Prenatal Exome Sequencing: When Does Diagnostic Yield Meet Clinical Utility?
Abstract
1. Introduction
2. Materials and Methods
2.1. Cytogenetic Analysis
2.2. ES Analysis and Blinded Reanalysis
3. Results
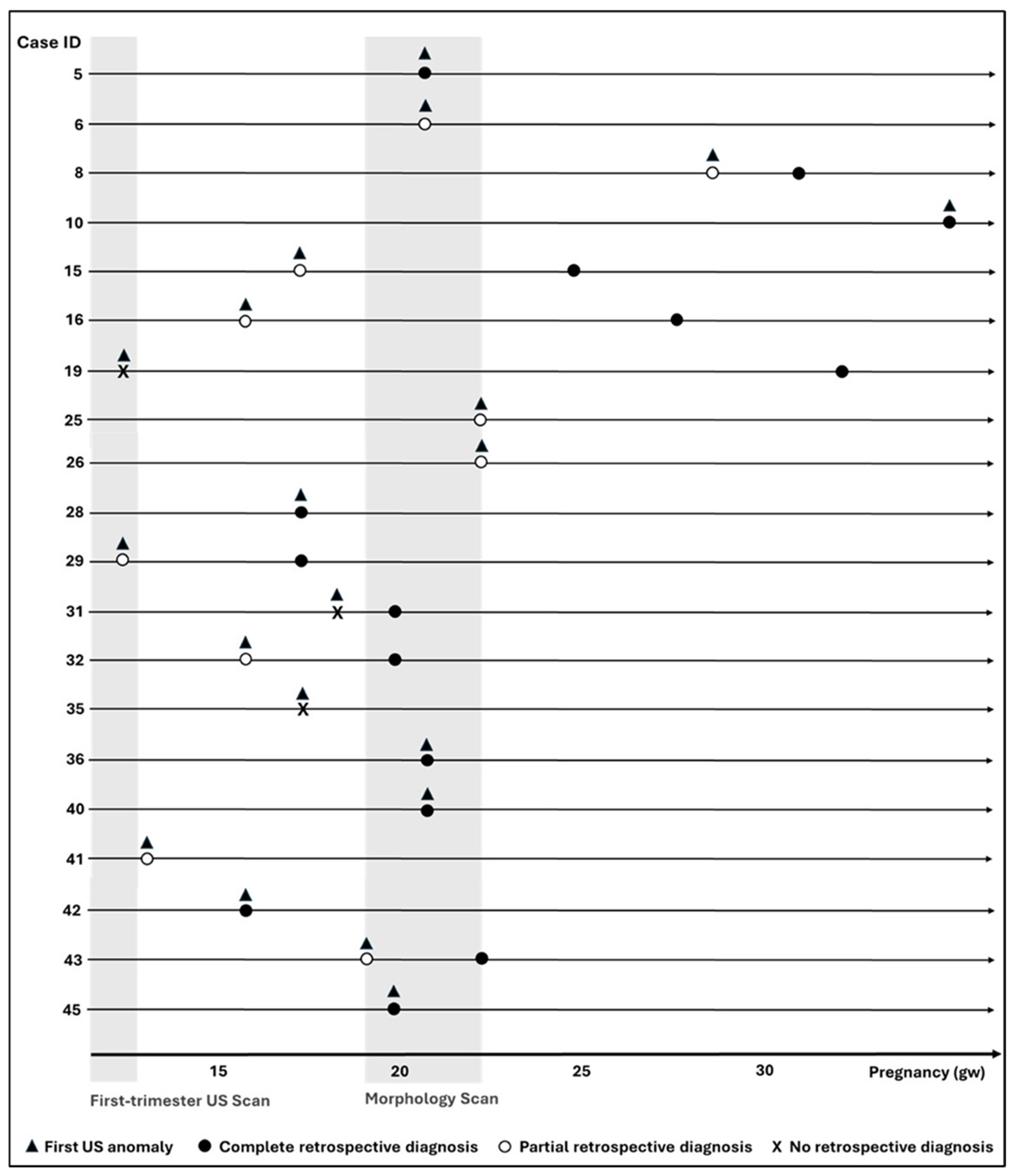
3.1. Family and Pregnancy Data
3.2. Postnatal/Postmortem ES Results
3.3. Genotype–Phenotype Correlation with Postmortem/Postnatal Data
3.4. Blinded Study: Genotype–Phenotype Correlation with Prenatal Data Only
4. Discussion
5. Conclusions
Supplementary Materials
Author Contributions
Funding
Institutional Review Board Statement
Informed Consent Statement
Data Availability Statement
Acknowledgments
Conflicts of Interest
Abbreviations
| pES | Prenatal Exome Sequencing |
| US | Ultrasound |
| ES | Exome Sequencing |
| CMA | Chromosomal Microarray |
| TATs | Turnaround Times |
| TOP | Termination Of Pregnancy |
| MRI | Magnetic Resonance imaging |
| CT | Computed Tomography |
| CNV | Copy Number Variant |
| VCF | Variant Call File |
| gw | Gestational Week |
| CNS | Central Nervous System |
| IUGR | Intrauterine Growth Restriction |
References
- Dolk, H.; Loane, M.; Garne, E. The Prevalence of Congenital Anomalies in Europe. Rare Dis. Epidemiol. 2010, 686, 349–364. [Google Scholar] [CrossRef]
- Sileo, F.G.; Finarelli, A.; Contu, G.; Lugli, L.; Dipace, V.; Ballarini, M.; Guidi, C.; Facchinetti, F.; Bertucci, E. Ultrasound screening for fetal anomalies in a single center: Diagnostic performances twenty years after the Eurofetus Study. J. Matern.-Fetal Neonatal Med. 2024, 35, 6312–6319. [Google Scholar] [CrossRef]
- Wapner, R.J.; Martin, C.L.; Levy, B.; Ballif, B.C.; Eng, C.M.; Zachary, J.M.; Savage, M.; Platt, L.D.; Saltzman, D.; Grobman, W.A.; et al. Chromosomal Microarray versus Karyotyping for Prenatal Diagnosis. N. Engl. J. Med. 2012, 367, 2175–2184. [Google Scholar] [CrossRef]
- Callaway, J.L.A.; Shaffer, L.G.; Chitty, L.S.; Rosenfeld, J.A.; Crolla, J.A. The clinical utility of microarray technologies applied to prenatal cytogenetics in the presence of a normal conventional karyotype: A review of the literature. Prenat. Diagn. 2013, 33, 1119–1123. [Google Scholar] [CrossRef] [PubMed]
- Best, S.; Wou, K.; Vora, N.; Van der Veyver, I.B.; Wapner, R.; Chitty, L.S. Promises, pitfalls and practicalities of prenatal whole exome sequencing. Prenat. Diagn. 2018, 38, 10–19. [Google Scholar] [CrossRef]
- Lord, J.; McMullan, D.J.; Eberhardt, R.Y.; Rinck, G.; Hamilton, S.J.; Quinlan-Jones, E.; Prigmore, E.; Keelagher, R.; Best, S.K.; Carey, G.K.; et al. Prenatal exome sequencing analysis in fetal structural anomalies detected by ultrasonography (PAGE): A cohort study. Lancet 2019, 393, 747–757. [Google Scholar] [CrossRef] [PubMed]
- Petrovski, S.; Aggarwal, V.; Giordano, J.L.; Stosic, M.; Wou, K.; Bier, L.; Spiegel, E.; Brennan, K.; Stong, N.; Jobanputra, V.; et al. Whole-exome sequencing in the evaluation of fetal structural anomalies: A prospective cohort study. Lancet 2019, 393, 758–767. [Google Scholar] [CrossRef]
- Chandler, N.; Best, S.; Hayward, J.; Faravelli, F.; Mansour, S.; Kivuva, E.; Tapon, D.; Male, A.; DeVile, C.; Chitty, L.S. Rapid prenatal diagnosis using targeted exome sequencing: A cohort study to assess feasibility and potential impact on prenatal counseling and pregnancy management. Genet. Med. 2018, 20, 1430–1437. [Google Scholar] [CrossRef]
- Zhou, X.; Chandler, N.; Deng, L.; Zhou, J.; Yuan, M.; Sun, L. Prenatal diagnosis of skeletal dysplasias using a targeted skeletal gene panel. Prenat. Diagn. 2018, 38, 692–699. [Google Scholar] [CrossRef]
- Han, J.; Yang, Y.-D.; He, Y.; Liu, W.-J.; Zhen, L.; Pan, M.; Yang, X.; Zhang, V.W.; Liao, C.; Li, D.Z. Rapid prenatal diagnosis of skeletal dysplasia using medical trio exome sequencing: Benefit for prenatal counseling and pregnancy management. Prenat. Diagn. 2020, 40, 577–584. [Google Scholar] [CrossRef]
- Mellis, R.; Oprych, K.; Scotchman, E.; Hill, M.; Chitty, L.S. Diagnostic yield of exome sequencing for prenatal diagnosis of fetal structural anomalies: A systematic review and meta-analysis. Prenat. Diagn. 2022, 42, 662–685. [Google Scholar] [CrossRef]
- Janicki, E.; De Rademaeker, M.; Meunier, C.; Boeckx, N.; Blaumeiser, B.; Janssens, K. Implementation of Exome Sequencing in Prenatal Diagnostics: Chances and Challenges. Diagnostics 2023, 13, 860. [Google Scholar] [CrossRef]
- Qin, Y.; Yao, Y.; Liu, N.; Wang, B.; Liu, L.; Li, H.; Gao, T.; Xu, R.; Wang, X.; Zhang, F.; et al. Prenatal whole-exome sequencing for fetal structural anomalies: A retrospective analysis of 145 Chinese cases. BMC Med. Genom. 2023, 16, 262. [Google Scholar] [CrossRef]
- Thauvin-Robinet, C.; Garde, A.; Delanne, J.; Racine, C.; Rousseau, T.; Simon, E.; François, M.; Moutton, S.; Sylvie, O.; Quelin, C.; et al. Prenatal exome sequencing, a powerful tool for improving the description of prenatal features associated with genetic disorders. Prenat. Diagn. 2024, 44, 1179–1197. [Google Scholar] [CrossRef]
- Chandler, N.J.; Scotchman, E.; Mellis, R.; Ramachandran, V.; Roberts, R.; Chitty, L.S. Lessons learnt from prenatal exome sequencing. Prenat. Diagn. 2022, 42, 831–844. [Google Scholar] [CrossRef]
- Lewis, C.; Hammond, J.; Klapwijk, J.E.; Harding, E.; Lou, S.; Vogel, I.; Szepe, E.J.; Hui, L.; Ingvoldstad-Malmgren, C.; Soller, M.J.; et al. Dealing with uncertain results from chromosomal microarray and exome sequencing in the prenatal setting: An international cross-sectional study with healthcare professionals. Prenat. Diagn 2021, 41, 720–732. [Google Scholar] [CrossRef]
- Horn, R.; Parker, M. Opening Pandora’s box? Ethical issues in prenatal whole genome and exome sequencing. Prenat. Diagn. 2018, 38, 20–25. [Google Scholar] [CrossRef]
- Van den Veyver, I.B.; Chandler, N.; Wilkins-Haug, L.E.; Wapner, R.J.; Chitty, L.S. Directors IB of International Society for Prenatal Diagnosis Updated Position Statement on the use of genome-wide sequencing for prenatal diagnosis. Prenat. Diagn. 2022, 42, 796–803. [Google Scholar] [CrossRef]
- Slavotinek, A.; Rego, S.; Sahin-Hodoglugil, N.; Kvale, M.; Lianoglou, B.; Yip, T.; Hoban, H.; Outram, S.; Anguiano, B.; Chen, F.; et al. Diagnostic yield of pediatric and prenatal exome sequencing in a diverse population. npj Genom. Med. 2023, 8, 10. [Google Scholar] [CrossRef]
- Tolusso, L.K.; Hazelton, P.; Wong, B.; Swarr, D.T. Beyond diagnostic yield: Prenatal exome sequencing results in maternal, neonatal, and familial clinical management changes. Genet. Med. 2021, 23, 909–917. [Google Scholar] [CrossRef]
- Corsten-Janssen, N.; Bouman, K.; Diphoorn, J.C.D.; Scheper, A.J.; Kinds, R.; el Mecky, J.; Breet, H.; Verheij, J.B.G.M.; Suijkerbuijk, R.; Duin, L.K.; et al. A prospective study on rapid exome sequencing as a diagnostic test for multiple congenital anomalies on fetal ultrasound. Prenat. Diagn. 2020, 40, 1300–1309. [Google Scholar] [CrossRef]
- Deden, C.; Neveling, K.; Zafeiropopoulou, D.; Gilissen, C.; Pfundt, R.; Rinne, T.; de Leeuw, N.; Faas, B.; Gardeitchik, T.; Sallevelt, S.C.E.H.; et al. Rapid whole exome sequencing in pregnancies to identify the underlying genetic cause in fetuses with congenital anomalies detected by ultrasound imaging. Prenat. Diagn. 2020, 40, 972–983. [Google Scholar] [CrossRef]
- de Koning, M.A.; Haak, M.C.; Adama van Scheltema, P.N.; Peeters-Scholte, C.M.P.C.D.; Koopmann, T.T.; Nibbeling, E.A.R.; Aten, E.; den Hollander, N.S.; Ruivenkamp, C.A.L.; Hoffer, M.J.V.; et al. From diagnostic yield to clinical impact: A pilot study on the implementation of prenatal exome sequencing in routine care. Genet. Med. 2019, 21, 2303–2310. [Google Scholar] [CrossRef]
- Mone, F.; McMullan, D.; Williams, D.; Chitty, L.; Maher, E.; Kilby, M.; Fetal Genomics Steering Group of the British Society for Genetic Medicine, on behalf of the Royal College of Obstetricians and Gynaecologists. Evidence to Support the Clinical Utility of Prenatal Exome Sequencing in Evaluation of the Fetus with Congenital Anomalies: Scientific Impact Paper No. 64 [February] 2021. BJOG Int. J. Obstet. Gynaecol. 2021, 128, e39–e50. [Google Scholar] [CrossRef]
- Greenbaum, L.; Pode-Shakked, B.; Eisenberg-Barzilai, S.; Dicastro-Keidar, M.; Bar-Ziv, A.; Goldstein, N.; Reznik-Wolf, H.; Poran, H.; Rigbi, A.; Barel, O.; et al. Evaluation of Diagnostic Yield in Fetal Whole-Exome Sequencing: A Report on 45 Consecutive Families. Front. Genet. 2019, 10, 425. [Google Scholar] [CrossRef]
- Vaknin, N.; Azoulay, N.; Tsur, E.; Tripolszki, K.; Urzi, A.; Rolfs, A.; Bauer, P.; Achiron, R.; Lipitz, S.; Goldberg, Y.; et al. High rate of abnormal findings in Prenatal Exome Trio in low risk pregnancies and apparently normal fetuses. Prenat. Diagn. 2021, 42, 725–735. [Google Scholar] [CrossRef] [PubMed]
- Wang, Y.; Greenfeld, E.; Watkins, N.; Belesiotis, P.; Zaidi, S.H.; Marshall, C.; Thiruvahindrapuram, B.; Shannon, P.; Roifman, M.; Chong, K.; et al. Diagnostic yield of genome sequencing for prenatal diagnosis of fetal structural anomalies. Prenat. Diagn. 2022, 42, 822–830. [Google Scholar] [CrossRef] [PubMed]
- Becher, N.; Andreasen, L.; Sandager, P.; Lou, S.; Petersen, O.B.; Christensen, R.; Vogel, I. Implementation of exome sequencing in fetal diagnostics—Data and experiences from a tertiary center in Denmark. Acta Obstet. Gynecol. Scand. 2020, 99, 783–790. [Google Scholar] [CrossRef] [PubMed]
- Dempsey, E.; Haworth, A.; Ive, L.; Dubis, R.; Savage, H.; Serra, E.; Kenny, J.; Elmslie, F.; Greco, E.; Thilaganathan, B.; et al. A report on the impact of rapid prenatal exome sequencing on the clinical management of 52 ongoing pregnancies: A retrospective review. BJOG Int. J. Obstet. Gynaecol. 2021, 128, 1012–1019. [Google Scholar] [CrossRef] [PubMed]
- Fu, F.; Li, R.; Yu, Q.; Wang, D.; Deng, Q.; Li, L.; Lei, T.; Chen, G.; Nie, Z.; Yang, X.; et al. Application of exome sequencing for prenatal diagnosis of fetal structural anomalies: Clinical experience and lessons learned from a cohort of 1618 fetuses. Genome Med. 2022, 14, 123. [Google Scholar] [CrossRef]
- Novelli, A.; Bricarelli, F.D.; Camurri, L.; Cavani, S.; Giardino, D.; Grati, F.R. Linee Guida per la Diagnosi Citogenetica—Sezione Note Operative Citogenetica Costituzionale 2013. 2014. Available online: https://sigu.net/wp-content/uploads/2020/11/Note_Operative_Citogenetica__Costituzionale_2014.pdf (accessed on 21 December 2025).
- Silva, M.; De Leeuw, N.; Mann, K.; Schuring-Blom, H.; Morgan, S.; Giardino, D.; Rack, K.; Hastings, R. European guidelines for constitutional cytogenomic analysis. Eur. J. Hum. Genet. 2019, 27, 1–16. [Google Scholar] [CrossRef]
- Riggs, E.R.; Andersen, E.F.; Cherry, A.M.; Kantarci, S.; Kearney, H.; Patel, A.; Raca, G.; Ritter, D.I.; South, S.T.; Thorland, E.C.; et al. Technical standards for the interpretation and reporting of constitutional copy-number variants: A joint consensus recommendation of the American College of Medical Genetics and Genomics (ACMG) and the Clinical Genome Resource (ClinGen). Genet. Med. 2020, 22, 245–257. [Google Scholar] [CrossRef] [PubMed]
- S.Karger AG. ISCN 2020: An International System for Human Cytogenomic Nomenclature (2020); McGowan-Jordan, J., Hastings, R.J., Moore, S., Eds.; S.Karger AG: Basel, Switzerland, 2020. [Google Scholar] [CrossRef]
- Sana, M.E.; Iascone, M.; Marchetti, D.; Palatini, J.; Galasso, M.; Volinia, S. GAMES identifies and annotates mutations in next-generation sequencing projects. Bioinformatics 2011, 27, 9–13. [Google Scholar] [CrossRef]
- Chen, S.; Francioli, L.C.; Goodrich, J.K.; Collins, R.L.; Kanai, M.; Wang, Q.; Alföldi, J.; Watts, N.A.; Vittal, C.; Gauthier, L.D.; et al. A genomic mutational constraint map using variation in 76,156 human genomes. Nature 2024, 625, 92–100. [Google Scholar] [CrossRef] [PubMed]
- Landrum, M.J.; Lee, J.M.; Benson, M.; Brown, G.R.; Chao, C.; Chitipiralla, S.; Gu, B.; Hart, J.; Hoffman, D.; Jang, W.; et al. ClinVar: Improving access to variant interpretations and supporting evidence. Nucleic Acids Res. 2018, 46, D1062–D1067. [Google Scholar] [CrossRef]
- Richards, S.; Aziz, N.; Bale, S.; Bick, D.; Das, S.; Gastier-Foster, J.; Grody, W.W.; Hegde, M.; Lyon, E.; Spector, E.; et al. Standards and guidelines for the interpretation of sequence variants: A joint consensus recommendation of the American College of Medical Genetics and Genomics and the Association for Molecular Pathology. Genet. Med. Off. J. Am. Coll. Med. Genet. 2015, 17, 405–424. [Google Scholar] [CrossRef]
- Martin, A.R.; Williams, E.; Foulger, R.E.; Leigh, S.; Daugherty, L.C.; Niblock, O.; Leong, I.U.S.; Smith, K.R.; Gerasimenko, O.; Haraldsdottir, E.; et al. PanelApp crowdsources expert knowledge to establish consensus diagnostic gene panels. Nat. Genet. 2019, 51, 1560–1565. [Google Scholar] [CrossRef]
- Ronzoni, L.; Boito, S.; Meossi, C.; Cesaretti, C.; Rinaldi, B.; Agolini, E.; Rizzuti, T.; Pezzoli, L.; Silipigni, R.; Novelli, A.; et al. Prenatal ultrasound findings associated with PIGW variants: One more piece in the FRYNS syndrome puzzle? PIGW—Related prenatal findings. Prenat. Diagn. 2022, 42, 1493–1502. [Google Scholar] [CrossRef] [PubMed]
- Rinaldi, B.; Cesaretti, C.; Boito, S.; Villa, R.; Guerneri, S.; Borzani, I.; Rizzuti, T.; Marchetti, D.; Conte, G.; Cinnante, C.; et al. Family history is key to the interpretation of exome sequencing in the prenatal context: Unexpected diagnosis of Basal Cell Nevus Syndrome. Prenat. Diagn. 2022, 42, 927–933. [Google Scholar] [CrossRef]
- Woods, D.J. R21, Rapid Prenatal Exome Sequencing—Knowledge Hub. GeNotes. Available online: https://www.genomicseducation.hee.nhs.uk/genotes/knowledge-hub/r21-rapid-prenatal-exome-sequencing/ (accessed on 6 August 2024).
- Ferretti, L.; Mellis, R.; Chitty, L.S. Update on the use of exome sequencing in the diagnosis of fetal abnormalities. Eur. J. Med. Genet. 2019, 62, 103663. [Google Scholar] [CrossRef]
- Lefebvre, M.; Bruel, A.-L.; Tisserant, E.; Bourgon, N.; Duffourd, Y.; Collardeau-Frachon, S.; Attie-Bitach, T.; Kuentz, P.; Assoum, M.; Schaefer, E.; et al. Genotype-first in a cohort of 95 fetuses with multiple congenital abnormalities: When exome sequencing reveals unexpected fetal phenotype-genotype correlations. J. Med. Genet. 2021, 58, 400–413. [Google Scholar] [CrossRef] [PubMed]


| Case ID | GW of First US Finding | Category | Prenatal Anomalies | ES Results |
|---|---|---|---|---|
| 5 | 21 | Hydrops/Lymphatic/Effusion | Bilateral hydrothorax | EPHB4 (NM_004444.5):c.2216G>A, p.(Arg739Gln) het dn |
| 6 | 21 | Skeletal | Long bone shortening | SLC26A2 (NM_000112.4):c.835C>T, p.(Arg279Trp) hom |
| 8 | 29 | Hydrops/Lymphatic/Effusion | Macrocephaly, cerebrospinal fluid space enlargement, polyhydramnios, hepatomegaly | NRAS (NM_002524.5):c.34G>A, p.(Gly12Ser) het dn |
| 10 | 36 | Hydrops/Lymphatic/Effusion | Bilateral hydrothorax, polyhydramnios, short long bones, hypoplastic kidneys | PTPN11: c.923A>C, p.(Asn308Thr) het dn |
| 15 | 17 | Renal | Hypoplastic left pelvic kidney, SUA, polyhydramnios | KMT2D (NM_002834.5):c.14710C>T, p.(Arg4904ter) het |
| 16 | 16 | Multisystem | Fallot tetralogy, IUGR | GNPAT (NM_014236.4):c.1280-2A>G/p.Arg335ter ch |
| 19 | 12 | Multisystem | IUGR, brachydactyly, interventricular septum hypertrophy | SMAD4 (NM_005359.6): c.1499T>C, p.(Ile500Thr) het dn |
| 25 | 22 | Multisystem | Polyhydramnios, hydrops, short long bones | SEC23B (NM_006363.6):c.716A>G, p.(Asp239Gly) hom |
| 26 | 22 | Multisystem | Polyhydramnios, short long bones, cerebellar hypoplasia | SEC23B (NM_006363.6):c.716A>G, p.(Asp239Gly) hom |
| 28 | 17 | Multisystem | Oligohydramnios, ventriculomegaly, cerebellum not detected, micrognathia | WDR81 (NM_001163809.2):c.1403G>A/c.4160del, p.(Arg468His/Phe1387SerfsTer13) ch |
| 29 | 17 | Multisystem | Oligohydramnios, ventriculomegaly, cerebellum not detected, micrognathia, Fallot tetralogy | WDR81 (NM_001163809.2):c.1403G>A/c.4160del p.(Arg468His/Phe1387SerfsTer13) ch |
| 31 | 18 | Multisystem | Polyhydramnios, bilateral hydronephrosis, short long bones, clinodactyly | PIGW (NM_001346754.2):c.827T>C, p.(Leu276Pro) hom |
| 32 | 16 | Multisystem | Bilateral pyelectasis, short long bones, micrognathia, cerebellar and corpus callosum hypoplasia | PIGW (NM_001346754.2):c.827T>C, p.(Leu276Pro) hom |
| 35 | 17 | Multisystem | Renal agenesis, anhydramnios | PTCH1 (NM_000264.5):c.648_651dup, p.(Gln218fs*) het mat |
| 36 | 21 | Multisystem | Cleft lip and palate, ventriculomegaly, hypertelorism | PTCH1 (NM_000264.5):c.648_651dup, p.(Gln218fs) het mat |
| 40 | 20 | Multisystem | Diaphragmatic hernia, hypoplastic corpus callosum, low-set ears, clenched hands | SMARCA4 (NM_003072.5):c.3557C>T, p.(Ala1186Val) het dn |
| 41 | 13 | Multisystem | Micrognathia, cleft palate, persistent flexion of the arms, hand and foot agenesis | MYH3 (NM_002470.4):c.463A>G, p.(Ile155Val) het dn |
| 42 | 16 | CNS | Semilobar holoprosencephaly | NIPBL (NM_133433.4):c.6801G>T, p.(Met2267Ile) het dn |
| 43 | 19 | Multisystem | Hydrothorax, cardiac hypertrophy, small and low-set ears, hypertelorism, hypospadias | NIPBL (NM_133433.4):c.5482C>G, p.(Arg1828Gly) het dn |
| 45 | 20 | CNS | Ventriculomegaly, hypoplastic corpus callosum | L1CAM (NM_001278116.2):c.3774G>C, p.(Ter1258Tyrext*264) hem mat |
Disclaimer/Publisher’s Note: The statements, opinions and data contained in all publications are solely those of the individual author(s) and contributor(s) and not of MDPI and/or the editor(s). MDPI and/or the editor(s) disclaim responsibility for any injury to people or property resulting from any ideas, methods, instructions or products referred to in the content. |
© 2025 by the authors. Licensee MDPI, Basel, Switzerland. This article is an open access article distributed under the terms and conditions of the Creative Commons Attribution (CC BY) license.
Share and Cite
Carrer, A.; Crupano, F.M.; Rinaldi, B.; Scuvera, G.; Cesaretti, C.; Nicotra, V.; Gangi, S.; Colombo, L.; Araimo, G.; Tagliabue, M.; et al. Prenatal Exome Sequencing: When Does Diagnostic Yield Meet Clinical Utility? Genes 2026, 17, 37. https://doi.org/10.3390/genes17010037
Carrer A, Crupano FM, Rinaldi B, Scuvera G, Cesaretti C, Nicotra V, Gangi S, Colombo L, Araimo G, Tagliabue M, et al. Prenatal Exome Sequencing: When Does Diagnostic Yield Meet Clinical Utility? Genes. 2026; 17(1):37. https://doi.org/10.3390/genes17010037
Chicago/Turabian StyleCarrer, Alessia, Francesco Maria Crupano, Berardo Rinaldi, Giulietta Scuvera, Claudia Cesaretti, Valeria Nicotra, Silvana Gangi, Lorenzo Colombo, Gabriella Araimo, Matilde Tagliabue, and et al. 2026. "Prenatal Exome Sequencing: When Does Diagnostic Yield Meet Clinical Utility?" Genes 17, no. 1: 37. https://doi.org/10.3390/genes17010037
APA StyleCarrer, A., Crupano, F. M., Rinaldi, B., Scuvera, G., Cesaretti, C., Nicotra, V., Gangi, S., Colombo, L., Araimo, G., Tagliabue, M., Marchetti, D., Pezzoli, L., Garzo, M., Accurti, V., Volpe, G., Boito, S., Finelli, P., Fumagalli, M., Bedeschi, M. F., ... Natacci, F. (2026). Prenatal Exome Sequencing: When Does Diagnostic Yield Meet Clinical Utility? Genes, 17(1), 37. https://doi.org/10.3390/genes17010037

