Thermosyphons and Thermoelectric Generators for Integration into District Heating Applications
by Luis V. G. Fachini, Pedro Leineker Ochoski Machado, Kamal A. R. Ismail, Felipe M. Biglia, Aleffe J. C. Vaz, Romeu M. Szmoski and Thiago Antonini Alves
Energies 2025, 18(19), 5090; https://doi.org/10.3390/en18195090 - 25 Sep 2025
Viewed by 400
Abstract
The efficient recovery of waste heat is essential for improving sustainability in industrial and urban energy systems. This study presents the experimental evaluation of a passive heat recovery unit composed of finned thermosyphons and Bismuth Telluride (Bi2Te3) thermoelectric generators [...] Read more.
The efficient recovery of waste heat is essential for improving sustainability in industrial and urban energy systems. This study presents the experimental evaluation of a passive heat recovery unit composed of finned thermosyphons and Bismuth Telluride (Bi2Te3) thermoelectric generators (TEGs). The primary objective was to characterize its simultaneous thermal recovery and electrical generation capabilities under airflow and temperature conditions simulating low-grade industrial exhaust streams. The system was tested in an open-loop wind tunnel simulating exhaust gases under air velocities of 0.6, 1.1, and 1.7 m/s. Heat was transferred to the TEGs through finned thermosyphons, enabling power generation via the Seebeck effect. The passive heat exchange mechanism successfully recovered up to 250.9 W of thermal power, preheating the inlet air by a maximum of 9.5 °C with a peak thermal effectiveness of 44.4%. Simultaneously, the system achieved a maximum temperature difference of 30.0 °C across the thermoelectric modules, generating a total electrical power of 163.7 mW (81.8 mW per TEG). This dual-purpose operation resulted in a maximum overall first-law efficiency of 9.38% and an electrical power density of 52.20 W/m2 from the low-grade thermal stream. These results confirm the technical feasibility of this compact, passive, and maintenance-free design, highlighting its potential for integration into applications like district heating or industrial ventilation, where balancing thermal and electrical outputs is crucial. Full article
Show Figures

Figure 1

10 pages, 1653 KB  
Article
Silicon-on-Insulator (SOI) Lateral Power-Reduced Surface Field FinFET with High-Power Figure of Merit of 239.3 MW/cm2
by Chang Woo Song, Taeeun Lee, Dongyeon Kim, Sinsu Kyoung and Sola Woo
Micromachines 2025, 16(10), 1080; https://doi.org/10.3390/mi16101080 - 24 Sep 2025
Viewed by 282
Abstract
In this study, we propose a lateral power-reduced surface field FinFET (LPR-FinFET) to achieve high breakdown voltage and low on-resistance. We investigate the electric field distribution within the reduced surface field (RESURF) structure under reverse-biased conditions, as well as forward transfer and output [...] Read more.
In this study, we propose a lateral power-reduced surface field FinFET (LPR-FinFET) to achieve high breakdown voltage and low on-resistance. We investigate the electric field distribution within the reduced surface field (RESURF) structure under reverse-biased conditions, as well as forward transfer and output characteristics using TCAD simulation. The proposed LPR-FinFET demonstrates a high breakdown voltage of 247 V and a low specific on-resistance of 0.255 mΩ·cm2 with a high-power figure of merit of 239.3 MW/cm2. The superior characteristics of our proposed LPR-FinFET show the potential for applications as a lateral power semiconductor using silicon-on-insulator (SOI) technology. Full article
(This article belongs to the Special Issue Power Semiconductor Devices and Applications, 3rd Edition)
Show Figures

Figure 1

Back to TopTop