Next Article in Journal
Accumulation and Exploration Potential of Coalbed Methane Collected from Longtan Formation of Santang Syncline in Zhijin, Guizhou Province
Previous Article in Journal
Fast Network Reconfiguration Method with SOP Considering Random Output of Distributed Generation
 
 
Font Type:
Arial Georgia Verdana
Font Size:
Aa Aa Aa
Line Spacing:
Column Width:
Background:
Article

DC/AC/RF Characteristic Fluctuation of N-Type Bulk FinFETs Induced by Random Interface Traps

by
Sekhar Reddy Kola
1,2 and
Yiming Li
1,2,3,4,5,6,7,*
1
Parallel and Scientific Computing Laboratory, College of Electrical and Computer Engineering, National Yang Ming Chiao Tung University, 1001 Ta-Hsueh Rd., Hsinchu City 300093, Taiwan
2
Institute of Communications Engineering, College of Electrical and Computer Engineering, National Yang Ming Chiao Tung University, 1001 Ta-Hsueh Rd., Hsinchu City 300093, Taiwan
3
Institute of Biomedical Engineering, College of Electrical and Computer Engineering, National Yang Ming Chiao Tung University, 1001 Ta-Hsueh Rd., Hsinchu City 300093, Taiwan
4
Department of Electronics and Electrical Engineering, College of Electrical and Computer Engineering, National Yang Ming Chiao Tung University, 1001 Ta-Hsueh Rd., Hsinchu City 300093, Taiwan
5
Department of Microelectronics, College of Electrical and Computer Engineering, National Yang Ming Chiao Tung University, 1001 Ta-Hsueh Rd., Hsinchu City 300093, Taiwan
6
Institute of Pioneer Semiconductor Innovation, Industry Academia Innovation School, National Yang Ming Chiao Tung University, 1001 Ta-Hsueh Rd., Hsinchu City 300093, Taiwan
7
Institute of Artificial Intelligence Innovation, Industry Academia Innovation School, National Yang Ming Chiao Tung University, 1001 Ta-Hsueh Rd., Hsinchu City 300093, Taiwan
*
Author to whom correspondence should be addressed.
Processes 2025, 13(10), 3103; https://doi.org/10.3390/pr13103103
Submission received: 10 August 2025 / Revised: 16 September 2025 / Accepted: 25 September 2025 / Published: 28 September 2025
(This article belongs to the Special Issue New Trends in the Modeling and Design of Micro/Nano-Devices)

Abstract

Three-dimensional bulk fin-type field-effect transistors (FinFETs) have been the dominant devices since the sub-22 nm technology node. Electrical characteristics of scaled devices suffer from different process variation effects. Owing to the trapping and de-trapping of charge carriers, random interface traps (RITs) degrade device characteristics, and, to study this effect, this work investigates the impact of RITs on the DC/AC/RF characteristic fluctuations of FinFETs. Under high gate bias, the device screening effect suppresses large fluctuations induced by RITs. In relation to different densities of interface traps (Dit), fluctuations of short-channel effects, including potential barriers and current densities, are analyzed. Bulk FinFETs exhibit entirely different variability, despite having the same number of RITs. Potential barriers are significantly altered when devices with RITs are located near the source end. An analysis and a discussion of RIT-fluctuated gate capacitances, transconductances, cut-off, and 3-dB frequencies are provided. Under high Dit conditions, we observe ~146% variation in off-state current, ~26% in threshold voltage, and large fluctuations of ~107% and ~131% in gain and cut-off frequency, respectively. The effects of the random position of RITs on both AC and RF characteristic fluctuations are also discussed and designed in three different scenarios. Across all densities of interface traps, the device with RITs near the drain end exhibits relatively minimal fluctuations in gate capacitance, voltage gain, cut-off, and 3-dB frequencies.

1. Introduction

Nowadays, bulk fin field-effect transistors (FinFETs) have become a key technology due to their electrostatic controllability, improved short-channel effect (SCE), and greater manufacturability compatible with complementary metal-oxide-semiconductor devices (CMOS) [1,2,3]. Comparing bulk FinFETs with gate-all-around stacked nanosheets and nanowires, bulk FinFETs have the advantage of being low-cost and easy to fabricate due to existing mass-production technology [4,5]. Based on the IRDS roadmap prediction [6], with FinFETs, the trend of CMOS devices will continue to be scaled down to technology nodes less than 5 nm and beyond [7]. For example, they will be used in nodes of 3-nm and 2-nm [8]. Therefore, FinFET will continue to be a viable solution for 3-/2-nm nodes [5,9]. A study of FinFET performance was conducted based on the geometry and size of the fins [8,10,11,12,13,14,15]. Through the scaling down of device dimensions, comparable improvements can be achieved in terms of power efficiency, variability, reliability, and performance [16,17].
Various randomness sources and process variations [18], such as random discrete dopant (RDD) [19], line edge roughness (LER) [20], and work function fluctuation (WKF) [21,22,23,24,25] of silicon-on-insulator (SOI) and bulk FinFETs have been of great interest. Emerging CMOS technologies have also been critically impacted by the statistical variability caused by random interface traps (RIT) [17,26,27]. It has been known that the single interface trap has a severe impact on the random telegraph noise in the static random access memory (SRAM) with N-/P-type bulk FinFETs [28,29], the bias temperature instability of P-type bulk FinFETs [30], and the radio frequency (RF) of FinFETs [7,31]. In recent research, it was demonstrated that the RITs-induced threshold voltage (Vth) and leakage current of JL-FinFETs are larger than those of FinFETs [32]. Further, the position of RITs causes a rather different effect depending on their number and position [33]. Notably, it is important to consider not only DC characteristic fluctuation induced by RITs [34,35,36,37,38] for diverse applications, it is also important to consider the fluctuation of the AC and RF characteristics. It should be noted, however, that recent studies have primarily focused on DC characteristic fluctuation induced by RITs and single-charge traps [32,36,39,40,41]. There have been many studies on the impact of RITs and single-charge traps on random telegraph noise [42,43] that have found that DC characteristics including threshold voltage, sub-threshold swing (SS), and drain induced the barrier lowering (DIBL) of bulk FinFETs [39,44,45]. This is, however, not the case for the DC characteristics of bulk FinFETs, nor three-dimensional (3D) architectures. In this study, we, for the first time, investigate the impact of RITs on AC and RF characteristics fluctuations under the three different densities of interface traps (Dit). Based on a unified statistical 3D device simulation, it will be interesting for us to examine the impact of RITs with differing Dit on the DC/AC/RF characteristic fluctuation of bulk FinFETs [16,23,27,36,46].
RIT-induced DC/AC/RF characteristic fluctuations for N-type bulk FinFETs are studied here. In this paper, we investigate the effects of the random position and number of RITs on Vth, on-state current (Ion), and off-state current (Ioff) using experimentally calibrated device simulations. A study is then conducted to examine the variations in gate capacitance (CG) caused by RITs with respect to different Dit values. Further discussion will be given to the RIT-fluctuated cut-off frequency (fT), which is larger than that of the 3-dB frequency (f3dB). As a result of the presence of RITs at the source end, middle end, and drain end of a channel surface, the fluctuations in fT, f3dB, and CG are quite different. The following is the organization of this paper. In Section 2, we provide a brief overview of device simulation settings, statistical RIT generation, and device simulation. The results of the study are discussed in Section 3. Lastly, we conclude this study and suggest some future directions.

2. The Statistical Device Simulation

We first brief the simulation settings and accuracy validation prior to the statistical generation of RITs in the large-scale statistical 3D device simulation. To validate our device simulation by examining the conduction band energy and electron density along the channel during on-/off states, we have numerically solved the three-dimensional density gradient equation along with drift-diffusion (DG + DD) and nonequilibrium Green’s functions (NEGF) models. Though not shown here, by adjusting the electron effective mass the DG + DD model’s simulation results are in good agreement with those of the NEGF model [46]. In order to achieve the best accuracy of the 3D device simulation, we further calibrated the adopted simulation model with the experimental approach for the bulk FinFET at linear and saturation regimes by adjusting the mobility model and doping level, as shown in Figure 1 [9]. This is calibrated by considering the fourth-generation 16-nm-gate-high-κ metal gate (HKMG) bulk FinFETs.
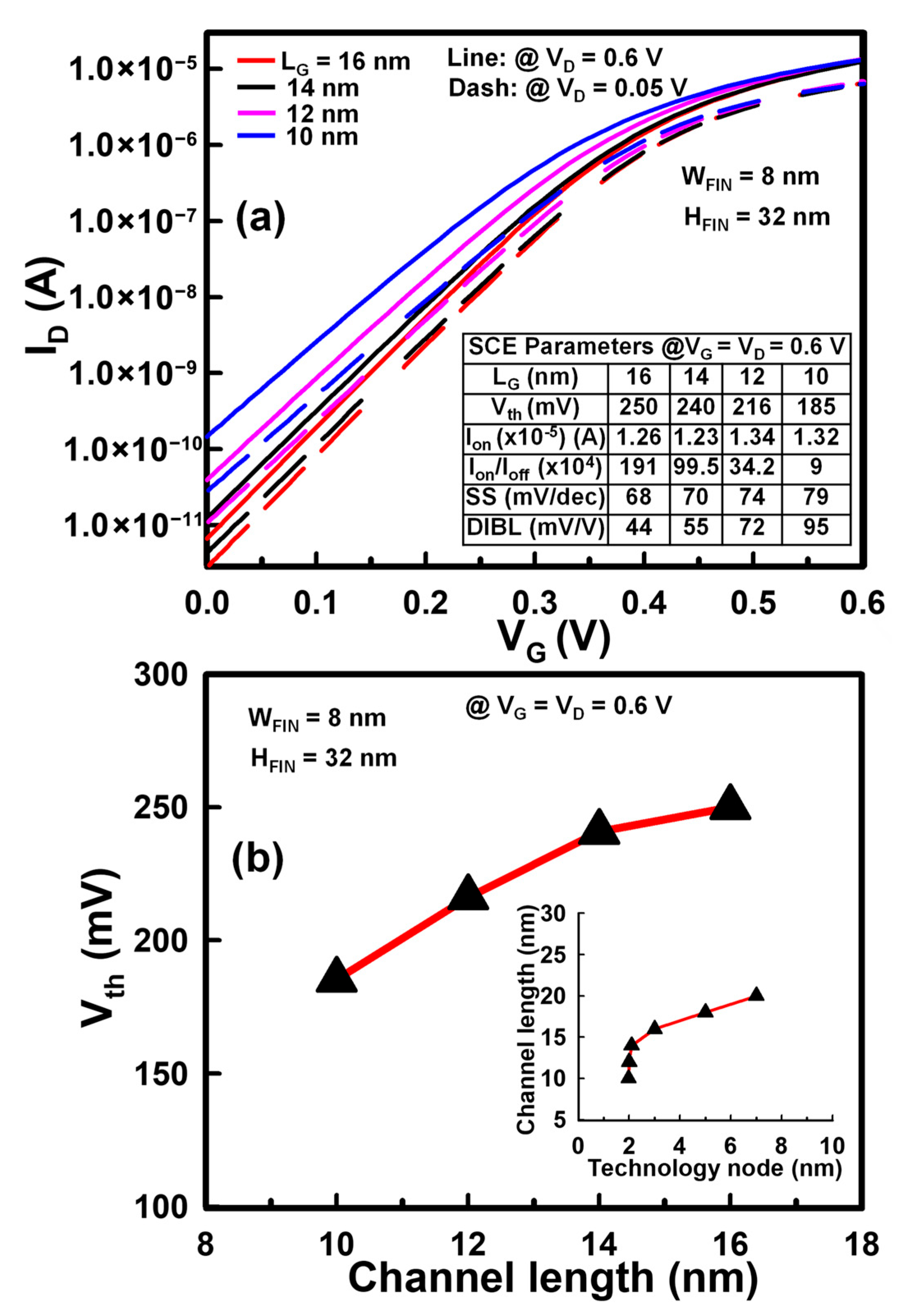
Figure 2a illustrates the ID-VG characteristics as a function of the channel length (LG), according to the device parameters listed in Table 1. The inset lists the achieved parameters of SCE, including Vth, Ion/Ioff ratio, SS, and DIBL, respectively. The Vth was extracted using the constant current method, defined at ID = WFIN × 10−7 A, ensuring consistency across device geometries. SS and DIBL were also derived based on this criterion under matched bias conditions. The Vth roll-off for LG varying from 16 to 10 nm as shown in Figure 2b. Based on the IRDS projections, LG = 16 nm corresponds to technological nodes below 5 nm (Figure 2b inset) [6]. As shown in Figure 2, there is a serious SCE with regard to device characteristics when LG decreases [47].
As shown in Figure 3, the explored device has a SiO2/HfO2 stack with an effective oxide thickness (EOT) of 0.963 nm [36] for sub-5-nm technology nodes which are estimated by the formula EOT = TSiO2 + THfO2 × εSiO2HfO2, where TSiO2 = 0.6 nm and THfO2 = 2 nm are the thickness of gate insulators. Both εSiO2 = 3.9 and εHfO2 = 22.0 are the dielectric constants of SiO2 and HfO2. Listed in Table 1 are the parameters of the adopted device, detailed simulation settings, and the characteristics that have been achieved. We have properly incorporated doping dependence, high-field saturation, and impurity scattering mobility models into our device simulation [48]. A non-uniform 3D mesh was employed, with fine discretization (≤0.1 nm) near the high-κ/SiO2–Si interface to resolve potential fluctuations and trap effects. Boundary conditions included Dirichlet at gate electrodes and Neumann at insulating surfaces, with self-consistent treatment of thermionic emission and tunneling at contacts. Convergence was ensured by solving the coupled Poisson–drift-diffusion–DG equations until relative changes in carrier density and potential fell below 10−6. Mesh refinement studies confirmed that local potential features, including ~65 meV peaks, are physical and not artifacts, with variations remaining below 2 meV across refinements. The device has an aspect ratio of 4, 12-nm source/drain (S/D), 5-nm S/D extension, 32-nm HFIN, and 8-nm WFIN [12], as shown in Figure 3a. The device is with a Si-based <100> surface orientation along the top channel direction and lateral channels are with the <110> directions [49]. The electron mobility may be enhanced by this orientation [50,51,52].
As a result of the experimentally validated simulation, we perform a statistical device simulation to explore the DC/AC/RF characteristics of RIT-fluctuated devices. A fresh device is assumed to be free of RITs. In the case of interface trap fluctuation (ITF), all cases of acceptor-like RITs are generated statistically. A total of 1506 traps are generated initially in two large areas of 224 × 448 nm2 for two sides of the bulk FinFET [36], which is depicted in Figure 3c,e. In all the 2D planes the corresponding concentration of RITs is around 1.5 × 1012 cm−2. Similarly, as shown in Figure 3d, for the top fin, 377 traps are generated in an area of 224 × 112 nm2 [53]. All traps are randomly assigned on the interface of the HfO2/SiO2 and Si channel. These interface traps were modeled as surface states defined by Dit, and their total number was obtained by integrating Dit over the relevant energy range. For numerical implementation, each trap was mapped to a thin volumetric element (2 × 2 × 0.5 nm3) at the Si/high-κ boundary, serving only as a discretization convenience without altering the physical interpretation of Dit. The volume of each trap is 2 × 2 × 0.5 nm3 and there is a range of high, medium, and low levels of Dit [54] varying from 5.5 × 1012 to 4 × 1013 cm−2 eV−1, 1 × 1012 to 8 × 1012 cm−2 eV−1, and 5.5 × 1011 to 4 × 1012 cm−2 eV−1 [44,55,56,57,58,59]; the total number of traps follows the Poisson distribution. The statistically generated RITs standard deviations for three planes are 4.0681, 4.4327 for both side fins, and 2.0241 for the top fin, as shown in Figure 3c′,d′,e′, respectively. Trap energy levels were assigned using a uniform distribution across the mid-gap region, consistent with physical expectations for HKMG interfaces. The selected Dit levels—categorized as high (~1013 cm−2eV−1), medium (~1012 cm−2eV−1), and low (~1011 cm−2eV−1)—span the range reported in experimental studies of advanced CMOS processes [55]. This range enables the exploration of both nominal and degraded interface conditions without anchoring the analysis to a specific process corner. The chosen values are representative of typical HKMG process data, and support generalizable insights into trap-induced variability. A step-by-step simulation flow is shown in Figure 3h for the generation and assignment of RITs. The top fin is partitioned into 16 × 8 nm2 sub-planes, while the side fins are divided into 32 × 8 nm2 sub-planes, as shown in Figure 3c,d,e, respectively. Based on the distribution of trap density, the RITs energy is designated [36,60,61], as shown in Figure 3f,g. It is necessary to continue this process until all sub-planes have been designated. As a result, the 196 devices are generated for statistical 3D device simulations so that we can examine how RITs affect the characteristics of DC devices. Mesh settings and convergence criteria were chosen to ensure numerical stability and physical accuracy, with adaptive refinement applied near the channel and junction regions. A variability sample size of 196 devices was used to achieve statistically meaningful results while maintaining computational efficiency. We use acceptor-type faster traps to detect fluctuations in the AC and RF characteristics of the investigated devices. We have determined that the trap capture and emission cross-sections range from 10−14 cm2. This is within the acceptable range for silicon devices [55,60]. Statistical 3D device simulations are carried out utilizing the numerical solutions derived from the validated DG + DD model [39,48,62].

3. Results and Discussion

3.1. RITs Impact on DC Characteristics

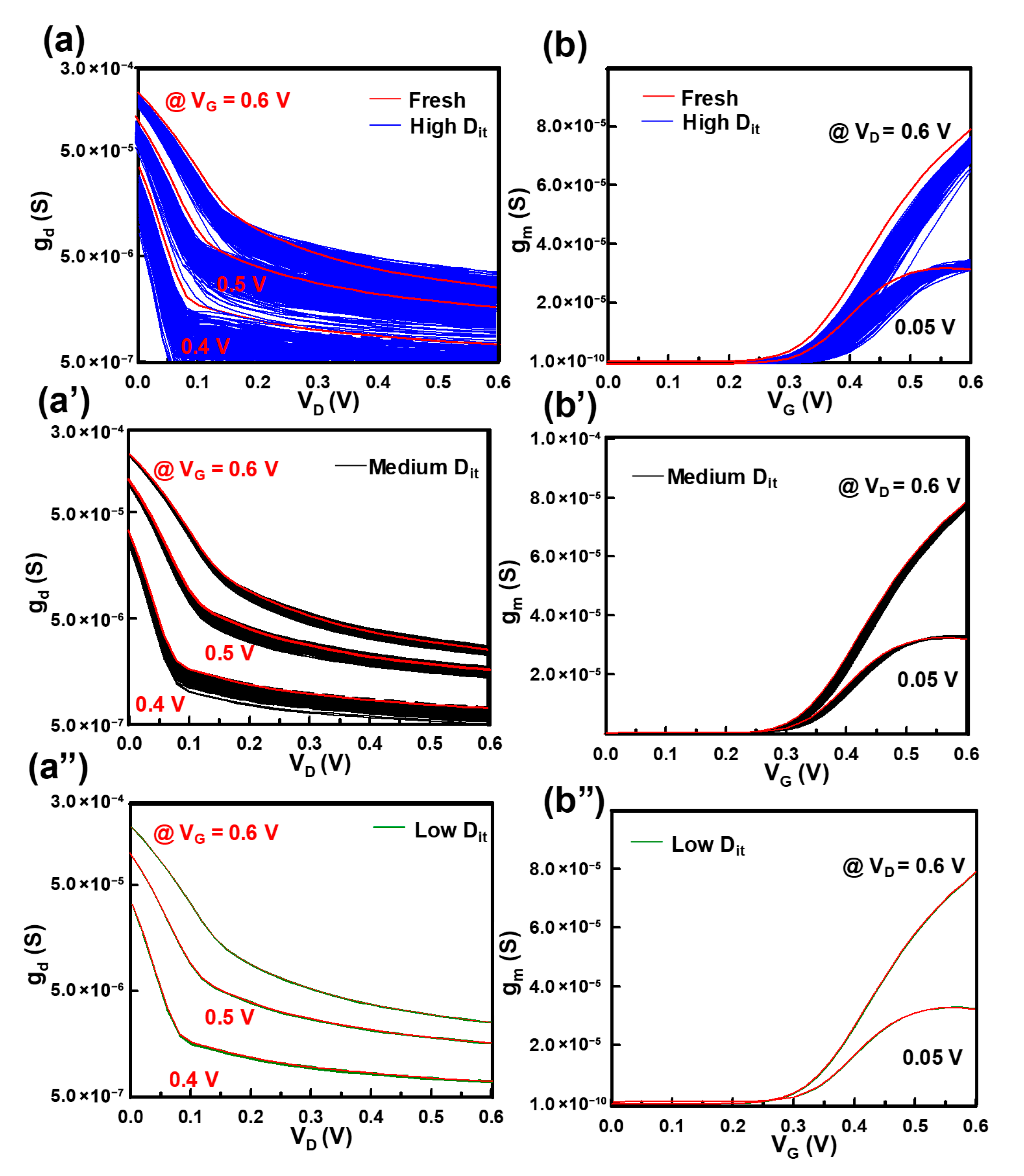
Figure 4a–a″,b–b″ show the fluctuated ID-VG characteristics induced by RITs in semi-log, as well as in linear y–axes under high, medium, and low levels of Dit, where the device is operated in both linear (VD = 0.05 V) and saturation (VD = 0.6 V) regimes, respectively. As shown in Figure 4, the fresh device is indicated by the red lines. In proportion to the level of Dit, the magnitude of ITF increases. It is observed that RITs have a severe effect at low gate bias. By raising the gate bias, electrons in the channel can depart from the trap, thereby reducing fluctuations. With the gate bias increased, however, the RIT-induced fluctuations are diminished for all levels of Dit, since the inversion charge fills the interface states and reduces their impact. Accordingly, the high gate voltage reduces the characteristic fluctuation for all devices. Thus, significant characteristic fluctuations are observed at the off-state current under high Dit levels. Due to the random location and density of RITs, the energy barrier is vigorously stirred, resulting in relatively expanded fluctuations below the threshold voltage. Consequently, the high level of Dit RITs located in the middle of the channel and near the S side has a significant impact on the energy barrier. The number of RITs increases, and the penetration of the electric field from D to S decreases, thereby decreasing the SCE of the device. The ID-VD characteristic fluctuation under three levels of Dit and its major derivatives of the bulk FinFETs induced by RITs have been carried out, as depicted in Figure 4c–c″ under the different gate bias. In addition, we observe that the output characteristic fluctuates significantly at high gate voltages (VG = 0.6 V). Nevertheless, the ITF ID fluctuation is governed by the high level of Dit. Accordingly, a significant variation in ID was observed (>50%) for the high-level Dit under VD = VG = 0.6 V. The fluctuated gd-VD characteristics with varied gate voltage induced by RITs under three levels of Dit are shown in Figure 5a–a″. Figure 5b–b″ illustrate the fluctuated gm-VG characteristics associated with RITs under the three levels of Dit. The gm of semiconductor devices is an important parameter, which alters the gain of an amplifier. However, under high levels of Dit, there are severe gm fluctuations. Figure 6a illustrates the relationship between gm,max and RITs under the different levels of Dit. The gm,max decreases as the number of RITs increases. In the presence of a high level of Dit, it is evident that there is more scattering of gm,max. A reduction in drain current caused by the increase in RITs results in a reduction in gm,max. Figure 6b depicts the fluctuating gd,max for the number of RITs and the three levels of Dit; a reduction in gd,max is associated with the number of RITs. Therefore, as expected, the gd,max is much more scattered under the conditions of level of high Dit. It has been realized that multiple traps can cause enormous fluctuations, owing to their multiple conduction carrier captures and emission events. As a result, the performance of the device will be adversely affected.

3.2. Significance of Interface Trap Random Position

Figure 7a′–a‴ show the fluctuating Vth versus the number of RITs under VD = VG = 0.6 V at three levels of Dit, with the black line indicating the fresh device with Vth = 250 mV. A significant fluctuation in Vth is observed as a result of an increased number of RITs occurring under a high level of Dit. In addition, we investigate the effect of the random position and number of RITs on the variability of Vth of bulk FinFETs at high level of Dit [63]. This is in agreement with the result reported in [33], where Wang et al. argued that the RIT-induced Vth is larger than our work under the medium Dit. Based on the high level of Dit, we have shown in Figure 7a′ that both Cases A and B represent similar numbers of RITs but different Vth, and both Cases B and C represent similar Vth but different numbers of RITs. To explore this phenomenon, we extracted electrostatic potentials corresponding to Cases A, B, and C, respectively, on the channel surface from S to D, as illustrated in Figure 7a–c. Due to the position of the RITs, distinct characteristic fluctuation was observed, despite the same number of RITs. Our results in Figure 7a,b demonstrate that Case A has a significant Vth compared to Case B when a similar number of RITs were analyzed with different random positions. Thus, Case A shows a greater number of RITs, as more RITs are positioned near the middle and S of the channel, as shown in Figure 7a1. The devices with RITs near the S and middle of the channel are, however, confirmed to have reduced immunity. In comparison with other locations, these RITs can be enhanced to address more potential barriers. In addition, Figure 7b illustrates the electrostatic potential with a similar number of RITs but a lower Vth. The effect of RIT position is estimated in terms of electrostatic potential along the channel, which shows that the RIT-induced potential barriers are reduced in Case B when fewer RITs are located near S and at the middle of the channel. Therefore, it has a lower Vth than Case A. Furthermore, both Cases B and C have the same value of Vth and different numbers of RITs, as shown in Figure 7b,c. Accordingly, Case C has fewer RITs than Case B, but most of them are located near the S and middle of the channel. As a result, RIT fluctuations will increase in a similar manner to Case B. This is evident by observing the 1D electrostatic potential energy versus channel position along with the S to D direction of three cases, as shown in Figure 8a–c for the three levels of Dit, respectively. Therefore, for Case A near S, the electron encounters the high barrier, which results in Case A having a large Vth, in comparison with other cases, as shown in Figure 8a. Therefore, the RITs positioned distant from the S have depleted interaction with mobile electrons owing to the moderately higher drift velocity and electron transport energy, and several local spikes of potential barriers still effectively obstruct surface current conduction, which is even more substantial than that of RITs presenting near the S. Therefore, the achieved results indicate that RITs placed at random in bulk FinFETs could be an effective choice. Accordingly, the medium and low levels of Dit have reduced potential barriers than others, as shown in Figure 8b,c, further reducing fluctuations in the Vth. Additionally, Figure 7a1′–a3′ illustrate the 3D charge density of Cases A, B, and C, respectively. It is evident that the charge density increases as the value of the Vth is reduced.
Figure 9 illustrates the fluctuated subthreshold slope (SS) versus the number of RITs for the three levels of Dit. In the context of three levels of Dit, SS increases as the number of RITs increases. SS degradation becomes more critical when the level of Dit is high. Under the three levels of Dit of bulk FinFETs, Figure 10a′–a‴ demonstrate the fluctuated Ioff versus Ion characteristics induced by RITs. Figure 10a‴ illustrates a fresh device by a filled red circle. Ioff and Ion are reduced as a result of the increased number of RITs. In particular, the RITs-induced fluctuation variation ((6σ/μ) × 100%) of Ioff (145%) is higher than the Ion (40.9%) for the high level of Dit. This is due to the inversion charges filling the interface states and screen their impact, as shown in Figure 10a′. Figure 10a,b demonstrate a comparison of Ioff and Ion with the random position effect of RITs at high Dit levels. RIT positions were randomly distributed across all three cases, associated with a local repulsive coulomb field and disturbed surface current-conducting directions in cases A, B, and C. Furthermore, both Cases A and B exhibit similar Ion but different Ioff, as shown in Figure 10a,b. Due to the presence of fewer RITs near the middle and S of the channel in Case A, the leakage is less than in Case B, as shown in Figure 10a1. In addition, their Ioff differs since RITs positioned near the S and middle of the channel result in a moderately higher spike of the potential barrier and a higher Vth, in comparison to RITs positioned near the D. As well, Case B has the same RITs as Case A, but many of the RITs are located in the vicinity of S and the middle of the channel, which is the opposite of Case A. As a result, it has a similar density of on-state current to Case A. Both Cases B and C have similar Ioff and different Ion, so the on-state current densities are obtained at the surface of the channel, as shown in Figure 10b,c. It can be seen from both cases that Case C has a higher number of RITs. In contrast to Case B, Case C has a low on-state current. RITs have been shown to induce on-state current densities that are related to the number of RITs and the position of those RITs. Therefore, the RITs positioned distant from the S have depleted interactions with mobile electrons owing to the moderately higher drift velocity and electron transport energy. In addition, several local spikes of potential barriers continue to effectively obstruct surface current conduction, which is even greater than that encountered by RITs near the S. Moreover, Figure 10a3–c3 illustrate the off-state current densities for each case under high Dit levels.

3.3. Impact of RITs on Drain Cureent Mismatch

Figure 11a–c show the RIT-induced fluctuated drain current mismatch versus gate voltage of the investigated devices [64]. Normally, the mismatch is calculated from the linear difference between two drain current values of fluctuated devices; that is ΔID/ID = (ID,j+1 − ID,j)/ID,j, where ID,j+1 − ID,j are two arbitrary adjacent drain currents for j = 1, …, 196. In fact, the drain current is mismatched for small changes in two drain currents as a result of trap capture and emission at the interface. A noteworthy point is that, in the high Dit, the variability is higher than in the other levels. Specifically, the low Dit has almost no mismatch. However, the RITs, which are acceptor-like traps, can capture electrons in the channel, resulting in an improvement in the mismatch at three levels of Dit. Moreover, the increase in RITs also results in a significant increase in the mismatch. For medium and low Dit values, using the standard linear difference of drain current may result in almost zero. Figure 12 illustrates the calculation of the standard deviation of the drain current mismatch σ(ΔID/ID) versus the gate voltage, normalized by (WFIN × LG)1/2 [65]. For the high Dit, we observe that the normalized standard deviation of drain current mismatch is significant. Furthermore, because of the increased conduction in the channel at gate voltages above the Vth region, the standard deviation of drain current mismatch is significantly higher than in other regions.

3.4. Impact of RITs on RTS Noise

It has been extensively calculated that the random telegraph signal (RTS) noise is significant in the characterization of interface traps in MOSFETs [66]. RTS effects were modeled using a quasi-static statistical framework, avoiding full time-domain simulations to maintain computational efficiency across large 3D ensembles. Capture and emission times were calculated from trap parameters, and occupancy probabilities were derived using Fermi–Dirac statistics under bias. Device behavior was then sampled across randomized trap configurations to emulate RTS-induced current fluctuations. The resulting amplitude distributions were consistent with reported time-resolved RTS measurements in nanoscale FinFETs, confirming the robustness of the approach. It is thought that the relative change in the drain current (RTS) is caused by the random trapping of electrons in the channel region. Under three levels of Dit, Figure 13a–c show the calculated RTS variations versus the gate voltage induced by RITs. It is observed that the RTS magnitude varies with the gate voltage, i.e., at the threshold voltage the RTS magnitude is high under the three levels of Dit. It has been observed that RTS magnitude is increasing under high Dit conditions. Furthermore, under high Dit, RTS variation also increases. As a result, the impact of RITs on RTS variation is marginal for medium Dit. RTIs have a relatively small impact on RTS magnitude and variation for low Dit. The high Dit of the RITs, therefore, has a greater impact on the RTS magnitude than other factors. RITs-fluctuated transconductance efficiency (gm/ID) versus gate voltage for three different levels of Dit, as shown in Figure 14a–c. gm/ID, is a design metric that measures the maximum transconductance that a device can provide at a given bias. At low gate voltage it should be saturated to a constant.
Figure 14a illustrates the severe effects of RITs on gm/ID under high Dit conditions. Additionally, the variations of gm/ID with the high Dit are more significant than those with the low Dit.

3.5. Impact of RITs on AC Characteristics

A major AC characteristic is parasitic capacitance, which is the total gate capacitance (CG) directly derived from AC curves under strong inversion. Figure 15a–a″ illustrate the RIT-induced CG-VG characteristic fluctuations under the three levels of Dit, with an operating frequency of 10 GHz and a drain voltage of 0.05 volts. It was found that CG-VG characteristics have higher RIT fluctuations at high levels of Dit; particularly significant variations are observed in the region above the threshold voltage. Due to the large number of charge carriers at high gate voltages, interface traps are more likely to capture and emit charge, resulting in significant fluctuation. As shown in the inset of Figure 15a, we calculated CG versus the number of RITs for each level of Dit. Furthermore, the reductions in CG are observed under the biasing of VG = 0.6 V with an increased number of RITs under the three levels of Dit. A significant fluctuation in CG has been observed at the high level of Dit. Under the three levels of Dit, Table 2 shows the statistical variations in CG induced by RITs. The comparison is made between CG values at different gate voltages since the capacitance is dominated by the depletion region and the inversion charge at low and high gate biases, respectively. Despite this, the RITs-induced CG fluctuation is increased with increased gate voltage due to the increased occurrence of trap capture and emission of conduction carriers within the channel caused by RITs. Specifically, a significant variation is observed for the explored devices at high Dit and gate voltage levels. Our study shows that the CG value is very small in comparison with reported values [56] under high Dit.

3.6. Significance of RITs on RF Characteristics

The inset of Figure 16a depicts a common-source amplifier circuit for high frequency (RF) characteristic fluctuation. There is a sinusoidal wave input to the circuit with an amplitude of 0.05 volts, and the circuit operates between VG = 0.4 V and VD = 0.5 V. The fluctuated curves of voltage gain in dB versus the frequency of input signal induced by RITs under three levels of Dit are shown in Figure 16a–a″, respectively. It has been noted that the fresh device (red line) has a voltage gain of 11.9 dB. We calculate the voltage gain at a frequency of 107 Hz, we estimate fT using the unitary voltage gain, and we estimate f3dB using the 3-dB point voltage gain as defined by
3   dB = 20 l o g 10   ( 0.707   ×   V out V in ) .
It is observed that the significant voltage gain fluctuations under the low frequency, the signal frequency increases the reductions in voltage gain fluctuations for the three levels of Dit. As a result of the increased level of Dit, voltage gain fluctuations are further increased. A voltage gain of unity is generated at the cutoff frequency and the fT is defined as [67]
f T = g m 2 π C G
In this equation, gm and CG represent the transconductance and gate capacitance, respectively. According to the fresh device, the voltage gain, the f3dB, and the fT, are respectively, 11.9 dB, 35.5 GHz, and 168 GHz. As shown in the inset of Figure 6a and Figure 15a, the fT fluctuations are affected by the results of the gm and CG fluctuations. Comparing the simulated devices to previously reported values, the simulated devices display an outstanding fT [6,68]. Compared with other frequencies, significant voltage gain fluctuations are observed at 107 Hz. Moreover, as shown in Figure 16b, voltage gain fluctuations are significantly reduced with increasing numbers of RITs, and they vary by 106%, 13.3%, and 1% for three levels of Dit. Figure 16b,c insets show the tendency of voltage gain, fT, and f3dB as a function of characteristics of the device and circuit element. As the number of RITs increases, the fT fluctuation decreases, but significant fluctuations occur at high RIT levels. For the three levels of Dit, from high to low, the statistical variation of fT fluctuation is 130%, 20.9%, and 1.7%. Similarly, marginal f3dB fluctuations can be observed at all three levels of Dit. In the case of high-level and low-level Dit, the fluctuation variation of f3dB is 9.2%, 4.9%, and 0.7%, respectively. Moreover, as Vth increases, the output resistance of the transistor (Rout), ro, increases as well. Our recent study provides a detailed description of the physical mechanism [67]. The voltage gain of the studied RF circuit is proportional to the resistance of the output and gm. By increasing the number of RITs, the Ion of the transistor, which is associated with the RF circuit’s output current, decreases and, thus, the circuit’s output voltage increases. As a result, the tendency for voltage gain fluctuations is dominated by an increase in output resistance with increasing Vth. In Figure 7a–a″, the Vth increases as the number of RITs increases. Figure 16c illustrates the relationship between the fT and the number of RITs. As the number of RITs increases, the fluctuations in fT are reduced, resulting in a fluctuation variation of 130% at zero voltage gain. Earlier, it was noted that the fT is proportional to gm/CG in the expression (3). Thus, reducing the gm and increasing the CG fluctuation values can decrease the fT fluctuations. Figure 16d shows f3dB versus the number of RITs for the three levels of Dit, and its fluctuation variation is 9.2%, 4.9%, and 0.7%. Therefore, under the three levels of Dit, the studied devices are almost independent at f3dB fluctuations. Figure 17a illustrates the fluctuation of f3dB versus fT of the RF circuit induced by RITs at three levels of Dit. A decrease in fT fluctuation results in a decrease in the magnitude of f3dB fluctuation. As shown in Figure 15a, the fluctuation of fT and f3dB is dominated by the CG and is reduced when compared with the fresh device. The relationship between fT and f3dB fluctuations versus voltage gain fluctuations for the RF circuit is illustrated in Figure 17b,c, where the filled red circle represents the fresh device. The fT and f3dB are decreased as the voltage gain of the RF circuit is decreased. According to Figure 17b,c, there is a decrease in the tendency of RF circuit voltage gain fluctuation due to the gm, as compared with the fresh device. As the number of RITs increases, the gm fluctuation decreases, as shown in the inset of Figure 6a. CG fluctuation accompanied by a decreasing gm result in the reduction of fT and f3dB for an increasing number of RITs. Based on SRH estimates (τ ≈ 1/(σvth)), the effective response frequency of interface traps in our study lies in the 108–1011 Hz range, consistent with reported HKMG devices. Thus, traps contribute to dispersion in C_G and gain within this frequency window, while their impact diminishes at higher RF frequencies where they can no longer follow the signal. Under the three levels of Dit, Table 3 summarizes and lists the normalized variation of fluctuation caused by RITs. According to the comparison, the SCE parameters, output characteristic parameters, and RF circuit parameters fluctuation variations increase with the increase in Dit.

3.7. Significance of Interface Trap Random Position on RF and AC Characteristics

We study three different scenarios for calculating the effect of random position of RITs on both AC and RF characteristics. Figure 18a illustrates the adapted profiles for RITs near the source end, in the middle of channel, and near the drain end, respectively. Three groups according to RIT distribution are categorized: group 1: RITs located near the source end (two RITs located near the drain and middle of channel), group 2: RITs located in the middle of channel (two RITs located near the drain and source ends), and group 3: RITs located near the drain end (two RITs located near the source and middle of channel). Each time, only one group is filled with randomly generated RITs. Figure 18b shows the distribution of RITs for the three groups of devices, with an average of 17 RITs per group. There is a range of 5 to 30 RIT numbers in each device. In this manner, we will be able to study the fluctuation of RF and AC characteristics in channel as a result of RIT number and position at the same time. Following that, we investigate how RITs affect CG and RF characteristics near the source end, in the middle of channel, and near the drain end. In the case of devices under high Dit, Figure 19a,c plot of the RITs fluctuated CG versus the gate voltage of the RITs near the source end, in the middle of channel, and near the drain end, respectively [69,70]. In the below threshold region, for three groups, the CG fluctuation is very low. There is an increase in the CG fluctuation for three groups in the just above threshold region. In addition, devices in the saturation region are more susceptible to fluctuations in the CG. Furthermore, the saturation region CG fluctuation becomes significant in the RITs located near source end, compared with the other two groups.
In addition, the fluctuation of high-frequency characteristics with the three different groups are mainly followed by Figure 16. As shown in Figure 20a–c, the RITs fluctuated curves of voltage gain in dB versus the frequency of input signal under high Dit with three groups, RITs near the source end, middle of channel, and near the drain end. First, we compared devices with RITs located at the source end, at the middle of channel, and at the drain end. In three groups, voltage gain fluctuations are reduced when the signal frequency is low, whereas they increase when the signal frequency is high. Additionally, the RITs located near the source end contribute to the significant fluctuations in voltage gain. Figure 20c illustrates that the RITs located near the drain end are more resistant to RITs.
The high-frequency characteristics fluctuation in voltage gain, fT and f3dB for the devices under high Dit with the three groups, RITs near source end, in the middle of channel, near drain end devices are further explored. For three groups of devices, the voltage gain, fT and f3dB fluctuations are shown in Figure 21a,c. Moreover, the voltage gain fluctuations decrease significantly with the increasing number of RITs, as shown in Figure 21a, and they are decreasing for three groups of devices as well. In devices with RITs located near the source end, significant fluctuations in voltage gain have been observed. As compared to RITs near source end devices, the near drain end devices exhibit a 23.4% reduction in fluctuation. As the number of RITs increases, the fT fluctuations decrease for all three groups, as shown in Figure 21b. In comparison with other devices, devices with RITs located near the source end show significant fT fluctuations. RITs near the drain end have a 38.4% decrease in fluctuation compared to RITs near the source end. Additionally, three groups of devices exhibit marginal fluctuations in f3dB. A detailed description of the physical mechanism can be found in Subsection F. As shown in Table 4, the mean and standard deviation of RIT fluctuations under high Dit are summarized with three groups of devices, including the original device. As a result of the comparison, it has been found that the RF circuit parameters fluctuate significantly with devices having RITs located near the source end.

4. Conclusions

In summary, we have demonstrated that random interface traps (RITs) induce significant fluctuations in the DC, AC, and RF characteristics of HKMG bulk FinFETs at three different Dit levels. Despite devices having the same number of RITs, the random spatial distribution results in distinct variability trends. Quantitatively, under high Dit conditions, the variability of key device parameters is severe: Vth variation reaches ~25.6%, Ioff spreads up to ~145%, and Ion fluctuates by ~40%. In the RF domain, voltage gain fluctuates by ~107%, cut-off frequency (fT) by ~130%, while f3dB remains relatively stable with ~9% variation. These results indicate that traps positioned near the source end strongly enhance variability, whereas traps near the drain end lead to relatively smaller fluctuations in gate capacitance, voltage gain, and RF figures of merit. Compared to previous studies that primarily focused on DC variability, this work provides the first unified statistical 3D device simulation framework quantifying the impact of RITs on DC, AC, and RF domains simultaneously. The findings highlight the critical importance of Dit control and trap spatial distribution in sub-5 nm FinFET design, and suggest that minimizing trap activity near the source region can effectively mitigate variability in both digital and RF applications.

Author Contributions

Conceptualization, S.R.K. and Y.L.; methodology, S.R.K. and Y.L.; software, S.R.K. and Y.L.; validation, S.R.K. and Y.L.; formal analysis, S.R.K. and Y.L.; investigation, S.R.K. and Y.L.; resources, Y.L.; data curation, S.R.K.; writing—original draft preparation, S.R.K. and Y.L.; writing—review and editing, S.R.K. and Y.L.; visualization, S.R.K. and Y.L.; supervision, Y.L.; project administration, Y.L.; funding acquisition, Y.L. All authors have read and agreed to the published version of the manuscript.

Funding

This work was supported in part by the National Science and Technology Council (NSTC), Taiwan, under Grant NSTC 113-2221-E-A49-094, under Grant NSTC 112-2221-E-A49-171, and Grant NSTC 112-2218-E-006-009-MBK.

Data Availability Statement

The original contributions presented in this study are included in the article. Further inquiries can be directed to the corresponding author.

Conflicts of Interest

The authors declare no conflicts of interest.

Abbreviations

The following abbreviations are used in this manuscript:
DitDensity of Interface Trap
HKMGHigh-κ metal gate
RITRandom Interface Trap
FinFETFin Field-Effect Transistor

References

  1. Nagy, D.; Espineira, G.; Indalecio, G.; Garcia-Loureiro, A.J.; Kalna, K.; Seoane, N. Benchmarking of FinFET, Nanosheet, and Nanowire FET Architectures for Future Technology Nodes. IEEE Access 2020, 8, 53196–53202. [Google Scholar] [CrossRef]
  2. Gupta, A.; Mertens, H.; Tao, Z.; Demuynck, S.; Bommels, J.; Arutchelvan, G.; Devriendt, K.; Pedreira, O.V.; Ritzenthaler, R.; Wang, S.; et al. Buried Power Rail Integration with Si FinFETs for CMOS Scaling beyond the 5 Nm Node. IEEE Trans. Electron. Devices 2020, 67, 5349–5354. [Google Scholar] [CrossRef]
  3. Ciou, F.M.; Lin, J.H.; Chen, P.H.; Chang, T.C.; Chang, K.C.; Hsu, J.T.; Lin, Y.S.; Jin, F.Y.; Hung, W.C.; Yeh, C.H.; et al. Comparison of the Hot Carrier Degradation of N- And P-Type Fin Field-Effect Transistors in 14-Nm Technology Nodes. IEEE Electron. Device Lett. 2021, 42, 1420–1423. [Google Scholar] [CrossRef]
  4. Das, U.K.; Hussain, M.M. Benchmarking Silicon FinFET with the Carbon Nanotube and 2D-FETs for Advanced Node CMOS Logic Application. IEEE Trans. Electron. Devices 2021, 68, 3643–3648. [Google Scholar] [CrossRef]
  5. Chiang, C.K.; Pai, H.; Lin, J.L.; Chang, J.K.; Lee, M.Y.; Hsieh, E.; Li, K.S.; Luo, G.L.; Cheng, O.; Chung, S.S. FinFET Plus: A Scalable FinFET Architecture with 3D Air-Gap and Air-Spacer Toward the 3nm Generation and Beyond. In Proceedings of the 2021 International Symposium on VLSI Technology, Systems and Applications (VLSI-TSA), Sinchu, Taiwan, 19–22 April 2021; pp. 2–3. [Google Scholar] [CrossRef]
  6. International Roadmap for Devices and SystemsTM. Available online: https://irds.ieee.org/editions/2021 (accessed on 10 August 2025).
  7. Kushwaha, P.; Agarwal, H.; Lin, Y.K.; Kao, M.Y.; Duarte, J.P.; Chang, H.L.; Wong, W.; Fan, J.; Xia, Y.; Chauhan, Y.S.; et al. Modeling of Advanced RF Bulk FinFETs. IEEE Electron. Device Lett. 2018, 39, 791–794. [Google Scholar] [CrossRef]
  8. Lu, P.; Colombeau, B.; Hung, S.; Li, W.; Duan, X.; Li, Y.; Bazizi, E.M.; Natarajan, S.; Woo, J.C.S. Source/Drain Extension Doping Engineering for Variability Suppression and Performance Enhancement in 3-Nm Node FinFETs. IEEE Trans. Electron. Devices 2021, 68, 1352–1357. [Google Scholar] [CrossRef]
  9. Wu, S.Y.; Lin, C.Y.; Chiang, M.C.; Liaw, J.J.; Cheng, J.Y.; Yang, S.H.; Tsai, C.H.; Chen, P.N.; Miyashita, T.; Chang, C.H.; et al. A 7nm CMOS Platform Technology Featuring 4th Generation FinFET Transistors with a 0.027um2 High Density 6-T SRAM Cell for Mobile SoC Applications. In Proceedings of the 2016 IEEE International Electron Devices Meeting (IEDM), San Francisco, CA, USA, 3–7 December 2017; pp. 2.6.1–2.6.4. [Google Scholar] [CrossRef]
  10. Sreenivasulu, V.B.; Nelam, A.K.; Kola, S.R.; Singh, J.; Li, Y. Exploring the Performance of 3-D Nanosheet FET in Inversion and Junctionless Modes: Device and Circuit-Level Analysis and Comparison. IEEE Access 2023, 11, 90421–90429. [Google Scholar] [CrossRef]
  11. Nagy, D.; Indalecio, G.; Garcia-Loureiro, A.J.; Elmessary, M.A.; Kalna, K.; Seoane, N. FinFET versus Gate-All-around Nanowire FET: Performance, Scaling, and Variability. IEEE J. Electron. Devices Soc. 2018, 6, 332–340. [Google Scholar] [CrossRef]
  12. Yoon, J.S.; Jeong, J.; Lee, S.; Baek, R.H. Systematic DC/AC Performance Benchmarking of Sub-7-Nm Node FinFETs and Nanosheet FETs. IEEE J. Electron. Devices Soc. 2018, 6, 942–947. [Google Scholar] [CrossRef]
  13. Eng, Y.C.; Hu, L.; Chang, T.F.; Hsu, S.; Chiou, C.M.; Wang, T.; Yang, C.W.; Cheng, O.; Wang, C.Y.; Tseng, C.S.; et al. Importance of Δ VDIBLSS/(Ion /Ioff) in Evaluating the Performance of n-Channel Bulk FinFET Devices. IEEE J. Electron. Devices Soc. 2018, 6, 207–213. [Google Scholar] [CrossRef]
  14. Lederer, D.; Parvais, B.; Mercha, A.; Collaert, N.; Jurczak, M.; Raskin, J.P.; Decoutere, S. Dependence of FinFET RF Performance on Fin Width. In Proceedings of the Digest of Papers. 2006 Topical Meeting on Silicon Monolithic Integrated Circuits in RF Systems, San Diego, CA, USA, 8–20 January 2006; pp. 8–11. [Google Scholar] [CrossRef]
  15. Razavieh, A.; Chen, Y.; Ethirajan, T.; Gu, M.; Cimino, S.; Shimizu, T.; Hassan, M.K.; Morshed, T.; Singh, J.; Zheng, W.; et al. Extremely-Low Threshold Voltage FinFET for 5G MmWave Applications. Kola 2021, 9, 165–169. [Google Scholar] [CrossRef]
  16. Li, Y.; Cheng, H.W. Random Interface-Traps-Induced Electrical Characteristic Fluctuation in 16-Nm-Gate High-κ/Metal Gate Complementary Metal-Oxide-Semiconductor Device and Inverter Circuit. Jpn. J. Appl. Phys. 2012, 51, 04DC08. [Google Scholar] [CrossRef]
  17. Seoane, N.; Fernandez, J.G.; Kalna, K.; Comesana, E.; Garcia-Loureiro, A. Simulations of Statistical Variability in N-Type FinFET, Nanowire, and Nanosheet FETs. IEEE Electron. Device Lett. 2021, 42, 1416–1419. [Google Scholar] [CrossRef]
  18. Vincent, B.; Hathwar, R.; Kamon, M.; Ervin, J.; Schram, T.; Chiarella, T.; Demuynck, S.; Baudot, S.; Siew, Y.K.; Kubicek, S.; et al. Process Variation Analysis of Device Performance Using Virtual Fabrication: Methodology Demonstrated on a CMOS 14-Nm FinFET Vehicle. IEEE Trans. Electron. Devices 2020, 67, 5374–5380. [Google Scholar] [CrossRef]
  19. Makarov, A.; Linten, D.; Tyaginov, S.; Kaczer, B.; Roussel, P.; Chasin, A.; Vandemaele, M.; Hellings, G.; El-Sayed, A.M.; Jech, M.; et al. Stochastic Modeling of the Impact of Random Dopants on Hot-Carrier Degradation in n-FinFETs. IEEE Electron. Device Lett. 2019, 40, 870–873. [Google Scholar] [CrossRef]
  20. Wang, L.; Brown, A.R.; Nedjalkov, M.; Alexander, C.; Cheng, B.; Millar, C.; Asenov, A. Impact of Self-Heating on the Statistical Variability in Bulk and SOI FinFETs. IEEE Trans. Electron. Devices 2015, 62, 2106–2112. [Google Scholar] [CrossRef]
  21. Wang, X.; Brown, A.R.; Cheng, B.; Asenov, A. Statistical Variability and Reliability in Nanoscale FinFETs. In Proceedings of the 2011 International Electron Devices Meeting, Washington, DC, USA, 5–7 December 2011; pp. 1–4. [Google Scholar] [CrossRef]
  22. Sumangala, M.P.; Shylendra, A.; Frank, D.J.; Ando, T.; Trivedi, A.R. A Simulation Study on Minimizing Threshold Voltage Variability by Optimizing Oxygen Vacancy Concentration under Metal Gate Granularity. IEEE Electron. Device Lett. 2020, 41, 1396–1399. [Google Scholar] [CrossRef]
  23. Kola, S.R.; Li, Y.; Chen, C.; Chuang, M. A Unified Statistical Analysis of Comprehensive Fluctuations of Gate-All-Around Silicon Nanosheet MOSFETs Induced by RDF, ITF, and WKF Simultaneously. In Proceedings of the 2022 23rd International Symposium on Quality Electronic Design (ISQED), Santa Clara, CA, USA, 6–7 April 2022; pp. 1–6. [Google Scholar] [CrossRef]
  24. Butola, R.; Li, Y.; Kola, S.R.; Chen, C.Y.; Chuang, M.H. Artificial Neural Network-Based Modeling for Estimating the Effects of Various Random Fluctuations on DC/Analog/RF Characteristics of GAA Si Nanosheet FETs. IEEE Trans. Microw. Theory Tech. 2022, 70, 4835–4848. [Google Scholar] [CrossRef]
  25. Butola, R.; Li, Y.; Kola, S.R. A Machine Learning Approach to Modeling Intrinsic Parameter Fluctuation of Gate-All-Around Si Nanosheet MOSFETs. IEEE Access 2022, 10, 71356–71369. [Google Scholar] [CrossRef]
  26. Kola, S.R.; Li, Y.; Thoti, N. Characteristics of Gate-All-Around Silicon Nanowire and Nanosheet MOSFETs with Various Spacers. In Proceedings of the 2020 International Conference on Simulation of Semiconductor Processes and Devices (SISPAD), Kobe, Japan, 23 September–6 October 2020; pp. 79–82. [Google Scholar] [CrossRef]
  27. Kola, S.R.; Chuang, M.H.; Li, Y. Characteristics Fluctuation of Sub-3-Nm Bulk FinFET Devices Induced by Random Interface Traps. In Proceedings of the 2023 IEEE 23rd International Conference on Nanotechnology (NANO), Jeju City, Republic of Korea, 2–5 July 2023; pp. 917–922. [Google Scholar] [CrossRef]
  28. Fan, M.L.; Hu, V.P.H.; Chen, Y.N.; Su, P.; Chuang, C.-T. Impacts of Random Telegraph Noise on FinFET Devices, 6T SRAM Cell, and Logic Circuits. In Proceedings of the 2012 IEEE International Reliability Physics Symposium (IRPS), Anaheim, CA, USA, 15–19 April 2012; pp. 2227–2234. [Google Scholar] [CrossRef]
  29. Wang, X.; Cheng, B.; Brown, A.R.; Millar, C.; Kuang, J.B.; Nassif, S.; Asenov, A. Impact of Statistical Variability and Charge Trapping on 14 Nm SOI FinFET SRAM Cell Stability. In Proceedings of the 2013 Proceedings of the European Solid-State Device Research Conference (ESSDERC), Bucharest, Romania, 16–20 September 2013; pp. 234–237. [Google Scholar] [CrossRef]
  30. Rzepa, G.; Waltl, M.; Goes, W.; Kaczer, B.; Grasser, T. Microscopic Oxide Defects Causing BTI, RTN, and SILC on High-k FinFETs. In Proceedings of the 2015 International Conference on Simulation of Semiconductor Processes and Devices (SISPAD), Washington, DC, USA, 9–11 September 2015; pp. 144–147. [Google Scholar] [CrossRef]
  31. Ohguro, T.; Inaba, S.; Kaneko, A.; Okano, K. Technology of FinFET for High RF and Analog/Mixed-Signal Performance Circuits. IEICE Trans. Electron. 2015, E98C, 455–460. [Google Scholar] [CrossRef]
  32. Wang, Y.; Huang, P.; Wei, K.; Zeng, L.; Liu, X.; Du, G.; Zhang, X.; Kang, J. Impact of Random Interface Traps and Random Dopants in High-k /Metal Gate Junctionless FETs. IEEE Trans. Nanotechnol. 2014, 13, 584–588. [Google Scholar] [CrossRef]
  33. Wang, Y.; Wei, K.; Liu, X.; Du, G.; Kang, J. Random Interface Trap Induced Fluctuation in 22nm High-k/Metal Gate Junctionless and Inversion-Mode FinFETs. In Proceedings of the 2013 International Symposium on VLSI Technology, Systems and Application (VLSI-TSA), Hsinchu, Taiwan, 22–24 April 2013; pp. 54–55. [Google Scholar] [CrossRef]
  34. Boksteen, B.K.; Schmitz, J.; Hueting, R.J.E. Interface Trap Density Estimation in FinFETs Using the gm/ID Method in the Subthreshold Regime. IEEE Trans. Electron Devices 2016, 63, 1814–1820. [Google Scholar] [CrossRef]
  35. Yang, H.; Luo, W.; Zhou, L.; Xu, H.; Tang, B.; Simoen, E.; Yin, H.; Zhu, H.; Zhao, C.; Wang, W.; et al. Impact of ALD TiN Capping Layer on Interface Trap and Channel Hot Carrier Reliability of HKMG NMOSFETs. IEEE Electron. Device Lett. 2018, 39, 1129–1132. [Google Scholar] [CrossRef]
  36. Kola, S.R.; Li, Y.; Thoti, N. Random Telegraph Noise in Gate-All-around Silicon Nanowire MOSFETs Induced by a Single Charge Trap or Random Interface Traps. J. Comput. Electron. 2020, 19, 253–262. [Google Scholar] [CrossRef]
  37. Makarov, A.; Linten, D.; Tyaginov, S.; Kaczer, B.; Roussel, P.; Chasin, A.; Vandemaele, M.; Hellings, G.; El-Sayed, A.M.; Jech, M.; et al. Stochastic Modeling of Hot-Carrier Degradation in NFinFETs Considering the Impact of Random Traps and Random Dopants. In Proceedings of the ESSDERC 2019—49th European Solid-State Device Research Conference (ESSDERC), Cracow, Poland, 23–26 September 2019; pp. 262–265. [Google Scholar] [CrossRef]
  38. Butola, R.; Li, Y.; Kola, S.R. Machine Learning Approach to Characteristic Fluctuation of Bulk FinFETs Induced by Random Interface Traps. In Proceedings of the 2022 23rd International Symposium on Quality Electronic Design (ISQED), Santa Clara, CA, USA, 6–7 April 2022; pp. 1–6. [Google Scholar]
  39. Hsu, S.C.; Li, Y. Electrical Charact eristic Fluctuation of 16-Nm-Gate High-κ/Metal Gate Bulk FinFET Devices in the Presence of Random Interface Traps. Nanoscale Res. Lett. 2014, 9, 633. [Google Scholar] [CrossRef]
  40. Yoon, J.S.; Baek, R.H. Device Design Guideline of 5-Nm-Node FinFETs and Nanosheet FETs for Analog/RF Applications. IEEE Access 2020, 8, 189395–189403. [Google Scholar] [CrossRef]
  41. Cheng, H.W.; Li, F.H.; Han, M.H.; Yiu, C.Y.; Yu, C.H.; Lee, K.F.; Li, Y. 3D Device Simulation of Work Function and Interface Trap Fluctuations on High-κ / Metal Gate Devices. In Proceedings of the 2010 International Electron Devices Meeting, San Francisco, CA, USA, 6–8 December 2010; pp. 379–382. [Google Scholar] [CrossRef]
  42. Fan, M.L.; Hu, V.P.H.; Chen, Y.N.; Su, P.; Chuang, C. Te Analysis of Single-Trap-Induced Random Telegraph Noise and Its Interaction with Work Function Variation for Tunnel FET. IEEE Trans. Electron. Devices 2013, 60, 2038–2044. [Google Scholar] [CrossRef]
  43. Adamu-lema, F.; Compagnoni, C.M.; Amoroso, S.M.; Castellani, N.; Gerrer, L.; Markov, S.; Spinelli, A.S.; Member, S.; Lacaita, A.L.; Asenov, A. Accuracy and Issues of the Spectroscopic Analysis of RTN Traps in Nanoscale MOSFETs. IEEE Trans. Electron. Devices 2013, 60, 833–839. [Google Scholar] [CrossRef]
  44. Gerrer, L.; Amoroso, S.; Hussin, R.; Adamu-Lema, F.; Asenov, A. 3D Atomistic Simulations of Bulk, FDSOI and Fin FETs Sensitivity to Oxide Reliability. In Proceedings of the 2014 International Conference on Simulation of Semiconductor Processes and Devices (SISPAD), Yokohama, Japan, 9–11 September 2014; pp. 93–96. [Google Scholar] [CrossRef]
  45. Georgiev, V.P.; Amoroso, S.M.; Gerrer, L.; Adamu-Lema, F.; Asenov, A. Interplay between Quantum Mechanical Effects and a Discrete Trap Position in Ultra-Scaled FinFETs. In Proceedings of the 2015 International Conference on Simulation of Semiconductor Processes and Devices (SISPAD), Washington, DC, USA, 9–11 September 2015; pp. 246–249. [Google Scholar]
  46. Li, Y.; Chang, H.T.; Lai, C.N.; Chao, P.J.; Chen, C.Y. Process Variation Effect, Metal-Gate Work-Function Fluctuation and Random Dopant Fluctuation of 10-Nm Gate-All-around Silicon Nanowire MOSFET Devices. In Proceedings of the 2015 IEEE International Electron Devices Meeting (IEDM), Washington, DC, USA, 7–9 December 2015; pp. 887–890. [Google Scholar] [CrossRef]
  47. Eng, Y.-C.; Hu, L.; Chang, T.-F.; Wang, C.-Y.; Hsu, S.; Cheng, O.; Lin, C.-T.; Lin, Y.-S.; Tsai, Z.-J.; Yang, C.-W.; et al. Significance of Overdrive Voltage in the Analysis of Short-Channel Behaviors of n-FinFET Devices. IEEE J. Electron. Devices Soc. 2022, 10, 281–288. [Google Scholar] [CrossRef]
  48. Kola, S.R.; Li, Y.; Thoti, N. Effects of a Dual Spacer on Electrical Characteristics and Random Telegraph Noise of Gate-All-around Silicon Nanowire p-Type Metal—Oxide—Semiconductor Field-Effect Transistors. Jpn. J. Appl. Phys. 2020, 51, SGGA02. [Google Scholar] [CrossRef]
  49. Young, C.D.; Akarvardar, K.; Baykan, M.O.; Matthews, K.; Ok, I.; Ngai, T.; Ang, K.W.; Pater, J.; Smith, C.E.; Hussain, M.M.; et al. (110) and (100) Sidewall-Oriented FinFETs: A Performance and Reliability Investigation. Solid. State. Electron. 2012, 78, 2–10. [Google Scholar] [CrossRef]
  50. Chang, L.; Ieong, M.; Yang, M. CMOS Circuit Performance Enhancement by Surface Orientation Optimization. IEEE Trans. Electron. Devices 2004, 51, 1621–1627. [Google Scholar] [CrossRef]
  51. Elmessary, M.A.; Nagy, D.; Aldegunde, M.; Garcia-Loureiro, A.J.; Kalna, K. 3D MC Simulations of Strain, Channel Orientation, and Quantum Confinement Effects in Nanoscale Si SOI FinFETs. In Proceedings of the 2016 International Conference on Simulation of Semiconductor Processes and Devices (SISPAD), Nuremberg, Germany, 6–8 September 2016; Volume 110, pp. 229–232. [Google Scholar] [CrossRef]
  52. Goel, A.; Rawat, A.; Rawat, B. Benchmarking of Analog/RF Performance of Fin-FET, NW-FET, and NS-FET in the Ultimate Scaling Limit. IEEE Trans. Electron. Devices 2022, 69, 1298–1305. [Google Scholar] [CrossRef]
  53. Hong, B.H.; Cho, N.; Lee, S.J.; Yu, Y.S.; Choi, L.; Jung, Y.C.; Cho, K.H.; Yeo, K.H.; Kim, D.W.; Jin, G.Y.; et al. Subthreshold Degradation of Gate-All-around Silicon Nanowire Field-Effect Transistors: Effect of Interface Trap Charge. IEEE Electron. Device Lett. 2011, 32, 1179–1181. [Google Scholar] [CrossRef]
  54. Qiu, Y.; Wang, R.; Huang, Q.; Huang, R. A Comparative Study on the Impacts of Interface Traps on Tunneling FET and MOSFET. IEEE Trans. Electron. Devices 2014, 61, 1284–1291. [Google Scholar] [CrossRef]
  55. Cassé, M.; Garros, X.; Weber, O.; Andrieu, F.; Reimbold, G.; Boulanger, F. A Study of N-Induced Traps Due to a Nitrided Gate in High-κ/Metal Gate NMOSFETs and Their Impact on Electron Mobility. Solid. State. Electron. 2011, 65–66, 139–145. [Google Scholar] [CrossRef]
  56. Satter, M.M.; Haque, A. Modeling Effects of Interface Traps on the Gate C-V Characteristics of MOS Devices on Alternative High-Mobility Substrates. Solid. State. Electron. 2010, 54, 621–627. [Google Scholar] [CrossRef]
  57. Adamu-Lema, F.; Georgiev, V.; Asenov, A. Simulation of Statistical Nbti Degradation in 10nm Doped Channel Pfinfets. In Proceedings of the 2019 International Conference on Simulation of Semiconductor Processes and Devices (SISPAD), Udine, Italy, 4–6 September 2019; pp. 8–11. [Google Scholar] [CrossRef]
  58. Ding, J.; Asenov, A. Reliability-Aware Statistical BSIM Compact Model Parameter Generation Methodology. IEEE Trans. Electron. Devices 2020, 67, 4777–4783. [Google Scholar] [CrossRef]
  59. Kola, S.R.; Li, Y.; Chen, C.; Chuang, M.H. Statistical 3D Device Simulation of Full Fluctuations of Gate-All-Around Silicon Nanosheet MOSFETs at Sub-3-Nm Technology Nodes. In Proceedings of the 2022 International Symposium on VLSI Technology, Systems and Applications (VLSI-TSA), Hsinchu, Taiwan, 18–21 April 2022; pp. 2021–2022. [Google Scholar] [CrossRef]
  60. Casś, M.; Tachi, K.; Thiele, S.; Ernst, T. Spectroscopic Charge Pumping in Si Nanowire Transistors with a High- κ /Metal Gate. Appl. Phys. Lett. 2010, 96, 123506. [Google Scholar] [CrossRef]
  61. Beckers, A.; Jazaeri, F.; Grill, A.; Narasimhamoorthy, S.; Parvais, B.; Enz, C. Physical Model of Low-Temperature to Cryogenic Threshold Voltage in MOSFETs. IEEE J. Electron. Devices Soc. 2020, 8, 780–788. [Google Scholar] [CrossRef]
  62. Kola, S.R.; Li, Y.; Thoti, N. Effects of Spacer and Single-Charge Trap on Voltage Transfer Characteristics of Gate-All-around Silicon Nanowire CMOS Devices and Circuits. In Proceedings of the 2020 IEEE 20th International Conference on Nanotechnology (IEEE-NANO), Montreal, QC, Canada, 29–31 July 2020; pp. 217–220. [Google Scholar] [CrossRef]
  63. Andricciola, P.; Tuinhout, H.P.; De Vries, B.; Wils, N.A.H.; Scholten, A.J.; Klaassen, D.B.M. Impact of Interface States on MOS Transistor Mismatch. In Proceedings of the 2009 IEEE International Electron Devices Meeting (IEDM), Baltimore, MD, USA, 7–9 December 2009; pp. 711–714. [Google Scholar] [CrossRef]
  64. Ioannidis, E.G.; Theodorou, C.G.; Haendler, S.; Josse, E.; Dimitriadis, C.A.; Ghibaudo, G. Impact of Source-Drain Series Resistance on Drain Current Mismatch in Advanced Fully Depleted SOI n-MOSFETs. IEEE Electron. Device Lett. 2015, 36, 433–435. [Google Scholar] [CrossRef]
  65. Karatsori, T.A.; Theodorou, C.G.; Josse, E.; Dimitriadis, C.A.; Ghibaudo, G. All Operation Region Characterization and Modeling of Drain and Gate Current Mismatch in 14-Nm Fully Depleted SOI MOSFETs. IEEE Trans. Electron. Devices 2017, 64, 2080–2085. [Google Scholar] [CrossRef]
  66. Ghibaudo, G.; Boutchacha, T. Electrical Noise and RTS Fluctuations in Advanced CMOS Devices. Microelectron. Reliab. 2002, 42, 573–582. [Google Scholar] [CrossRef]
  67. Li, Y.; Hwang, C.H. High-Frequency Characteristic Fluctuations of Nano-MOSFET Circuit Induced by Random Dopants. IEEE Trans. Microw. Theory Tech. 2008, 56, 2726–2733. [Google Scholar] [CrossRef]
  68. Singh, J.; Ciavatti, J.; Sundaram, K.; Wong, J.S.; Bandyopadhyay, A.; Zhang, X.; Li, S.; Bellaouar, A.; Watts, J.; Lee, J.G.; et al. 14-Nm FinFET Technology for Analog and RF Applications. In Proceedings of the 2017 Symposium on VLSI Technology, Kyoto, Japan, 5–8 June 2018; Volume 65, pp. 31–37. [Google Scholar] [CrossRef]
  69. Lee, K.F.; Li, Y.; Hwang, C.H. Asymmetric Gate Capacitance and Dynamic Characteristic Fluctuations in 16 Nm Bulk MOSFETs Due to Random Distribution of Discrete Dopants. Semicond. Sci. Technol. 2010, 25, 045006. [Google Scholar] [CrossRef]
  70. Li, Y. Random Nanosized Metal Grains and Interface-Trap Fluctuations in Emerging CMOS Technologies; Elsevier Ltd.: Amsterdam, The Netherlands, 2019; Volume 5, ISBN 9780128122952. [Google Scholar]
Figure 1. The affirmation of simulated (line) and experimental (symbol) ID-VG curves of the 16-nm-gate, WFIN = 6 nm, and HFIN = 52 nm N-type bulk FinFET with tsmc® experimental data [9].
Figure 1. The affirmation of simulated (line) and experimental (symbol) ID-VG curves of the 16-nm-gate, WFIN = 6 nm, and HFIN = 52 nm N-type bulk FinFET with tsmc® experimental data [9].
Processes 13 03103 g001
Figure 2. (a) The ID-VG characteristics of the explored fresh bulk FinFET device with the channel-length scaling from 16 to 10 nm, where the inset table summarizes the effect of LG scaling on SCE parameters. (b) A plot of the Vth roll-off in bulk FinFETs. The inset in (b) indicates the scaling of gate length across the technology node.
Figure 2. (a) The ID-VG characteristics of the explored fresh bulk FinFET device with the channel-length scaling from 16 to 10 nm, where the inset table summarizes the effect of LG scaling on SCE parameters. (b) A plot of the Vth roll-off in bulk FinFETs. The inset in (b) indicates the scaling of gate length across the technology node.
Processes 13 03103 g002
Figure 3. (a) A 3D schematic plot of the bulk FinFET with the gate stack of TiN/high-κ/SiO2 and Si. (b) The RITs appear at the interface of the gate insulator and channel. (ce) The three sources of interface traps are generated by using the random process of 1506 and 377 traps in large planes for the bulk FinFETs. The concentration of RITs is around 1.5 × 1012 cm−2 of all planes and the generated total number of traps and its concentration is driven by the Poisson distribution. (c′e′) The Poisson distribution of the statistically generated RITs for the bulk FinFETs according to each plane. (f) The Dit in each plane. (g) The density of trap (denoted as Dit) on the plane is assigned according to the distribution of the trap’s energy. (h) The stepwise simulation flow of RITs generation and assignment of 196 samples.
Figure 3. (a) A 3D schematic plot of the bulk FinFET with the gate stack of TiN/high-κ/SiO2 and Si. (b) The RITs appear at the interface of the gate insulator and channel. (ce) The three sources of interface traps are generated by using the random process of 1506 and 377 traps in large planes for the bulk FinFETs. The concentration of RITs is around 1.5 × 1012 cm−2 of all planes and the generated total number of traps and its concentration is driven by the Poisson distribution. (c′e′) The Poisson distribution of the statistically generated RITs for the bulk FinFETs according to each plane. (f) The Dit in each plane. (g) The density of trap (denoted as Dit) on the plane is assigned according to the distribution of the trap’s energy. (h) The stepwise simulation flow of RITs generation and assignment of 196 samples.
Processes 13 03103 g003
Figure 4. (aa″) The RITs fluctuated ID-VG curves of the device at VD = 0.6 V with respect to the high, medium, and low levels of Dit, respectively, where the red line indicates the ID-VG curve of fresh device. Similarly, (bb″) the RITs fluctuated ID-VG curves of the device at VD = 0.05 V. (cc″) The RITs fluctuated ID-VD characteristics. The variation percentage is calculated by (6σ/μ) × 100%, where σ is the standard deviation, and μ is the average value.
Figure 4. (aa″) The RITs fluctuated ID-VG curves of the device at VD = 0.6 V with respect to the high, medium, and low levels of Dit, respectively, where the red line indicates the ID-VG curve of fresh device. Similarly, (bb″) the RITs fluctuated ID-VG curves of the device at VD = 0.05 V. (cc″) The RITs fluctuated ID-VD characteristics. The variation percentage is calculated by (6σ/μ) × 100%, where σ is the standard deviation, and μ is the average value.
Processes 13 03103 g004
Figure 5. (aa″) The fluctuated gd-VD characteristics of high, medium, and low levels of Dit under the various gate biasing conditions. (bb″) The fluctuated gm-VG characteristics under the linear and saturation regimes for three varieties of Dit.
Figure 5. (aa″) The fluctuated gd-VD characteristics of high, medium, and low levels of Dit under the various gate biasing conditions. (bb″) The fluctuated gm-VG characteristics under the linear and saturation regimes for three varieties of Dit.
Processes 13 03103 g005
Figure 6. (a) The gm,max fluctuation versus the number of RITs at the VD = VG = 0.6 V for the three levels of Dit, where the black line indicates the gm,max of the fresh device. (b) The gd,max fluctuation versus the number of RITs at the VD = VG = 0.6 V for the three levels of Dit, where the black line represents the gd,max of the fresh device.
Figure 6. (a) The gm,max fluctuation versus the number of RITs at the VD = VG = 0.6 V for the three levels of Dit, where the black line indicates the gm,max of the fresh device. (b) The gd,max fluctuation versus the number of RITs at the VD = VG = 0.6 V for the three levels of Dit, where the black line represents the gd,max of the fresh device.
Processes 13 03103 g006
Figure 7. (a′a‴) RITs fluctuated Vth versus the number of RITs under the three levels of Dit, where the black line represents the fresh device Vth. In Figure (a′), both Cases A and B are the same number of RITs, but different values of Vth, and both Cases B and C are the same value of Vth but different number of RITs for the random position and number effect, respectively. (ac) are the simulated devices’ electrostatic potential according to Cases A, B, and C, respectively. (a1c1) All the device channel regions under the presence of RITs. (a2c2) Devices at on-state (VD = VG = 0.6 V) electrostatic potential are extracted at the surface of the channel. The corresponding on-state electrostatic potential of (ac) are shown in (a2c2), respectively. (a3c3) and (a4c4) are the extracted electrostatic potential of all the side fins of Cases A, B, and C. (a5c5) are the electrostatic potential of the top fins of the three Cases, respectively. (a1a3) are the plots of the corresponding 3D charge density of the Cases A, B, and C in the channel, respectively.
Figure 7. (a′a‴) RITs fluctuated Vth versus the number of RITs under the three levels of Dit, where the black line represents the fresh device Vth. In Figure (a′), both Cases A and B are the same number of RITs, but different values of Vth, and both Cases B and C are the same value of Vth but different number of RITs for the random position and number effect, respectively. (ac) are the simulated devices’ electrostatic potential according to Cases A, B, and C, respectively. (a1c1) All the device channel regions under the presence of RITs. (a2c2) Devices at on-state (VD = VG = 0.6 V) electrostatic potential are extracted at the surface of the channel. The corresponding on-state electrostatic potential of (ac) are shown in (a2c2), respectively. (a3c3) and (a4c4) are the extracted electrostatic potential of all the side fins of Cases A, B, and C. (a5c5) are the electrostatic potential of the top fins of the three Cases, respectively. (a1a3) are the plots of the corresponding 3D charge density of the Cases A, B, and C in the channel, respectively.
Processes 13 03103 g007
Figure 8. (a) The RITs fluctuated 1D (cut (a′–c′) from Figure 7 electrostatic potential energy versus channel position from S to D of the Cases A, B, and C under the high Dit, respectively. Similarly, (b) and (c) are the medium and low levels of Dit electrostatic potential profiles.
Figure 8. (a) The RITs fluctuated 1D (cut (a′–c′) from Figure 7 electrostatic potential energy versus channel position from S to D of the Cases A, B, and C under the high Dit, respectively. Similarly, (b) and (c) are the medium and low levels of Dit electrostatic potential profiles.
Processes 13 03103 g008
Figure 9. The RIT fluctuated subthreshold slope versus the number of RITs for the three levels of Dit, where the black line indicates the subthreshold slope value of fresh device.
Figure 9. The RIT fluctuated subthreshold slope versus the number of RITs for the three levels of Dit, where the black line indicates the subthreshold slope value of fresh device.
Processes 13 03103 g009
Figure 10. (a′a‴) The RITs fluctuated Ioff versus the Ion of the bulk FinFETs under the three levels of Dit. The red-filled circle in (a‴) indicates the fresh device. (a,b) are under the high level of Dit for the random position effect both Cases A and B under the similar Ion but different Ioff. (b,c) are the random number effects of RITs, both Cases B and C with similar Ioff but different Ion. (a1c1) All the devices channel regions under the presence of RITs. (a2c2) All the cases’ on-state (VD = VG = 0.6 V) current densities are extracted at the surface of the channel. (a3c3) The channel surface off-state current (VD = 0.6 V and VG = 0 V) density of Cases A, B, and C, respectively.
Figure 10. (a′a‴) The RITs fluctuated Ioff versus the Ion of the bulk FinFETs under the three levels of Dit. The red-filled circle in (a‴) indicates the fresh device. (a,b) are under the high level of Dit for the random position effect both Cases A and B under the similar Ion but different Ioff. (b,c) are the random number effects of RITs, both Cases B and C with similar Ioff but different Ion. (a1c1) All the devices channel regions under the presence of RITs. (a2c2) All the cases’ on-state (VD = VG = 0.6 V) current densities are extracted at the surface of the channel. (a3c3) The channel surface off-state current (VD = 0.6 V and VG = 0 V) density of Cases A, B, and C, respectively.
Processes 13 03103 g010
Figure 11. The RITs fluctuated drain current mismatch ΔID/ID = (ID,j+1 − ID,j)/ID,j, where are two arbitrary adjacent drain currents for j = 1, …, 196, versus the gate voltage of explored bulk FinFET devices with respect to three levels of Dit: (a) high Dit, (b) medium Dit, and (c) low Dit, respectively.
Figure 11. The RITs fluctuated drain current mismatch ΔID/ID = (ID,j+1 − ID,j)/ID,j, where are two arbitrary adjacent drain currents for j = 1, …, 196, versus the gate voltage of explored bulk FinFET devices with respect to three levels of Dit: (a) high Dit, (b) medium Dit, and (c) low Dit, respectively.
Processes 13 03103 g011
Figure 12. Normalized standard deviation of the drain current mismatch versus the gate voltage under the three levels of Dit, where the drain current is normalized by (WFIN × LG)1/2.
Figure 12. Normalized standard deviation of the drain current mismatch versus the gate voltage under the three levels of Dit, where the drain current is normalized by (WFIN × LG)1/2.
Processes 13 03103 g012
Figure 13. The fluctuated relative drain current random telegraph signal amplitude variation [(ID,Fresh − ID,Fluctuated)/ID,Fresh] × 100% versus the gate voltage induced by RITs of the explored bulk FinFET devices under the three levels of the Dit: (a) high Dit, (b) medium Dit, and (c) low Dit, respectively. In figure (c), the inset table shows the maximum value of random telegraph signal amplitude for three levels of Dit.
Figure 13. The fluctuated relative drain current random telegraph signal amplitude variation [(ID,Fresh − ID,Fluctuated)/ID,Fresh] × 100% versus the gate voltage induced by RITs of the explored bulk FinFET devices under the three levels of the Dit: (a) high Dit, (b) medium Dit, and (c) low Dit, respectively. In figure (c), the inset table shows the maximum value of random telegraph signal amplitude for three levels of Dit.
Processes 13 03103 g013
Figure 14. The fluctuated transconductance efficiency (gm/ID) versus the gate voltage induced by RITs under the three levels of Dit of the bulk FinFETs. (a) High Dit, (b) medium Dit, (c) low Dit, respectively.
Figure 14. The fluctuated transconductance efficiency (gm/ID) versus the gate voltage induced by RITs under the three levels of Dit of the bulk FinFETs. (a) High Dit, (b) medium Dit, (c) low Dit, respectively.
Processes 13 03103 g014
Figure 15. (aa″) The RITs-fluctuated gate capacitance versus gate voltage characteristics under the three levels of Dit, respectively, where the red lines indicate a fresh device. The inset in figure (a) is CG fluctuations versus the number of RITs under the three different Dit conditions, where the black line indicates the fresh device gate capacitance.
Figure 15. (aa″) The RITs-fluctuated gate capacitance versus gate voltage characteristics under the three levels of Dit, respectively, where the red lines indicate a fresh device. The inset in figure (a) is CG fluctuations versus the number of RITs under the three different Dit conditions, where the black line indicates the fresh device gate capacitance.
Processes 13 03103 g015
Figure 16. (aa″) The RITs-fluctuated voltage gain versus the frequency curves under the three levels of Dit; the inset in figure (a) is utilized common-source amplifier circuit for RF simulations, where the value of R1 is 50 KΩ, R2 is 10 KΩ, and C is 10−6 F. (b) The fluctuated voltage gain versus the number of RITs with varied Dit. (c) The fluctuated cut-off frequency versus the number of RITs with varied Dit. (d) The fluctuated 3 dB frequency versus the number of RITs under three levels of Dit. The black lines in figures (bd) indicate the fresh device for voltage gain, cut-off frequency, and 3-dB frequency [67], respectively.
Figure 16. (aa″) The RITs-fluctuated voltage gain versus the frequency curves under the three levels of Dit; the inset in figure (a) is utilized common-source amplifier circuit for RF simulations, where the value of R1 is 50 KΩ, R2 is 10 KΩ, and C is 10−6 F. (b) The fluctuated voltage gain versus the number of RITs with varied Dit. (c) The fluctuated cut-off frequency versus the number of RITs with varied Dit. (d) The fluctuated 3 dB frequency versus the number of RITs under three levels of Dit. The black lines in figures (bd) indicate the fresh device for voltage gain, cut-off frequency, and 3-dB frequency [67], respectively.
Processes 13 03103 g016
Figure 17. The high-frequency characteristic fluctuation of bulk FinFET circuit induced by RITs, where the filled red circle indicates the fresh device and empty circles are the RITs fluctuated cases under the three levels of Dit. (a) The RITs fluctuated 3-dB frequency versus the cut-off frequency of the simulated device RF characteristics. (b) The RITs fluctuated cut-off frequency versus the voltage gain. (c) The fluctuated 3-dB frequency versus the voltage gain of the simulated devices.
Figure 17. The high-frequency characteristic fluctuation of bulk FinFET circuit induced by RITs, where the filled red circle indicates the fresh device and empty circles are the RITs fluctuated cases under the three levels of Dit. (a) The RITs fluctuated 3-dB frequency versus the cut-off frequency of the simulated device RF characteristics. (b) The RITs fluctuated cut-off frequency versus the voltage gain. (c) The fluctuated 3-dB frequency versus the voltage gain of the simulated devices.
Processes 13 03103 g017
Figure 18. (a) The LG of bulk FinFET is divided into three parts: 5, 6, and 5 nm, respectively. For the impact of position of RITs on AC and RF characteristics of fluctuated devices, we classify them into three groups: (1) devices with RITs located near the source end, (2) devices with RITs located middle of the channel, and (3) devices with RITs located near the drain end, respectively. (b) The distribution of RITs for the three group devices, where the average number of RITs in each group is 17.
Figure 18. (a) The LG of bulk FinFET is divided into three parts: 5, 6, and 5 nm, respectively. For the impact of position of RITs on AC and RF characteristics of fluctuated devices, we classify them into three groups: (1) devices with RITs located near the source end, (2) devices with RITs located middle of the channel, and (3) devices with RITs located near the drain end, respectively. (b) The distribution of RITs for the three group devices, where the average number of RITs in each group is 17.
Processes 13 03103 g018
Figure 19. The RITs fluctuated gate capacitance versus the gate voltage curves under the high level of Dit, where the red lines indicate a fresh device, the blue lines indicate the average fluctuation. (a) Devices with RITs of Group 1. (b) Devices with RITs of Group 2. (c) Devices with RITs of Group 3.
Figure 19. The RITs fluctuated gate capacitance versus the gate voltage curves under the high level of Dit, where the red lines indicate a fresh device, the blue lines indicate the average fluctuation. (a) Devices with RITs of Group 1. (b) Devices with RITs of Group 2. (c) Devices with RITs of Group 3.
Processes 13 03103 g019
Figure 20. The fluctuated voltage gain versus the frequency curves induced by high Dit with three classified groups, where the red cures indicate the fresh device, blue curves indicate the average fluctuation. (a) Devices with RITs of Group 1. (b) Devices with RITs of Group 2. (c) Devices with RITs of Group 3.
Figure 20. The fluctuated voltage gain versus the frequency curves induced by high Dit with three classified groups, where the red cures indicate the fresh device, blue curves indicate the average fluctuation. (a) Devices with RITs of Group 1. (b) Devices with RITs of Group 2. (c) Devices with RITs of Group 3.
Processes 13 03103 g020
Figure 21. (a) The RITs fluctuated voltage gain versus the number of RITs for three groups, devices RITs of Group 1, devices RITs of Group 2, and devices RITs of Group 3. (b) The RITs fluctuated fT versus the number of RITs under the high Dit condition with three different groups. (c) The RITs fluctuated f3dB versus the number of RITs under high Dit condition with three different groups.
Figure 21. (a) The RITs fluctuated voltage gain versus the number of RITs for three groups, devices RITs of Group 1, devices RITs of Group 2, and devices RITs of Group 3. (b) The RITs fluctuated fT versus the number of RITs under the high Dit condition with three different groups. (c) The RITs fluctuated f3dB versus the number of RITs under high Dit condition with three different groups.
Processes 13 03103 g021
Table 1. List of the adopted parameters of N-type fresh bulk FinFET device and the achieved nominal DC/AC/RF characteristics.
Table 1. List of the adopted parameters of N-type fresh bulk FinFET device and the achieved nominal DC/AC/RF characteristics.
Device ParameterValue
Channel length (nm) (LG)16
Channel doping (cm−3)5 × 1017
S/D extension (nm)5
S/D length 12
Fin height (nm) (HFIN)32
Fin width (nm) (WFIN)8
Aspect ratio (HFIN/WFIN)4
Work function (eV)4.52
S/D doping (cm−3)1 × 1020
Density of RITs (cm−2) 1.5 × 1012
Interface trap energy (eV)0.35–0.55
S/D extension doping (cm−3) 4.8 × 1018
The achieved characteristics of the fresh device and intrinsic RF parameters of a common source amplifier
Threshold voltage (Vth) (mV) 250
Off-state current (Ioff) (A) 2.86 × 10−12
On-state current (Ion) (A) 6.43 × 10−6
Gate capacitance (CG) (aF) 33.37
Voltage gain (dB) 11.82
3-dB frequency (f3dB) (GHz) 35.5
Cut-off frequency (fT) (GHz) 168
Table 2. List of statistical variation of CG fluctuations under different VG under the high, medium, and low levels of Dit.
Table 2. List of statistical variation of CG fluctuations under different VG under the high, medium, and low levels of Dit.
SourceCG Variation(%)
VG = 0 VVG = 0.3 VVG = 0.6 V
Low Dit0.330.310.2
Medium Dit0.452.61.9
High Dit0.85710.6
Table 3. List of statistical variation calculations of SCE and RF circuit parameter induced by RITs under different Dit of bulk FinFETs. The variation percentage is calculated by (6σ/μ) x 100%, where σ is the standard deviation, and μ is the average value.
Table 3. List of statistical variation calculations of SCE and RF circuit parameter induced by RITs under different Dit of bulk FinFETs. The variation percentage is calculated by (6σ/μ) x 100%, where σ is the standard deviation, and μ is the average value.
6σ/μVth (%)Ioff (%)Ion (%)gm (%)gd (%)Gain (%)fT (%)f3dB (%)Ron (%)Rout (%)
Dit
Low Dit0.76.40.50.50.361.11.70.70.41.9
Medium Dit6.452.96.62.65.213.421.04.95.224.7
High Dit25.6145.740.118.831.1106.8130.49.1331.899.7
Table 4. List of mean and statistical deviation of gain, cut-off frequency, and 3-dB frequency fluctuations under high Dit with four different conditions.
Table 4. List of mean and statistical deviation of gain, cut-off frequency, and 3-dB frequency fluctuations under high Dit with four different conditions.
SourceGain (dB)fT (GHz)f3dB (GHz)
Average (μ)Standard Deviation (σ)6σ/μ (%)Average (μ)Standard Deviation (σ)6σ/μ (%)Average (μ)Standard Deviation (σ)6σ/μ (%)
Full random8.251.42103.2799.621.2127.734.860.528.95
Near source7.232.04169.383.425.6184.234.20.6511.4
Middle7.821.64125.895.423.2145.935.60.416.91
Near drain8.921.1678.1115.319.5101.4736.40.6610.87
Disclaimer/Publisher’s Note: The statements, opinions and data contained in all publications are solely those of the individual author(s) and contributor(s) and not of MDPI and/or the editor(s). MDPI and/or the editor(s) disclaim responsibility for any injury to people or property resulting from any ideas, methods, instructions or products referred to in the content.

Share and Cite

MDPI and ACS Style

Kola, S.R.; Li, Y. DC/AC/RF Characteristic Fluctuation of N-Type Bulk FinFETs Induced by Random Interface Traps. Processes 2025, 13, 3103. https://doi.org/10.3390/pr13103103

AMA Style

Kola SR, Li Y. DC/AC/RF Characteristic Fluctuation of N-Type Bulk FinFETs Induced by Random Interface Traps. Processes. 2025; 13(10):3103. https://doi.org/10.3390/pr13103103

Chicago/Turabian Style

Kola, Sekhar Reddy, and Yiming Li. 2025. "DC/AC/RF Characteristic Fluctuation of N-Type Bulk FinFETs Induced by Random Interface Traps" Processes 13, no. 10: 3103. https://doi.org/10.3390/pr13103103

APA Style

Kola, S. R., & Li, Y. (2025). DC/AC/RF Characteristic Fluctuation of N-Type Bulk FinFETs Induced by Random Interface Traps. Processes, 13(10), 3103. https://doi.org/10.3390/pr13103103

Note that from the first issue of 2016, this journal uses article numbers instead of page numbers. See further details here.

Article Metrics

Back to TopTop