Sign in to use this feature.

Years

Between: -

Subjects

remove_circle_outline
remove_circle_outline
remove_circle_outline
remove_circle_outline
remove_circle_outline
remove_circle_outline
remove_circle_outline
remove_circle_outline

Journals

remove_circle_outline
remove_circle_outline
remove_circle_outline
remove_circle_outline
remove_circle_outline
remove_circle_outline
remove_circle_outline

Article Types

Countries / Regions

Search Results (300)

Search Parameters:
Keywords = fetal anomalies

Order results
Result details
Results per page
Select all
Export citation of selected articles as:
36 pages, 5330 KB  
Review
Doppler Assessment of the Fetal Brain Circulation
by Maria Isabel Sá, Miriam Illa and Luís Guedes-Martins
Diagnostics 2026, 16(2), 214; https://doi.org/10.3390/diagnostics16020214 (registering DOI) - 9 Jan 2026
Viewed by 166
Abstract
Doppler assessment of fetal cerebral circulation has become a cornerstone of modern fetal medicine. It is used to evaluate cerebral vascular malformations, brain anomalies, fetal growth restriction due to placental insufficiency, fetal anemia, and hemodynamic complications arising from placental vascular anastomoses in monochorionic [...] Read more.
Doppler assessment of fetal cerebral circulation has become a cornerstone of modern fetal medicine. It is used to evaluate cerebral vascular malformations, brain anomalies, fetal growth restriction due to placental insufficiency, fetal anemia, and hemodynamic complications arising from placental vascular anastomoses in monochorionic pregnancies. Emerging research also explores the predictive value of Doppler parameters for perinatal outcomes and long-term neurodevelopment. To review the anatomy and physiology of fetal cerebral vessels accessible to Doppler evaluation, outline key technical aspects, and summarize current obstetric applications. A PubMed search identified 113 relevant publications, published between 1984 and 2025. Three book chapters by authors recognized internationally within the scientific community were included. A total of 116 publications were critically analyzed in this narrative review. Strong evidence supports the use of Doppler ultrasound in obstetrics, particularly for evaluating fetal cerebral hemodynamics, where it contributes to reducing fetal morbidity and mortality. Doppler assessment of fetal brain circulation is a valuable tool for evaluating brain vascular malformations, other structural abnormalities, and for assessing fetuses with growth restriction, anemia, and twin-to-twin transfusion syndrome. It allows targeted fetal monitoring and timely interventions, providing critical prognostic information and aiding parental counseling. Ongoing advances in Doppler technology and understanding of fetal brain physiology are likely to broaden its clinical uses, improving both perinatal outcomes and long-term neurological health. Full article
(This article belongs to the Special Issue Advances in Fetal Diagnosis and Therapy)
Show Figures

Figure 1

10 pages, 1474 KB  
Case Report
Prenatal Diagnosis of Peters-Plus Syndrome: A Case Report
by Marina Fortún Agud, Susana Monís Rodríguez, Isidoro Narbona Arias, José Ramón Andérica Herrero, Cristina Gómez Muñoz, Marta Blasco Alonso and Jesús S. Jiménez López
Life 2026, 16(1), 92; https://doi.org/10.3390/life16010092 - 8 Jan 2026
Viewed by 297
Abstract
Peters-Plus syndrome is a rare autosomal recessive disorder caused by biallelic pathogenic variants in the B3GLCT gene and characterized by multisystem involvement. Fewer than 100 cases have been reported to date, and only a limited number have been diagnosed prenatally. Prenatal identification is [...] Read more.
Peters-Plus syndrome is a rare autosomal recessive disorder caused by biallelic pathogenic variants in the B3GLCT gene and characterized by multisystem involvement. Fewer than 100 cases have been reported to date, and only a limited number have been diagnosed prenatally. Prenatal identification is challenging due to the variable and non-specific nature of fetal findings and the frequent absence of detectable ocular anomalies during routine ultrasound. We report a prenatal diagnosis of Peters-Plus syndrome in a monochorionic diamniotic twin pregnancy, based on the progressive identification of early-onset intrauterine growth restriction, rhizomelic limb shortening, craniofacial dysmorphism, and mild central nervous system abnormalities. Standard cytogenetic and chromosomal microarray analyses were normal, prompting extended genetic testing. Prenatal exome sequencing identified a homozygous pathogenic splice-site variant (c.660+1G>A) in B3GLCT in both fetuses, confirming the diagnosis. This case highlights the importance of recognizing suggestive multisystem prenatal findings and the crucial role of advanced genetic testing in achieving an accurate prenatal diagnosis. Early molecular confirmation enables appropriate parental counseling regarding prognosis, recurrence risk, and future reproductive options. Full article
(This article belongs to the Section Reproductive and Developmental Biology)
Show Figures

Figure 1

16 pages, 3344 KB  
Article
From Diagnosis to Decision—Fetal Limb Abnormalities
by Andreea Florentina Stancioi-Cismaru, Razvan Grigoras Capitanescu, Mihaela-Simona Naidin, Cristian Constantin, Marina Dinu, Florin Burada, Oana Sorina Tica, Mihaela Gheonea, Bianca Catalina Andreiana, Razvan Cosmin Pana and Stefania Tudorache
J. Clin. Med. 2026, 15(2), 486; https://doi.org/10.3390/jcm15020486 - 8 Jan 2026
Viewed by 86
Abstract
Background/Objectives: Our aim was to investigate the diagnostic accuracy of prenatal ultrasound (US) in fetal limb abnormalities. As a secondary target, we wanted to correlate various predictors for the diagnosis accuracy. Methods: We prospectively enrolled cases with routine prenatal US performed in five [...] Read more.
Background/Objectives: Our aim was to investigate the diagnostic accuracy of prenatal ultrasound (US) in fetal limb abnormalities. As a secondary target, we wanted to correlate various predictors for the diagnosis accuracy. Methods: We prospectively enrolled cases with routine prenatal US performed in five participating centers. Subsequently, we selected and processed all cases with limb abnormalities: suspected, diagnosed, and missed on the prenatal diagnosis scans. We collected data on the type of anomaly, the US equipment and probes used, the operator’s expertise, the gestational age at the diagnosis, the length of the examination, and the use of US reporting form. SPSS 22.0 software was applied to perform the analyses using non-parametric statistical methods. Associations between categorical variables were evaluated using Fisher’s exact test and Chi-square tests. For correlations between the gestational age and the anomaly severity, we used Spearman’s rank-order correlation. Predictive performance of operator- and scan-related variables for diagnostic accuracy was assessed using receiver operating characteristic (ROC) curve analysis, with area under the curve (AUC) estimates, standard errors (SE), confidence intervals (95% CI), and p-values reported. Results: Our data showed that most US examinations were performed as part of routine screening (79.7%), and the most frequent anomaly diagnosed was clubfoot. Operators’ expertise demonstrated the highest predictive performance, while technical parameters—scan duration (AUC = 0.20, p = 0.1188) and US equipment (AUC = 0.30, p = 0.3478)—did not significantly predict diagnostic accuracy. Conclusions: The overall diagnostic accuracy of prenatal US was 85.5%. Our findings indicate that diagnostic performance is driven primarily by operator expertise and training, rather than by gestational age at scan and technical parameters. Full article
Show Figures

Figure 1

13 pages, 1160 KB  
Review
Prenatal Use of Exome Sequencing and Chromosomal Microarray Analysis: Indications, Interpretation, and Gene Selection Strategies
by Laia Rodriguez-Revenga, Victoria Ardiles-Ruesjas and Antoni Borrell
Diagnostics 2026, 16(2), 185; https://doi.org/10.3390/diagnostics16020185 - 7 Jan 2026
Viewed by 169
Abstract
As genomic technologies continue to evolve, understanding the scope and limitations of available prenatal testing methods is essential for accurate diagnosis and counseling. Chromosomal microarray analysis (CMA) and exome sequencing (ES) have emerged as key complementary tools in this setting. This review aims [...] Read more.
As genomic technologies continue to evolve, understanding the scope and limitations of available prenatal testing methods is essential for accurate diagnosis and counseling. Chromosomal microarray analysis (CMA) and exome sequencing (ES) have emerged as key complementary tools in this setting. This review aims to outline the technical principles underlying CMA and ES and to compare their diagnostic capabilities and limitations in the prenatal context. This narrative review includes a literature search, with additional relevant articles identified through manual screening of reference lists from key publications and review articles. Due to the narrative nature of this review, no formal inclusion or exclusion criteria or quantitative synthesis were applied. Special focus was placed on clinical indications, variant interpretation challenges—particularly uncertain and incidental findings—gene selection strategies, and implications for prenatal counseling. Indications for both tests have increased over time but differ substantially. CMA is becoming the standard prenatal genetic test, particularly in the evaluation of fetal structural anomalies, whereas ES remains restricted to selected fetal structural anomalies. Interpretation of molecular results remains a major challenge, especially for variants of uncertain significance and incidental findings with unclear or unexpected implications for pregnancy management. For ES, agnostic gene selection strategies showed superior diagnostic yield compared with phenotype-driven approaches, likely reflecting the limited characterization of prenatal phenotypes. Continuous refinement of clinical indications, bioinformatic pipelines, variant classification criteria, and gene curation strategies is critical to ensure that prenatal results are accurate and clinically meaningful. Together, ongoing improvements in technology, interpretation, and clinical integration have the potential to transform prenatal genomics into a more precise, informed, and ethically responsible field. Full article
(This article belongs to the Special Issue Game-Changing Concepts in Reproductive Health)
Show Figures

Figure 1

8 pages, 1551 KB  
Case Report
Prenatal Diagnosis of a Feingold Syndrome Pregnancy Complicated with Severe Preeclampsia: A Report of a Challenging Case
by Athina A. Samara, Paraskevas Perros, Antonios Koutras, Michel B. Janho, Emmanuil Manolakos, Nikoletta Daponte, Apostolos C. Ziogas, Antonios Garas, Chara Skentou and Sotirios Sotiriou
Genes 2026, 17(1), 54; https://doi.org/10.3390/genes17010054 - 2 Jan 2026
Viewed by 166
Abstract
Feingold syndrome (FS) is a rare congenital disorder with an autosomal dominant inheritance pattern. Two distinct subtypes are recognized based on their molecular pathology: FS type 1 (FS1) and FS type 2 (FS2). Both types share skeletal anomalies such as microcephaly, brachymesophalangia, and [...] Read more.
Feingold syndrome (FS) is a rare congenital disorder with an autosomal dominant inheritance pattern. Two distinct subtypes are recognized based on their molecular pathology: FS type 1 (FS1) and FS type 2 (FS2). Both types share skeletal anomalies such as microcephaly, brachymesophalangia, and clinodactyly; however, gastrointestinal atresia is unique to FS1. Herein, we report a rare prenatal diagnosis of FS1 in a female fetus. The second-trimester ultrasound revealed bilateral clinodactyly and fetal microcephaly, and the subsequent molecular karyotyping identified a ~342 kb deletion at 2p24.3 encompassing the MYCN gene, confirming the diagnosis. The same deletion was detected in the father, verifying the hereditary pattern. The pregnancy was also complicated by preeclampsia and fetal growth restriction, leading to preterm caesarean delivery at 33 + 3 weeks of gestation. The neonate had microcephaly and clinodactyly but no gastrointestinal defects. In conclusion, high clinical suspicion aroused by identifying ultrasound features of FS can lead to early prenatal diagnosis via molecular karyotyping. Detecting accompanying gastrointestinal disorders that require early operation is crucial for the prognosis, genetic counseling, and prenatal management of the affected families. Full article
(This article belongs to the Section Genetic Diagnosis)
Show Figures

Figure 1

15 pages, 1116 KB  
Article
Prenatal Exome Sequencing: When Does Diagnostic Yield Meet Clinical Utility?
by Alessia Carrer, Francesco Maria Crupano, Berardo Rinaldi, Giulietta Scuvera, Claudia Cesaretti, Valeria Nicotra, Silvana Gangi, Lorenzo Colombo, Gabriella Araimo, Matilde Tagliabue, Daniela Marchetti, Laura Pezzoli, Maria Garzo, Veronica Accurti, Grazia Volpe, Simona Boito, Palma Finelli, Monica Fumagalli, Maria Francesca Bedeschi, Maria Iascone, Nicola Persico and Federica Natacciadd Show full author list remove Hide full author list
Genes 2026, 17(1), 37; https://doi.org/10.3390/genes17010037 - 30 Dec 2025
Viewed by 304
Abstract
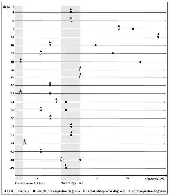
Background/Objectives: Prenatal Exome Sequencing (pES) has revolutionized prenatal diagnosis in fetuses with congenital anomalies. Although its performance is very promising, previous pES studies have mainly focused on diagnostic yield, often without considering the actual impact on ongoing pregnancies. In this study, we aim [...] Read more.
Background/Objectives: Prenatal Exome Sequencing (pES) has revolutionized prenatal diagnosis in fetuses with congenital anomalies. Although its performance is very promising, previous pES studies have mainly focused on diagnostic yield, often without considering the actual impact on ongoing pregnancies. In this study, we aim to (1) assess whether a prenatal molecular diagnosis can reliably predict the clinical features of the unborn child and (2) determine the gestational age (gw) at which ultrasound (US) findings are sufficient to support the pathogenicity of genetic variants detected by pES. Methods: We retrospectively selected 47 cases complicated by US anomalies that underwent Exome Sequencing (ES) and for which complete clinical assessment was available. A blinded reanalysis of ES data was performed, considering only prenatal features. Results: In our cohort, standard ES led to a molecular diagnosis in 43% of cases. The blinded reanalysis revealed that a complete or partial retrospective prenatal diagnosis was achievable in 95% of diagnosed cases. The mean gestational week at which US data would have supported molecular diagnosis was 22 + 5 weeks. The clinical follow-up confirmed a syndromic presentation in 21 out of 23 newborns and in all terminated pregnancies. Conclusions: Our study further confirms that pES is a valuable diagnostic tool for detecting genetic etiology in fetuses with congenital malformations. In most cases, pES results accurately predict the postnatal phenotype. However, the prenatal setting requires specific adjustments and precautions, and a negative pES result cannot be considered reassuring. Full article
(This article belongs to the Special Issue Next-Generation Sequencing in Rare Genetic Diseases)
Show Figures

Figure 1

13 pages, 947 KB  
Article
Intrauterine Administration of PBMC Modulated with IFN-τ Before Embryo Transfer Improves Clinical Outcomes of IVF Patients—A Randomized Control Trial
by Margarita Ruseva, Dimitar Parvanov, Rumiana Ganeva, Maria Handzhiyska, Jinahn Safir, Stefka Nikolova, Teodora Tihomirova, Dimitar Metodiev, Georgi Stamenov and Savina Hadjidekova
Biomedicines 2026, 14(1), 61; https://doi.org/10.3390/biomedicines14010061 - 26 Dec 2025
Viewed by 278
Abstract
Objective: The aim of this study was to evaluate whether intrauterine administration of autologous peripheral blood mononuclear cells (PBMCs) activated with interferon tau (IFN-τ) before embryo transfer improves implantation and pregnancy outcomes in IVF patients. Methods: This single-center, prospective, randomized, controlled trial was [...] Read more.
Objective: The aim of this study was to evaluate whether intrauterine administration of autologous peripheral blood mononuclear cells (PBMCs) activated with interferon tau (IFN-τ) before embryo transfer improves implantation and pregnancy outcomes in IVF patients. Methods: This single-center, prospective, randomized, controlled trial was conducted at Nadezhda Women’s Health Hospital (Approval No.: 6/28022023). The study was registered at ClinicalTrials.gov (NCT05775198). Randomization was computer-generated with allocation concealed via sealed envelopes. Participants and statisticians were blinded to group assignment; clinicians were not. Women aged 21–50 undergoing frozen–thawed embryo transfer with euploid embryos were included. Exclusion criteria included uterine anomalies, autoimmune, oncologic conditions, infections, or use of immunosuppressants. Participants (n = 340) were randomized 1:1 to receive either intrauterine infusion of autologous PBMCs activated in vitro with IFN-τ or standard IVF care without PBMC treatment. PBMCs were cultured with recombinant IFN-τ, washed, and infused 24 h prior to single euploid blastocyst transfer. A total of 14 patients were excluded from analysis because of early dropout, leaving 326 (n = 167; n = 159) patients for modified intention-to-treat analysis. Primary outcomes included implantation rate (elevated urinary or blood hCG), clinical pregnancy (fetal heartbeat at 6–8 weeks), and live birth rates. Miscarriage rate and safety were secondary objectives. Patients were followed up until 6 weeks post pregnancy resolution. Results: In the intervention group, 38.3% of patients achieved implantation, compared to 27.7% in the controls (OR 1.6, 95% CI: 1.0–2.6, p = 0.04). Live birth rates were also significantly higher in the IFN-τ-modulated PBMC group (28.7% vs. 17.6%, OR 1.9, 95% CI: 1.1–3.2; p = 0.02). While the clinical pregnancy rate was higher, it did not reach statistical significance (34.7% vs. 25.8%, p = 0.08). There was no difference between the groups in terms of miscarriage (p = 0.4). No serious adverse events were reported after treatment, during pregnancy or in the postnatal period. Conclusions: Intrauterine treatment with IFN-τ-activated PBMCs before ET significantly improves implantation and live birth rates in IVF patients. Full article
(This article belongs to the Special Issue Advances in Medically Assisted Reproduction)
Show Figures

Graphical abstract

10 pages, 225 KB  
Article
A Critical Assessment of Antenatal Monitoring for Fetal Well-Being in Down Syndrome Pregnancies
by Juliet C. Bishop, Angie C. Jelin, Ahizechukwu C. Eke, Christine B. Hertenstein, Amanda Jones, Clark T. Johnson and Karin Blakemore
Diagnostics 2026, 16(1), 39; https://doi.org/10.3390/diagnostics16010039 - 22 Dec 2025
Viewed by 260
Abstract
Background/Objectives: The antenatal management of Down syndrome (DS) is difficult as it is associated with a high risk for in utero fetal demise (IUFD) with a paucity of literature to guide antenatal surveillance. Avoidance of preterm delivery in the DS fetus, so commonly [...] Read more.
Background/Objectives: The antenatal management of Down syndrome (DS) is difficult as it is associated with a high risk for in utero fetal demise (IUFD) with a paucity of literature to guide antenatal surveillance. Avoidance of preterm delivery in the DS fetus, so commonly affected by anomalies, compounds the dichotomy of achieving term delivery while balancing against the risk for IUFD as gestational age advances. Higher-performing tests are needed to predict, and, thus, hopefully prevent, both preterm delivery and fetal mortality. Our study was undertaken to evaluate the performance metrics of current antenatal surveillance parameters that might suggest an increased risk for IUFD. Methods: We studied a retrospective cohort of all continuing pregnancies with a cytogenetically confirmed DS fetus between 2009 and 2019 at a single institution. Cases were investigated for abnormalities in fetal growth, anatomy, UA Doppler, and amniotic fluid volume to analyze their interrelationships and their association with the primary outcome, IUFD. Nonstress testing (NST) and biophysical profile data as available were also reviewed for analysis on each case. Maternal demographic data were also collected. Results: A total of 41 DS pregnancies at >20 weeks gestation were included. Eight (19.5%) resulted in IUFD, while thirty-three (80.5%) resulted in live birth. Between these groups, there was no significant difference in the incidence of fetal structural anomalies. FGR was present in 8/41 fetuses or 19.5% of all cases. FGR was present in 1 of 8 (12.5%) IUFD cases and 7 of 33 (21.2%) live births (p = 0.50). Thus, notably, 87.5% (7/8) of the IUFDs occurred in the absence of FGR. Furthermore, 1/8 (12.5%) FGR cases resulted in IUFD vs. 7/33 (21.2%) of non-FGR cases (p = 0.50). In DS fetuses after 24 weeks gestation, UA Doppler abnormalities developed in 75% of FGR cases (6/8) and in 64.5% of normally grown cases (20/31) (p = 0.33). Abnormal UA Dopplers were noted in 83.3% of IUFD and in 84.8% of liveborn cases (p = 0.34). Eleven of thirty-three live births, however, underwent iatrogenic delivery secondary to worsening fetal surveillance, including ten with worsening UA Doppler indices. There was an increased frequency of abnormal NST in the IUFD group (66.7% vs. 23.8%), although this difference did not reach statistical significance. Polyhydramnios was more frequent in the IUFD group (62.5% vs. 16.1%, p = 0.04). Conclusions: Aside from polyhydramnios, no fetal surveillance parameter demonstrated an association with IUFD that reached statistical significance. A majority of fetuses with DS are normally grown and demonstrate abnormal UA Doppler indices in the absence of FGR. Within our cohort, a substantial number of liveborn deliveries were prompted following worsening UA Dopplers. Both polyhydramnios and UA Doppler indices are worthy of further investigation to inform clinically useful fetal surveillance strategies in DS. Full article
(This article belongs to the Special Issue Game-Changing Concepts in Reproductive Health)
16 pages, 450 KB  
Review
From Genes to Malformations: Molecular Mechanisms Driving the Pathogenesis of Congenital Anomalies of the Kidney and Urinary Tract
by Maria Fourikou and John Dotis
Int. J. Mol. Sci. 2026, 27(1), 17; https://doi.org/10.3390/ijms27010017 - 19 Dec 2025
Viewed by 257
Abstract
Congenital Anomalies of the Kidney and Urinary Tract (CAKUT) are among the most common congenital malformations and the leading cause of chronic kidney disease in children. They arise when key steps in kidney development are disrupted, including ureteric bud induction, branching morphogenesis and [...] Read more.
Congenital Anomalies of the Kidney and Urinary Tract (CAKUT) are among the most common congenital malformations and the leading cause of chronic kidney disease in children. They arise when key steps in kidney development are disrupted, including ureteric bud induction, branching morphogenesis and nephron progenitor differentiation. These processes depend on coordinated transcriptional programs, signaling pathways, ciliary function and proper extracellular matrix (ECM) organization. Advances in whole exome and whole genome sequencing, as well as copy number variation analysis, have expanded the spectrum of known monogenic causes. Pathogenic variants have now been identified in major transcriptional regulators and multiple ciliopathy-related genes. Evidence also points to defects in central signaling pathways and changes in ECM composition as contributors to CAKUT pathogenesis. Clinical presentations vary widely, shaped by modifying effects of genetic background, epigenetic regulation and environmental influences such as maternal diabetes and fetal hypoxia. Emerging tools, including human kidney organoids, gene-editing approaches and single-cell or spatial transcriptomics, allow detailed exploration of developmental mechanisms and validation of candidate pathways. Overall, CAKUT reflects a multifactorial condition shaped by interacting genetic, epigenetic and environmental determinants. Integrating genomic data with experimental models is essential for improving diagnosis, deepening biological insight and supporting the development of targeted therapeutic strategies. Full article
(This article belongs to the Section Molecular Pathology, Diagnostics, and Therapeutics)
Show Figures

Graphical abstract

4 pages, 455 KB  
Interesting Images
Prenatal Diagnosis of Interrupted Inferior Vena Cava with Azygos Continuation: A Case Report
by Martina Billeci, Gianfranco Morreale, Ferdinando Antonio Gulino and Francesco Giuseppe Cannone
Reports 2025, 8(4), 266; https://doi.org/10.3390/reports8040266 - 14 Dec 2025
Viewed by 368
Abstract
Inferior vena cava (IVC) disruption with continuation of the azygos is a rare congenital vascular abnormality that can be detected prenatally via high-resolution ultrasound. We present a case of isolated discontinuation of IVC, diagnosed during a routine abnormal scan of the second trimester, [...] Read more.
Inferior vena cava (IVC) disruption with continuation of the azygos is a rare congenital vascular abnormality that can be detected prenatally via high-resolution ultrasound. We present a case of isolated discontinuation of IVC, diagnosed during a routine abnormal scan of the second trimester, confirmed by fetal echocardiography, with an uneventful neonatal outcome. In accordance with the literature, we discuss the diagnostic approach, clinical significance and long-term implications of this vascular variant. We want to emphasize the importance of recognizing this anomaly and differentiating isolated cases from those associated with other congenital malformations. Full article
(This article belongs to the Section Obstetrics/Gynaecology)
Show Figures

Figure 1

15 pages, 686 KB  
Article
Associations Between Fetal Symptoms During Pregnancy and Neonatal Clinical Complications with Cytomegalovirus Infection
by Virág Bartek, Márta Csire, Gréta Kiss, Réka Hodula and Artur Beke
Children 2025, 12(12), 1690; https://doi.org/10.3390/children12121690 - 12 Dec 2025
Viewed by 410
Abstract
Introduction: Primary Cytomegalovirus (CMV) infection occurs in 0.7–4.1% of all pregnancies. Our study aims to analyze the incidence rate of ultrasound anomalies, as well as CMV PCR analysis of the amniotic fluid sample obtained from amniocentesis in CMV-infected pregnancies, as well as the [...] Read more.
Introduction: Primary Cytomegalovirus (CMV) infection occurs in 0.7–4.1% of all pregnancies. Our study aims to analyze the incidence rate of ultrasound anomalies, as well as CMV PCR analysis of the amniotic fluid sample obtained from amniocentesis in CMV-infected pregnancies, as well as the outcome of the pregnancies and neonatal follow-up. Methods: We analyzed cases of recent maternal CMV infections confirmed by serological testing at the Department of Obstetrics and Gynecology, Semmelweis University, between 2001 and 2023. In cases of primary CMV infection confirmed by serological testing during pregnancy, we offered amniocentesis at the genetic counseling, which was performed at the 20–21 weeks stage of the pregnancy. Results: In 130 cases of recent maternal CMV infection confirmed by serological testing, amniocentesis was performed, and a total of 11 cases (8.46%) were found to have CMV DNA in the amniotic fluid. Based on the neonatological follow-up examinations in 116 deliveries, 18 newborns had complications (15.52%); however, some cases were associated with multiple complications, resulting in a total of 33 types of complications being identified (28.45%). Among the 11 neurological complications (9.48%), we found 1 case each (0.86%) of severe inoperable intracranial space occupation, hydrocephalus, balance disorder, sleep disorder–sleep apnea, and speech development disorder. Two cases (1.72%) were found to have rigid muscles, epilepsy, and hypotonic muscles. Ophthalmological complications occurred in five cases (4.31%), such as enophthalmos, cataract, and retinopathy of prematurity (ROP), one case each, and two cases of strabism. Other complications were detected in 17 cases (14.66%). Conclusions: Because of the high incidence rate of recent CMV infection, serological testing is recommended following fetal abnormality detected by ultrasound. If a serologically confirmed new infection is diagnosed, the affected couple should be offered amniocentesis. Full article
(This article belongs to the Special Issue Prenatal Screening and Diagnosis: Fetal Medicine Perspectives)
Show Figures

Figure 1

10 pages, 239 KB  
Review
In Utero Treatment of Lymphatic Malformations: A Narrative Review of the Literature, Considerations, and Future Directions
by Elizabeth Reynolds, David Rosas, Emily Byrd and Diana L. Farmer
Lymphatics 2025, 3(4), 46; https://doi.org/10.3390/lymphatics3040046 - 12 Dec 2025
Viewed by 351
Abstract
Lymphatic malformations are rare congenital anomalies that range from small, self-limited lesions to large, rapidly expanding masses capable of causing serious perinatal complications, including hydrops fetalis, polyhydramnios, airway obstruction, and fetal demise. Although most lesions are managed expectantly or postnatally, in utero interventions [...] Read more.
Lymphatic malformations are rare congenital anomalies that range from small, self-limited lesions to large, rapidly expanding masses capable of causing serious perinatal complications, including hydrops fetalis, polyhydramnios, airway obstruction, and fetal demise. Although most lesions are managed expectantly or postnatally, in utero interventions have been attempted in highly select cases where lesions threaten pregnancy viability or safety of delivery. Reported approaches include the perinatal option of ex utero intrapartum therapy, intrauterine ultrasound-guided cyst aspiration for decompression, intrauterine intralesional sclerotherapy with agents such as OK-432, and more recently, maternal pharmacologic therapy targeting the mTOR pathways. This review summarizes the available literature describing prenatal management of these lesions, including procedural techniques, maternal and fetal outcomes, and emerging strategies. Together, these findings highlight the potential promise and the caution necessary in translating postnatal therapeutic advances for lymphatic malformations to the prenatal setting. Full article
11 pages, 1933 KB  
Case Report
Identification of a Novel FLNC Truncating Variant in Fetal Tetralogy of Fallot: A Case Report and Review of the Literature
by Zhiqiang Zhang, Dandan Wang, Cong Fang, Linan Xu, Shujing He, Zi Ren, Lei Jia and Xiaoyan Liang
Diagnostics 2025, 15(24), 3097; https://doi.org/10.3390/diagnostics15243097 - 5 Dec 2025
Viewed by 388
Abstract
Background and Clinical SignificanceFLNC encodes filamin C, a muscle-scaffolding protein crucial for cardiac integrity. Pathogenic FLNC variants cause diverse cardiomyopathies (hypertrophic, dilated, restrictive, and arrhythmogenic) and myofibrillar myopathies, but their role in congenital cardiac malformations is unclear. Notably, FLNC has not [...] Read more.
Background and Clinical SignificanceFLNC encodes filamin C, a muscle-scaffolding protein crucial for cardiac integrity. Pathogenic FLNC variants cause diverse cardiomyopathies (hypertrophic, dilated, restrictive, and arrhythmogenic) and myofibrillar myopathies, but their role in congenital cardiac malformations is unclear. Notably, FLNC has not been implicated in structural defects such as Tetralogy of Fallot (TOF) to date. Case Presentation: Two fetuses from the same family were prenatally diagnosed with TOF via ultrasound. The trio whole-exome sequencing of the second fetus and her parents identified a novel heterozygous truncating FLNC variant (NM_001458.5:c.1453C>T, p.Q485*). Sanger sequencing confirmed the same variant in the earlier TOF fetus. The mother carried the variant but was asymptomatic. In vitro mutagenesis in rat cardiomyocytes showed that the mutant FLNC construct produced markedly reduced FLNC proteins compared to the wild type and did not form abnormal cytoplasmic aggregates. Conclusions: We report on a novel FLNC truncating variant associated with fetal TOF, extending the spectrum of FLNC-related cardiac anomalies. The variable outcomes among variant carriers—from fetal TOF to adult cardiomyopathy or no clinical manifestations—underscore the complex genotype–phenotype correlations of filaminopathy. This case highlights the importance of comprehensive genetic evaluation in families with diverse cardiac phenotypes and suggests that additional genetic factors likely influence phenotypic expression. Full article
(This article belongs to the Special Issue Opportunities in Laboratory Medicine in the Era of Genetic Testing)
Show Figures

Figure 1

24 pages, 2238 KB  
Article
Heart Morphometry in Standard Second Trimester Scan
by Alexandru-Cristian Comănescu, Dragoș-Ovidiu Alexandru, Maria-Cristina Comănescu, Agnesa Preda and Mar Bennasar
Diagnostics 2025, 15(23), 3088; https://doi.org/10.3390/diagnostics15233088 - 4 Dec 2025
Viewed by 281
Abstract
Introduction: Routine second trimester anomaly scans include standard cardiac planes, yet detailed cardiac morphometry is not part of current practice. We hypothesized that a comprehensive set of cardiac measurements could be obtained from these standard views without prolonging examination time and with clinically [...] Read more.
Introduction: Routine second trimester anomaly scans include standard cardiac planes, yet detailed cardiac morphometry is not part of current practice. We hypothesized that a comprehensive set of cardiac measurements could be obtained from these standard views without prolonging examination time and with clinically meaningful reproducibility. Methods: We conducted a prospective study involving ninety-two uncomplicated singleton pregnancies undergoing routine second trimester anomaly scans. Cardiac measurements were obtained using standard ISUOG/SRUOG planes, both during the examination and offline. Feasibility, reproducibility, and the impact on scanning time were evaluated, and results were compared with established reference ranges. Results: All morphometric measurements were successfully obtained in 100% of included cases. Mean “screen time” increased only minimally from 35.45 min (95% CI 32.9–38.0) to 38.75 min (95% CI 36.1–41.4), with a non-significant mean difference of 3.30 min (p = 0.063). Most z-scores fell within ±2 SD. Intra-observer reproducibility ranged from fair to excellent, with strong correlations for major cardiac dimensions (r > 0.80 for multiple parameters). Conclusions: Comprehensive fetal cardiac morphometry can be integrated into the routine second trimester anomaly scan using standard imaging planes, without prolonging the examination. This approach may support earlier recognition of atypical growth patterns or cardiac remodeling. Full article
(This article belongs to the Section Clinical Diagnosis and Prognosis)
Show Figures

Figure 1

14 pages, 313 KB  
Review
Trophoblast Function in Preeclampsia: Decoding the Mechanistic Roles of Coding and Non-Coding Genes
by Mihaela Oancea, Stefan Strilciuc, Oana Zanoaga, Cristina Ciocan, Andrei Malutan, Ingrid Păunescu, Dan Boitor, Cornelia Braicu and Dan Mihu
Int. J. Mol. Sci. 2025, 26(23), 11709; https://doi.org/10.3390/ijms262311709 - 3 Dec 2025
Viewed by 796
Abstract
Preeclampsia (PE) is an obstetric disorder with significant risks to both maternal and fetal health, characterized by hypertension and multi-organ dysfunction. Central to its pathogenesis is the impaired differentiation and function of trophoblast cells, leading to abnormal placental development and defective uterine vascular [...] Read more.
Preeclampsia (PE) is an obstetric disorder with significant risks to both maternal and fetal health, characterized by hypertension and multi-organ dysfunction. Central to its pathogenesis is the impaired differentiation and function of trophoblast cells, leading to abnormal placental development and defective uterine vascular remodeling. This dysfunctional placentation triggers a cascade of oxidative stress, systemic inflammation, and immune dysregulation, collectively exacerbating disease severity. The trophoblast regulates maternal–fetal interactions through complex and tightly controlled gene expression networks, in which non-coding RNAs such as microRNAs (miRNAs) and circular RNAs (circRNAs) play essential regulatory roles. Here, we summarize current findings on transcriptomic alterations associated with trophoblast anomalies in PE and discuss their potential translational applications. Understanding these molecular mechanisms may enhance early diagnosis, improve clinical outcomes, and pave the way for precision medicine and individualized therapeutic strategies in PE. Full article
(This article belongs to the Special Issue Molecular Pathology of the Placenta in Pregnancy Complications)
Back to TopTop