Sign in to use this feature.

Years

Between: -

Subjects

remove_circle_outline
remove_circle_outline
remove_circle_outline
remove_circle_outline
remove_circle_outline
remove_circle_outline
remove_circle_outline
remove_circle_outline
remove_circle_outline

Journals

remove_circle_outline
remove_circle_outline
remove_circle_outline
remove_circle_outline
remove_circle_outline
remove_circle_outline
remove_circle_outline
remove_circle_outline
remove_circle_outline
remove_circle_outline
remove_circle_outline
remove_circle_outline
remove_circle_outline
remove_circle_outline
remove_circle_outline
remove_circle_outline
remove_circle_outline
remove_circle_outline
remove_circle_outline
remove_circle_outline

Article Types

Countries / Regions

remove_circle_outline
remove_circle_outline
remove_circle_outline
remove_circle_outline
remove_circle_outline
remove_circle_outline
remove_circle_outline

Search Results (7,113)

Search Parameters:
Keywords = filter paper-based

Order results
Result details
Results per page
Select all
Export citation of selected articles as:
25 pages, 5852 KB  
Article
ADEmono-SLAM: Absolute Depth Estimation for Monocular Visual Simultaneous Localization and Mapping in Complex Environments
by Kaijun Zhou, Zifei Yu, Xiancheng Zhou, Ping Tan, Yunpeng Yin and Huanxin Luo
Electronics 2025, 14(20), 4126; https://doi.org/10.3390/electronics14204126 - 21 Oct 2025
Abstract
Aiming to address the problems of scale uncertainty and dynamic object interference in monocular visual simultaneous localization and mapping (SLAM), this paper proposes an absolute depth estimation network-based monocular visual SLAM method, namely, ADEmono-SLAM. Firstly, some detail features including oriented fast and rotated [...] Read more.
Aiming to address the problems of scale uncertainty and dynamic object interference in monocular visual simultaneous localization and mapping (SLAM), this paper proposes an absolute depth estimation network-based monocular visual SLAM method, namely, ADEmono-SLAM. Firstly, some detail features including oriented fast and rotated brief (ORB) features of input image are extracted. An object depth map is obtained through an absolute depth estimation network, and some reliable feature points are obtained by a dynamic interference filtering algorithm. Through these operations, the potential dynamic interference points are eliminated. Secondly, the absolute depth image is obtained by using the monocular depth estimation network, in which a dynamic point elimination algorithm using target detection is designed to eliminate dynamic interference points. Finally, the camera poses and map information are obtained by static feature point matching optimization. Thus, the remote points are randomly filtered by combining the depth values of the feature points. Experiments on the karlsruhe institute of technology and toyota technological institute (KITTI) dataset, technical university of munich (TUM) dataset, and mobile robot platform show that the proposed method can obtain sparse maps with absolute scale and improve the pose estimation accuracy of monocular SLAM in various scenarios. Compared with existing methods, the maximum error is reduced by about 80%, which provides an effective method or idea for the application of monocular SLAM in the complex environment. Full article
(This article belongs to the Special Issue Digital Intelligence Technology and Applications, 2nd Edition)
Show Figures

Figure 1

21 pages, 4777 KB  
Article
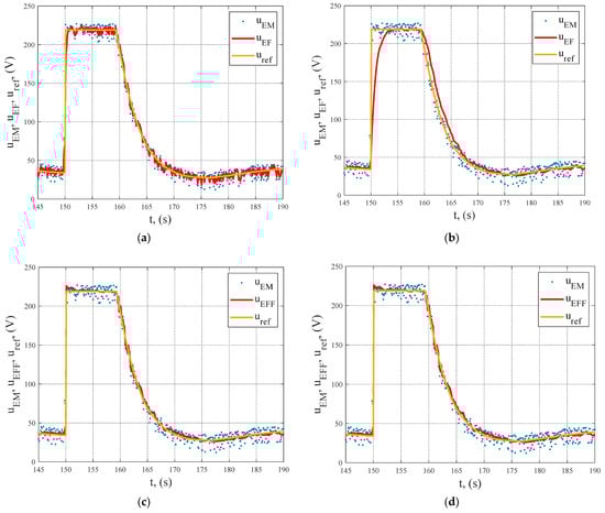
Processing the Sensor Signal in a PI Control System Using an Adaptive Filter Based on Fuzzy Logic
by Jarosław Joostberens, Aurelia Rybak and Aleksandra Rybak
Symmetry 2025, 17(10), 1774; https://doi.org/10.3390/sym17101774 - 21 Oct 2025
Abstract
This paper presents an adaptive fuzzy filter applied to processing a signal from a voltage sensor fed to the input of an object in an automatic temperature control system with a PI controller. (1) The research goal was to develop an algorithm for [...] Read more.
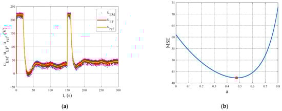
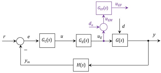
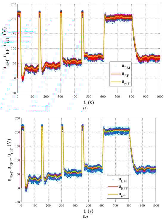
This paper presents an adaptive fuzzy filter applied to processing a signal from a voltage sensor fed to the input of an object in an automatic temperature control system with a PI controller. (1) The research goal was to develop an algorithm for processing the signal from an RMS voltage sensor, measured at the terminals of a heating element in a temperature control system with a PI controller, in a way that ensures good dynamic properties while maintaining an appropriate level of accuracy. (2) The paper presents a method for designing an adaptive fuzzy filter by synthesizing a first-order low-pass infinite impulse response (IIR) filter and a fuzzy model of the dependence of this filter parameter value on the modulus of the derivative of the measured quantity. The application of a model with a symmetric input and output structure and a modified fuzzy model with asymmetry resulting from the uneven distribution of modal values of singleton fuzzy sets at the output was shown. The innovation in the proposed solution is the use of a signal from a PI controller to determine the derivative module of the measured quantity and, using a fuzzy model, linking its instantaneous value with a digital filter parameter in the measurement chain with a sensor monitoring the signal at the input of the controlled object. It is demonstrated that the signal generated by the PI controller can be used in a control system to continuously determine the modulus of the time derivative of the signal measured at the input of the controlled object, also indicating the limitations of this method. The signal from the PI controller can also be used to select filter parameters. In such a situation, it can be treated as a reference signal representing the useful signal. The mean square error (MSE) was adopted as the criterion for matching the signal at the filter output to the reference signal. (3) Based on a comparative analysis of the results of using an adaptive fuzzy filter with a classic first-order IIR filter with an optimal parameter in the MSE sense, it was found that using a fuzzy filter yields better results, regardless of the structure of the fuzzy model used (symmetric or asymmetric). (4) The paper demonstrates that in the tested temperature control system, introducing a simple fuzzy model with one input characterized by three fuzzy sets, relating the modulus of the derivative of the signal developed by the PI controller to the value of the first-order IIR filter parameter, into the voltage sensor signal-processing algorithm gave significantly better results than using a first-order IIR filter with a constant optimal parameter in terms of MSE. The best results were obtained using a fuzzy model in which an intentional asymmetry in the modal values of the output fuzzy sets was introduced. Full article
(This article belongs to the Special Issue Symmetry/Asymmetry in Fuzzy Control)
Show Figures

Figure 1

15 pages, 544 KB  
Article
A GAN-Based Approach Incorporating Dempster–Shafer Theory to Mitigate Rating Noise in Collaborative Filtering
by Ouahiba Belgacem, Boudjemaa Boudaa, Abderrahmane Kouadria and Abdelhafid Abouaissa
Digital 2025, 5(4), 57; https://doi.org/10.3390/digital5040057 - 20 Oct 2025
Abstract
Collaborative filtering (CF) continues to be a fundamental approach in recommendation systems for providing users with personalized suggestions. However, such kind of recommender systems are prone to performance issues when faced with noisy, inconsistent, or deliberately manipulated user ratings. Although Generative Adversarial Networks [...] Read more.
Collaborative filtering (CF) continues to be a fundamental approach in recommendation systems for providing users with personalized suggestions. However, such kind of recommender systems are prone to performance issues when faced with noisy, inconsistent, or deliberately manipulated user ratings. Although Generative Adversarial Networks (GANs) offer promising solutions to capture complex user-item interactions in these CF situations, many existing GAN-based methods assume uniform reliability across all ratings, reducing their effectiveness under uncertain conditions. To overcome this challenge, this paper presents DST-AttentiveGAN to introduce a confidence-aware adversarial framework specifically designed to denoise inconsistent ratings in collaborative filtering scenarios. The proposed approach employs Dempster-Shafer Theory (DST) to compute confidence scores by aggregating diverse behavioral indicators, such as item popularity, user activity, and rating variance. These scores guide both components of the GAN architecture in which the generator incorporates a cross-attention mechanism to highlight trustworthy features, while the discriminator uses DST-based confidence to evaluate the credibility of input ratings. Training is carried out using a stabilized Wasserstein GAN objective that promotes both robustness and convergence efficiency. Experimental results in three benchmark data sets show that DST-AttentiveGAN consistently surpasses conventional GAN-based models, delivering more accurate and reliable recommendations under conditions of uncertainty. Full article
17 pages, 4664 KB  
Article
Enhanced Automatic Span Segmentation of Airborne LiDAR Powerline Point Clouds: Mitigating Adjacent Powerline Interference
by Yi Ma, Guofang Wang, Tianle Liu, Yifan Wang, Hao Geng and Wanshou Jiang
Sensors 2025, 25(20), 6448; https://doi.org/10.3390/s25206448 - 18 Oct 2025
Viewed by 102
Abstract
Extracting powerline point clouds from airborne LiDAR data and conducting 3D reconstruction has become a critical technical support for automatic transmission corridor inspection. To enhance data processing efficiency, this paper proposes an automatic method for span segmentation of powerline point clouds that accounts [...] Read more.
Extracting powerline point clouds from airborne LiDAR data and conducting 3D reconstruction has become a critical technical support for automatic transmission corridor inspection. To enhance data processing efficiency, this paper proposes an automatic method for span segmentation of powerline point clouds that accounts for adjacent powerline interference, aiming to provide “clean” data for the automatic reconstruction of powerline catenary curve models of each span. This method tackles a key challenge in airborne LiDAR data: interference from adjacent or cross-over powerlines when automatically extracting main-line pylon positions and powerline points. Leveraging the spatial relationship between pylons and powerlines in LiDAR point clouds, we developed a fast density clustering algorithm based on a novel point-counting grid (PCGrid), which greatly accelerates DBSCAN clustering while adaptively extracting main-line pylons and powerline point clouds. The method proceeds in three steps: first, using 2D density clustering to extract reliable pylon positions and 3D density clustering to filter out non-main-line point clouds; second, verifying pylon connection combinations via main-line point clouds and identifying the longest line in the connection matrix as the pylons of the main powerline; and third, assigning powerline points to their corresponding spans for segmented reconstruction. Experimental results demonstrate that the proposed PCGrid structure not only significantly improves clustering efficiency, but also enables a fully automated span segmentation process that effectively suppresses adjacent powerline interference, highlighting the novelty of integrating efficient PCGrid-based clustering with spatial-relationship-driven pylon verification into a unified framework for reliable 3D powerline reconstruction. Full article
(This article belongs to the Section Radar Sensors)
Show Figures

Figure 1

26 pages, 17595 KB  
Article
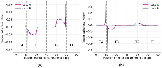
Cogging Torque Reduction of a Flux-Intensifying Permanent Magnet-Assisted Synchronous Reluctance Machine with Surface-Inset Magnet Displacement
by Mihály Katona and Tamás Orosz
Energies 2025, 18(20), 5492; https://doi.org/10.3390/en18205492 - 17 Oct 2025
Viewed by 146
Abstract
This paper investigates the impact of permanent magnet (PM) displacement and flux barrier extension on cogging torque in flux-intensifying permanent magnet-assisted synchronous reluctance machines (FI-PMa-SynRMs) with surface-inset PMs. Unlike prior work centred on average torque, torque ripple, or inductance, we focus on cogging [...] Read more.
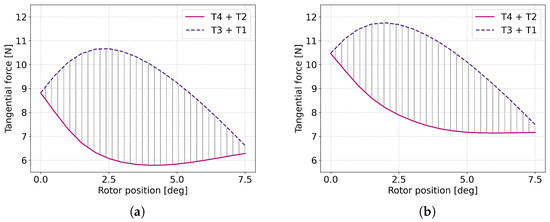
This paper investigates the impact of permanent magnet (PM) displacement and flux barrier extension on cogging torque in flux-intensifying permanent magnet-assisted synchronous reluctance machines (FI-PMa-SynRMs) with surface-inset PMs. Unlike prior work centred on average torque, torque ripple, or inductance, we focus on cogging torque, a key driver of noise and vibration. Four rotor configurations are evaluated via finite element analysis of ∼20,000 designs per configuration generated during NSGA-II multi-objective optimisation. To avoid bias from near-duplicate designs, we introduce Euclidean distance-based medoid filtering, which enforces a minimum separation of models within each configuration. The cross-configuration similarity is measured by Euclidean distance over common design variables. Results show that PM displacement alone does not substantially reduce cogging torque, while flux barrier extension alone yields reductions of up to ∼25%. Combining PM displacement with flux barrier extension achieves up to a ∼30% reduction in cogging torque, often maintaining average torque and lowering torque ripple. This study provides a comparative framework for mitigating cogging torque in FI-PMa-SynRMs and clarifies the trade-offs revealed by similarity-based analyses. Full article
Show Figures

Figure 1

19 pages, 5588 KB  
Article
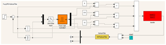
Control of Magnetic-Navigation Pigeon Farm-Cleaning Robot Based on Fuzzy PID and Kalman Filter
by Shinian Huang, Hongnan Hu, Gaofeng Cao, Qingyu Zhan, Lixue Zhu, Xiangyu Wen, Hai Lin and Shiang Zhang
AgriEngineering 2025, 7(10), 351; https://doi.org/10.3390/agriengineering7100351 - 17 Oct 2025
Viewed by 121
Abstract
In pigeon farming, manure cleaning is predominantly manual, a method that is both slow and costly, and exposes workers to harsh conditions. Addressing these challenges, this paper introduces a cleaning robot for pigeon farms utilizing magnetic strip navigation combined with RFID signal recognition [...] Read more.
In pigeon farming, manure cleaning is predominantly manual, a method that is both slow and costly, and exposes workers to harsh conditions. Addressing these challenges, this paper introduces a cleaning robot for pigeon farms utilizing magnetic strip navigation combined with RFID signal recognition and derives the magnetic-navigation control model. This method can improve operational stability and accuracy. Given the farm’s unstable environment, a control algorithm based on fuzzy PID with Kalman filtering was developed. This algorithm mitigates input disturbances and measurement noise by integrating Kalman filtering into the fuzzy PID feedback loop, thereby refining signal accuracy. Numerical simulations conducted in Matlab/Simulink demonstrate that the inclusion of Kalman filtering reduces the time of target signal tracking by nearly 1 s compared to fuzzy PID and by almost 2 s relative to standard PID under identical disturbances. Experimental tests confirm that this algorithm significantly improves the robot’s operational stability and reduces magnetic-navigation deviation, underscoring its advancement and practicality over traditional PID and fuzzy PID methods. Full article
Show Figures

Figure 1

17 pages, 3294 KB  
Article
Autonomous Vision-Based Object Detection and Tracking System for Quadrotor Unmanned Aerial Vehicles
by Oumaima Gharsa, Mostefa Mohamed Touba, Mohamed Boumehraz and Nacira Agram
Sensors 2025, 25(20), 6403; https://doi.org/10.3390/s25206403 - 16 Oct 2025
Viewed by 589
Abstract
This paper introduces an autonomous vision-based tracking system for a quadrotor unmanned aerial vehicle (UAV) equipped with an onboard camera, designed to track a maneuvering target without external localization sensors or GPS. Accurate capture of dynamic aerial targets is essential to ensure real-time [...] Read more.
This paper introduces an autonomous vision-based tracking system for a quadrotor unmanned aerial vehicle (UAV) equipped with an onboard camera, designed to track a maneuvering target without external localization sensors or GPS. Accurate capture of dynamic aerial targets is essential to ensure real-time tracking and effective management. The system employs a robust and computationally efficient visual tracking method that combines HSV filter detection with a shape detection algorithm. Target states are estimated using an enhanced extended Kalman filter (EKF), providing precise state predictions. Furthermore, a closed-loop Proportional-Integral-Derivative (PID) controller, based on the estimated states, is implemented to enable the UAV to autonomously follow the moving target. Extensive simulation and experimental results validate the system’s ability to efficiently and reliably track a dynamic target, demonstrating robustness against noise, light reflections, or illumination interference, and ensure stable and rapid tracking using low-cost components. Full article
(This article belongs to the Section Sensors and Robotics)
Show Figures

Figure 1

28 pages, 6625 KB  
Article
FAWT-Net: Attention-Matrix Despeckling and Haar Wavelet Reconstruction for Small-Scale SAR Ship Detection
by Yangyiyao Zhang, Zhongzhen Sun and Sheng Chang
Remote Sens. 2025, 17(20), 3460; https://doi.org/10.3390/rs17203460 - 16 Oct 2025
Viewed by 174
Abstract
Aiming at the challenges faced by the detection of small-scale ship targets in Synthetic Aperture Radar (SAR) images, this paper proposes a novel deep learning network named FAWT-Net based on attention-matrix despeckling and Haar wavelet reconstruction. This network collaboratively optimizes the detection performance [...] Read more.
Aiming at the challenges faced by the detection of small-scale ship targets in Synthetic Aperture Radar (SAR) images, this paper proposes a novel deep learning network named FAWT-Net based on attention-matrix despeckling and Haar wavelet reconstruction. This network collaboratively optimizes the detection performance through three core modules. First, during the feature transfer stage from backbone to the neck, a filtering module based on attention matrix is designed, which can suppress the speckle noise. Then, during feature upsampling stage, a wavelet transform feature upsampling method for reconstructing image details is designed to enhance the distinguishability of target boundaries and textures. At the same time, the network also combines sub-image feature stitching downsampling to avoid losing key details in small targets, and adopts a scale-sensitive detection head. By adaptively adjusting the shape constraints of prediction boxes, it effectively solves the regression deviation problem of ship targets with inconsistent aspect ratios. Verified by experiments on SSDD and LS-SSDD, the proposed method improves AP50 by 1.3% and APS by 0.8% on the SSDD. Meanwhile, it is verified that the proposed method has higher precision and recall rates on the LS-SSDD, and the recall rate has been increased by 2.2%. Full article
(This article belongs to the Section Remote Sensing Image Processing)
Show Figures

Figure 1

25 pages, 10282 KB  
Article
A Nonlinear Volterra Filtering Hybrid Image-Denoising Method Based on the Improved Bat Algorithm for Optimizing Kernel Parameters
by Wei Zhao, Chang-Bai Yu, Hai-Jun Liu and Yue Hu
Electronics 2025, 14(20), 4076; https://doi.org/10.3390/electronics14204076 - 16 Oct 2025
Viewed by 140
Abstract
To address the issue of reducing noise in images containing mixed noise, a Volterra filtering method based on a Bat algorithm with velocity weight perturbation is proposed to optimize kernel parameters. The structural advantages of the Volterra filter (predictive performance, linear and nonlinear [...] Read more.
To address the issue of reducing noise in images containing mixed noise, a Volterra filtering method based on a Bat algorithm with velocity weight perturbation is proposed to optimize kernel parameters. The structural advantages of the Volterra filter (predictive performance, linear and nonlinear terms) are used to reduce the noise in these images. The dynamic velocity inertia-weight perturbation mechanism is used to improve the Bat algorithm’s optimization ability, while the kernel-parameter optimization and the noise reduction abilities of the Volterra filter are further improved. Theoretical analysis and experimental results show that the high-density mixed noise, comprising Gaussian and salt-and-pepper noise, can be filtered effectively by the proposed algorithm. Compared to traditional image-denoising methods, the proposed method outperforms other algorithms in removing mixed noise from images while preserving edge details. Within a specific noise intensity range, the greater the intensity of mixed noise in the image, the better the noise reduction performance of this filtering method. The method proposed in this paper is less affected by noise intensity. When the number of bats in the population and the number of iterations reach a certain value, the algorithm exhibits good convergence and stability. Full article
(This article belongs to the Section Artificial Intelligence)
Show Figures

Figure 1

24 pages, 3902 KB  
Article
Enhanced UAV Trajectory Tracking Using AIMM-IAKF with Adaptive Model Transition Probability
by Pengfei Zhang, Cong Liu, Yunbiao Ji, Zhongliu Wang and Yawen Li
Appl. Sci. 2025, 15(20), 11111; https://doi.org/10.3390/app152011111 - 16 Oct 2025
Viewed by 157
Abstract
In complex Unmanned Aerial Vehicle (UAV) trajectory tracking scenarios, conventional Interacting Multiple Model (IMM) algorithms face challenges such as slow model switching rates and insufficient tracking accuracy. To address these limitations, this paper proposes an enhanced algorithm named Adaptive Interacting Multiple Model-Improved Adaptive [...] Read more.
In complex Unmanned Aerial Vehicle (UAV) trajectory tracking scenarios, conventional Interacting Multiple Model (IMM) algorithms face challenges such as slow model switching rates and insufficient tracking accuracy. To address these limitations, this paper proposes an enhanced algorithm named Adaptive Interacting Multiple Model-Improved Adaptive Kalman Filter (AIMM-IAKF). The AIMM component dynamically adjusts the model transition probability matrix based on real-time model probability differences, overcoming the limitation of a fixed matrix in traditional IMM. Furthermore, the conventional Kalman filter is replaced with an Improved Adaptive Kalman Filter (IAKF), which introduces a convergence criterion and a suboptimal fading factor to optimize noise statistics. Simulation results demonstrate that, compared to the traditional IMM algorithm, the proposed AIMM-IAKF algorithm improves tracking accuracy by approximately 69%, achieves a faster model switching response, and exhibits superior stability with lower error fluctuation. The proposed framework provides a highly accurate and robust solution for tracking highly maneuvering UAVs. Full article
Show Figures

Figure 1

26 pages, 2009 KB  
Article
Tool Wear Prediction Using Machine-Learning Models for Bone Drilling in Robotic Surgery
by Shilpa Pusuluri, Hemanth Satya Veer Damineni and Poolan Vivekananda Shanmuganathan
Automation 2025, 6(4), 59; https://doi.org/10.3390/automation6040059 - 16 Oct 2025
Viewed by 242
Abstract
Bone drilling is a widely encountered process in orthopedic surgeries and keyhole neuro surgeries. We are developing a sensor-integrated smart end-effector for drilling for robotic surgical applications. In manual surgeries, surgeons assess tool wear based on experience and force perception. In this work, [...] Read more.
Bone drilling is a widely encountered process in orthopedic surgeries and keyhole neuro surgeries. We are developing a sensor-integrated smart end-effector for drilling for robotic surgical applications. In manual surgeries, surgeons assess tool wear based on experience and force perception. In this work, we propose a machine-learning (ML)-based tool condition monitoring system based on multi-sensor data to preempt excessive tool wear during drilling in robotic surgery. Real-time data is acquired from the six-component force sensor of a collaborative arm along with the data from the temperature and multi-axis vibration sensor mounted on the bone specimen being drilled upon. Raw data from the sensors may have noises and outliers. Signal processing in the time- and frequency-domain are used for denoising as well as to obtain additional features to be derived from the raw sensory data. This paper addresses the challenging problem of identification of the most suitable ML algorithm and the most suitable features to be used as inputs to the algorithm. While dozens of features and innumerable machine learning and deep learning models are available, this paper addresses the problem of selecting the most relevant features, the most relevant AI models, and the optimal hyperparameters to be used in the AI model to provide accurate prediction on the tool condition. A unique framework is proposed for classifying tool wear that combines machine learning-based modeling with multi-sensor data. From the raw sensory data that contains only a handful of features, a number of additional features are derived using frequency-domain techniques and statistical measures. Using feature engineering, we arrived at a total of 60 features from time-domain, frequency-domain, and interaction-based metrics. Such additional features help in improving its predictive capabilities but make the training and prediction complicated and time-consuming. Using a sequence of techniques such as variance thresholding, correlation filtering, ANOVA F-test, and SHAP analysis, the number of features was reduced from 60 to the 4 features that will be most effective in real-time tool condition prediction. In contrast to previous studies that only examine a small number of machine learning models, our approach systematically evaluates a wide range of machine learning and deep learning architectures. The performances of 47 classical ML models and 6 deep learning (DL) architectures were analyzed using the set of the four features identified as most suitable. The Extra Trees Classifier (an ML model) and the one-dimensional Convolutional Neural Network (1D CNN) exhibited the best prediction accuracy among the models studied. Using real-time data, these models monitored the drilling tool condition in real-time to classify the tool wear into three categories of slight, moderate, and severe. Full article
Show Figures

Figure 1

24 pages, 2221 KB  
Article
Multi-Scale Frequency-Aware Transformer for Pipeline Leak Detection Using Acoustic Signals
by Menghan Chen, Yuchen Lu, Wangyu Wu, Yanchen Ye, Bingcai Wei and Yao Ni
Sensors 2025, 25(20), 6390; https://doi.org/10.3390/s25206390 - 16 Oct 2025
Viewed by 333
Abstract
Pipeline leak detection through acoustic signal measurement faces critical challenges, including insufficient utilization of time-frequency domain features, poor adaptability to noisy environments, and inadequate exploitation of frequency-domain prior knowledge in existing deep learning approaches. This paper proposes a Multi-Scale Frequency-Aware Transformer (MSFAT) architecture [...] Read more.
Pipeline leak detection through acoustic signal measurement faces critical challenges, including insufficient utilization of time-frequency domain features, poor adaptability to noisy environments, and inadequate exploitation of frequency-domain prior knowledge in existing deep learning approaches. This paper proposes a Multi-Scale Frequency-Aware Transformer (MSFAT) architecture that integrates measurement-based acoustic signal analysis with artificial intelligence techniques. The MSFAT framework consists of four core components: a frequency-aware embedding layer that achieves joint representation learning of time-frequency dual-domain features through parallel temporal convolution and frequency transformation, a multi-head frequency attention mechanism that dynamically adjusts attention weights based on spectral distribution using frequency features as modulation signals, an adaptive noise filtering module that integrates noise detection, signal enhancement, and adaptive fusion functions through end-to-end joint optimization, and a multi-scale feature aggregation mechanism that extracts discriminative global representations through complementary pooling strategies. The proposed method addresses the fundamental limitations of traditional measurement-based detection systems by incorporating domain-specific prior knowledge into neural network architecture design. Experimental validation demonstrates that MSFAT achieves 97.2% accuracy and an F1-score, representing improvements of 10.5% and 10.9%, respectively, compared to standard Transformer approaches. The model maintains robust detection performance across signal-to-noise ratio conditions ranging from 5 to 30 dB, demonstrating superior adaptability to complex industrial measurement environments. Ablation studies confirm the effectiveness of each innovative module, with frequency-aware mechanisms contributing most significantly to the enhanced measurement precision and reliability in pipeline leak detection applications. Full article
(This article belongs to the Section Intelligent Sensors)
Show Figures

Figure 1

24 pages, 3066 KB  
Article
Online Parameter Identification of a Fractional-Order Chaotic System for Lithium-Ion Battery RC Equivalent Circuit Using a State Observer
by Yanzeng Gao, Donghui Xu, Haiou Wen and Liqin Xu
Batteries 2025, 11(10), 377; https://doi.org/10.3390/batteries11100377 - 16 Oct 2025
Viewed by 218
Abstract
Due to the highly nonlinear, dynamic, and slowly time-varying nature of lithium-ion batteries (LIBs) during operation, achieving accurate and real-time parameters online identification in first-order RC equivalent circuit models (ECMs) remains a significant challenge, including low accuracy and poor real-time performance. This paper [...] Read more.
Due to the highly nonlinear, dynamic, and slowly time-varying nature of lithium-ion batteries (LIBs) during operation, achieving accurate and real-time parameters online identification in first-order RC equivalent circuit models (ECMs) remains a significant challenge, including low accuracy and poor real-time performance. This paper establishes a fractional-order chaotic system for first-order RC-ECM based on a charge-controlled memristor. The system exhibits chaotic behavior when parameters are tuned. Then, based on the principle of the state observer, an identification observer is designed for each unknown parameter of the first-order RC-ECM, achieving online identification of these unknown parameters of the first-order RC-ECM of LIB. The proposed method addresses key limitations of traditional parameter identification techniques, which often rely on large sample datasets and are sensitive to variations in ambient temperature, road conditions, load states, and battery chemistry. Experimental validation was conducted under the HPPC, DST, and UDDS conditions. Using the actual terminal voltage of a single cell as a reference, the identified first-order RC-ECM parameters enabled accurate prediction of the online terminal voltage. Comparative results demonstrate that the proposed state observer achieves significantly higher accuracy than the forgetting factor recursive least squares (FFRLS) algorithm and Kalman filter (KF) algorithm, while offering superior real-time performance, robustness, and faster convergence. Full article
Show Figures

Figure 1

29 pages, 3490 KB  
Article
Lower-Limb Motor Imagery Recognition Prototype Based on EEG Acquisition, Filtering, and Machine Learning-Based Pattern Detection
by Sonia Rocío Moreno-Castelblanco, Manuel Andrés Vélez-Guerrero and Mauro Callejas-Cuervo
Sensors 2025, 25(20), 6387; https://doi.org/10.3390/s25206387 - 16 Oct 2025
Viewed by 322
Abstract
Advances in brain–computer interface (BCI) research have explored various strategies for acquiring and processing electroencephalographic (EEG) signals to detect motor imagery (MI) activities. However, the complexity of multichannel clinical systems and processing techniques can limit their accessibility outside specialized centers, where complex setups [...] Read more.
Advances in brain–computer interface (BCI) research have explored various strategies for acquiring and processing electroencephalographic (EEG) signals to detect motor imagery (MI) activities. However, the complexity of multichannel clinical systems and processing techniques can limit their accessibility outside specialized centers, where complex setups are not feasible. This paper presents a proof-of-concept prototype of a single-channel EEG acquisition and processing system designed to identify lower-limb motor imagery. The proposed proof-of-concept prototype enables the wireless acquisition of raw EEG values, signal processing using digital filters, and the detection of MI patterns using machine learning algorithms. Experimental validation in a controlled laboratory with participants performing resting, MI, and movement tasks showed that the best performance was obtained by combining Savitzky–Golay filtering with a Random Forest classifier, reaching 87.36% ± 4% accuracy and an F1-score of 87.18% ± 3.8% under five-fold cross-validation. These findings confirm that, despite limited spatial resolution, MI patterns can be detected using appropriate AI-based filtering and classification. The novelty of this work lies in demonstrating that a single-channel, portable EEG prototype can be effectively used for lower-limb MI recognition. The portability and noise resilience achieved with the prototype highlight its potential for research, clinical rehabilitation, and assistive device control in non-specialized environments. Full article
Show Figures

Figure 1

16 pages, 2947 KB  
Article
Broadband Three-Mode Tunable Metamaterials Based on Graphene and Vanadium Oxide
by Hao Wen, Shouwei Wang, Yiyang Cai, Zhuochen Zou, Zheng Qin and Tianyu Gao
Nanomaterials 2025, 15(20), 1572; https://doi.org/10.3390/nano15201572 - 16 Oct 2025
Viewed by 173
Abstract
Terahertz waves have great potential for applications in security imaging, wireless communication, and other fields, but efficient and tunable terahertz-absorbing devices are the key to their technological development. In this paper, a tunable terahertz metamaterial based on graphene and vanadium dioxide materials is [...] Read more.
Terahertz waves have great potential for applications in security imaging, wireless communication, and other fields, but efficient and tunable terahertz-absorbing devices are the key to their technological development. In this paper, a tunable terahertz metamaterial based on graphene and vanadium dioxide materials is proposed. When the vanadium dioxide conductivity is 1.6 × 105 S/m and the Fermi energy level of graphene is 0.75 eV, the metamaterial exhibits high absorptivity exceeding 90% in ultra-broadband of 2.05–14.03 THz; when the Fermi energy level of graphene is adjusted to 0 eV, the high absorption wavelength range narrowed to 4.07–13.80 THz; when the vanadium dioxide conductivity is adjusted to 200 S/m, the metamaterial exhibits high transmissivity exceeding 80% in the wavelength range up to 15 THz. Additionally, the metamaterial is insensitive to polarization angles and incident angles, allowing it to adapt to changes in the angle of incidence and polarization in practical applications. The metamaterial has potential applications in optical switches, electromagnetic wave stealth devices, and filtering devices. Full article
Show Figures

Figure 1

Back to TopTop