Sign in to use this feature.

Years

Between: -

Subjects

remove_circle_outline
remove_circle_outline
remove_circle_outline
remove_circle_outline

Journals

Article Types

Countries / Regions

Search Results (11)

Search Parameters:
Keywords = ferric hydroxy-oxides

Order results
Result details
Results per page
Select all
Export citation of selected articles as:
21 pages, 1963 KB  
Article
Juniperus communis L. Needle Extract Modulates Oxidative and Inflammatory Pathways in an Experimental Model of Acute Inflammation
by Dinu Bolunduț, Alina Elena Pârvu, Andra Diana Cecan, Anca Elena But, Florica Ranga, Marcel Pârvu, Iulia Ioana Morar and Ciprian Ovidiu Dalai
Molecules 2026, 31(2), 247; https://doi.org/10.3390/molecules31020247 - 11 Jan 2026
Viewed by 678
Abstract
Juniperus communis L. is a conifer widely used in traditional European medicine for the management of inflammatory disorders. However, its effects on oxidative stress and inflammation remain incompletely characterized. The present study investigated the antioxidant and anti-inflammatory potential of an ethanolic needle extract [...] Read more.
Juniperus communis L. is a conifer widely used in traditional European medicine for the management of inflammatory disorders. However, its effects on oxidative stress and inflammation remain incompletely characterized. The present study investigated the antioxidant and anti-inflammatory potential of an ethanolic needle extract of J. communis using in vitro assays and an in vivo model of acute inflammation induced by turpentine oil in rats. Phytochemical profiling by HPLC–DAD–ESI–MS revealed a polyphenol-rich extract dominated by flavonols, flavanols, and hydroxybenzoic acids, with quercetin derivatives and taxifolin as major constituents. In vitro analyses demonstrated radical-scavenging and reducing capacities, exceeding or comparable to reference antioxidants in DPPH, hydrogen peroxide, ferric-reducing, and nitric oxide scavenging assays. In vivo, both therapeutic and prophylactic administration of the extract significantly attenuated oxidative and nitrosative stress, as evidenced by reductions in total oxidant status, oxidative stress index, malondialdehyde, advanced oxidation protein products, nitric oxide, 3-nitrotyrosine, and 8-hydroxy-2′-deoxyguanosine, alongside restoration of total antioxidant capacity and thiol levels. These effects were concentration-dependent. Concomitantly, inflammatory signaling was suppressed, with decreased NF-κB activity and reduced levels of interleukin-1β and interleukin-18. These results support the use of these extracts, whose benefits have been observed in traditional medicine, providing scientific support for the anti-inflammatory and antioxidant capacity of J. communis extract. Full article
Show Figures

Graphical abstract

25 pages, 9489 KB  
Article
Moringa (Moringa oleifera) Leaf Attenuates the High-Cholesterol Diet-Induced Adverse Events in Zebrafish: A 12-Week Dietary Intervention Resulted in an Anti-Obese Effect and Blood Lipid-Lowering Properties
by Kyung-Hyun Cho, Ashutosh Bahuguna, Yunki Lee, Ji-Eun Kim, Sang Hyuk Lee and Krismala Djayanti
Pharmaceuticals 2025, 18(9), 1336; https://doi.org/10.3390/ph18091336 - 5 Sep 2025
Cited by 1 | Viewed by 4129
Abstract
Objective: The study investigates the dietary effects of Moringa oleifera leaf powder on obesity, blood biochemical parameters, and organ health in hyperlipidemic zebrafish (Danio rerio). Methodology: Adult hyperlipidemic zebrafish (n = 56/group) were fed for 12 weeks either with a [...] Read more.
Objective: The study investigates the dietary effects of Moringa oleifera leaf powder on obesity, blood biochemical parameters, and organ health in hyperlipidemic zebrafish (Danio rerio). Methodology: Adult hyperlipidemic zebrafish (n = 56/group) were fed for 12 weeks either with a high-cholesterol diet (HCD, 4% w/w) or HCD supplemented with 0.5% (w/w) M. oleifera leaf powder (0.5% MO) or HCD with 1.0% (w/w) M. oleifera leaf powder (1.0% MO). At different time points (0 to 12 weeks), the survivability and body weight (BW) of zebrafish were measured, while various biochemical and histological evaluations were performed after 12 weeks of feeding the respective diets. Additionally, an in silico approach was used to assess the binding interactions of MO phytoconstituents with 3-hydroxy-3-methylglutaryl coenzyme A (HMG-CoA) reductase. Results: Following 12-week supplementation, higher zebrafish survivability was observed in the MO-supplemented groups compared to the survivability of the HCD group. Relative to the initial BW, only 4% BW enhancement was observed post 12 weeks of dietary intake of 1.0% MO, in contrast to 27% BW gain in the HCD group. MO supplementation at both (0.5% and 1.0%) effectively mitigates the HCD-induced dyslipidemia and significantly minimizes the atherogenic coefficient and atherogenic index. Similarly, MO reduces elevated blood glucose levels, the ALT/AST ratio, and augments ferric ion reduction (FRA) and paraoxonase (PON) activity in a dose-dependent manner. Likewise, MO (particularly at 1.0%) effectively restrained HCD-induced steatosis, hepatic interleukin (IL)-6 production, and protected the kidneys, testes, and ovaries from oxidative stress and cellular senescence. The in silico findings underscore that the six phytoconstituents (chlorogenic acid, isoquercetin, kaempferol 3-O-rutinoside, astragalin, apigetrin, and myricetin) of MO exhibited a strong interaction with HMG-CoA reductase active and binding site residues via hydrogen and hydrophobic interactions. Conclusions: The findings demonstrated an antioxidant, anti-inflammatory, and hypoglycemic effect of MO, guiding the events to prevent HCD-induced metabolic stress and safeguard vital organs. Full article
(This article belongs to the Special Issue Drug Candidates for the Treatment of Obesity, 2nd Edition)
Show Figures

Graphical abstract

14 pages, 6265 KB  
Article
Desferrioxamine B: Investigating the Efficacy of Hydrogels and Ethanol Gels for Removing Akaganeite and Maghemite from Dry Wooden Substrates
by Stavroula Rapti, Stamatis Boyatzis, Shayne Rivers, Athanasios Velios and Anastasia Pournou
Forests 2023, 14(2), 247; https://doi.org/10.3390/f14020247 - 28 Jan 2023
Cited by 3 | Viewed by 2949
Abstract
Cultural heritage (CH) wooden artifacts are often stained by iron oxides/hydroxy-oxides, which may have detrimental effects on wood. Their removal is a common conservation practice, and it is usually achieved with non-eco-friendly chelators, such as ethylene diamine tetra acetic acid (EDTA) and diethylene [...] Read more.
Cultural heritage (CH) wooden artifacts are often stained by iron oxides/hydroxy-oxides, which may have detrimental effects on wood. Their removal is a common conservation practice, and it is usually achieved with non-eco-friendly chelators, such as ethylene diamine tetra acetic acid (EDTA) and diethylene triamine penta acetic acid (DTPA). Siderophores are green materials that have been recently explored as chelators, given the currently growing environmental concerns. This work investigated desferrioxamine B (DFO-B), a promising siderophore that has not been adequately studied for its potential in removing ferric oxides/hydroxy-oxides from dry CH wooden substrates. Mock-ups of maple (Acer platanoides L.) were artificially stained with akaganeite and maghemite, and DFO-B was employed via hydrogels (pH: 6.5 and 8.6) and ethanol gels. The chelator efficacy was assessed using Energy-Dispersive Spectroscopy (EDS), Attenuated Total Reflection–Fourier Transform Infrared Spectroscopy (ATR-FTIR), Scanning Electron Microscopy (SEM) and colorimetry. The hydrogels’ impact on the wood was also assessed using ATR-FTIR and colorimetry. The obtained results demonstrate that the most effective DFO-B formulation was the alkaline hydrogel (pH 8.6), followed by the acidic (pH 6.5) hydrogel and the DFO-B ethanol gel. No differences in wood chemistry or color were recorded when using pH 6.5 or 8.6. The DFO-B ethanol gels were also proven to be potential alternatives to hydrogels for use with water-sensitive CH substrates. Full article
(This article belongs to the Collection Historical Wood: Structure, Properties and Conservation)
Show Figures

Figure 1

22 pages, 3466 KB  
Article
Glutathione–Hemin/Hematin Adduct Formation to Disintegrate Cytotoxic Oxidant Hemin/Hematin in Human K562 Cells and Red Blood Cells’ Hemolysates: Impact of Glutathione on the Hemolytic Disorders and Homeostasis
by Sofia K. Georgiou-Siafis, Martina K. Samiotaki, Vassilis J. Demopoulos, George Panayotou and Asterios S. Tsiftsoglou
Antioxidants 2022, 11(10), 1959; https://doi.org/10.3390/antiox11101959 - 30 Sep 2022
Cited by 12 | Viewed by 5824
Abstract
Hemin, an oxidized form of heme, acts as potent oxidant to regulate glutathione (GSH) content in pro-erythroid K562 nucleated cells, via activation of the KEAP1/NRF2 defensive signaling pathway. Moreover, GSH, as an essential metabolite, is involved in the regulation of cell-redox homeostasis and [...] Read more.
Hemin, an oxidized form of heme, acts as potent oxidant to regulate glutathione (GSH) content in pro-erythroid K562 nucleated cells, via activation of the KEAP1/NRF2 defensive signaling pathway. Moreover, GSH, as an essential metabolite, is involved in the regulation of cell-redox homeostasis and proposed to scavenge cytotoxic free heme, which is released from hemoglobin of damaged red blood cells (RBCs) during different hemolytic disorders. In the present study, we aimed to uncover the molecular mechanism by which GSH inhibits hemin-induced cytotoxicity (HIC) by affecting hemin’s structural integrity in K562 cells and in RBC hemolysates. GSH, along with other thiols (cysteine, thioglycolic acid, and mercaptoethanol) altered the spectrum of hemin, while each of them co-added with hemin in cultures of K562 cells prevented HIC and growth arrest and markedly reduced the intracellular level of hemin. In addition, GSH endogenous levels served as a barrier to HIC in K562 cells, as shown by the depletion in GSH. LC-MS/MS analysis of the in vitro reaction between hemin and GSH revealed at least five different isomers of GSH–hemin adducts, as well as hydroxy derivatives as reaction products, which are characterized by unique mass spectra (MS). The latter allowed the detection of adducts in human RBC hemolysates. Based on these findings, we proposed a molecular mechanism via which GSH prevents HIC and structurally disintegrates heme. An analogous reaction was observed in RBC hemolysates via direct inter-reaction between hematin (ferric and hydroxide heme) released from hemoglobin and GSH. Overall, GSH–hematin adducts could be considered as novel entities of the human metabolome of RBCs in hemolytic disorders. Full article
(This article belongs to the Topic Cellular Redox Homeostasis)
Show Figures

Graphical abstract

15 pages, 1697 KB  
Article
Telomere Shortening and Increased Oxidative Stress in Lumbar Disc Degeneration
by Manassanan Jitjumnong, Pornpan Chalermkitpanit, Tanyawan Suantawee, Sinsuda Dechsupa, Ladawan Vajarintarangoon and Sittisak Honsawek
Int. J. Mol. Sci. 2022, 23(17), 10125; https://doi.org/10.3390/ijms231710125 - 4 Sep 2022
Cited by 19 | Viewed by 3253
Abstract
Lumbar disc degeneration (LDD) contributes to low back pain. This study aimed to determine relative telomere length (RTL), oxidative stress status, and antioxidant levels and examine the relationships between RTL, oxidative stress, and the severity in LDD patients. A total of 100 subjects, [...] Read more.
Lumbar disc degeneration (LDD) contributes to low back pain. This study aimed to determine relative telomere length (RTL), oxidative stress status, and antioxidant levels and examine the relationships between RTL, oxidative stress, and the severity in LDD patients. A total of 100 subjects, 50 LDD patients and 50 healthy controls, were enrolled in the case–control study. Blood leukocyte RTL was analyzed using quantitative real-time polymerase chain reaction. Lipid peroxidation was determined by malondialdehyde (MDA) assay. Plasma 8-hydroxy 2′-deoxyguanosine (8-OHdG) values were determined using enzyme-linked immunosorbent assay. Total antioxidant capacity (TAC) and ferric reducing antioxidant power (FRAP) in plasma were also measured. The LDD patients had significantly shorter telomeres than the healthy controls (p = 0.04). Blood leukocyte RTL was inversely correlated with the LDD severity (r = −0.41, p = 0.005). Additionally, plasma MDA and 8-OHdG levels were markedly greater in LDD patients than in the controls (p = 0.01 and p = 0.002, respectively). Furthermore, the plasma MDA level showed a positive correlation with the radiographic severity (r = 0.49, p = 0.001). There was a positive correlation between plasma 8-OHdG and the severity (r = 0.60, p < 0.001). Moreover, plasma TAC and FRAP levels were significantly lower in LDD patients than in the controls (p = 0.04). No significant differences in plasma TAC and FRAP were observed among the three groups of LDD severity. We found that RTL was negatively correlated with the severity while plasma MDA and 8-OHdG levels were positively correlated with the severity. These findings suggest that blood leukocyte RTL, plasma MDA, and 8-OHdG may have potential as noninvasive biomarkers for the assessment of severity in LDD. Full article
(This article belongs to the Special Issue Molecular Metabolisms in Cartilage Health and Diseases 2.0)
Show Figures

Figure 1

16 pages, 2042 KB  
Article
In Vitro Alpha-Glucosidase and Alpha-Amylase Inhibitory Activities and Antioxidant Capacity of Helichrysum cymosum and Helichrysum pandurifolium Schrank Constituents
by Baraa M. I. S. Jadalla, Justin J. Moser, Rajan Sharma, Ninon G. E. R. Etsassala, Samuel Ayodele Egieyeh, Jelili A. Badmus, Jeanine L. Marnewick, Denzil Beukes, Christopher N. Cupido and Ahmed A. Hussein
Separations 2022, 9(8), 190; https://doi.org/10.3390/separations9080190 - 26 Jul 2022
Cited by 23 | Viewed by 6157
Abstract
Diabetes mellitus (DM) is a group of systemic metabolic disorders with a high rate of morbidity and mortality worldwide. Due to the detrimental side effects of the current treatment, there is a great need to develop more effective antidiabetic drugs with fewer side [...] Read more.
Diabetes mellitus (DM) is a group of systemic metabolic disorders with a high rate of morbidity and mortality worldwide. Due to the detrimental side effects of the current treatment, there is a great need to develop more effective antidiabetic drugs with fewer side effects. Natural products are a well-known source for the discovery of new scaffolds for drug discovery, including new antidiabetic drugs. The genus Helichrysum has been shown to produce antidiabetic natural products. In this investigation, the methanolic extract of H. cymosum and H. pandurifolium resulted in the isolation and identification of eleven known compounds viz 5,8-dihydroxy-7-methoxy-2-phenyl flavanone (1), pinostrobin (2), dihydrobaicalein (3), glabranin (4), allopatuletin (5), pinostrobin chalcone (6), helichrysetin (7), 5-hydroxy-3,7-dimethoxyflavone (8), 3,5-dihydroxy-6,7,8-trimethoxyflavone (9), 3-O-methylquercetin (10), and 3-methylethergalangin (11). The in vitro bio-evaluation of isolated compounds against alpha-glucosidase showed that 10, 5, and 11 demonstrated the highest alpha-glucosidase inhibitory activity with IC50 values of 9.24 ± 0.4, 12.94 ± 0.2, and 16.00 ± 2.4 μM respectively, followed by 7 and 3 with IC50 values of 18.16 ± 1.2 and 44.44 ± 0.2 μM respectively. However, none of these compounds showed a measurable inhibitory effect on alpha-amylase under the experimental conditions used except compound 10 which showed a poor alpha-amylase inhibitory activity with an IC50 value of 230.66 ± 15.8 μM. Additionally, strong total antioxidant capacities were demonstrated by 10, 5 and 7 in ferric-ion reducing antioxidant power assay (374.34 ± 69.7; 334.37 ± 1.7; 279.93 ± 0.8) µmol AAE/mmol. This is the first scientific report to be carried out on alpha-glucosidase inhibitory activities and antioxidant capacities of H. cymosum constituents and a first report on the isolation and identification of methoxyflavanoids from H. pandurifolium. Our findings suggest that these compounds are promising candidates to inhibit alpha-glucosidase as well as oxidative stress related to diabetes. Results from molecular docking provided insight into the observed in vitro alpha-glucosidase inhibitory activities for 5, 7, 10, and 11. It is envisaged that the isolated phytochemicals from these plants may contribute to the development of hypoglycemic lead compounds with anti-diabetic potential. Full article
(This article belongs to the Section Purification Technology)
Show Figures

Figure 1

34 pages, 3102 KB  
Review
New Era in the Treatment of Iron Deficiency Anaemia Using Trimaltol Iron and Other Lipophilic Iron Chelator Complexes: Historical Perspectives of Discovery and Future Applications
by George J. Kontoghiorghes, Annita Kolnagou, Theodora Demetriou, Marina Neocleous and Christina N. Kontoghiorghe
Int. J. Mol. Sci. 2021, 22(11), 5546; https://doi.org/10.3390/ijms22115546 - 24 May 2021
Cited by 35 | Viewed by 9013
Abstract
The trimaltol iron complex (International Non-proprietary Name: ferric maltol) was originally designed, synthesised, and screened in vitro and in vivo in 1980–1981 by Kontoghiorghes G.J. following his discovery of the novel alpha-ketohydroxyheteroaromatic (KHP) class of iron chelators (1978–1981), which were intended for clinical [...] Read more.
The trimaltol iron complex (International Non-proprietary Name: ferric maltol) was originally designed, synthesised, and screened in vitro and in vivo in 1980–1981 by Kontoghiorghes G.J. following his discovery of the novel alpha-ketohydroxyheteroaromatic (KHP) class of iron chelators (1978–1981), which were intended for clinical use, including the treatment of iron deficiency anaemia (IDA). Iron deficiency anaemia is a global health problem affecting about one-third of the world’s population. Many (and different) ferrous and ferric iron complex formulations are widely available and sold worldwide over the counter for the treatment of IDA. Almost all such complexes suffer from instability in the acidic environment of the stomach and competition from other dietary molecules or drugs. Natural and synthetic lipophilic KHP chelators, including maltol, have been shown in in vitro and in vivo studies to form stable iron complexes, to transfer iron across cell membranes, and to increase iron absorption in animals. Trimaltol iron, sold as Feraccru or Accrufer, was recently approved for clinical use in IDA patients in many countries, including the USA and in EU countries, and was shown to be effective and safe, with a better therapeutic index in comparison to other iron formulations. Similar properties of increased iron absorption were also shown by lipophilic iron complexes of 8-hydroxyquinoline, tropolone, 2-hydroxy-4-methoxypyridine-1-oxide, and related analogues. The interactions of the KHP iron complexes with natural chelators, drugs, metal ions, proteins, and other molecules appear to affect the pharmacological and metabolic effects of both iron and the KHP chelators. A new era in the treatment of IDA and other possible clinical applications, such as theranostic and anticancer formulations and metal radiotracers in diagnostic medicine, are envisaged from the introduction of maltol, KHP, and similar lipophilic chelators. Full article
(This article belongs to the Special Issue Advances on Chelation and Chelator Metal Complexes in Medicine)
Show Figures

Figure 1

44 pages, 12998 KB  
Article
Effects of Fe(III) Oxide Mineralogy and Phosphate on Fe(II) Secondary Mineral Formation during Microbial Iron Reduction
by Edward J. O’Loughlin, Maxim I. Boyanov, Christopher A. Gorski, Michelle M. Scherer and Kenneth M. Kemner
Minerals 2021, 11(2), 149; https://doi.org/10.3390/min11020149 - 31 Jan 2021
Cited by 48 | Viewed by 8634
Abstract
The bioreduction of Fe(III) oxides by dissimilatory iron-reducing bacteria may result in the formation of a suite of Fe(II)-bearing secondary minerals, including magnetite (a mixed Fe(II)/Fe(III) oxide), siderite (Fe(II) carbonate), vivianite (Fe(II) phosphate), chukanovite (ferrous hydroxy carbonate), and green rusts (mixed Fe(II)/Fe(III) hydroxides). [...] Read more.
The bioreduction of Fe(III) oxides by dissimilatory iron-reducing bacteria may result in the formation of a suite of Fe(II)-bearing secondary minerals, including magnetite (a mixed Fe(II)/Fe(III) oxide), siderite (Fe(II) carbonate), vivianite (Fe(II) phosphate), chukanovite (ferrous hydroxy carbonate), and green rusts (mixed Fe(II)/Fe(III) hydroxides). In an effort to better understand the factors controlling the formation of specific Fe(II)-bearing secondary minerals, we examined the effects of Fe(III) oxide mineralogy, phosphate concentration, and the availability of an electron shuttle (9,10-anthraquinone-2,6-disulfonate, AQDS) on the bioreduction of a series of Fe(III) oxides (akaganeite, feroxyhyte, ferric green rust, ferrihydrite, goethite, hematite, and lepidocrocite) by Shewanella putrefaciens CN32, and the resulting formation of secondary minerals, as determined by X-ray diffraction, Mössbauer spectroscopy, and scanning electron microscopy. The overall extent of Fe(II) production was highly dependent on the type of Fe(III) oxide provided. With the exception of hematite, AQDS enhanced the rate of Fe(II) production; however, the presence of AQDS did not always lead to an increase in the overall extent of Fe(II) production and did not affect the types of Fe(II)-bearing secondary minerals that formed. The effects of the presence of phosphate on the rate and extent of Fe(II) production were variable among the Fe(III) oxides, but in general, the highest loadings of phosphate resulted in decreased rates of Fe(II) production, but ultimately higher levels of Fe(II) than in the absence of phosphate. In addition, phosphate concentration had a pronounced effect on the types of secondary minerals that formed; magnetite and chukanovite formed at phosphate concentrations of ≤1 mM (ferrihydrite), <~100 µM (lepidocrocite), 500 µM (feroxyhyte and ferric green rust), while green rust, or green rust and vivianite, formed at phosphate concentrations of 10 mM (ferrihydrite), ≥100 µM (lepidocrocite), and 5 mM (feroxyhyte and ferric green rust). These results further demonstrate that the bioreduction of Fe(III) oxides, and accompanying Fe(II)-bearing secondary mineral formation, is controlled by a complex interplay of mineralogical, geochemical, and microbiological factors. Full article
(This article belongs to the Special Issue Redox Reactivity of Iron Minerals in the Geosphere)
Show Figures

Figure 1

16 pages, 3022 KB  
Article
Different Insights into Silicate Rectorite Modification and Its Role in Removal of Heavy Metal Ions from Wastewater
by Ya Gao, Hao Jiang, Xianyuan Li, Sultan Ahmed Khoso, Guoyuan Xiang and Wenping Han
Minerals 2020, 10(2), 176; https://doi.org/10.3390/min10020176 - 15 Feb 2020
Cited by 8 | Viewed by 3354
Abstract
In the field of water management, the separation of metal contaminants from wastewater is very important and challenging. This study systematically investigated the effect and underlying mechanism of silicate rectorite (REC) on the removal of heavy metal ions (Cr(VI) and Pb(II)) from wastewater. [...] Read more.
In the field of water management, the separation of metal contaminants from wastewater is very important and challenging. This study systematically investigated the effect and underlying mechanism of silicate rectorite (REC) on the removal of heavy metal ions (Cr(VI) and Pb(II)) from wastewater. The adsorption and removal capacity of REC was further improved by its novel modification with ferric chloride hexahydrate. Compared to natural REC, the modified rectorite (Fe-REC) showed comparatively superior adsorption efficiency for both Cr(VI) and Pb(II) due to the chemisorption of Fe3+ on the REC surface as its oxidation state (Fe–O, Fe–OH, Fe–OOH). Adsorption on Cr(VI) attributed to the reaction between iron hydroxy complexes (FeOH2+, Fe(OH)2+ and Fe(OH)3(aq)) and Cr(VI) species (HCrO4 and CrO42−) in the aqueous solution. This reaction was perfectly consistent with the binding energy shifts in O 1s and Fe 2p species, as reflected by XPS analysis. While, the existence of –Al–OH and –Si–OH in silicate REC slurry reacted with PbOH+ colloids produced from lead ions hydrolysis to promote Pb(II) adsorption. Zeta potential after modification and removal occurred to shift positively or negatively to testify the adsorption of Fe3+ and heavy metal ions. Freundlich and Langmuir isotherms conformed adsorption process for Cr(VI) and Pb(II), respectively. Full article
(This article belongs to the Section Mineral Processing and Extractive Metallurgy)
Show Figures

Graphical abstract

13 pages, 2143 KB  
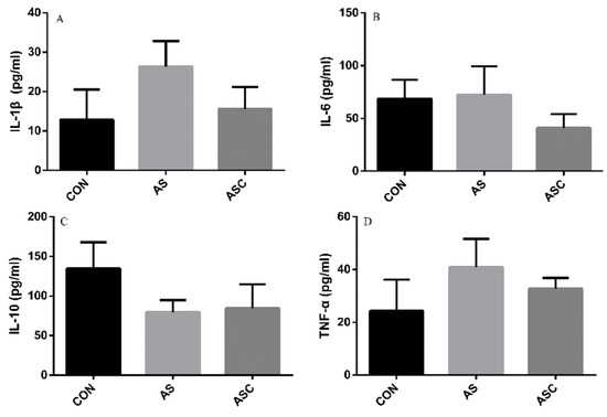
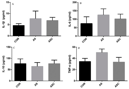
Article
Dietary Supplementation with Chitosan Oligosaccharides Alleviates Oxidative Stress in Rats Challenged with Hydrogen Peroxide
by Ruixia Lan, Qingqing Chang, Lilong An and Zhihui Zhao
Animals 2020, 10(1), 55; https://doi.org/10.3390/ani10010055 - 26 Dec 2019
Cited by 35 | Viewed by 3913
Abstract
Oxidative stress is induced by excessive oxidative radicals, which directly react with biomolecules, and damage lipids, proteins and DNA, leading to cell or organ injury. Supplementation of antioxidants to animals can be an effective way to modulate the antioxidant system. Chitosan oligosaccharides (COS) [...] Read more.
Oxidative stress is induced by excessive oxidative radicals, which directly react with biomolecules, and damage lipids, proteins and DNA, leading to cell or organ injury. Supplementation of antioxidants to animals can be an effective way to modulate the antioxidant system. Chitosan oligosaccharides (COS) are the degraded products of chitosan or chitin, which has strong antioxidant, anti-inflammatory, and immune-enhancing competency. Therefore, the current study was conducted to evaluate the hypothesis that dietary supplementation with COS alleviates the damage caused by oxidative stress in Sprague Dawley rats challenged with hydrogen peroxide (H2O2). The rats were randomly divided into three groups: CON, control group, in which rats were fed a basal diet with normal drinking water; AS, H2O2 group, in which rats were fed the basal diet and 0.1% H2O2 in the drinking water; ASC, AS + COS group, in which rats were fed the basal diet with 200 mg/kg COS, and with 0.1% H2O2 in the drinking water. In vitro, COS exhibited better radical scavenging capacity of 1, 1-diphenyl-2-picrylhydrazyl (DPPH), superoxide anion (O2), H2O2, and ferric ion reducing antioxidant power (FRAP) than butylated hydroxy anisole (BHA). In vivo, dietary supplementation with COS alleviated the H2O2-induced oxidative damage, evidenced by comparatively increasing activity of SOD, CAT, GSH-Px, GSH, and T-AOC, and comparatively decreasing level of MDA in serum, liver, spleen, and kidney. COS also comparatively alleviated the H2O2-induced inflammation. In conclusion, COS supplementation reduced lipid peroxidation and restored antioxidant capacity in Sprague Dawley rats, which were challenged with H2O2. Full article
(This article belongs to the Section Animal Physiology)
Show Figures

Figure 1

18 pages, 12063 KB  
Article
A Xylenol Orange-Based Screening Assay for the Substrate Specificity of Flavin-Dependent para-Phenol Oxidases
by Tom A. Ewing, Aster Van Noord, Caroline E. Paul and Willem J. H. Van Berkel
Molecules 2018, 23(1), 164; https://doi.org/10.3390/molecules23010164 - 14 Jan 2018
Cited by 20 | Viewed by 9675
Abstract
Vanillyl alcohol oxidase (VAO) and eugenol oxidase (EUGO) are flavin-dependent enzymes that catalyse the oxidation of para-substituted phenols. This makes them potentially interesting biocatalysts for the conversion of lignin-derived aromatic monomers to value-added compounds. To facilitate their biocatalytic exploitation, it is important [...] Read more.
Vanillyl alcohol oxidase (VAO) and eugenol oxidase (EUGO) are flavin-dependent enzymes that catalyse the oxidation of para-substituted phenols. This makes them potentially interesting biocatalysts for the conversion of lignin-derived aromatic monomers to value-added compounds. To facilitate their biocatalytic exploitation, it is important to develop methods by which variants of the enzymes can be rapidly screened for increased activity towards substrates of interest. Here, we present the development of a screening assay for the substrate specificity of para-phenol oxidases based on the detection of hydrogen peroxide using the ferric-xylenol orange complex method. The assay was used to screen the activity of VAO and EUGO towards a set of twenty-four potential substrates. This led to the identification of 4-cyclopentylphenol as a new substrate of VAO and EUGO and 4-cyclohexylphenol as a new substrate of VAO. Screening of a small library of VAO and EUGO active-site variants for alterations in their substrate specificity led to the identification of a VAO variant (T457Q) with increased activity towards vanillyl alcohol (4-hydroxy-3-methoxybenzyl alcohol) and a EUGO variant (V436I) with increased activity towards chavicol (4-allylphenol) and 4-cyclopentylphenol. This assay provides a quick and efficient method to screen the substrate specificity of para-phenol oxidases, facilitating the enzyme engineering of known para-phenol oxidases and the evaluation of the substrate specificity of novel para-phenol oxidases. Full article
(This article belongs to the Special Issue Flavoenzymes)
Show Figures

Graphical abstract

Back to TopTop